Theoretical Analysis of IGAO-Fuzzy PID Fault-Tolerant Control and Performance Optimization for Electro-Hydraulic Active Suspensions Under Internal Leakage Faults
Abstract
1. Introduction
- Enhance the optimization algorithm for giant armadillos by incorporating nonlinear dynamic inertia weights that adaptively adjust global exploration and local development capabilities. Additionally, implement a random reflection strategy for out-of-bounds particles to effectively circumvent boundary optimal traps. These modifications aim to improve the optimization efficacy and convergence performance of the algorithm under multiple constraints.
- Develop suspension models for 1/4 of vehicles with active, passive, and internal leakage fault characteristics, quantify key performance indicators of the suspension, and create a multi-objective fitness function to comprehensively evaluate ride comfort, handling stability, and driving safety.
- Simulation experiments conducted under various road surface excitations compare the proposed algorithm with the particle swarm optimization algorithm regarding optimization effectiveness, convergence speed, robustness, and the system’s dynamic performance recovery. These comparisons validate the superiority and engineering applicability of the proposed control strategy.
2. System Modeling and Problem Description
2.1. 1/4 Vehicle Active Suspension Dynamics Model
2.2. Construction of AMEsim-Simulink Joint Model
3. Fuzzy PID Controller and IGAO Optimization
3.1. Design of Fuzzy PID Controller Structure
3.1.1. Fuzzy Reasoning Rules and PID Control
3.1.2. Gain Adaptive Adjustment Mechanism
- (1)
- The algorithm simulates armadillos utilizing their acute sense of smell to locate food sources. Individuals within the algorithm learn from historical best and elite individuals while incorporating Lévy flight for global exploration, thereby ensuring that potential areas are not overlooked in the extensive parameter space.
- (2)
- The algorithm also mimics the deep digging behavior of armadillos, which is driven by their strong front paws, and is based on the parameter of an individual’s “digging ability.” This approach facilitates fine local development near the current high-quality solution, enabling precise parameter tuning.
- (3)
- Furthermore, the algorithm replicates the jumping defense behaviors of armadillos in response to threats. When an individual is detected to be trapped in a local optimum, significant positional jumps are generated through Cauchy mutation, effectively preventing premature convergence.
3.2. Improving the Optimization Algorithm for Giant Armadillo
3.2.1. Adaptive Adjustment Mechanism for Shell Hardness
3.2.2. Boundary Mining Turning Strategy
3.3. Fuzzy PID Parameter Tuning Process Based on IGAO
3.4. Objective Function Construction and Performance Evaluation Indicators
4. Simulation Results and Analysis
4.1. Performance Analysis of Semi-Sinusoidal Impact Road Surface
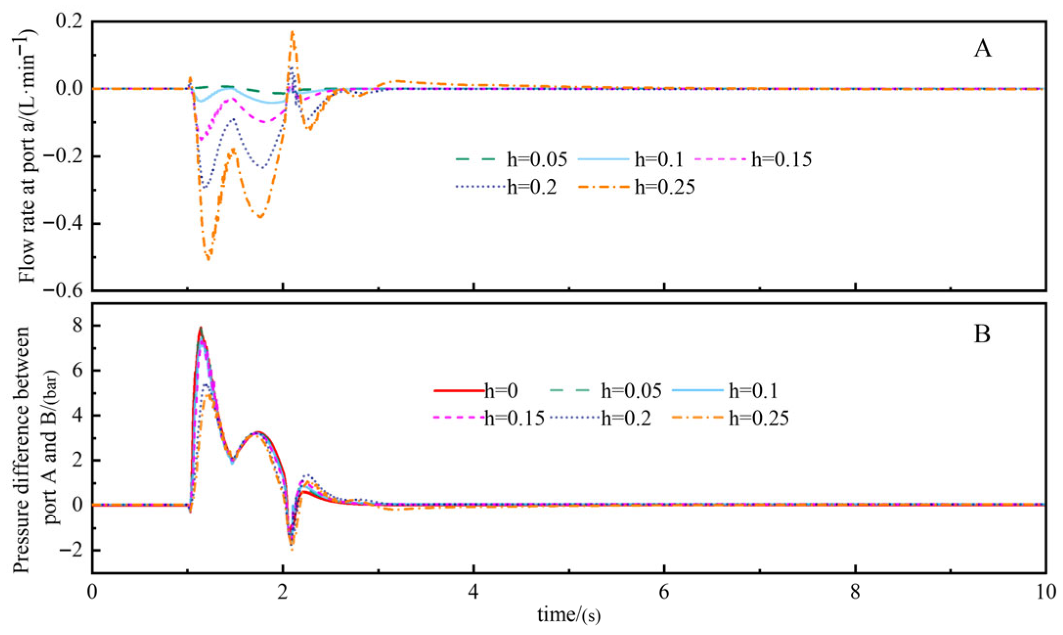
4.1.1. Comparison of Control Effects Under Different Leakage Gaps
4.1.2. Analysis of Overshoot
4.2. Performance Analysis Under C-Level Road Surface
4.2.1. Analysis of Fitness Convergence Curve
4.2.2. Performance Indicator Analysis
4.3. Analysis of the Impact Mechanism of Internal Leakage on System Dynamic Response
5. Conclusions
Author Contributions
Funding
Institutional Review Board Statement
Informed Consent Statement
Data Availability Statement
Conflicts of Interest
References
- Pan, H.; Jing, X.; Sun, W.; Gao, H. A Bioinspired Dynamics-Based Adaptive Tracking Control for Nonlinear Suspension Systems. IEEE Trans. Control Syst. Technol. 2018, 26, 903–914. [Google Scholar] [CrossRef]
- Zheng, H.; Xiong, H.; Huang, Z.; Zhao, D. Research on LQR Control of Nonlinear Active Suspension Cooperatively Optimized by Differential Geometry and Genetic Algorithms. Meas. Control 2025. [Google Scholar] [CrossRef]
- Theunissen, J.; Tota, A.; Gruber, P.; Dhaens, M.; Sorniotti, A. Preview-Based Techniques for Vehicle Suspension Control: A State-of-the-Art Review. Annu. Rev. Control 2021, 51, 206–235. [Google Scholar] [CrossRef]
- Streiter, R. Active Preview Suspension System. ATZ Worldw. 2008, 110, 4–11. [Google Scholar] [CrossRef]
- Zheng, H.; Xiong, H.; Zhao, D.; Ren, Y.; Cao, S.; Huang, Z.; Hu, Z.; Zhou, Z.; Zhao, L.; Li, L. Model-Free Multi-Parameter Optimization Control for Electro-Hydraulic Servo Actuators with Time Delay Compensation. Actuators 2025, 14, 617. [Google Scholar] [CrossRef]
- Hu, Y.; Chen, M.Z.Q.; Hou, Z. Multiplexed Model Predictive Control for Active Vehicle Suspensions. Int. J. Control 2015, 88, 347–363. [Google Scholar] [CrossRef]
- Poussot-Vassal, C.; Spelta, C.; Sename, O.; Savaresi, S.M.; Dugard, L. Survey and Performance Evaluation on Some Automotive Semi-Active Suspension Control Methods: A Comparative Study on a Single-Corner Model. Annu. Rev. Control 2012, 36, 148–160. [Google Scholar] [CrossRef]
- Sun, W.; Pan, H.; Zhang, Y.; Gao, H. Multi-Objective Control for Uncertain Nonlinear Active Suspension Systems. Mechatronics 2014, 24, 318–327. [Google Scholar] [CrossRef]
- Huang, Z.; Hu, Z.; Zhao, D.; Zhou, Z.; Xiong, H.; Li, Y. Research on the Hybrid Redundancy Leveling Strategy for Emergency Rescue Vehicles. Meas. Control 2025, 00202940251407964. [Google Scholar] [CrossRef]
- Shanbhag, V.V.; Meyer, T.J.J.; Caspers, L.W.; Schlanbusch, R. Failure Monitoring and Predictive Maintenance of Hydraulic Cylinder—State-of-the-Art Review. IEEE/ASME Trans. Mechatron. 2021, 26, 3087–3103. [Google Scholar] [CrossRef]
- Xiong, H.; Zheng, H.; Zhao, D.; Feng, Y. Optimized Control Strategy for Electro-Hydraulic Servo Active Suspension System with Internal Leakage Faults. Int. J. Control Autom. Syst. 2025, 23, 1893–1907. [Google Scholar] [CrossRef]
- Guo, Y.; Zeng, Y.; Fu, L.; Chen, X. Modeling and Experimental Study for Online Measurement of Hydraulic Cylinder Micro Leakage Based on Convolutional Neural Network. Sensors 2019, 19, 2159. [Google Scholar] [CrossRef]
- Yao, Z.; Tang, J.; Rui, T.; Duan, J. A Time–Frequency Analysis Based Internal Leakage Detection Method for Hydraulic Actuators. Adv. Mech. Eng. 2017, 9, 168781401668505. [Google Scholar] [CrossRef]
- Phan, V.D.; Phan, Q.C.; Ahn, K.K. Observer-Based Adaptive Fuzzy Tracking Control for a Valve-Controlled Electro-Hydraulic System in Presence of Input Dead Zone and Internal Leakage Fault. Int. J. Fuzzy Syst. 2025. [Google Scholar] [CrossRef]
- Li, L.; Lu, Y.; Wang, R.; Chen, J. A Three-Dimensional Dynamics Control Framework of Vehicle Lateral Stability and Rollover Prevention via Active Braking With MPC. IEEE Trans. Ind. Electron. 2017, 64, 3389–3401. [Google Scholar] [CrossRef]
- Liu, Z.; Si, Y.; Sun, W. Ride Comfort Oriented Integrated Design of Preview Active Suspension Control and Longitudinal Velocity Planning. Mech. Syst. Signal Process. 2024, 208, 110992. [Google Scholar] [CrossRef]
- Pan, H.; Sun, W.; Gao, H.; Yu, J. Finite-Time Stabilization for Vehicle Active Suspension Systems With Hard Constraints. IEEE Trans. Intell. Transp. Syst. 2015, 16, 2663–2672. [Google Scholar] [CrossRef]
- Chen, H.; Liu, Y.-J.; Liu, L.; Tong, S.; Gao, Z. Anti-Saturation-Based Adaptive Sliding-Mode Control for Active Suspension Systems With Time-Varying Vertical Displacement and Speed Constraints. IEEE Trans. Cybern. 2022, 52, 6244–6254. [Google Scholar] [CrossRef] [PubMed]
- Wang, J.; Jin, F.; Zhou, L.; Li, P. Implementation of Model-Free Motion Control for Active Suspension Systems. Mech. Syst. Signal Process. 2019, 119, 589–602. [Google Scholar] [CrossRef]
- Han, S.-Y.; Dong, J.-F.; Zhou, J.; Chen, Y.-H. Adaptive Fuzzy PID Control Strategy for Vehicle Active Suspension Based on Road Evaluation. Electronics 2022, 11, 921. [Google Scholar] [CrossRef]
- Joseph, S.B.; Dada, E.G.; Abidemi, A.; Oyewola, D.O.; Khammas, B.M. Metaheuristic Algorithms for PID Controller Parameters Tuning: Review, Approaches and Open Problems. Heliyon 2022, 8, e09399. [Google Scholar] [CrossRef] [PubMed]
- Mohindru, P. Review on PID, Fuzzy and Hybrid Fuzzy PID Controllers for Controlling Non-Linear Dynamic Behaviour of Chemical Plants. Artif. Intell. Rev. 2024, 57, 97. [Google Scholar] [CrossRef]
- Ambroziak, A.; Chojecki, A. The PID Controller Optimisation Module Using Fuzzy Self-Tuning PSO for Air Handling Unit in Continuous Operation. Eng. Appl. Artif. Intell. 2023, 117, 105485. [Google Scholar] [CrossRef]
- Feng, H.; Ma, W.; Yin, C.; Cao, D. Trajectory Control of Electro-Hydraulic Position Servo System Using Improved PSO-PID Controller. Autom. Constr. 2021, 127, 103722. [Google Scholar] [CrossRef]
- Li, F.; Bai, X.; Su, Z.; Tang, S.; Wang, Z.; Li, F.; Yu, H. Development of a Control System for Double-Pendulum Active Spray Boom Suspension Based on PSO and Fuzzy PID. Agriculture 2023, 13, 1660. [Google Scholar] [CrossRef]
- Liu, Y.; Jiang, D.; Yun, J.; Sun, Y.; Li, C.; Jiang, G.; Kong, J.; Tao, B.; Fang, Z. Self-Tuning Control of Manipulator Positioning Based on Fuzzy PID and PSO Algorithm. Front. Bioeng. Biotechnol. 2022, 9, 817723. [Google Scholar] [CrossRef] [PubMed]
- Zhang, Y.; Wang, S.; Ji, G. A Comprehensive Survey on Particle Swarm Optimization Algorithm and Its Applications. Math. Probl. Eng. 2015, 2015, 931256. [Google Scholar] [CrossRef]
- Chiou, J.-S.; Tsai, S.-H.; Liu, M.-T. A PSO-Based Adaptive Fuzzy PID-Controllers. Simul. Model. Pract. Theory 2012, 26, 49–59. [Google Scholar] [CrossRef]
- Bingül, Z.; Karahan, O. A Fuzzy Logic Controller Tuned with PSO for 2 DOF Robot Trajectory Control. Expert Syst. Appl. 2011, 38, 1017–1031. [Google Scholar] [CrossRef]
- Shi, Y.; Eberhart, R. A Modified Particle Swarm Optimizer. In Proceedings of the 1998 IEEE International Conference on Evolutionary Computation Proceedings; IEEE World Congress on Computational Intelligence (Cat. No.98TH8360); IEEE: Anchorage, AK, USA, 1998; pp. 69–73. [Google Scholar]
- Shi, Y.; Eberhart, R.C. Empirical Study of Particle Swarm Optimization. In Proceedings of the 1999 Congress on Evolutionary Computation-CEC99 (Cat. No. 99TH8406); IEEE: Washington, DC, USA, 1999; pp. 1945–1950. [Google Scholar]















| Name | Symbol | Numerical Value |
|---|---|---|
| Spring-mass | 550 (kg) | |
| Unsprung mass | 50 (kg) | |
| Elastic coefficient of suspension spring | 10,000 (N/m) | |
| Suspension Damping | 1000 (N·s/m) | |
| Elastic stiffness of vehicle tire | 20,000 (N/m) |
| Hydraulic Components | Parameter | Numerical Value |
|---|---|---|
| Hydraulic cylinder | Piston diameter | 40 (mm) |
| Piston rod diameter | 20 (mm) | |
| Piston Thickness | 24 (mm) | |
| Three-position four-way servo valve | Rated current | 10 (mA) |
| Natural frequency | 100 (Hz) | |
| Damping ratio | 0.8 | |
| Pressure drop | ||
| Overflow valve | Overflow Pressure | |
| Hydraulic oil | Density | 883 (kg/m3) |
| Bladder accumulator | Volume | 4 (L) |
| Pre-charged gas pressure | ||
| Quantitative pump | Rotational speed | 1500 (rev/min) |
| Engine displacement | 40 (cc/rev) |
| ec | e | NB | NM | NS | ZO | PS | PM | PB |
|---|---|---|---|---|---|---|---|---|
| Δkp\Δki\Δkd | ||||||||
| NB | NB\NB\PB | NB\NB\PB | NM\NB\PM | NM\NM\PM | NS\NM\PS | ZO\ZO\PS | ZO\ZO\ZO | |
| NM | NB\NB\PB | NB\NB\PB | NM\NM\PM | NS\NM\PM | NS\NS\PS | ZO\ZO\ZO | ZO\ZO\ZO | |
| NS | NB\NM\PM | NM\NM\PM | NS\NS\PM | NS\NS\PS | ZO\ZO\ZO | PS\PS\NS | PS\PS\NM | |
| ZO | NM\NM\PM | NM\NS\PS | NS\NS\PS | ZO\ZO\ZO | PS\PS\NS | PM\PS\NM | PM\PM\NM | |
| PS | NM\NS\PS | NS\NS\PS | ZO\ZO\ZO | PS\PS\NS | PS\PS\NS | PM\PM\NM | PB\PM\NM | |
| PM | ZO\ZO\ZO | ZO\ZO\ZO | PS\PS\NS | PS\PM\NM | PM\PM\NM | PB\PB\NM | PB\PB\NB | |
| PB | ZO\ZO\ZO | ZO\ZO\NS | PS\PS\NS | PM\PM\NM | PM\PB\NM | PB\PB\NB | PB\PB\NB | |
| Annular Gap Height (mm) | Minimum Fitness Value | Fuzzy PID Control Coefficients Optimized by IGAO | ||
|---|---|---|---|---|
| IGAO | GAO | PSO | ||
| 0.829 | 0.906 | 0.838 | ||
| 0.852 | 0.911 | 0.879 | ||
| 0.887 | 0.921 | 0.902 | ||
| 0.915 | 1.003 | 1.013 | ||
| 1.165 | 1.203 | 1.151 | ||
| 1.511 | 1.879 | 1.711 | ||
| System Status | ||||||
|---|---|---|---|---|---|---|
| passive suspension | 0.4122 | 0.4122 | 0.4122 | 0.4122 | 0.4122 | 0.4122 |
| PSO optimized active suspension | 0.1857 | 0.1962 | 0.2036 | 0.2234 | 0.2658 | 0.3631 |
| IGAO optimized active suspension | 0.1706 | 0.1814 | 0.1908 | 0.2004 | 0.2421 | 0.3111 |
| System Status | ||||||
|---|---|---|---|---|---|---|
| passive suspension | 0.0266 | 0.0266 | 0.0266 | 0.0266 | 0.0266 | 0.0266 |
| PSO optimized active suspension | 0.0204 | 0.0203 | 0.0201 | 0.0199 | 0.0187 | 0.0181 |
| IGAO optimized active suspension | 0.0199 | 0.0201 | 0.0196 | 0.0196 | 0.0170 | 0.0160 |
| System Status | ||||||
|---|---|---|---|---|---|---|
| passive suspension | 293.344 | 293.344 | 293.344 | 293.344 | 293.344 | 293.344 |
| PSO optimized active suspension | 135.22 | 144.64 | 145.05 | 156.68 | 194.82 | 214.53 |
| IGAO optimized active suspension | 119.10 | 122.43 | 131.12 | 134.66 | 175.10 | 190.23 |
| Circular Gap Height (mm) | Minimum Fitness Value | Fuzzy PID Control Coefficient |
|---|---|---|
| 3.602 | ||
| 3.677 | ||
| 3.679 | ||
| 3.683 |
| Passive | |||||
|---|---|---|---|---|---|
| 0.297 | 0.189 | 0.202 | 0.217 | 0.220 | |
| 0.0140 | 0.0115 | 0.0111 | 0.0107 | 0.0107 | |
| 172.771 | 112.335 | 123.478 | 128.657 | 131.087 |
Disclaimer/Publisher’s Note: The statements, opinions and data contained in all publications are solely those of the individual author(s) and contributor(s) and not of MDPI and/or the editor(s). MDPI and/or the editor(s) disclaim responsibility for any injury to people or property resulting from any ideas, methods, instructions or products referred to in the content. |
© 2026 by the authors. Licensee MDPI, Basel, Switzerland. This article is an open access article distributed under the terms and conditions of the Creative Commons Attribution (CC BY) license.
Share and Cite
Zheng, H.; Xiong, H.; Zhao, D.; Zhao, Y.; Ren, Y.; Xiao, Y.; Han, Y. Theoretical Analysis of IGAO-Fuzzy PID Fault-Tolerant Control and Performance Optimization for Electro-Hydraulic Active Suspensions Under Internal Leakage Faults. Actuators 2026, 15, 149. https://doi.org/10.3390/act15030149
Zheng H, Xiong H, Zhao D, Zhao Y, Ren Y, Xiao Y, Han Y. Theoretical Analysis of IGAO-Fuzzy PID Fault-Tolerant Control and Performance Optimization for Electro-Hydraulic Active Suspensions Under Internal Leakage Faults. Actuators. 2026; 15(3):149. https://doi.org/10.3390/act15030149
Chicago/Turabian StyleZheng, Haiwu, Hao Xiong, Dingxuan Zhao, Yufei Zhao, Yinying Ren, Yao Xiao, and Yi Han. 2026. "Theoretical Analysis of IGAO-Fuzzy PID Fault-Tolerant Control and Performance Optimization for Electro-Hydraulic Active Suspensions Under Internal Leakage Faults" Actuators 15, no. 3: 149. https://doi.org/10.3390/act15030149
APA StyleZheng, H., Xiong, H., Zhao, D., Zhao, Y., Ren, Y., Xiao, Y., & Han, Y. (2026). Theoretical Analysis of IGAO-Fuzzy PID Fault-Tolerant Control and Performance Optimization for Electro-Hydraulic Active Suspensions Under Internal Leakage Faults. Actuators, 15(3), 149. https://doi.org/10.3390/act15030149

