Performance Comparison of Different Optimization Techniques for Temperature Control of a Heat-Flow System
Abstract
1. Introduction
2. Materials and Methods
2.1. System Modeling and Experimental Setup
2.2. Methods
2.2.1. Particle Swarm Optimization
2.2.2. Constrained Multi-Objective State Transition Algorithm
- If x is feasible and y infeasible; then .
- If both are feasible, usual Pareto dominance satisfies with strict inequality holding for at least one .
- If both are infeasible, the solution with smaller total violation dominates as given below:
- Remove any y ∈ At for which x’ dominates y.
- If no member of At dominates x’, add x’.
- To limit archive size, apply truncation based on diversity metric (crowding distance or grid density).
2.2.3. Artificial Tree Algorithm
2.2.4. Differential Evolution Algorithm Optimization Method
2.2.5. Adaptive Forest Fire Algorithm Optimization Method
3. Experimental Results
4. Discussion
- The first experiment, step + sinusoidal temperature reference signal, was implemented to analyze the reference tracking performances of the controller parameters obtained via the mentioned optimization methods, during a smoothly changing signal. Table 6 presents the improvement rates of the PSO, ATA, AFFO, CMOSTA, and DEA methods with respect to the Z–N method. Examination of the table shows that, for the step part of the reference signal, all proposed optimization methods achieved at least a 50% improvement rate in reference tracking performance over the Z–N method. Furthermore, the DEA method demonstrated the highest improvement rate, achieving approximately 54.06% with the obtained controller parameters.
- In the second experiment, a step + square reference signal was applied to evaluate the controllers’ responses to sudden changes, in contrast to the previous reference signal. Table 7 presents the improvement rates achieved by the optimization methods proposed in this study compared to the Z–N method. For the step portion of the reference signal, the DEA method exhibited the highest improvement rate at approximately 56.01%, followed by ATA (52.81%), PSO (52.63%), CMOSTA (52.12%), and AFFO (41.66%), respectively. Throughout the square reference signal, the controller parameters obtained by using the DEA method achieved the highest improvement rate in reference tracking compared to Z–N, with an improvement rate of approximately 9.5%, followed by CMOSTA with 8.3%, ATA with 7.75%, AFFO with 5.08%, and PSO with 3.45%. As a result, as shown in the table, the controller parameters obtained by using the DEA method achieved the highest overall reference tracking improvement of 20.14% compared to the Z–N method across the entire reference signal.
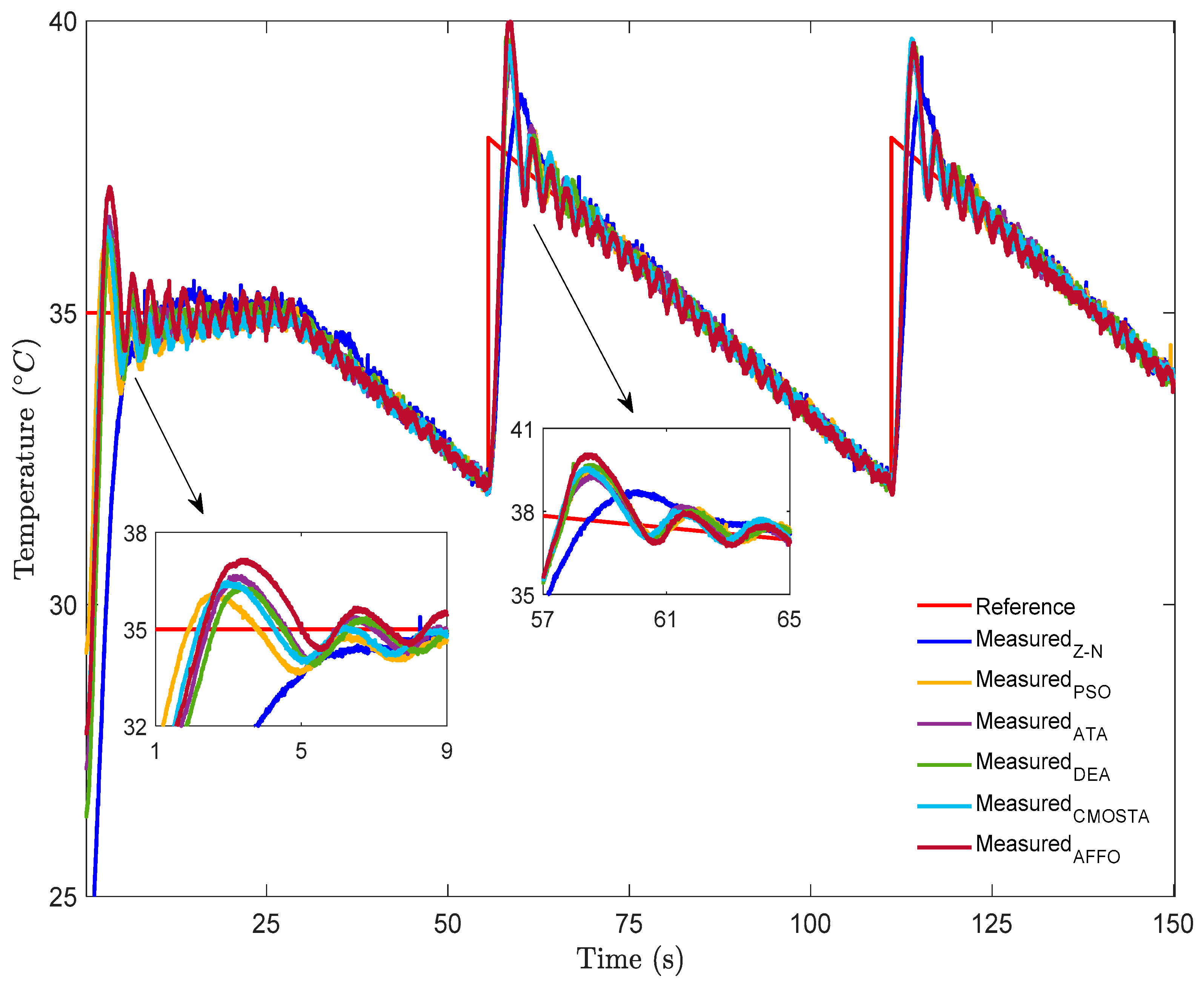
- The improvement rates achieved in the final experiment, using the step + sawtooth reference signal, are presented in Table 8. As can be seen from the table, in the step part, the DEA method achieved nearly 52% better reference tracking than Z–N, followed by PSO with 51.35%, ATA with 50.84%, CMOSTA with 50.76%, and AFFO with 49.92%. Additionally, for the sawtooth part of the reference signal, which includes both sudden and smooth changes, the DEA method outperformed Z–N, achieving an improvement of approximately 21.92%, followed by CMOSTA with 21.50%, ATA with 20.96%, PSO with 20.06%, and AFFO with 15.92%. Finally, across the entire reference signal, the DEA method not only achieved a 36.52% improvement in reference tracking compared to Z–N, but also demonstrated the highest overall improvement among all the optimization methods.
5. Conclusions
Author Contributions
Funding
Data Availability Statement
Conflicts of Interest
Abbreviations
| PSO | Particle Swarm Optimization |
| PI | Proportional-Integral |
| DEA | Differential Evolution Algorithm |
| HFS | Heat-Flow System |
| HVAC | Heating, Ventilation and Air Conditioning |
| ATA | Artificial Tree Algorithm |
| AFFO | Adaptive Fire Forest Algorithm |
| AT | Artificial Tree |
| Z–N | Ziegler–Nichols |
| CMOSTA | Constrained Multi-Objective State Transition Algorithm |
| ITAE | Integral of Time-weighted Absolute Error |
| IAE | Integral of Absolute Error |
References
- Bejan, A.; ASME, F.; Jones, J.A. From Heat Transfer Principles to Shape and Structure in Nature: Constructal Theory Available to Purchase. J. Heat Transf. 2000, 122, 430–449. [Google Scholar] [CrossRef]
- Woźniak, M.; Ksiażek, K.; Marciniec, J.; Połap, D. Heat production optimization using bio-inspired algorithms. Eng. Appl. Artif. Intell. 2018, 76, 185–201. [Google Scholar] [CrossRef]
- Yılmaz, M.; Can, K.; Başçi, A. PI + Feed Forward Controller Tuning Based on Genetic Algorithm for Liquid Level Control of Coupled-Tank System. J. Inst. Sci. Technol. 2021, 11, 1014–1026. [Google Scholar] [CrossRef]
- Alyoussef, F.; Kaya, İ.; Akrad, A. Robust PI-PD Controller Design: Industrial Simulation Case Studies and a Real-Time Application. Electronics 2024, 13, 3362. [Google Scholar] [CrossRef]
- Huba, M.; Chamraz, S.; Bistak, P.; Vrancic, D. Making the PI and PID Controller Tuning Inspired by Ziegler and Nichols Precise and Reliable. Sensors 2021, 21, 6157. [Google Scholar] [CrossRef] [PubMed]
- Ashraf Talesh, S.H.; Nariman-zadeh, N.; Jamali, A. Multi-objective parametric design of PI/PID controllers via multi-level game-theoretic optimization for systems with time delay. Trans. Inst. Meas. Control 2022, 44, 2532–2544. [Google Scholar] [CrossRef]
- Kula, K.S. Tuning a PI/PID Controller with Direct Synthesis to Obtain a Non-Oscillatory Response of Time-Delayed Systems. Appl. Sci 2024, 14, 5468. [Google Scholar] [CrossRef]
- Izci, D.; Jabari, M.; Çelik, E.; Ekinci, S.; Bajaj, M.; Rubanenko, O.; Prokop, L. Designing a cascaded exponential PID controller via starfish optimizer for DC motor and liquid level systems. Sci. Rep. 2025, preprint. [Google Scholar] [CrossRef]
- Ekinci, S.; Izci, D.; Gider, V.; Bajaj, M.; Blazek, V.; Prokop, L. Quadratic interpolation optimization-based 2DoF-PID controller design for highly nonlinear continuous stirred-tank heater process. Sci. Rep. 2025, 15, 16324. [Google Scholar] [CrossRef]
- Rizk-Allah, R.M.; Ekinci, S.; Jabari, M.; Izci, D.; Bajaj, M.; Blazek, V.; Rubanenko, O. Enhanced PID controller tuning for nonlinear continuous stirred-tank heaters using a modified Newton-Raphson optimizer with random opposition and Lévy-flight learning. Sci. Rep. 2025, preprint. [Google Scholar] [CrossRef]
- Sedighizadeh, D.; Masehian, E. Particle Swarm Optimization Methods, Taxonomy and Applications. Int. J. Comput. Theory Eng. 2009, 1, 486–502. [Google Scholar] [CrossRef]
- Rao, R.V.; Patel, V.K. Thermodynamic optimization of cross flow plate-fin heat exchanger using a particle swarm optimization algorithm. Int. J. Therm. Sci. 2010, 49, 1712–1721. [Google Scholar] [CrossRef]
- Vakili, S.; Gadala, M.S. Effectiveness and Efficiency of Particle Swarm Optimization Technique in Inverse Heat Conduction Analysis. Numer. Heat Transf. Part B Fundam. 2009, 56, 119–141. [Google Scholar] [CrossRef]
- Yang, P.; Guo, R.; Pan, X.; Li, T. Study on the sliding mode fault tolerant predictive control based on multi agent particle swarm optimization. Int. J. Control Autom. Syst. 2017, 15, 2034–2042. [Google Scholar] [CrossRef]
- Joseph, S.B.; Dada, E.G.; Abidemi, A.; Oyewola, D.O.; Khammas, B.M. Metaheuristic algorithms for PID controller parameters tuning: Review, approaches and open problems. Heliyon 2022, 8, e09399. [Google Scholar] [CrossRef]
- Huang, M.; Zhang, J.; Li, J.; Deng, Z.; Luo, J. Damage identification of steel bridge based on data augmentation and adaptive optimization neural network. Struct. Health Monit. 2025, 24, 1674–1699. [Google Scholar] [CrossRef]
- Li, Q.Q.; Song, K.; He, Z.C.; Li, E.; Cheng, A.G.; Chen, T. The artificial tree (AT) algorithm. Eng. Appl. Artif. Intell. 2017, 65, 99–110. [Google Scholar] [CrossRef]
- Nahak, C.; Nanda, S. Duality for multiobjective variational problems with invexity. Optimization 1996, 36, 235–248. [Google Scholar] [CrossRef]
- Wang, Y.; He, H.; Zhou, X.; Yang, C.; Xie, Y. Optimization of both operating costs and energy efficiency in the alumina evaporation process by a multi-objective state transition algorithm. Can. J. Chem. Eng. 2015, 94, 53–65. [Google Scholar] [CrossRef]
- Manoharan, J.S.; Vijayasekaran, G.; Gugan, I.; Priyadharshi, P.N. Adaptive forest fire optimization algorithm for enhanced energy efficiency and scalability in wire-less sensor networks. Ain Shams Eng. J. 2025, 16, 103406. [Google Scholar] [CrossRef]
- Fuente, R.D.L.; Aguayo, M.M.; Contreras-Bolton, C. An optimization-based approach for an integrated forest fire monitoring system with multiple technologies and surveillance drones. Eur. J. Oper. Res. 2024, 313, 435–451. Available online: https://www.sciencedirect.com/science/article/pii/S0377221723006124 (accessed on 1 September 2025). [CrossRef]
- Storn, R.; Price, K. Differential Evolution—A Simple and Efficient Heuristic for Global Optimization over Continuous Spaces. J. Glob. Optim. 1997, 11, 341–359. [Google Scholar] [CrossRef]
- Storn, R. On the usage of differential evolution for function optimization. In Proceedings of the Conference of the North American Fuzzy Information Processing Society—NAFIPS, Berkley, CA, USA, 19–22 August 2002. [Google Scholar] [CrossRef]
- Cheng, L.; Wang, Y.; Wang, C.; Mohamed, A.W.; Xiao, T. Adaptive Differential Evolution Based on Successful Experience Information. IEEE Access 2020, 8, 164611–164636. [Google Scholar] [CrossRef]
- He, Y.; Gao, S.; Liao, N.; Liu, H. A nonlinear goal-programming-based DE and ANN approach to grade optimization in iron mining. Neural Comput. Appl. 2016, 27, 2065–2081. [Google Scholar] [CrossRef]
- Zhao, B.; Yan, R.; Jin, Y.; Zheng, H. Application Research of Differential Evolution Algorithm in Resistance Coefficient Identification of Heating Pipeline. Therm. Eng. 2024, 71, 534–543. [Google Scholar] [CrossRef]
- Deng, W.; Shang, S.; Cai, X.; Zhao, H.; Song, Y.; Xu, J. An improved differential evolution algorithm and its application in optimization problem. Soft Comput. 2021, 25, 5277–5298. [Google Scholar] [CrossRef]
- Quanser Heat Flow Experimental User Manual, Quanser Inc., Markham, ON, Canada, 2005. Available online: https://www.quanser.com/wp-content/uploads/2017/03/Heat-Flow-Experiment-Datasheet.pdf (accessed on 1 September 2025).
- Orman, K. Design of a Memristor-Based 2-DOF PI Controller and Testing of Its Temperature Profile Tracking in a Heat Flow System. IEEE Access 2022, 10, 98384–98390. Available online: https://ieeexplore.ieee.org/stamp/stamp.jsp?tp=&arnumber=9889718 (accessed on 15 September 2025).
- Wang, D.; Yue, C.; Wei, S.; Lv, J. Performance Analysis of Four Decomposition-Ensemble Models for One-Day-Ahead Agricultural Commodity Futures Price Forecasting. Algorithms 2017, 10, 108. [Google Scholar] [CrossRef]
- Bencheikh, G. Metaheuristics and Machine Learning Convergence: A Comprehensive Survey and Future Prospects. Metaheuristic Mach. Learn. Optim. Strateg. Complex Syst. 2024, 276–322. [Google Scholar]
- Ma, R.J.; Yu, N.Y.; Hu, J.-Y. Application of Particle Swarm Optimization Algorithm in the Heating System Planning Problem. Sci. World J. 2013, 2013, 718345. [Google Scholar] [CrossRef]
- Kitak, P.; Glotic, A.; Ticar, I. Heat Transfer Coefficients Determination of Numerical Model by Using Particle Swarm Optimization. IEEE Trans. Magn. 2014, 50, 933–936. [Google Scholar] [CrossRef]
- İlker, G.; Özkan, İ. SADASNet: A Selective and Adaptive Deep Architecture Search Network with Hyperparameter Optimization for Robust Skin Cancer Classification. Diagnostics 2025, 15, 541. [Google Scholar] [CrossRef]
- Yin, Z.; Pan, L.; Fang, X. Bio-Inspired Computing—Theories and Applications. In Proceedings of the 10th International Conference, BIC-TA 2015, Hefei, China, 25–28 September, 2015. [Google Scholar]
- Li, K.; Li, W.; Wang, H.; Liu, Y. Artificial Intelligence Algorithms and Applications. In Proceedings of the 11th International Symposium, ISICA 2019, Guangzhou, China, 16–17 November, 2019. [Google Scholar]
- He, S.; Lu, Z.; Wen, X.; Zhang, Z.; Sun, Y.; Zhang, L. Energy-Efficient Power Allocation with QoS Guarantee in OFDMA Wireless Networks. In Proceedings of the International Symposium, WPMC 2014, Sydney, NSW, Australia, 7–10 September 2014. [Google Scholar]
- Abada, L.; Bennaceur, M.; Boudjenana, A.A.; Aouat, S. Using PSO metaheuristic to solve photometric 3D reconstruction. In Proceedings of the 7th International Symposium, ISPA 2022, Mostaganem, Algeria, 8–9 May 2022. [Google Scholar]
- Khadraoui, S.; Nounou, H. A Nonparametric Approach to Design Fixed-order Controllers for Systems with Constrained Input. Int. J. Control Autom. Syst. 2018, 16, 2870–2877. [Google Scholar] [CrossRef]
- Tringali, A.; Cocuzza, S. Globally Optimal Inverse Kinematics Method for a Redundant Robot Manipulator with Linear and Nonlinear Constraints. Robotics 2020, 9, 61. [Google Scholar] [CrossRef]
- Geng, J.; Jin, R. Binary Coding and Optimization Method. In Antenna Optimization and Design Based on Binary Coding; Modern Antenna; Springer: Singapore, 2022; pp. 11–32. [Google Scholar]
- Ledezma, G.A.; Bejan, A.; Errera, M.R. Contractual tree networks for heat transfer. J. Appl. Phys. 1997, 82, 89–100. [Google Scholar] [CrossRef]
- Cornuejols, G.; Tütüncü, R. Optimization Methods in Finance; Carnegie Mellon University: Pittsburgh, PA, USA, 2006; p. 349. [Google Scholar]
- Cermak, J.; Deml, M.; Penka, M.A. New Method of Sap Flow Rate Determination in Trees. Biol. Plant. (Praha) 2008, 15, 171–178. [Google Scholar] [CrossRef]
- Tian, Y.; Chen, H.; Xiang, X.; Jiang, H.; Zhang, X. A Comparative Study on Evolutionary Algorithms and Mathematical Programming Methods for Continuous Optimization. In Proceedings of the 2022 IEEE Congress on Evolutionary Computation (CEC), Padua, Italy, 18–23 July 2022; Available online: https://ieeexplore.ieee.org/document/9870359 (accessed on 19 October 2025).
- Cheng, J.; Zhang, G. Improved Differential Evolutions Using a Dynamic Differential Factor and Population Diversity. In Proceedings of the 2009 International Conference on Artificial Intelligence and Computational Intelligence, Shanghai, China, 7–8 November 2009; Available online: https://ieeexplore.ieee.org/document/5376243 (accessed on 18 October 2025).
- Sayah, S.; Zehar, K. Modified differential evolution algorithm for optimal power flow with non-smooth cost functions. Energy Convers. Manag. 2008, 49, 3036–3042. [Google Scholar] [CrossRef]
- Babu, B.V.; Jehan, M.M.L. Differential evolution for multi-objective optimization. In Proceedings of the 2003 Congress on Evolutionary Computation, Canberra, ACT, Australia, 8–12 December 2003; Available online: https://ieeexplore.ieee.org/document/1299429 (accessed on 23 October 2025).
- Atofarati, E.O.; Enweremadu, C.C. Industry 4.0 enabled calorimetry and heat transfer for renewable energy systems. iScience 2025, 28, 112994. [Google Scholar] [CrossRef]
- Wang, Y.X.; Xiang, Q.L. Exploring new learning strategies in Differential Evolution algorithm. In Proceedings of the 2008 Congress on Evolutionary Computation, Hong Kong, China, 1–6 June 2008; Available online: https://ieeexplore.ieee.org/document/4630800 (accessed on 27 October 2025).
- Gao, Y.; Zhang, X.; Yan, Q.; Li, Y. Demand Response Strategies for Electric Vehicle Charging and Discharging Behaviour Based on Road–Electric Grid Interaction and User Psychology. Sustainability 2025, 17, 2536. [Google Scholar] [CrossRef]
- Available online: www.ejge.com/2015/Ppr2015.0318ma.pdf (accessed on 8 September 2025).
- Autio, M.; Laitinen, M.; Pramila, A. Systematic creation of composite structures with prescribed thermomechanical properties. Compos. Eng. 1993, 3, 249–259. [Google Scholar] [CrossRef]
- Ismail, M.M.; Al-Dhaifallah, M.; Rezk, H.; Habib, H.U.R.; Hamad, S.A. Optimizing battery discharge management of PMSM vehicles using adaptive nonlinear predictive control and a Generalized Integrator. Ain Shams Eng. J. 2024, 15, 103169. [Google Scholar] [CrossRef]
- Åström, K.J.; Hägglund, T. PID Controllers: Theory, Design, and Tuning, 2nd ed.; Instrument Society of America (ISA): Durham, NC, USA, 1995. [Google Scholar]










| Symbol | Description | Value | Unit |
|---|---|---|---|
| HFE dimensions | 50 × 15 × 10 | cm | |
| HFE mass | 0.5 | kg | |
| Blower nominal input voltage | 6 | V | |
| B | Blower nominal airflow | 36 | CFM |
| Blower nominal airflow (in SI units) | 1.02 | ||
| Max wind speed | 159.4 | m/min | |
| Blower max speed | 2700 | RPM | |
| Heater max power (at 5 V) | 400 | W | |
| Temperature sensor calibration gain | 20 | ||
| A | Cross-sectional area | 0.0064 | |
| Current power requirements (maximum current) | 5 | A | |
| Heat-flow voltage power requirements | 120–240 | VAC |
| Method | Kp | Ki |
|---|---|---|
| Z–N | 0.2550 | 0.0941 |
| PSO | 2.0010 | 0.1902 |
| ATA | 3.1957 | 0.1882 |
| DEA | 1.8180 | 0.1986 |
| CMOSTA | 3.0180 | 0.1730 |
| AFFO | 1.9852 | 0.0347 |
| Method | Step | Sinusoidal | Step + Sinusoidal |
|---|---|---|---|
| Z–N | 1.3471 | 0.2930 | 0.4898 |
| PSO | 0.6416 | 0.1098 | 0.2091 |
| ATA | 0.6650 | 0.1107 | 0.2428 |
| DEA | 0.6188 | 0.0901 | 0.2055 |
| CMOSTA | 0.6602 | 0.1011 | 0.2526 |
| AFFO | 0.6291 | 0.1307 | 0.2751 |
| Method | Step | Sinusoidal | Step + Sinusoidal |
|---|---|---|---|
| Z–N | 1.3655 | 0.7751 | 0.8772 |
| PSO | 0.6468 | 0.7483 | 0.7294 |
| ATA | 0.6443 | 0.7150 | 0.7018 |
| DEA | 0.6006 | 0.7014 | 0.7005 |
| CMOSTA | 0.6537 | 0.7107 | 0.7100 |
| AFFO | 0.7966 | 0. 7357 | 0.7192 |
| Method | Step | Sinusoidal | Step + Sinusoidal |
|---|---|---|---|
| Z–N | 1.3413 | 0.3334 | 0.5215 |
| PSO | 0.6525 | 0.2665 | 0.3354 |
| ATA | 0.6593 | 0.2635 | 0.3374 |
| DEA | 0.6438 | 0.2603 | 0.3310 |
| CMOSTA | 0. 6604 | 0.2617 | 0.3342 |
| AFFO | 0.6716 | 0.2803 | 0.3533 |
| Method | Step (wrt. Z–N) | Sinusoidal (wrt. Z–N) | Total Improvement (wrt. Z–N) |
|---|---|---|---|
| PSO | 52.37% | 62.52% | 57.30% |
| ATA | 50.63% | 62.21% | 50.42% |
| DEA | 54.06% | 69.24% | 58.04% |
| CMOSTA | 50.99% | 65.49% | 48.42% |
| AFFO | 53.29% | 55.39% | 43.83% |
| Method | Step (wrt. Z–N) | Square (wrt. Z–N) | Total Improvement (wrt. Z–N) |
|---|---|---|---|
| PSO | 52.63% | 3.45% | 16.84% |
| ATA | 52.81% | 7.75% | 19.99% |
| DEA | 56.01% | 9.50% | 20.14% |
| CMOSTA | 52.12% | 8.3% | 19.06% |
| AFFO | 41.66% | 5.08% | 18.01% |
| Method | Step (wrt. Z–N) | Sawtooth (wrt. Z–N) | Total Improvement (wrt. Z–N) |
|---|---|---|---|
| PSO | 51.35% | 20.06% | 35.68% |
| ATA | 50.84% | 20.96% | 35.30% |
| DEA | 52.00% | 21.92% | 36.52% |
| CMOSTA | 50.76% | 21.50% | 35.91% |
| AFFO | 49.92% | 15.92% | 32.25% |
Disclaimer/Publisher’s Note: The statements, opinions and data contained in all publications are solely those of the individual author(s) and contributor(s) and not of MDPI and/or the editor(s). MDPI and/or the editor(s) disclaim responsibility for any injury to people or property resulting from any ideas, methods, instructions or products referred to in the content. |
© 2025 by the authors. Licensee MDPI, Basel, Switzerland. This article is an open access article distributed under the terms and conditions of the Creative Commons Attribution (CC BY) license.
Share and Cite
Karadabağ, F.; Can, K. Performance Comparison of Different Optimization Techniques for Temperature Control of a Heat-Flow System. Appl. Sci. 2026, 16, 363. https://doi.org/10.3390/app16010363
Karadabağ F, Can K. Performance Comparison of Different Optimization Techniques for Temperature Control of a Heat-Flow System. Applied Sciences. 2026; 16(1):363. https://doi.org/10.3390/app16010363
Chicago/Turabian StyleKaradabağ, Ferhan, and Kaan Can. 2026. "Performance Comparison of Different Optimization Techniques for Temperature Control of a Heat-Flow System" Applied Sciences 16, no. 1: 363. https://doi.org/10.3390/app16010363
APA StyleKaradabağ, F., & Can, K. (2026). Performance Comparison of Different Optimization Techniques for Temperature Control of a Heat-Flow System. Applied Sciences, 16(1), 363. https://doi.org/10.3390/app16010363

