Sign in to use this feature.

Years

Between: -

Subjects

remove_circle_outline
remove_circle_outline
remove_circle_outline
remove_circle_outline
remove_circle_outline
remove_circle_outline
remove_circle_outline
remove_circle_outline
remove_circle_outline

Journals

Article Types

Countries / Regions

Search Results (213)

Search Parameters:
Keywords = PKR

Order results
Result details
Results per page
Select all
Export citation of selected articles as:
38 pages, 2122 KB  
Review
Cannabinoid-Driven Rewiring of GPCR and Ion Channel Signaling in Lung Cancer
by Didik Setyo Heriyanto, Fahrul Nurkolis, Jinwon Choi, Sohyun Park, Min Choi, Raymond Rubianto Tjandrawinata, Amama Rani, Moon Nyeo Park, Min-Jin Kwak, Bum Sang Shim and Bonglee Kim
Biomedicines 2026, 14(4), 856; https://doi.org/10.3390/biomedicines14040856 - 9 Apr 2026
Viewed by 536
Abstract
Lung cancer remains the leading cause of cancer-related mortality worldwide, with non-small cell lung cancer accounting for the majority of cases and exhibiting persistent challenges related to therapy resistance and metastatic progression. Increasing evidence indicates that dysregulated G protein-coupled receptor signaling and ion [...] Read more.
Lung cancer remains the leading cause of cancer-related mortality worldwide, with non-small cell lung cancer accounting for the majority of cases and exhibiting persistent challenges related to therapy resistance and metastatic progression. Increasing evidence indicates that dysregulated G protein-coupled receptor signaling and ion channel activity function cooperatively as master regulators of tumor cell proliferation, migration, survival, and therapeutic response. Cannabinoids, including phytocannabinoids such as delta-9-tetrahydrocannabinol and cannabidiol, as well as endogenous endocannabinoids, are uniquely positioned to modulate both G protein-coupled receptors and ion channels, thereby influencing key oncogenic signaling networks. This review synthesizes current knowledge on the role of major ion channel families, including transient receptor potential channels, potassium channels, and sodium channels, and principal G protein-coupled receptor pathways involved in lung cancer progression. We further discuss how cannabinoids reprogram these interconnected signaling systems through canonical cannabinoid receptors, non-classical targets such as G protein-coupled receptor 55 and adenosine receptors, and direct modulation of ion channel activity. Special attention is given to G protein-coupled receptor–ion channel coupling within membrane microdomains and to the capacity of cannabinoids to act as biased ligands, redirecting downstream pathways, such as the phosphoinositide 3-kinase–protein kinase B–mechanistic target of rapamycin and epidermal growth factor receptor signaling, toward apoptosis and reduced metastatic potential. Emerging strategies, including cannabinoid-based combination therapies, selective receptor biasing, and targeted delivery systems, are also highlighted. Altogether, cannabinoid-driven rewiring of G protein-coupled receptor and ion channel signaling represents a promising mechanistic framework for developing innovative therapeutic approaches against lung cancer. Full article
Show Figures

Figure 1

25 pages, 19267 KB  
Article
CAV2 Modulates Cetuximab Sensitivity in HNSCC via Ubiquitin-Mediated Disruption of the PACT-PKR Axis
by Yun Wang, Yafei Wang, Dongqi Yuan, Shenge Liu and Peng Chen
Cancers 2026, 18(7), 1148; https://doi.org/10.3390/cancers18071148 - 2 Apr 2026
Viewed by 371
Abstract
Background/Objectives: Head and neck squamous cell carcinoma (HNSCC) often exhibits limited clinical response to targeted therapies, such as Cetuximab. Identifying key drivers of tumor progression and elucidating the factors that modulate therapeutic sensitivity are essential for improving clinical outcomes. In this study, we [...] Read more.
Background/Objectives: Head and neck squamous cell carcinoma (HNSCC) often exhibits limited clinical response to targeted therapies, such as Cetuximab. Identifying key drivers of tumor progression and elucidating the factors that modulate therapeutic sensitivity are essential for improving clinical outcomes. In this study, we aimed to investigate the role of CAV2 in HNSCC proliferation and its impact on Cetuximab sensitivity. Methods: Prognosis-associated genes in HNSCC were screened using the The Cancer Genome Atlas (TCGA) database. The functional role of Caveolin-2 (CAV2) in cell proliferation and apoptosis was assessed via Cell Counting Kit-8 (CCK-8), colony formation, and flow cytometry assays. Mechanistic insights were obtained through co-immunoprecipitation, ubiquitination assays, and proteomic analysis. The impact of CAV2 on Cetuximab sensitivity was evaluated both in vitro and in a xenograft mouse model. Results: Clinical analysis of 43 pairs of HNSCC tumor and adjacent normal tissues revealed that elevated CAV2 expression was significantly associated with poor prognosis in HNSCC patients (95%CI: 1.197–1.7518, p = 1.33 × 10−13). In vitro, knockdown of CAV2 suppressed cell proliferation and significantly increased apoptosis rates (from 5.1% to 10.8%, p = 0.004). Mechanistically, CAV2 interacted with the PACT protein and disrupted the PACT-PKR axis via the ubiquitin–proteasome pathway. Notably, CAV2 deficiency synergized with Cetuximab treatment, reducing the the half maximal inhibitory concentration (IC50) value by 6-fold compared with control cells and suppressing tumor growth by 48.41% in xenograft models compared to Cetuximab monotherapy (p < 0.0001). Conclusions: In conclusion, these findings establish CAV2 as a critical regulator of HNSCC progression and Cetuximab sensitivity via post-translational modulation of the PACT–PKR axis. Targeting the CAV2/PACT/PKR axis may therefore represent a promising therapeutic strategy to potentiate the efficacy of EGFR-targeted therapy in patients with HNSCC. Full article
(This article belongs to the Section Molecular Cancer Biology)
Show Figures

Figure 1

20 pages, 13968 KB  
Article
Design and Characterization of the POKERINO Prototype for the POKER/NA64 Experiment at CERN
by Andrei Antonov, Pietro Bisio, Mariangela Bondì, Andrea Celentano, Anna Marini and Luca Marsicano
Instruments 2026, 10(2), 19; https://doi.org/10.3390/instruments10020019 - 27 Mar 2026
Viewed by 276
Abstract
The NA64 experiment at the CERN H4 beamline recently started a high-energy positron-beam program to search for light dark matter particles through a thick-target, missing-energy measurement. To fulfill the energy resolution requirement of the physics measurement [...] Read more.
The NA64 experiment at the CERN H4 beamline recently started a high-energy positron-beam program to search for light dark matter particles through a thick-target, missing-energy measurement. To fulfill the energy resolution requirement of the physics measurement σE/E2.5%/E[GeV]0.5% and cope with the constraints and performance requests of the NA64 setup, a new high-resolution homogeneous electromagnetic calorimeter PKR-CAL has been designed. The detector is based on PbWO4 crystals, each read by multiple SiPM sensors to maximize the light collection. The PKR-CAL design has been optimized to mitigate and control unavoidable SiPM saturation effects at high light levels, as well as to minimize the gain fluctuations induced by instantaneous variations of the H4 beam intensity. The R&D program culminated in the construction of a small-scale prototype, POKERINO. In this work, we present the results from the experimental characterization campaign of the POKERINO, aiming at demonstrating that the obtained performances are compatible with the application requirements. Full article
Show Figures

Figure 1

13 pages, 1963 KB  
Article
MAPK Phosphatase-3 Mediates Chronic Endoplasmic Reticulum Stress Promoting Hepatic Gluconeogenesis
by Sheng Cao, Yanlin Du, Zhengfeng Fang, Lianqiang Che, Yan Lin, Shengyu Xu, Xuemei Jiang, Guangmang Liu, Yong Zhuo, Lun Hua, Mengmeng Sun, De Wu and Bin Feng
Int. J. Mol. Sci. 2026, 27(6), 2874; https://doi.org/10.3390/ijms27062874 - 22 Mar 2026
Viewed by 321
Abstract
Long-term nutritional excess causes hepatic steatosis, endoplasmic reticulum (ER) stress, hyperglycemia, and hyperlipidemia. Mitogen-activated protein kinase phosphatase-3 (MKP-3) is a well-established stress-regulated protein and a regulator of gluconeogenesis. Our previous study revealed that acute ER stress reduced gluconeogenesis and MKP-3 protein stability. However, [...] Read more.
Long-term nutritional excess causes hepatic steatosis, endoplasmic reticulum (ER) stress, hyperglycemia, and hyperlipidemia. Mitogen-activated protein kinase phosphatase-3 (MKP-3) is a well-established stress-regulated protein and a regulator of gluconeogenesis. Our previous study revealed that acute ER stress reduced gluconeogenesis and MKP-3 protein stability. However, the expression of MKP-3 and its regulatory mechanisms in chronic ER stress remain unclear. The aim of this study was to investigate the effects of chronic ER stress on hepatic MKP-3 expression and its role in the regulation of gluconeogenesis. The results show that long-term administration of thapsigargin (Tg) or palmitic acid promoted gene expression of Mkp-3 and gluconeogenic genes Pepck, G6pc, and Pgc1α in primary mouse hepatocytes. In addition, a long-term high-fat diet (HFD) or Tg administration significantly increased hepatic ER stress and blood glucose level in mice, while inducing the expression of Mkp-3 and hepatic gluconeogenic genes Pepck, G6pc and Pgc1α. Further study revealed that liver-specific Mkp-3 knockout (Mkp-3 LKO) reversed the blood glucose level and expression levels of gluconeogenic genes those were induced by long-term HFD in mice. Moreover, activation of the PKR-like ER kinase (PERK) by its agonist increased hepatic Mkp-3 expression, whereas inhibitor of PERK suppressed the expression of Mkp-3 under Tg administration. These results suggest that chronic high-fat diet might promote hepatic gluconeogenesis via the PERK/MKP-3 pathway. Consequently, this study identified a potential therapeutic target for treating obesity-related hyperglycemia. Full article
(This article belongs to the Special Issue The Latest Molecular Insights into Animal Nutrition)
Show Figures

Graphical abstract

12 pages, 1354 KB  
Article
Inhibitory Effect of Interleukin-24 on Programmed Death Ligand 1 Expression via a Eukaryotic Translation Initiation Factor 2 Alpha Kinase 2-Dependent Pathway in Human Triple-Negative Breast Cancer
by Simira Smith, Anastassiya Kim, Alphons Sony, Maryam Aslam, Elouise Torruella, Columba de la Parra and Moira Sauane
Genes 2026, 17(3), 339; https://doi.org/10.3390/genes17030339 - 19 Mar 2026
Viewed by 432
Abstract
Background/Objectives: Programmed death ligand 1 (PD-L1) is often overexpressed in triple-negative breast cancer (TNBC), where it helps the tumor evade the immune system and promotes tumor growth. Interleukin-24 (IL-24) is recognized for its anti-tumor activity, although its role in immune regulation [...] Read more.
Background/Objectives: Programmed death ligand 1 (PD-L1) is often overexpressed in triple-negative breast cancer (TNBC), where it helps the tumor evade the immune system and promotes tumor growth. Interleukin-24 (IL-24) is recognized for its anti-tumor activity, although its role in immune regulation remains unclear. In this study, we examined the role of IL-24 in regulating PD-L1 and its anti-cancer activity in TNBC cells. Methods: The study used TNBC cell lines treated with IL-24, delivered via a non-replicating adenovirus vector expressing the IL-24 gene. Assays included MTT for cell viability, Annexin V for apoptosis, Western blot for protein analysis, and qRT-PCR for mRNA analysis. Results: We found that the highly aggressive MDA-MB-231 cells had significantly higher PD-L1 levels. We discovered that treatment with IL-24 reduced cell growth, induced apoptosis, and significantly decreased PD-L1 protein levels in MDA-MB-231 cells. Mechanistically, we identified PKR, also known as eukaryotic translation initiation factor 2 alpha kinase 2, as a key mediator of IL-24–induced PD-L1 suppression. Additionally, doxorubicin, a primary chemotherapy drug used to treat triple-negative breast cancer, decreases PD-L1 expression and increases the sensitivity when combined with IL-24. Conclusions: In this study, we show that IL-24 decreases PD-L1 expression in MDA-MB-231 cells through PKR activation, enhances the anti-tumor effects of Doxorubicin, and may enable lower doses that reduce toxicity and further decrease PD-L1 levels. These findings suggest that IL-24 could serve as a valuable target for therapeutic intervention and suggest that it can improve doxorubicin’s effectiveness against aggressive breast cancer. Full article
(This article belongs to the Special Issue Advances in Gene Therapy)
Show Figures

Figure 1

26 pages, 6588 KB  
Article
Techno-Economic and Environmental Performance Assessment of a 1 MW Grid-Connected Photovoltaic System Under Subtropical Monsoon Conditions
by Muhammad Usman Saleem, Abdul Samad, Saif Ur Rahman and Muhammad Zeeshan Babar
Processes 2026, 14(4), 616; https://doi.org/10.3390/pr14040616 - 10 Feb 2026
Viewed by 450
Abstract
The high expansion rate of industrial-scale photovoltaic (PV) systems in emerging economies requires proper performance prediction models that consider particular climatic variabilities. Although the theoretical potential of solar energy in South Asia is well documented, there still exists a gap in the validation [...] Read more.
The high expansion rate of industrial-scale photovoltaic (PV) systems in emerging economies requires proper performance prediction models that consider particular climatic variabilities. Although the theoretical potential of solar energy in South Asia is well documented, there still exists a gap in the validation of simulation models to operational data over long periods in subtropical monsoon climates. Unlike prior studies, this work combines multi-year operational data with dynamic TRNSYS simulations to quantify both technical and environmental performance of a 1 MW PV system under subtropical monsoon conditions. This paper provides a detailed performance evaluation of a 1 MW grid-connected PV system located in Punjab, Pakistan. The actual performance of the system is compared with a dynamic simulation model that is created in the Transient System Simulation Tool (TRNSYS) using three years of operational data. Four different scenarios are analyzed: (1) Ideal Theoretical Operation, (2) Actual Field Data, (3) Simulated Operation with Maximum Power Point Tracking (MPPT), and (4) Simulated Operation without MPPT. The results reveal that the real system produced an average of 1342 MWh/year, whereas the MPPT-enabled simulation predicted 1664 MWh/year, indicating a performance difference of 19.3%. Statistical validation revealed a strong correlation (R2=0.84) between the model and reality, yet identified a normalized Root Mean Square Error (nRMSE) of 26.8%. This deviation represents a performance gap which is deconvoluted into agricultural soiling losses and grid curtailment. The research work quantifies the technical effect of MPPT where a 27% operational advantage is realized in comparison to fixed-voltage cases, proving its necessity in climates with high diffuse radiation during monsoon seasons. Economic analysis demonstrates a Levelized Cost of Energy (LCOE) of $0.0378/kWh of the existing system, and a Simple Payback Time (SPBT) of 4.74 years at the current industrial tariffs. Sensitivity analysis also indicates that in case of an increase in grid tariffs to 50 PKR/kWh, Internal Rate of Return (IRR) increases to 18.8%. Environmental analysis confirms a carbon emission reduction of 765 tons/year. These results validate the techno-economic feasibility of large-scale PV in the area and provide an important understanding of the critical yield losses in monsoon seasons, which offers an effective robust benchmark for future industrial energy policy in developing economies. Full article
(This article belongs to the Special Issue Advances in Renewable Energy Systems (2nd Edition))
Show Figures

Graphical abstract

100 pages, 15718 KB  
Perspective
Therapeutic Options for Alzheimer’s Disease and Aging-Associated Cognitive Decline: State of the Art in the ACH2.0 Paradigm
by Vladimir Volloch and Sophia Rits-Volloch
Int. J. Mol. Sci. 2026, 27(3), 1486; https://doi.org/10.3390/ijms27031486 - 2 Feb 2026
Viewed by 711
Abstract
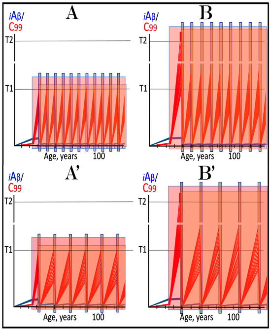
In the Amyloid Cascade Hypothesis (ACH2.0) paradigm, Alzheimer’s disease (AD) is defined as a disorder triggered by a sustained neuronal integrated stress response (ISR) and driven by the C99 fragment of amyloid-beta protein precursor (AβPP) generated in the autonomous AβPP-independent pathway. This implies [...] Read more.
In the Amyloid Cascade Hypothesis (ACH2.0) paradigm, Alzheimer’s disease (AD) is defined as a disorder triggered by a sustained neuronal integrated stress response (ISR) and driven by the C99 fragment of amyloid-beta protein precursor (AβPP) generated in the autonomous AβPP-independent pathway. This implies that AD can be initiated by any stressor capable of activating one or more of the four eIF2α kinases and accumulated intraneuronally to sufficient levels. In most instances of AD, such a stressor is intraneuronal Aβ (iAβ) accumulated to a PKR- and/or HRI-activating concentration and designated, in terms of the ACH2.0, as a “conventional stressor”. The ensuing disease is referred to, accordingly, as “conventional AD”. Any stressor other than iAβ, which is capable of activating one or more eIF2α kinases in neuronal cells, is designated as an “unconventional stressor”. At a sufficient concentration, it triggers elicitation of the neuronal ISR and initiates the disease, referred to in terms of the ACH2.0 as “unconventional AD”, at levels of iAβ below those required for activation of PKR and/or HRI. In both forms of AD, the neuronal ISR activates production of components essential for, and, consequently, enables operation of, the RNA-dependent mRNA amplification pathway. Human AβPP mRNA is eligible for this process, and its asymmetric amplification yields 5′-truncated mRNA molecules that are translated into C99 at rates that are orders of magnitude greater than those seen in AβPP proteolysis. The resulting C99 drives AD pathology; it also propagates the ISR state and perpetuates both its own production and the progression of the disease. Thus, the neuronal ISR-enabled amplification of AβPP mRNA constitutes the active core of AD. It follows that the essence of any effective therapy for AD, in both conventional and unconventional forms, is to either prevent activation or suppress the operation of the AβPP mRNA amplification process. The present perspective considers therapeutic options capable of accomplishing these objectives. They include inhibition of the neuronal ISR, targeted degradation of iAβ and C99, anti-antisense oligonucleotides (AASO) for AβPP RNA, and the restructuring of the 5′ terminus of AβPP mRNA. Collectively, these therapeutic approaches constitute the state of the art in the ACH2.0 paradigm; if successful, they would render both AD and aging-associated cognitive decline (AACD) obsolete. This study also describes transgenic animal and human neuronal cell-based models of both conventional and unconventional forms of AD that are suitable for testing the proposed therapeutic strategies. Full article
Show Figures

Figure 1

22 pages, 5571 KB  
Article
Precision Planting for Smallholder Maize Crop in Pakistan—A Sustainable Mechanization and Engineering Design Approach
by Hafiz Sultan Mahmood, Hafiz Md-Tahir, Muzammil Husain, Muhammad Adnan Islam, Badar Munir Khan Niazi, Hadeed Ashraf, Mahmood Ali and Ayesha Khalil
AgriEngineering 2026, 8(2), 42; https://doi.org/10.3390/agriengineering8020042 - 1 Feb 2026
Viewed by 555
Abstract
Precision planting is critical for improving crop establishment and productivity in smallholder farming systems in Pakistan, where manual seeding remains labour-intensive, imprecise, and inefficient. The limited availability of suitable small planters and the impracticality of larger precision seeders for fragmented holdings further constrain [...] Read more.
Precision planting is critical for improving crop establishment and productivity in smallholder farming systems in Pakistan, where manual seeding remains labour-intensive, imprecise, and inefficient. The limited availability of suitable small planters and the impracticality of larger precision seeders for fragmented holdings further constrain mechanization. This study addressed these limitations by redesigning and enhancing a vertical-plate, single-row precision planter through the integration of a straight seed delivery path and shutter mechanism and evaluating it alongside three other manually operated precision planters. Laboratory experiments quantified the seed physical properties, metering accuracy, calibration performance, and seed damage, while field trials assessed the spacing precision, plant population, labour demand, field efficiency, and operating costs across 1000 m2 test plots. The punch-wheel planter exhibited the best performance, achieving a spacing precision coefficient of 6.79%, a field efficiency of 88.2%, and the lowest operating cost (PKR 799 acre−1), while the remaining planters also met acceptable operational standards. In comparison with manual sowing (20–25 man-hours acre−1), precision planters reduced labour to 6–8 man-hours acre−1, saving PKR 7000–9000 acre−1. Enhanced spacing uniformity improved the stand establishment and yield potential. These low-cost precision planters reduce drudgery, particularly for women farmers, minimize soil disturbance, and contribute to the Sustainable Development Goals of the United Nations by promoting sustainable smallholder mechanization. Full article
(This article belongs to the Special Issue Design and Optimization of Intelligent Planting Machinery)
Show Figures

Graphical abstract

19 pages, 11838 KB  
Article
Transcriptomic Analysis of the Antiviral Responses in Ovine Type II Alveolar Epithelial Cells During Early Stage of Bluetongue Virus Infection
by Yunyi Chen, Nijing Lei, Zhenghao Ye, Shaohua Pu, Shimei Luo, Xianping Ma, Shaoyu Yang, Guanghua Wang, Huaijie Jia and Huashan Yi
Animals 2026, 16(2), 243; https://doi.org/10.3390/ani16020243 - 13 Jan 2026
Viewed by 560
Abstract
Bluetongue virus (BTV) infects various ruminant species, posing significant threats to animal health and causing substantial economic losses to the livestock industry. Ovine type II alveolar epithelial cells (OAECIIs) play crucial roles in maintaining pulmonary structural integrity and modulating immune responses. Their dysfunction [...] Read more.
Bluetongue virus (BTV) infects various ruminant species, posing significant threats to animal health and causing substantial economic losses to the livestock industry. Ovine type II alveolar epithelial cells (OAECIIs) play crucial roles in maintaining pulmonary structural integrity and modulating immune responses. Their dysfunction is closely associated with lung disease pathogenesis, making them important therapeutic targets. However, OAECIIs’ immunoregulatory functions and early response mechanisms during BTV infection remain unclear. To address this, we analyzed transcriptomic changes in OAECIIs following BTV-1 infection. RNA-seq revealed 1047 and 852 differentially expressed genes (DEGs) at 8 and 12 h post-infection (hpi), respectively, compared to uninfected controls. Bioinformatics analysis showed significant upregulation of nucleic acid-sensing receptors, interferon-stimulating factors, inflammatory mediators, and cytokines during early infection, mediated primarily through type I interferon signaling, TNF signaling, and cytosolic DNA-sensing pathways. We identified MAD5, ZNFX1, cGAS, OAS, PKR and ZBP1 as key pattern recognition receptors in OAECIIs during BTV infection. The IFN-β, MX1/2, RSAD2 and PLSCR1 pathways mediated antiviral responses, while IL-15, CXCL10, CCL2 triggered inflammatory responses, collectively causing structural alterations through AQP1/9 and tight junction protein modulation. These findings provide critical insights into early antiviral mechanisms and cellular structural changes in OAECIIs during BTV infection, establishing a foundation for understanding pneumonia pathogenesis and developing targeted BTV therapies. Full article
(This article belongs to the Topic Advances in Infectious and Parasitic Diseases of Animals)
Show Figures

Figure 1

16 pages, 1885 KB  
Article
Geographic and Behavioral Determinants of Typhoid and Antimicrobial Resistance in Children Across Urban, Rural, and Nomadic Populations of Punjab, Pakistan
by Atifa Ambreen, Muhammad Asif Zahoor, Muhammad Hidayat Rasool and Mohsin Khurshid
Healthcare 2026, 14(1), 124; https://doi.org/10.3390/healthcare14010124 - 4 Jan 2026
Viewed by 786
Abstract
Background/Objectives: This study aimed to determine the antimicrobial susceptibility patterns of multidrug resistant (MDR) and extensively resistant (XDR) Salmonella enterica serovar Typhi (S. Typhi) strains among children, along with the associated behavioral and environmental risk factors across different population groups [...] Read more.
Background/Objectives: This study aimed to determine the antimicrobial susceptibility patterns of multidrug resistant (MDR) and extensively resistant (XDR) Salmonella enterica serovar Typhi (S. Typhi) strains among children, along with the associated behavioral and environmental risk factors across different population groups in multiple districts of Punjab, Pakistan. Methods: A cross-sectional study was conducted across 20 districts in Punjab, Pakistan. Structured questionnaires were used to assess sociodemographic and behavioral determinants. Blood cultures from febrile children were obtained for the isolation and identification of S. Typhi, followed by antimicrobial susceptibility testing and screening for the resistance genes. Results: A total of 900 blood samples were collected and 41.5% were positive for S. Typhi. The proportion of culture-positive cases were higher among children aged 6–12 years (34.8%). Sociodemographic and behavioral analysis revealed that children from low-income households (PKR < 20,000 showed significantly higher infection rate (67.1%, p < 0.001). Antimicrobial susceptibility testing revealed high resistance rates against several antibiotics: Ciprofloxacin (88.8%), Trimethoprim/sulfamethoxazole (83.7%), Ampicillin (73.8%) and Chloramphenicol (72.7%). However, all isolates remained susceptible to carbapenems and azithromycin. The prevalence of MDR and XDR S. Typhi in urban areas was 28.1% and 60.8%, respectively, while rural areas showed 22.6% MDR and 20.6% XDR. In contrast, nomadic populations exhibited a higher rate of MDR (49.3%) but a lower XDR prevalence of 18.6% with significant geographic variations in resistance patterns. Molecular analysis revealed a high prevalence of resistance genes, including sul1 (83.7%), sul2 (79.7%), followed by dfrA7 (81.3%), catA1 (64.9%) and blaTEM (60.5%), blaCTX-M-1 (12.5%), blaCTX-M-15 (25.9%) and qnrS (88.8%), respectively. Conclusions: The study underscores a persistent typhoid burden and widespread antimicrobial resistance among children in Punjab. Targeted vaccination, antibiotic stewardship, public health education are urgently needed, especially among the nomadic population, where healthcare access and hygiene awareness are limited. Full article
Show Figures

Figure 1

33 pages, 3301 KB  
Review
Integrated Stress Response (ISR) Modulators in Vascular Diseases
by Alexander Kalinin, Ekaterina Zubkova, Irina Beloglazova, Yelena Parfyonova and Mikhail Menshikov
Cells 2026, 15(1), 2; https://doi.org/10.3390/cells15010002 - 19 Dec 2025
Viewed by 1508
Abstract
Vascular dysfunction lies at the core of cardiovascular diseases—the leading cause of global morbidity and mortality. Despite their prevalence, therapeutic options remain limited, in part due to an incomplete understanding of the molecular mechanisms driving vascular pathology. The integrated stress response (ISR), an [...] Read more.
Vascular dysfunction lies at the core of cardiovascular diseases—the leading cause of global morbidity and mortality. Despite their prevalence, therapeutic options remain limited, in part due to an incomplete understanding of the molecular mechanisms driving vascular pathology. The integrated stress response (ISR), an evolutionarily conserved signaling network activated by diverse stressors, represents a critical but underexplored mechanism in vascular biology. This review examines the dual roles of the core ISR kinases—PERK, GCN2, HRI and PKR—in vascular homeostasis and pathology, including atherosclerosis, pulmonary hypertension, and angiogenesis. We develop a conceptual framework in which the ISR functions as a context-dependent, double-edged sword: while PERK and PKR promote inflammation, apoptosis, and vascular re-modeling, GCN2 mediates protective effects. The outcome of ISR activation is shaped by cell type, stress duration and intensity, and downstream signaling bias (e.g., ATF4 vs. CHOP dominance). We further discuss pharmacological ISR modulators—including 2-aminopurine, C16, salubrinal, halofuginone, GSK2606414, and GSK2656157—which have demonstrated beneficial effects in preclinical models by suppressing inflammation, reducing apoptosis, and attenuating disease progression. Collectively, the ISR emerges as a critical regulatory node in vascular pathophysiology, and its selective, context-aware modulation represents a promising avenue for therapeutic intervention. Full article
(This article belongs to the Special Issue New Insights into Vascular Biology in Health and Disease)
Show Figures

Figure 1

18 pages, 822 KB  
Article
Evaluating Green Finance: Investment Patterns and Environmental Outcomes
by Lala Rukh, Shakir Ullah, Ijaz Sanober, Umar Hayat and Sangeen Khan
Int. J. Financial Stud. 2025, 13(4), 245; https://doi.org/10.3390/ijfs13040245 - 18 Dec 2025
Viewed by 1021
Abstract
This study aims to investigate the impact of green finance on corporate sector investments and their associated environmental outcomes. The authors collected cross-sectional survey data with a sample of four hundred firms selected from the five green-relevant industries in an emerging economy. The [...] Read more.
This study aims to investigate the impact of green finance on corporate sector investments and their associated environmental outcomes. The authors collected cross-sectional survey data with a sample of four hundred firms selected from the five green-relevant industries in an emerging economy. The results indicate that, over the last three years, seventy percent of firms have accessed at least one green instrument. Overall, the firms under study indicate that PKR 3.4 million is being allocated to green finance, and PKR 2.7 million is spent on CAPEX. However, each million PKR is associated with a ten percent capital expenditure, which exhibits the highest adoption of the renewable energy sector, while the manufacturing sector has the lowest adoption. Regression results depict that Greenhouse gas reduction is only achievable if expenditure on R&D is ensured for environmental gains. This study indicates a declining incremental impact when green finance exceeds PKR 5.00 million, suggesting that firms’ limitations in utilizing the additional amount may be a factor. Financially constrained firms achieve stronger environmental goals, confirming that strict criteria to finance projects show more responsibility and discipline in executing projects. However, small- and medium-sized firms are confronted with barriers, such as lack of information and transaction costs. The findings of this study highlight the need for a multi-layered regulatory framework, innovation-driven incentives, and fintech integration to fully realize the potential of green finance. The outcome enables financial institutions, sustainability practitioners, and regulators to connect financial markets, national climate, and development goals. Full article
Show Figures

Figure 1

21 pages, 1489 KB  
Article
Intraluminal Vesicles as Transfection Intermediaries
by Nourhan A. M. Mahmoud, Hadeer K. S. Abdelrahman, Benedita K. L. Feron, Andra Pintilie, Marc Fivaz, Joanna J. Miest-Bray, Timothy Gomez, Natalie Youens, Vineeta Tripathi and Simon C. W. Richardson
Pharmaceutics 2025, 17(12), 1584; https://doi.org/10.3390/pharmaceutics17121584 - 9 Dec 2025
Viewed by 822
Abstract
Background: To address hepatotropic body distribution and toxicity, transfection systems based on protein architecture have been proposed. Attenuated anthrax toxin (aATx) has provided the backbone for a first in class transfection system that, in the wild, uses intraluminal vesicles (ILVs) as an intermediary [...] Read more.
Background: To address hepatotropic body distribution and toxicity, transfection systems based on protein architecture have been proposed. Attenuated anthrax toxin (aATx) has provided the backbone for a first in class transfection system that, in the wild, uses intraluminal vesicles (ILVs) as an intermediary compartment during the translocation of large molecules into the cytosol. Small interfering (si)RNA molecules non-covalently attached to a carrier (LFn-PKR) would not be predicted to be an aATx translocase (protective antigen (PA)) substrate. Previously, siRNA has been shown to be delivered to the cytosol using this system. Methods: Here, the localisation of 32P-labelled siRNA delivered using aATx was quantified directly and related to siRNA activity. In addition, inhibition of ILV formation by hypertonic sucrose or wheatgerm agglutinin (WGA) was shown to inhibit the aATx-mediated cytosolic translocation of siRNA. Results: MCF-7 cells were used to establish siRNA intracellular distribution in relation to pharmacological activity by targeting STAT3 gene expression. After Lipofectamine-mediated transfection using 100 nM 32P-labelled siRNA, 45 ± 3.2% (±SD; n = 3) of the cell associated siRNA was found in the cytosol. After the transfection of 100 nM 32P-labelled siRNA using aATx, 77 ± 2.5% (±SD; n = 3) of the cell associated siRNA was found in the cytosol and resulted in a reduction in STAT3 expression of 64.04 ± 14.17% (±SD; n = 3) relative to an untreated control by Western analysis. Further, 25 μg/mL of WGA inhibited 75.23 ± 0.06% (±SD; n = 3) of the knockdown attributed to a non-WGA-treated control. Relative to the control, treatment with 200 mM sucrose resulted in a reduction of 74.58 ± 7.76% (±SD; n = 3) of target gene knockdown. Conclusions: These data indicated that the insertion of the PA pore into endosomal membrane did not weaken the endosomal limiting membrane, leading to vesicular bursting during transfection and ILVs played critical role in translocase activity. Full article
(This article belongs to the Special Issue Biomimetic Nanoparticles for Disease Treatment and Diagnosis)
Show Figures

Graphical abstract

9 pages, 581 KB  
Proceeding Paper
Assessing the Feasibility of Electric Vehicle Adoption in Pakistan Affordability, Preferences, and Market Readiness
by Sarim Zia, Saleha Qureshi, Muhammad Zulfiqar and Arfa Ijaz
Eng. Proc. 2025, 111(1), 42; https://doi.org/10.3390/engproc2025111042 - 4 Dec 2025
Viewed by 1518
Abstract
The paper discusses the economic and infrastructural challenges preventing the adoption of Electric Vehicles (EVs) in Pakistan. It focuses on key factors such as affordability, consumer preferences, and the overall readiness of the market. Based on a segment-wise comparison, the analysis reveals that [...] Read more.
The paper discusses the economic and infrastructural challenges preventing the adoption of Electric Vehicles (EVs) in Pakistan. It focuses on key factors such as affordability, consumer preferences, and the overall readiness of the market. Based on a segment-wise comparison, the analysis reveals that four-wheeler EVs carry an initial price premium of 20 to 64 percent over internal combustion engine (ICE) vehicles, with payback periods ranging from 11 to 25 years, placing them out of reach for most middle-income consumers. In contrast, electric two- and three-wheelers—comprising more than 90 percent of registered vehicles—offer a significantly more practical and affordable pathway for mass adoption. These vehicles exhibit minimal upfront cost differences, annual operational savings exceeding PKR 62,000, and short payback periods of just 4 to 6 months, making them highly feasible in the local context. The study adopts a mixed-methods approach using national price data, vehicle registration records, and international case studies from India, Kenya, and Norway. It evaluates financing innovations such as battery leasing, concessional green loans, and carbon-credit-linked microfinance, and outlines a consumer-focused policy framework that emphasizes financial inclusion, decentralized infrastructure development, and phased implementation strategies. By aligning global lessons with Pakistan’s socioeconomic and infrastructural realities, the paper offers a scalable and inclusive roadmap for accelerating EV adoption through targeted, consumer-driven solutions. Full article
Show Figures

Figure 1

20 pages, 1402 KB  
Article
An In Vitro Approach to Evaluate the Impact of Autolysis and Formalin Fixation on the Detection of Canine Distemper Virus and Innate Immune Response Antigens
by Hannah Gerhards, Karl Rohn, Christina Puff and Wolfgang Baumgärtner
Viruses 2025, 17(12), 1575; https://doi.org/10.3390/v17121575 - 2 Dec 2025
Viewed by 874
Abstract
Viral infections in humans and animals are increasing, and retrospective studies using formalin-fixed, paraffin-embedded (FFPE) samples reveal recurring outbreaks over past decades. However, the impact of pre-analytical factors like fixation and autolysis on immunohistochemistry (IHC) remains insufficiently understood. To examine how autolysis, fixation [...] Read more.
Viral infections in humans and animals are increasing, and retrospective studies using formalin-fixed, paraffin-embedded (FFPE) samples reveal recurring outbreaks over past decades. However, the impact of pre-analytical factors like fixation and autolysis on immunohistochemistry (IHC) remains insufficiently understood. To examine how autolysis, fixation duration (6–72 h) and formalin concentration (2.5–25%) influence histology and IHC of canine distemper virus (CDV, Morbillivirus canis), interferon-β (IFN-β), and selected IFN-stimulated genes (ISGs), the study was conducted using an in vitro model based on persistently CDV-infected and non-infected DH82 cells (canine histiocytic sarcoma cell line). Autolysis led to a progressive loss of cell morphology, whereas formalin fixation had minimal impact. CDV nucleoprotein, ISG15, and myxovirus resistance protein (Mx) showed stable immunohistochemical signals across all fixation conditions and remained detectable after prolonged autolysis. CDV infection upregulated ISG15 and Mx. In contrast, IFN-β and phosphorylated protein kinase R (pPKR) exhibited variable staining and did not distinguish infected from non-infected samples. Overall, autolysis had a stronger negative impact on IHC signal quality than fixation parameters. Despite the limitations of the in vitro model, the robustness of CDV, ISG15, and Mx under suboptimal conditions highlights their potential utility as virus-sensing markers in FFPE material. Full article
(This article belongs to the Section Animal Viruses)
Show Figures

Figure 1

Back to TopTop