Sign in to use this feature.

Years

Between: -

Subjects

remove_circle_outline
remove_circle_outline
remove_circle_outline
remove_circle_outline
remove_circle_outline
remove_circle_outline
remove_circle_outline
remove_circle_outline
remove_circle_outline

Journals

remove_circle_outline
remove_circle_outline
remove_circle_outline
remove_circle_outline

Article Types

Countries / Regions

remove_circle_outline
remove_circle_outline
remove_circle_outline
remove_circle_outline
remove_circle_outline

Search Results (363)

Search Parameters:
Keywords = PI tuning

Order results
Result details
Results per page
Select all
Export citation of selected articles as:
20 pages, 4322 KB  
Article
Research on UDE Control Strategy for Permanent Magnet Synchronous Motors Based on Symmetry Principle
by Hui Song, Shulong Liu, Haiyan Song and Ziqi Fan
Symmetry 2026, 18(1), 116; https://doi.org/10.3390/sym18010116 - 8 Jan 2026
Viewed by 97
Abstract
Permanent Magnet Synchronous Motors (PMSMs) are central to high-performance servo drives, yet their control accuracy is often compromised by parameter uncertainties and external disturbances. While the Uncertainty and Disturbance Estimator (UDE) offers enhanced robustness by treating such uncertainties as lumped disturbances, it suffers [...] Read more.
Permanent Magnet Synchronous Motors (PMSMs) are central to high-performance servo drives, yet their control accuracy is often compromised by parameter uncertainties and external disturbances. While the Uncertainty and Disturbance Estimator (UDE) offers enhanced robustness by treating such uncertainties as lumped disturbances, it suffers from significant integral windup under output saturation, degrading dynamic response. This paper proposes a symmetry-principle-based UDE control strategy for the PMSM speed loop, which simplifies parameter tuning through derived analytical expressions for PI gains. To address the windup issue, two anti-windup algorithms are introduced and critically compared: a piecewise tracking back-calculation method and an integral final value prediction algorithm. The key finding is that the integral final value prediction algorithm demonstrates a superior performance. Simulation results show that it reduces the convergence time by 6.3 ms and the overshoot by 1.8% compared to the piecewise method. Experimental validation on an STM32F446-based platform confirms these findings. Under a 600 r/min step with load, the UDE controller with the integral final value prediction algorithm reduces speed overshoot by 15% compared to the piecewise algorithm and by 47% compared to the standard UDE controller without anti-windup. These results conclusively show that the proposed integrated strategy—combining symmetry-based UDE control with the integral final value prediction anti-windup algorithm—significantly improves the dynamic response, accuracy, and robustness of PMSM servo systems. Full article
Show Figures

Figure 1

30 pages, 4550 KB  
Article
Robust Controller Design Based on Sliding Mode Control Strategy with Exponential Reaching Law for Brushless DC Motor
by Seyfettin Vadi
Mathematics 2026, 14(2), 221; https://doi.org/10.3390/math14020221 - 6 Jan 2026
Viewed by 191
Abstract
This study presents a comprehensive performance analysis of four different control strategies, Proportional–Integral (PI), classical Sliding Mode Control (SMC), Super-Twisting SMC (ST-SMC), and Exponential Reaching Law SMC (ERL-SMC), applied to the speed regulation of a Hall-effect sensored Brushless DC (BLDC) motor. A mathematically [...] Read more.
This study presents a comprehensive performance analysis of four different control strategies, Proportional–Integral (PI), classical Sliding Mode Control (SMC), Super-Twisting SMC (ST-SMC), and Exponential Reaching Law SMC (ERL-SMC), applied to the speed regulation of a Hall-effect sensored Brushless DC (BLDC) motor. A mathematically detailed BLDC motor model, three-phase inverter structure with safe commutation logic, and a high-frequency PWM switching scheme were implemented in the MATLAB/Simulink-2024a environment to provide a realistic simulation framework. The control strategies were evaluated under multiple test scenarios, including variations in supply voltage, mechanical load disturbances, reference speed transitions, and steady-state operation. The comparative results reveal that the classical SMC and PI controllers suffer from significant oscillations, overshoot, and limited disturbance rejection capability, especially during voltage and load transients. The ST-SMC algorithm improves robustness and reduces the chattering effect inherent to first-order SMC but still exhibits noticeable oscillations near the sliding surface. In contrast, the proposed ERL-SMC controller demonstrates superior performance across all scenarios, achieving the lowest steady-state ripple, the shortest settling time, and the most stable transition response while significantly mitigating chattering. These results indicate that ERL-SMC is the most effective and reliable control strategy among the evaluated methods for BLDC speed regulation, which requires high dynamic response and disturbance robustness. The findings of this study contribute to the advancement of SMC-based BLDC motor control, providing a solid foundation for future research that integrates observer-based schemes, adaptive tuning, or real-time hardware implementation. Full article
Show Figures

Figure 1

24 pages, 2460 KB  
Article
Performance Comparison of Different Optimization Techniques for Temperature Control of a Heat-Flow System
by Ferhan Karadabağ and Kaan Can
Appl. Sci. 2026, 16(1), 363; https://doi.org/10.3390/app16010363 - 29 Dec 2025
Viewed by 178
Abstract
Nowadays, optimization methods are widely used to adjust controller parameters and tune their optimal values in order to enhance the efficiency and performance of dynamic systems. In this study, the parameters of a linear Proportional–Integral (PI) controller were optimized by using five different [...] Read more.
Nowadays, optimization methods are widely used to adjust controller parameters and tune their optimal values in order to enhance the efficiency and performance of dynamic systems. In this study, the parameters of a linear Proportional–Integral (PI) controller were optimized by using five different optimization algorithms, such as Artificial Tree Algorithm (ATA), Particle Swarm Optimization (PSO), Differential Evolution Algorithm (DEA), Constrained Multi-Objective State Transition Algorithm (CMOSTA), and Adaptive Fire Forest Optimization (AFFO). The optimized controllers were implemented in real time for temperature control of a Heat-flow System (HFS) under various step and time-varying reference signals. In addition, the Ziegler–Nichols (Z–N) method was also applied to the system as a benchmark to compare the temperature tracking performance of the proposed optimization methods. To further evaluate the performance of each optimization algorithm, Mean Absolute Error (MAE) values were calculated, and improvement ratios were obtained. The experimental results showed that the proposed optimization methods provided more successful reference tracking and enhanced controller performance as well. Full article
Show Figures

Figure 1

27 pages, 964 KB  
Review
From Transcriptome to Therapy: The ncRNA Revolution in Neurodevelopmental Disorders
by Jiayi Zhao, Shanshan Li and Xin Jin
Brain Sci. 2026, 16(1), 17; https://doi.org/10.3390/brainsci16010017 - 23 Dec 2025
Viewed by 275
Abstract
Neurodevelopmental disorders (NDDs) such as autism spectrum disorder (ASD), attention-deficit/hyperactivity disorder (ADHD), and intellectual disability (ID) arise from disruptions of molecular programmes that coordinate neurogenesis, synaptogenesis, and circuit maturation. While genomic studies have identified numerous susceptibility loci, genetic variation alone accounts for only [...] Read more.
Neurodevelopmental disorders (NDDs) such as autism spectrum disorder (ASD), attention-deficit/hyperactivity disorder (ADHD), and intellectual disability (ID) arise from disruptions of molecular programmes that coordinate neurogenesis, synaptogenesis, and circuit maturation. While genomic studies have identified numerous susceptibility loci, genetic variation alone accounts for only part of disease heritability, underscoring the importance of post-transcriptional and epigenetic regulation. Among these regulatory layers, non-coding RNAs (ncRNAs), including microRNAs (miRNAs), long non-coding RNAs (lncRNAs), circular RNAs (circRNAs), PIWI-interacting RNAs (piRNAs), and transfer RNA-derived small RNAs (tsRNAs), have emerged as central modulators of neural differentiation, synaptic plasticity, and intercellular signalling. Recent multi-omics and single-cell studies reveal that ncRNAs fine-tune chromatin accessibility, transcriptional output, and translation through tightly integrated regulatory networks. miRNAs shape neurogenic transitions and circuit refinement; lncRNAs and circRNAs couple chromatin architecture to activity-dependent transcription; and tsRNAs and piRNAs extend this regulation by linking translational control to epigenetic memory and environmental responsiveness. Spatial transcriptomics further maps ncRNA expression to vulnerable neuronal and glial subtypes across cortical and subcortical regions. Clinically, circulating ncRNAs, especially those packaged in extracellular vesicles, exhibit stable, disease-associated signatures, supporting their potential as minimally invasive biomarkers for early diagnosis and patient stratification. Parallel advances in RNA interference, antisense oligonucleotides, CRISPR-based editing, and vesicle-mediated delivery highlight emerging therapeutic opportunities. These developments position ncRNAs as both mechanistic determinants and translational targets in NDDs, offering a unifying framework that links genome regulation, environmental cues, and neural plasticity, and paving the way for next-generation RNA-guided diagnostics and therapeutics. Full article
Show Figures

Figure 1

15 pages, 1613 KB  
Article
Exploring the Cognitive Capabilities of Large Language Models in Autonomous and Swarm Navigation Systems
by Dawid Ewald, Filip Rogowski, Marek Suśniak, Patryk Bartkowiak and Patryk Blumensztajn
Electronics 2026, 15(1), 35; https://doi.org/10.3390/electronics15010035 - 22 Dec 2025
Viewed by 354
Abstract
The rapid evolution of autonomous vehicles necessitates increasingly sophisticated cognitive capabilities to handle complex, unstructured environments. This study explores the cognitive potential of Large Language Models (LLMs) in autonomous navigation and swarm control systems, addressing the limitations of traditional rule-based approaches. The research [...] Read more.
The rapid evolution of autonomous vehicles necessitates increasingly sophisticated cognitive capabilities to handle complex, unstructured environments. This study explores the cognitive potential of Large Language Models (LLMs) in autonomous navigation and swarm control systems, addressing the limitations of traditional rule-based approaches. The research investigates whether multimodal LLMs, specifically a customized version of LLaVA 7B (Large Language and Vision Assistant), can serve as a central decision-making unit for autonomous vehicles equipped with cameras and distance sensors. The developed prototype integrates a Raspberry Pi module for data acquisition and motor control with a main computational unit running the LLM via the Ollama platform. Communication between modules combines REST API for sensory data transfer and TCP sockets for real-time command exchange. Without fine-tuning, the system relies on advanced prompt engineering and context management to ensure consistent reasoning and structured JSON-based control outputs. Experimental results demonstrate that the model can interpret real-time visual and distance data to generate reliable driving commands and descriptive situational reasoning. These findings suggest that LLMs possess emerging cognitive abilities applicable to real-world robotic navigation and lay the groundwork for future swarm systems capable of cooperative exploration and decision-making in dynamic environments. These insights are particularly valuable for researchers in swarm robotics and developers of edge-AI systems seeking efficient, multimodal navigation solutions. Full article
(This article belongs to the Special Issue Data-Centric Artificial Intelligence: New Methods for Data Processing)
Show Figures

Figure 1

27 pages, 3177 KB  
Article
A Modified Enzyme Action Optimizer-Based FOPID Controller for Temperature Regulation of a Nonlinear Continuous Stirred Tank Reactor
by Cebrail Turkeri, Serdar Ekinci, Gökhan Yüksek and Dacheng Li
Fractal Fract. 2025, 9(12), 811; https://doi.org/10.3390/fractalfract9120811 - 12 Dec 2025
Viewed by 444
Abstract
A modified Enzyme Action Optimizer (mEAO) is proposed to tune a Fractional-Order Proportional–Integral–Derivative (FOPID) controller for precise temperature regulation of a nonlinear continuous stirred tank reactor (CSTR). The nonlinear reactor model, adopted from a standard benchmark formulation widely used in CSTR control studies, [...] Read more.
A modified Enzyme Action Optimizer (mEAO) is proposed to tune a Fractional-Order Proportional–Integral–Derivative (FOPID) controller for precise temperature regulation of a nonlinear continuous stirred tank reactor (CSTR). The nonlinear reactor model, adopted from a standard benchmark formulation widely used in CSTR control studies, is employed as the simulation reference. The tuning framework operates in a simulation-based manner, as the optimizer relies solely on the time-domain responses to evaluate a composite cost function combining overshoot, settling time, rise time, and steady-state error. Comparative simulations involving EAO, Starfish Optimization Algorithm (SFOA), Success History-based Adaptive Differential Evolution with Linear population size reduction (L-SHADE), and Particle Swarm Optimization (PSO) demonstrate that the proposed mEAO achieves the lowest cost value, the fastest convergence, and superior transient performance. Further comparisons with classical tuning methods, Rovira 2DOF-PID, Ziegler–Nichols PID, and Cohen–Coon PI, confirm improved tracking accuracy and smoother actuator behavior. Robustness analyses under varying set-points, feed-temperature disturbances, and measurement noise confirm stable temperature regulation without retuning. These findings demonstrate that the mEAO-based FOPID controller provides an efficient and reliable optimization framework for a nonlinear thermal-process control, with strong potential for future real-time and multi-reactor applications. Full article
Show Figures

Figure 1

20 pages, 2501 KB  
Article
Field-Deployable Kubernetes Cluster for Enhanced Computing Capabilities in Remote Environments
by Teodor-Mihail Giurgică, Annamaria Sârbu, Bernd Klauer and Liviu Găină
Appl. Sci. 2025, 15(24), 12991; https://doi.org/10.3390/app152412991 - 10 Dec 2025
Viewed by 464
Abstract
This paper presents a portable cluster architecture based on a lightweight Kubernetes distribution designed to provide enhanced computing capabilities in isolated environments. The architecture is validated in two operational scenarios: (1) machine learning operations (MLOps) for on-site learning, fine-tuning and retraining of models [...] Read more.
This paper presents a portable cluster architecture based on a lightweight Kubernetes distribution designed to provide enhanced computing capabilities in isolated environments. The architecture is validated in two operational scenarios: (1) machine learning operations (MLOps) for on-site learning, fine-tuning and retraining of models and (2) web hosting for isolated or resource-constrained networks, providing resilient service delivery through failover and load balancing. The cluster leverages low-cost Raspberry Pi 4B units and virtualized nodes, integrated with Docker containerization, Kubernetes orchestration, and Kubeflow-based workflow optimization. System monitoring with Prometheus and Grafana offers continuous visibility into node health, workload distribution, and resource usage, supporting early detection of operational issues within the cluster. The results show that the proposed dual-mode cluster can function as a compact, field-deployable micro-datacenter, enabling both real-time Artificial Intelligence (AI) operations and resilient web service delivery in field environments where autonomy and reliability are critical. In addition to performance and availability measurements, power consumption, scalability bottlenecks, and basic security aspects were analyzed to assess the feasibility of such a platform under constrained conditions. Limitations are discussed, and future work includes scaling the cluster, evaluating GPU/TPU-enabled nodes, and conducting field tests in realistic tactical environments. Full article
Show Figures

Figure 1

22 pages, 4302 KB  
Article
Vehicle Vibration Characteristics of an Additional-Flow-Path-Type Magnetorheological Damper Using a Frequency-Tuned Proportional-Integral Controller
by Seongjae Won, Sukju Kim, Chanyoung Jin and Jinwook Lee
Energies 2025, 18(23), 6324; https://doi.org/10.3390/en18236324 - 1 Dec 2025
Viewed by 284
Abstract
Magnetorheological (MR) dampers provide tunable, fast-response damping for semi-active suspension systems. However, their nonlinear flow behavior can limit stability and energy efficiency under broadband road excitation. This study proposes an additional-flow-path-type MR damper integrated with a frequency-domain proportional-integral (PI) controller that captures the [...] Read more.
Magnetorheological (MR) dampers provide tunable, fast-response damping for semi-active suspension systems. However, their nonlinear flow behavior can limit stability and energy efficiency under broadband road excitation. This study proposes an additional-flow-path-type MR damper integrated with a frequency-domain proportional-integral (PI) controller that captures the dominant spectral characteristics of ISO-standard road profiles. A quarter-car simulation model developed in AMESim was used to assess the dynamic performance of the integrated system. The controller gains were tuned using representative excitation frequencies obtained through spectral analysis, allowing the damping force to be shaped in accordance with the primary vibration bandwidth. This approach combines structural modifications that enhance internal flow linearity with a control strategy aligned with the statistical nature of real road disturbances. Simulation results show that the proposed method reduces vertical acceleration of the sprung mass while simultaneously lowering the average damping-force demand compared with a passive suspension. These findings indicate that the combined structural control framework improves both ride comfort and mechanical energy dissipation efficiency. Full article
Show Figures

Figure 1

39 pages, 7041 KB  
Article
Self-Tuning Current Control via ANN for Enhanced Harmonic Mitigation in Hybrid PV–Battery Storage Systems Utilizing the 3L-HANPC Inverter
by Aydın Başkaya and Bunyamin Tamyurek
Electronics 2025, 14(23), 4617; https://doi.org/10.3390/electronics14234617 - 24 Nov 2025
Viewed by 796
Abstract
The accelerated integration of photovoltaic (PV) systems, particularly within Hybrid PV–Battery Storage Systems (PV-BSS), establishes a compelling need for advanced control strategies that are fundamental to achieving effective Energy Saving Management. However, conventional proportional–integral (PI) controllers demonstrate limited adaptability and necessitate tedious, manual [...] Read more.
The accelerated integration of photovoltaic (PV) systems, particularly within Hybrid PV–Battery Storage Systems (PV-BSS), establishes a compelling need for advanced control strategies that are fundamental to achieving effective Energy Saving Management. However, conventional proportional–integral (PI) controllers demonstrate limited adaptability and necessitate tedious, manual parameter tuning, frequently resulting in suboptimal dynamic performance, especially under load transients. To specifically address these constraints within the domain of high-power electronics, this paper introduces a novel Artificial Neural Network (ANN)-based current controller tailored for the 1500 VDC Three-Level Hybrid Active Neutral Point Clamped (3L-HANPC) inverter, which is a widely accepted PV-BSS topology. The optimal Multi-Layer Perceptron (MLP) architecture was identified using a multi-criteria methodology, which strategically balanced Total Harmonic Distortion (THD) performance against training efficiency. Simulation results affirm that the proposed ANN controller achieves superior harmonic mitigation and demonstrates faster dynamic responses compared to the PI counterpart. Moreover, the controller fundamentally ensures stable operation while eliminating the necessity for complex PI parameter tuning. Its dependable performance across both trained and unseen operating points strongly validates its robust adaptability. This self-tuning ANN approach thus provides a viable pathway for enhancing the reliability of future hybrid energy storage systems. Full article
(This article belongs to the Special Issue Energy Saving Management Systems: Challenges and Applications)
Show Figures

Figure 1

52 pages, 20832 KB  
Article
Disturbance-Resilient Two-Area LFC via RBBMO-Optimized Hybrid Fuzzy–Fractional with Auxiliary PI(1+DD) Controller Considering RES/ESS Integration and EVs Support
by Saleh A. Alnefaie, Abdulaziz Alkuhayli and Abdullah M. Al-Shaalan
Mathematics 2025, 13(23), 3775; https://doi.org/10.3390/math13233775 - 24 Nov 2025
Viewed by 371
Abstract
This study examines dual-area load–frequency control (LFC) in the context of significant renewable energy integration, energy storage systems (ESSs), and collective electric vehicle (EV) involvement. We propose a RBBMO-FO-FuzzyPID+PI(1+DD) hybrid controller in which fractional-order fuzzy regulation shapes the ACE, while an auxiliary PI(1+DD) [...] Read more.
This study examines dual-area load–frequency control (LFC) in the context of significant renewable energy integration, energy storage systems (ESSs), and collective electric vehicle (EV) involvement. We propose a RBBMO-FO-FuzzyPID+PI(1+DD) hybrid controller in which fractional-order fuzzy regulation shapes the ACE, while an auxiliary PI(1+DD) path adds damping without steady-state penalty. Across ideal linear plants, 3% governor-rate constraints (GRC), and stressed conditions that include contract violations in Area-2, renewable power variations, and partial EV State of Charge (SoC 50–70%), EV participation yields systematic gains for all controller families, and the magnitude depends on the control architecture. Baseline methods improve by 15–25% with EVs, whereas advanced designs—especially the proposed controller—benefit by 25–45%, revealing a clear synergy between controller intelligence and EV flexibility. With EV support, the proposed controller limits frequency overshoot to 0.055 Hz (a 20–55% reduction versus peers), caps the nadir at −0.065 Hz (15–41% better undershoot), and attains 3.5–4.5 s settling (25–61% faster than competitors), while holding tie-line deviations within ±0.02 Hz. Optimization studies confirm the algorithmic advantage: RBBMO achieves 30% lower cost than BBOA and converges 25% faster; EV integration further reduces cost by 15% and speeds convergence by 12%. A strong correlation between optimization cost and closed-loop performance (r2 ≈ 0.95) validates the tuning strategy. Collectively, the results establish the proposed hybrid controller with EV participation as a new benchmark for robust, system-wide frequency regulation in renewable-rich multi-area grids. Full article
(This article belongs to the Special Issue Artificial Intelligence Techniques Applications on Power Systems)
Show Figures

Figure 1

22 pages, 4250 KB  
Article
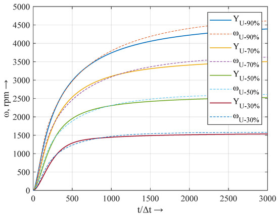
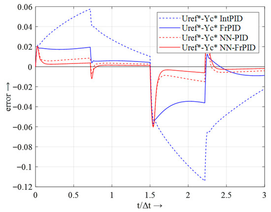
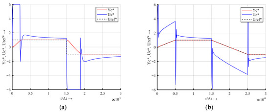
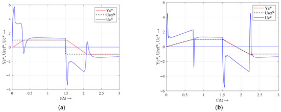
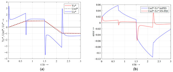
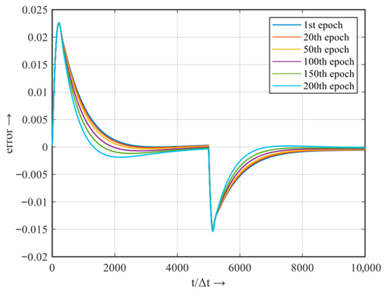
Fractional PI-PIμD Controllers with Neural Network Adaptation in Control System of BLDC Motor Electric Drives
by Victor Busher, Valeriy Kuznetsov, Viktor Kovalenko, Mykola Babyak, Valeriy Druzhinin, Valerii Tytiuk, Artur Rojek, Kateryna Klochko, Ievgen Gurin and Yurii Shramko
Energies 2025, 18(23), 6132; https://doi.org/10.3390/en18236132 - 23 Nov 2025
Viewed by 381
Abstract
This paper investigates, for the first time, the synthesis of a controller that incorporates a fractional-order integral component to achieve a closed-loop astaticism order greater than one. To enhance both static and dynamic accuracy, the controller integrates direct-signal-propagation neural networks within each control [...] Read more.
This paper investigates, for the first time, the synthesis of a controller that incorporates a fractional-order integral component to achieve a closed-loop astaticism order greater than one. To enhance both static and dynamic accuracy, the controller integrates direct-signal-propagation neural networks within each control channel. The controlled plant is the BLDCM speed loop, which is modeled using a fractional-order differential equation. The study compares the performance of four controller types: a classical PID regulator tuned close to the optimal modulus criterion (IntPID); a fractional PI–PIμD controller (FrPID) that achieves an astaticism order of at least 1.8; and two hybrid neuro-controllers, NN–IntPID and NN–FrPID. While the FrPID controller reduces the root-mean-square error by nearly a factor of five compared with IntPID, the best results are delivered by NN–FrPID. Specifically, it decreases overshoot eight-fold during a reference step (from 2.98% to 0.35%), lowers the root-mean-square error during linear reference tracking by a factor of eleven, and reduces the relative speed error by more than thirty-five times. When combined with a fast learning algorithm executed at each control-cycle iteration, the controller enables the closed loop to adapt not only to variations in gain coefficients, but also to changes in the fractional-aperiodic order of the plant. These results demonstrate that neural fractional-integral controllers offer strong potential for improving accuracy and robustness in BLDC motor drives and are applicable to a wide range of electromechanical systems. Full article
(This article belongs to the Section F3: Power Electronics)
Show Figures

Figure 1

19 pages, 930 KB  
Article
Adaptive PI Control Using Recursive Least Squares for Centrifugal Pump Pipeline Systems
by David A. Brattley and Wayne W. Weaver
Machines 2025, 13(11), 1064; https://doi.org/10.3390/machines13111064 - 18 Nov 2025
Viewed by 556
Abstract
Pipeline transportation of petroleum products remains one of the safest and most efficient methods of bulk energy delivery, yet overpressure events continue to pose serious operational and regulatory challenges. Traditional fixed-gain PI controllers, commonly used with centrifugal pump drives, cannot adapt to varying [...] Read more.
Pipeline transportation of petroleum products remains one of the safest and most efficient methods of bulk energy delivery, yet overpressure events continue to pose serious operational and regulatory challenges. Traditional fixed-gain PI controllers, commonly used with centrifugal pump drives, cannot adapt to varying product densities or transient disturbances such as valve closures that generate water hammer. This paper proposes a self-tuning adaptive controller based on Recursive Least Squares (RLS) parameter estimation to improve safety and efficiency in pipeline pump operations. A nonlinear simulation model of a centrifugal pump driven by an induction motor is developed, incorporating pipeline friction losses via the Darcy–Weisbach relation and pressure transients induced by rapid valve closures. The RLS algorithm continuously estimates effective loop dynamics, enabling online adjustment of proportional and integral gains under changing fluid and operating conditions. Simulation results demonstrate that the proposed RLS-based adaptive controller maintains discharge pressure within ±2% of the target setpoint under density variations from 710 to 900 kg/m3 and during severe transient events. Compared to a fixed-gain PI controller, the adaptive strategy reduced pressure overshoot by approximately 31.9% and settling time by 6%. Model validation using SCADA field data yielded an R2 = 0.957, RMSE = 3.95 m3/h, and normalized NRMSE of 12.6% (by range), confirming strong agreement with measured system behavior. The findings indicate that RLS-based self-tuning provides a practical enhancement to existing pipeline control architectures, offering both improved robustness to abnormal transients and greater efficiency during steady-state operation. This work establishes a foundation for higher-level supervisory and game-theoretic coordination strategies to be explored in subsequent studies. Full article
(This article belongs to the Section Turbomachinery)
Show Figures

Figure 1

14 pages, 829 KB  
Article
SPaRLoRA: Spectral-Phase Residual Initialization for LoRA in Low-Resource ASR
by Liang Lan, Wenyong Wang, Guanyu Zou, Jia Wang and Daliang Wang
Electronics 2025, 14(22), 4466; https://doi.org/10.3390/electronics14224466 - 16 Nov 2025
Viewed by 550
Abstract
Parameter-efficient fine-tuning (PEFT) methods like Low-Rank Adaptation (LoRA) are widely used to adapt large pre-trained models under limited resources, yet they often underperform full fine-tuning in low-resource automatic speech recognition (ASR). This gap stems partly from initialization strategies that ignore speech signals’ inherent [...] Read more.
Parameter-efficient fine-tuning (PEFT) methods like Low-Rank Adaptation (LoRA) are widely used to adapt large pre-trained models under limited resources, yet they often underperform full fine-tuning in low-resource automatic speech recognition (ASR). This gap stems partly from initialization strategies that ignore speech signals’ inherent spectral-phase structure. Unlike SVD/QR-based approaches (PiSSA, OLoRA) that construct mathematically optimal but signal-agnostic subspaces, we propose SPaRLoRA (Spectral-Phase Residual LoRA), which leverages Discrete Fourier Transform (DFT) bases to create speech-aware low-rank adapters. SPaRLoRA explicitly incorporates both magnitude and phase information by concatenating real and imaginary parts of DFT basis vectors, and applies residual correction to focus learning exclusively on components unexplained by the spectral subspace. Evaluated on a 200-h Sichuan dialect ASR benchmark, SPaRLoRA achieves a 2.1% relative character error rate reduction over standard LoRA, outperforming variants including DoRA, PiSSA, and OLoRA. Ablation studies confirm the individual and complementary benefits of spectral basis, phase awareness, and residual correction. Our work demonstrates that signal-structure-aware initialization significantly enhances parameter-efficient fine-tuning for low-resource ASR without architectural changes or added inference cost. Full article
(This article belongs to the Special Issue Multimodal Learning and Transfer Learning)
Show Figures

Figure 1

27 pages, 2961 KB  
Article
Mechanical Parameter Identification of Permanent Magnet Synchronous Motor Based on Symmetry
by Xing Ming, Xiaoyu Wang, Fucong Liu, Yi Qu, Bingyin Zhou, Shuolin Zhang and Ping Yu
Symmetry 2025, 17(11), 1929; https://doi.org/10.3390/sym17111929 - 11 Nov 2025
Cited by 1 | Viewed by 535
Abstract
Permanent Magnet Synchronous Motors (PMSMs) have been widely applied across various electrical systems due to their significant advantages, including high power density, high-efficiency conversion, and easy controllability. However, the issue of ‘parameter asymmetry’ (a mismatch between the controller’s preset parameters and the actual [...] Read more.
Permanent Magnet Synchronous Motors (PMSMs) have been widely applied across various electrical systems due to their significant advantages, including high power density, high-efficiency conversion, and easy controllability. However, the issue of ‘parameter asymmetry’ (a mismatch between the controller’s preset parameters and the actual system parameters) in PMSMs can lead to performance problems, such as delayed speed response and increased overshoot. The destruction of symmetry, including the asymmetric weight distribution between new and old data in the moment-of-inertia identification algorithm and the asymmetry between “measured values and true values” caused by sampling delay, is the core factor limiting the system’s control performance. All these factors significantly affect the accuracy of parameter identification and the system’s stability. To address this, this study focuses on the mechanical parameter identification of PMSMs with the core goal of “symmetric matching between set values and true values”. Firstly, a current-speed dual closed-loop vector control system model is constructed. The PI parameters are tuned to meet the symmetric tracking requirements of “set value-feedback” in the dual loops, and the influence of the PMSM’s moment of inertia on the loop symmetry is analyzed. Secondly, the symmetry defects of traditional algorithms are highlighted, such as the imbalance between “data weight and working condition characteristics” in the least-squares method and the mismatch between “set inertia and true inertia” caused by data saturation. Finally, a Forgetting Factor Recursive Least Squares (FFRLS) scheme is proposed: the timing asymmetry of signals is corrected via a first-order inertial link, a forgetting factor λ is introduced to balance data weights, and a recursive structure is adopted to avoid data saturation. Simulation results show that when λ = 0.92, the identification accuracy reaches +5% with a convergence time of 0.39 s. Moreover, dynamic symmetry can still be maintained under multiple multiples of inertia, thereby improving identification performance and ensuring symmetry in servo control. Full article
(This article belongs to the Special Issue Symmetry in Power System Dynamics and Control)
Show Figures

Figure 1

30 pages, 16943 KB  
Article
Grid-Connected Bidirectional Off-Board Electric Vehicle Fast-Charging System
by Abdullah Haidar, John Macaulay and Zhongfu Zhou
Energies 2025, 18(22), 5913; https://doi.org/10.3390/en18225913 - 10 Nov 2025
Viewed by 613
Abstract
The widespread adoption of electric vehicles (EVs) is contingent on high-power fast-charging infrastructure that can also provide grid stabilization services through bidirectional power flow. While the constituent power stages of such off-board chargers are well-known, a critical research gap exists in their system-level [...] Read more.
The widespread adoption of electric vehicles (EVs) is contingent on high-power fast-charging infrastructure that can also provide grid stabilization services through bidirectional power flow. While the constituent power stages of such off-board chargers are well-known, a critical research gap exists in their system-level integration, where sub-optimal dynamic interaction between independently controlled stages often leads to DC-link instability and poor transient performance. This paper presents a rigorous, system-level study to address this gap by developing and optimizing a unified control framework for a high-power bidirectional EV fast-charging system. The system integrates a three-phase active front-end rectifier with an LCL filter and a four-phase interleaved bidirectional DC/DC converter. The methodology involves a holistic dynamic modeling of the coupled system, the design of a hierarchical control strategy augmented with a battery current feedforward scheme, and the system-wide optimization of all Proportional–Integral (PI) controller gains using the Artificial Bee Colony (ABC) algorithm. Comprehensive simulation results demonstrate that the proposed optimized control framework achieves a critically damped response, significantly outperforming a conventionally tuned baseline. Specifically, it reduces the DC-link voltage settling time during charging-to-discharging transitions by 74% (from 920 ms to 238 ms) and eliminates voltage undershoot, while maintaining excellent steady-state performance with grid current total harmonic distortion below 1.2%. The study concludes that system-wide metaheuristic optimization, rather than isolated component-level design, is key to unlocking the robust, high-performance operation required for next-generation EV fast-charging infrastructure, providing a validated blueprint for future industrial development. Full article
(This article belongs to the Section E: Electric Vehicles)
Show Figures

Figure 1

Back to TopTop