Next Article in Journal
A Fractional Calculus Approach to Energy Balance Modeling: Incorporating Memory for Responsible Forecasting
Previous Article in Journal
Research on Risk Contagion and Risk Early Warning of China’s Fintech and Banking Industry from the Perspective of Complex Networks
error_outline You can access the new MDPI.com website here. Explore and share your feedback with us.
 
 
Font Type:
Arial Georgia Verdana
Font Size:
Aa Aa Aa
Line Spacing:
Column Width:
Background:
Article

Robust Controller Design Based on Sliding Mode Control Strategy with Exponential Reaching Law for Brushless DC Motor

Department of Electrical and Electronics Engineering, Faculty of Technology, Gazi University, Ankara 06500, Turkey
Mathematics 2026, 14(2), 221; https://doi.org/10.3390/math14020221
Submission received: 8 December 2025 / Revised: 29 December 2025 / Accepted: 3 January 2026 / Published: 6 January 2026

Abstract

This study presents a comprehensive performance analysis of four different control strategies, Proportional–Integral (PI), classical Sliding Mode Control (SMC), Super-Twisting SMC (ST-SMC), and Exponential Reaching Law SMC (ERL-SMC), applied to the speed regulation of a Hall-effect sensored Brushless DC (BLDC) motor. A mathematically detailed BLDC motor model, three-phase inverter structure with safe commutation logic, and a high-frequency PWM switching scheme were implemented in the MATLAB/Simulink-2024a environment to provide a realistic simulation framework. The control strategies were evaluated under multiple test scenarios, including variations in supply voltage, mechanical load disturbances, reference speed transitions, and steady-state operation. The comparative results reveal that the classical SMC and PI controllers suffer from significant oscillations, overshoot, and limited disturbance rejection capability, especially during voltage and load transients. The ST-SMC algorithm improves robustness and reduces the chattering effect inherent to first-order SMC but still exhibits noticeable oscillations near the sliding surface. In contrast, the proposed ERL-SMC controller demonstrates superior performance across all scenarios, achieving the lowest steady-state ripple, the shortest settling time, and the most stable transition response while significantly mitigating chattering. These results indicate that ERL-SMC is the most effective and reliable control strategy among the evaluated methods for BLDC speed regulation, which requires high dynamic response and disturbance robustness. The findings of this study contribute to the advancement of SMC-based BLDC motor control, providing a solid foundation for future research that integrates observer-based schemes, adaptive tuning, or real-time hardware implementation.

1. Introduction

Brushless DC motors (BLDC) have gained significant importance in today’s evolving technology and industrial applications due to their high efficiency, durability, and precise control capabilities. Compared to traditional brushed motors, their low maintenance requirements, longer lifespan, and quiet operation have made them a preferred choice in both industrial and consumer electronics. BLDC motors have a low rate of mechanical wear because they operate with electronic commutation based on the principle of electromagnetic drive. This situation particularly increases reliability in systems that operate continuously or at high speeds [1,2].
One of the most significant advantages of BLDC motors is their high efficiency. Eliminating brush losses, along with magnetic optimization in the stator and rotor design, makes energy conversion more efficient. Because these motors are generally compact and lightweight, they are an ideal solution for applications requiring high power in limited spaces. Thanks to its high torque density, high torque production is possible in a small volume [3]. Additionally, its fast dynamic response capabilities and wide speed control ranges provide superior performance in applications requiring precise control. Thanks to electronic control units (e.g., PWM drivers and microcontroller-based systems), it is possible to precisely adjust torque, speed, and position [4].
BLDC motors are widely used in numerous industrial and commercial applications that require high performance and energy efficiency. Electric vehicles are preferred due to their high torque, low energy consumption, and regenerative braking capabilities. In robotic systems, it stands out due to its advantages of precise motion control, low noise, and high response speed. In the aerospace and defense industries, it offers an advantage due to its compact design in applications where weight is of critical importance [5]. It is also frequently used in medical technologies, computer cooling fans, drone systems, and industrial automation equipment. This wide range of applications demonstrates that BLDC motors have become an indispensable component in modern engineering solutions [1,6].
The high efficiency and dynamic performance of BLDC motors are directly related to the accurate control of speed and torque. However, in practical applications, achieving this control presents various challenges. One of the most important issues is the variability in system parameters. The motor’s stator resistance, inductance, or back electromotive force (EMF) constants can change over time depending on factors such as temperature, magnetic saturation, or aging. This situation can lead to a deterioration in system performance and a weakening of speed regulation when working with a fixed-gain controller [7,8]. Additionally, load torque fluctuations are a significant external disturbance. Especially in industrial applications, the motor may be subjected to sudden load changes or variations in mechanical friction. These fluctuations result in sudden deviations in motor speed, making it challenging to maintain the desired reference speed. Traditional control methods may not be able to react quickly enough to such unexpected changes; therefore, more advanced and adaptive control strategies are needed [7,9]. Another significant challenge is variations in the DC supply voltage. Fluctuations in the source voltage directly affect the motor’s torque-producing capacity, and this effect becomes particularly pronounced in battery-powered systems (e.g., electric vehicles or portable robot systems). Voltage drops can cause the motor to be unable to maintain its reference speed or lead to torque imbalance [10]. Therefore, in order to achieve robust performance in BLDC motor speed control, the system must be able to predict and compensate for these external disturbances. BLDC motor speed control is a complex problem due to its non-linear structure, parameter variations, and disturbing effects, requiring the implementation of high-precision control algorithms (e.g., sliding mode control or adaptive control methods) [10,11,12].
In studies on the speed control of BLDC motors, different control strategies have been developed due to the motor’s non-linear structure, parameter variations, and external disturbances. Among the most common methods in the literature are PID (Proportional-Integral-Derivative), Sliding Mode Control (SMC), Adaptive Control, Model Predictive Control (MPC), and Artificial Intelligence-based control methods. Each method offers different advantages in terms of maintaining system stability, suppressing disruptive effects, and achieving rapid dynamic response. PID control is one of the most commonly used classical methods in BLDC motor drives. It is preferred due to its simple structure, ease of implementation, and low computational cost. However, its sensitivity to parameter changes and its performance degradation in non-linear systems are among the limiting aspects of this method [13,14]. Sliding Mode Control (SMC) stands out as a suitable method for the non-linear structure of BLDC motors. This control approach provides high robustness against uncertainties in system dynamics and external disturbances [10,15].
In this study, in addition to the proportional-integral (PI) control and classical sliding mode control (SMC) methods, which are widely used in the literature, the Exponential Reaching Law-Based Sliding Mode Control (ERL-SMC) method was preferred. Recent advancements in sliding mode control (SMC) for Brushless DC (BLDC) motor drives have explored a variety of enhanced reaching law strategies and optimization frameworks to improve performance and robustness. For example, Chao et al. (2025) developed a sliding mode–based speed controller for BLDC motors under field-oriented control that explicitly incorporates an exponential reaching law along with optimization of dynamic gains to reduce overshoot and improve tracking performance in both simulation and experimental tests, demonstrating practical application of exponential reaching-law concepts in BLDC control systems [16]. Additionally, Alnaib et al. (2025) investigated sliding mode controllers with improved reaching laws, including strategies designed to mitigate torque ripple—a key performance metric in BLDC drives—supporting the recent trend toward advanced reaching-law designs in motor control [17]. Other contemporary work has pursued modified sliding mode variants such as integral sliding surfaces with optimized reaching laws for BLDC speed regulation, further evidencing ongoing interest in reaching-law enhancements within the BLDC domain [18]. These studies underscore that enhanced reaching laws in sliding mode control frameworks are actively being applied to BLDC motors in the 2024–2025 literature, thereby situating the current work within an emerging context of advanced SMC strategies and motivating a clear statement of novelty for the specific Exponential Reaching Law Sliding Mode Control (ERLSMC) formulation proposed here.
This proposed method was compared with classical control methods, including PI control and sliding mode control, for performance analysis. To compare the performance of control methods, the effectiveness of each method in regulating the speed of the BLDC motor, maintaining system stability, and resisting disturbances was objectively evaluated. In this context, while the limits of the linear control strategy were determined using a PI controller as a basic reference, classical sliding mode control was considered as a benchmark for comparison due to its robustness in non-linear systems and fast transient response. If the sliding mode controller is based on the exponential approach law, it has been possible to reduce the chattering effect seen in classical SMC and ensure that the system exhibits smoother transient behavior. Thus, the improvements that the ERL-SMC method can achieve in both transient and steady-state performance have been demonstrated through numerical simulation results.
The general structure of the system used in this study is illustrated in the block diagram shown in Figure 1. In the system, energy obtained from a DC (direct current) source is applied to a brushless DC motor (BLDCM) through a three-phase inverter. The motor’s rotor position is detected by Hall sensors (HA, HB, HC), and this information is transmitted to the commutation algorithm. The commutation algorithm generates appropriate switching signals for the inverter’s six main switches (S1–S6) based on the position signals received from the Hall sensors. The mechanical angular velocity of the motor (ωm) is measured and fed back to the controller, where it is compared with the reference speed (ωref) to generate a control signal (duty) based on the error signal. This control signal is applied to the inverter through PWM modulation, allowing for precise control of the motor speed relative to the reference value. This structure enables closed-loop control of the system and allows for the comparison of the performance of different control algorithms (PI, SMC, ERL-SMC).

2. Mathematical Analysis of the BLDC Motor

The brushless DC motor (BLDC) used in the simulation study is a model of a permanent magnet synchronous machine (PMSM) with three-phase, trapezoidal back electromotive force (back-EMF). The electrical parameters of the motor used in the simulation are as follows:
The stator phase resistance is R S = 0.7   Ω , the stator phase inductance is L S = 2.7 × 10 3   H , the flux linkage produced by the magnets is λ m = 0.1194   Vs , the rotor moment of inertia is J = 0.0027   kg   m 2 , the viscous friction coefficient is B = 0.0004924   Nms / rad , the number of pole pairs is p = 4 , and the back EMF flat region angle is 120°. These parameters are fundamental to modeling both the electrical and mechanical dynamics of the motor. According to Kirchhoff’s voltage law, the equations for each phase of a three-phase BLDC motor are as follows:
V a = R S i a + L S d i a d t + e a
V b = R S i b + L S d i b d t + e b
V c = R S i c + L S d i c d t + e c
Here, V a ,   V b ,   V c represents the phase voltages, i a ,   i b ,   i c represents the stator phase currents, and e a ,   e b ,   e c represents the back EMF voltages induced in the phases. Since the back EMF waveform in BLDC motors is trapezoidal, the back EMF value for each phase with respect to the rotor position θ e can be expressed as follows:
e a = K e f a θ e ω m e b = K e f b θ e ω m e c = K e f c θ e ω m
Here, K e represents the back EMF constant, ω m represents the rotor’s angular velocity, and f a θ e ,   f b θ e ,   f c θ e represents the functions that correspond to the trapezoidal waveform, dependent on the rotor’s position. These functions are separated by phase shifts of 120° and take values in the range of 1 ,   0 ,   + 1 . The electromagnetic torque produced by a BLDC motor is defined as follows, depending on the relationship between the phase currents and the back EMF voltages induced in the phases:
T e = 1 ω m e a i a + e b i b + e c i c
The mechanical dynamics of the engine are expressed by the following differential equation based on Newton’s second law:
T e = J d ω m d t + B ω m + T L
Here, represents the rotational inertia of the motor, represents the viscous friction coefficient, and represents the load torque. This equation shows that the difference between the motor’s electromagnetic torque and the load torque determines the change in rotor angular velocity. The Permanent Magnet Synchronous Machine block used in the simulation represents a model of a BLDC motor with three-phase trapezoidal back EMF. The “Mechanical input” parameter of the model is set to Torque (Tm), and the load torque applied to the motor by the mechanical system is specified through this input. The values for flux linkage, resistance, and inductance were entered directly based on manufacturer data. Additionally, the rotor’s starting position is set to be 90° behind the A-axis. This setting ensures the correct modeling of the phase difference between the phase currents and back-EMF signals. This given mathematical model comprehensively represents the electrical and mechanical behavior of the BLDC motor. This model has been used as the fundamental dynamic structure in the performance evaluation of control algorithms (PI, Classical SMC, Exponential Reaching Law SMC).
In this study, the brushless DC motor (BLDCM) was driven using a six-step commutation method based on rotor position information obtained from Hall sensors. The Hall sensors (HA, HB, HC) for the motor’s A, B, and C phases determine the rotor’s sector positions at 60° electrical angles, thus precisely identifying which two phases of the motor will be actively conducting. Hall sensor outputs are applied to the BLDC hall PWM commutation algorithm developed in this study to calculate the corresponding sector number, and the phase upper-lower switch combinations corresponding to this sector are determined. The upper switches are modulated using PWM, and the lower switches are driven in continuous conduction mode, providing positive current through one phase and return current through the opposite phase, while the third phase remains open. Additionally, the algorithm includes a safety mechanism with dead-time management on each leg to prevent short circuits caused by the upper and lower switches overlapping in the PWM signals. Thus, both the DC inverter operates safely, and the desired speed control performance is achieved by directly reflecting the ‘duty’ signal from the controller onto the motor current. Table 1 shows the commutation scheme prepared for this study. Duty is only applied to the upper switches, and the lower switch is set to a constant 1 for the relevant phase.

3. Control Methods

In this section, four different control strategies used in speed control of a brushless direct current (BLDC) motor with a Hall sensor are explained in detail: PI, SMC, ST-SMC, and ERL-SMC.

3.1. PI Controller

In this study, a proportional-integral (PI) controller was used for speed control of the BLDC motor. The PI controller generates the duty cycle corresponding to the motor’s PWM signals by minimizing the error between the motor’s angular velocity ( ω m ) and the reference speed ( ω r e f ). This duty ratio is sent to the commutation block, which determines the switching signals (S1–S6) of the inverter. Thus, a closed-loop system is created that directly controls the engine speed. The PI controller takes the reference speed ( ω r e f ) and the measured speed ( ω m ) as inputs. The error signal is defined as follows:
e t = ω r e f t ω m t
The control law consists of proportional and integral components according to the classical PI structure:
u t = K p e t + K i 0 t e t d t
Here, the proportional gain is K p = 0.02 , and the integral gain is K i = 2 . These values were selected through trial and error to produce a minimum steady-state error in the motor speed at the reference value. The sampling time in the simulation is T s = 1 × 10 5 seconds. Figure 2 shows the PI-based form of the controller block shown in Figure 1.
The PI controller operates on the speed error (e), which is obtained from the difference between the reference speed ( ω r e f ) and the mechanism speed ( ω m ) measured by the motor. As seen in the diagram, the error signal is split into two branches and processed through both the proportional gain (Kp) and the integral gain (Ki). While the proportional path generates an instantaneous and rapid response to the error magnitude, shaping the dynamic behavior of the control signal, the integral component accounts for the accumulation of the error signal over time, eliminating any steady-state error that may occur in the system. The sum of these two components generates the duty signal for the inverter. Thus, the PI controller regulates the motor’s drive system to provide both a fast transient response and error-free speed tracking in the steady state. The PI control law in discrete form can be written as follows:
u k = K p e k + x k x k + 1 = x k + T s K i e k
Here, x k is the cumulative form of the integral component. Before the output of the PI controller is applied to the PWM module, the duty cycle is physically limited between 0 and 1. In this study, the duty ratio was kept within the range of 0 to 0.95, taking into account the duty cycle, inverter losses, and non-linear behaviors:
d u t y = s a t u k = 0.95 0 , u k , ,     u k > 0.95 u k < 0 o t h e r w i s e
This limitation prevents the control output from exceeding the physical limits of the motor and driver. However, if the integral component continues to accumulate when it saturates, the system will experience the windup problem. Therefore, an anti-windup mechanism has been used in the model. The following expression in the PI control algorithm created in MATLAB represents this mechanism:
x k + 1 = x k + T s K i e k + K a w d u t y u k
Here, K a w = 10 is the anti-windup coefficient. This term feeds back the integral term using the difference between the saturated output and the unsaturated control signal, preventing excessive accumulation. Thus, the controller’s stability is maintained, and the system exhibits a faster recovery response. The duty signal obtained from the PI controller is sent to the PWM module and applied to the three-phase inverter of the BLDC motor. The PWM signal generates switching signals (S1–S6) by comparing with a carrier triangular wave. These signals are applied to the motor phases sequentially to perform the commutation process. The commutation block determines which switches will be conducting based on the rotor position. Thus, the duty cycle produced by the PI controller directly affects the motor’s torque production and, consequently, its speed.

3.2. Sliding Mode Control

The second method used for speed control of the BLDC motor for performance comparison is the classic Sliding Mode Control (SMC) algorithm. SMC, known for providing high robustness in controlling non-linear systems, is a control method resistant to disturbances and parameter changes. This controller generates the duty cycle using the motor’s angular velocity feedback. This duty signal is sent to the PWM module, which generates the inverter’s switching signals (S1–S6) and applies them to the motor’s three phases through the commutation block. The purpose of the SMC algorithm is to keep the system error on a defined sliding surface, thereby guiding the error dynamics in the desired manner. This surface is defined as a combination of the velocity error and its derivative:
e t = ω r e f t ω m t s t = λ e t + d e t d t
Here, s t is the sliding surface, and λ is the positive gain that determines the slope of the sliding surface. The parameters used in the simulation are as follows. The sampling time is chosen as T s = 1 × 10 5 s, λ = 200 , and the saturation limit is chosen as 0 d u t y 0.95 . As in PI, the gain coefficients were selected through trial and error to minimize errors in the steady state. The SMC law is designed to bring the system’s state (here, the error dynamics) to the surface of s = 0 and keep it there. Figure 3 shows the classical SMC-based form of the controller block shown in Figure 1.
As seen in the diagram, the error signal is split into two branches: on one hand, λ is multiplied by the coefficient of friction, and on the other hand, it is passed through a derivative block to obtain the derivative of the error. These two components are combined to form the shear surface (s). The sliding surface is then passed through a sign function, resulting in a switched structure where the control input is forced to a level of 0 or 1 depending on whether the value of s is positive or negative. Thus, the control signal continuously switches between high and low levels to quickly pull the system to the s = 0 surface and keep it there. This structure represents the nature of classic SMC, which provides both high bandwidth and superior resilience against disruptive effects. The classic discrete-time form is as follows.
u k = u k 1 + T s K s i g n s k
Here, the control output ( u k ) is the slip gain (chosen as 10 in the simulation). s i g n s is the sign function that determines the sign of the sliding surface. This control law drives the error surface toward zero by guiding the system’s dynamics with rapid transitions between two modes. Thus, the system becomes independent of disturbances by entering “sliding mode.” The control signal must be between 0 and 1, with the physical sign function applied. The stability of sliding mode control can be evaluated using Lyapunov’s direct method. The Lyapunov candidate function can be chosen as follows:
V = 1 2 s 2
From here, the derivative of the candidate function is written as follows:
d V d t = s d s d t = s λ d e t d t + d 2 e t d t 2
If the control law is chosen appropriately, the V ˙ 0 condition is met, and the system becomes stable with the state being s 0 . In this case, the error dynamics take the following form.
e ˙ + λ e = 0       e t = e 0 e λ t
This expression indicates that the error dynamics approach zero exponentially, meaning the system reaches the desired reference speed in a stable manner. The duty signal obtained from the control law (0 and 1 in this controller) is used to generate the inverter’s switching signals (S1–S6). These signals are sent to the appropriate phases via the commutation block, depending on the rotor position. Thus, speed control is achieved by keeping the motor’s torque production on the slip surface.

3.3. Super-Twisting SMC Method

In this subsection, the Super-Twisting Sliding Mode Control (ST-SMC) method, which is a second-order derivative of classical sliding mode control, is examined for the purpose of controlling the angular velocity of the BLDC motor with high accuracy and insensitivity to disturbances. The Super-Twisting algorithm is a powerful control approach for continuous-time motor systems because it does not require derivatives, is robust to noise, and significantly reduces the chattering effect compared to classical SMC. The error between the actual angular speed of the motor and the reference speed, and the resulting slip surface, were obtained in Equation (12). The Super-Twisting algorithm generates a second-order control signal such that the sliding surface is s t 0 and s ˙ t 0 without directly using the derivative of the sliding surface. The continuous-time control law is as follows:
u t = u 1 t + u 2 t
Here, the first component is the root term and is expressed as follows:
u 1 t = α s s i g n s
The second component is the integral term and is expressed as follows:
u 2 t = β s i g n s
While the gains λ and α in the classical sliding mode control and the super twisting algorithm are significant in terms of dynamic response time, the parameter β affects the steady-state error. These gains were achieved through trial and error to minimize the permanent state error. Consequently, the final control equation in continuous time is expressed as follows:
u = α s s i g n s + β s i g n s
The general block diagram of the controller is given in Figure 4.
This control signal is used to generate the inverter switching signals. Finally, the discrete-time control signal to be used in the simulation is as follows:
u k = u k 1 + T s u S T k u S T k = α s s i g n s + β s i g n s

3.4. Proposed Exponential Access Law Sliding Mode Control Method

The aim of this method is to ensure the continuity of the control signal and reduce the chattering effect by defining the dynamics of the sliding surface with a continuous reaching law based on exponential terms, instead of the discontinuous switching law used in classical SMC. The design of this controller will be based on classical SMC. In Equation (12), the speed error and the slip surface equation were given. The derivative of the defined surface is:
s ˙ t = λ e ˙ t + e ¨ t
Due to the dynamics of the engine e ¨ t , it is related to the control input. Therefore, the control signal u t will be designed based on this equation. First, the derivative of the error expands as follows:
e ˙ t = ω ˙ r e f t ω ˙ m t
Since the reference speed is constant, its derivative is zero. In the controller derivation, the reference speed is assumed to be piecewise constant, such that ω ˙ r e f = 0 holds within each regulation interval. During reference transitions, ω ˙ r e f becomes nonzero and introduces an additional bounded term in the sliding surface dynamics. In this study, such reference-induced transients are treated as bounded disturbances, which are effectively rejected by the exponential reaching law–based sliding mode controller. Therefore, the proposed ERL-SMC framework remains applicable to time-varying references with bounded derivatives. If required, a reference prefilter or command shaping block can be incorporated to explicitly enforce derivative bounds, without altering the control law structure. Therefore:
e ˙ t = ω ˙ m t
Taking the derivative once more:
e ¨ t = ω ¨ m t
The mechanical motion equation of the motor:
J ω ˙ m = T e T L B ω m
From here:
ω ¨ m = d d t T e T L B ω m J
Electromagnetic torque ( T e ) is directly proportional to the duty control signal. Therefore:
T e = K t i q u t
Therefore:
ω ¨ m t u ˙ t
This result is important because the derivative of the sliding surface is directly related to the derivative of the control signal. Equation (22) can be written as follows:
s ˙ t = λ e ˙ t + e ¨ t = λ ω ˙ m t ω ¨ m t
Equation (30) can be reduced to a single equation related to the derivative of the control input:
s ˙ t = f t + g t u ˙ t
The mechanical equation of the BLDC motor was given in Equation (26). It was also stated that the electromagnetic torque ( T e ) is directly proportional to the control signal. From here, we can redefine T e as follows:
T e = α u t
Here, α is a constant torque coefficient. For control-oriented analysis, the electromagnetic torque is approximated as T e = a u t , where u(t) denotes the control signal and a represents an equivalent torque gain. This approximation is valid for six-step PWM BLDC drives operating under quasi-constant DC-link voltage, balanced phase currents, trapezoidal back-EMF, and linear PWM modulation conditions. The parameter a is obtained from nominal motor parameters and steady-state simulation data, and deviations due to parameter uncertainties or inverter nonidealities are treated as bounded disturbances. Owing to the inherent robustness of the ERL-SMC structure, these uncertainties do not affect the stability or tracking capability of the proposed control scheme. If we substitute into Equation (26):
J ω ˙ m = α u t T L B ω m
The derivative of Equation (33) is:
J ω ¨ m = α u ˙ t B ω ˙ m
From here, the second derivative of the rotor speed is found as follows:
ω ¨ m = α J u ˙ t B J ω ˙ m
If we substitute Equation (35) into Equation (30):
s ˙ t = λ B J ω ˙ m α J u ˙ t
The functions f and g defined in Equation (31) are found as follows:
f t = λ B J ω ˙ m                     g t = α J
Here, g is related to the motor’s torque coefficient, and f is related to the motor’s natural dynamics. Exponential access legal SMC can be defined as follows:
s ˙ t = k 1 k 2 e k 3 s 1
By solving Equations (36) and (38), the derivative of the control signal is found to be:
u ˙ t = J k 1 α k 2 e k 3 s 1 J λ B α ω ˙ m t
The final control signal can be obtained by integrating Equation (39). In this study, however, the f and g parameters given in Equation (37) have been neglected. In the sliding surface dynamics, the term f(t) represents the lumped plant dynamics, including parameter uncertainties and external disturbances, while g(t) denotes a bounded input gain. For the purpose of reaching law derivation, these terms are not explicitly canceled but are treated as bounded functions. This assumption is standard in sliding mode control design and allows the control law to be derived in a simplified form. The exponential reaching law is then selected to dominate the effect of f(t), ensuring finite-time convergence of the sliding surface and robustness against modeling uncertainties. Therefore, Equation (39) can be simplified and written as follows:
u ˙ t = k 1 k 2 e k 3 s 1
Now, by integrating Equation (40), we can obtain the simplified final control signal:
u t = u 0 + k 1 k 2 e k 3 s 1 d t
In practical implementation, the control signal u(t), corresponding to the PWM duty ratio, is subject to saturation limits imposed by the inverter. Such saturation may affect the transient reaching time but does not prevent the establishment of sliding motion, provided that the bounds are selected to dominate system uncertainties. The initial value u(0) is chosen within the admissible range and close to the nominal steady-state operating point to avoid excessive initial transients. The control law is implemented in discrete time using a forward Euler integration with a sufficiently small sampling period, ensuring that numerical integration errors remain bounded. These discretization and saturation effects can be treated as bounded perturbations, which are effectively handled by the inherent robustness of the proposed ERL-SMC approach. The discrete-time form of Equation (41) for use in a simulation environment can be written as follows:
u k = u k 1 + T s k 1 k 2 e k 3 s k 1

4. Stability Analysis of the Proposed Model

The stability analysis of the proposed controller can be performed using the Lyapunov function. The Lyapunov function was defined in Equation (14). The derivative of Equation (14):
V ˙ s = s s ˙
When Equations (38) and (43) are written, the following is obtained:
V ˙ s = k 1 s k 2 e k 3 s 1
Equation (44) should be examined by dividing it into two regions. e k 3 s > 1 is for s > 0 and therefore, is provided with k 2 e k 3 s 1 > 0 . In this case, it would be
V ˙ s = k 1 s k 2 e k 3 s 1 < 0
It becomes e k 3 s < 1 for s < 0 , but because k2 is greater than 1, k 2 e k 3 s 1 is still positive. In this case, since s < 0 and k 2 e k 3 s 1 > 0 , we have:
s < 0 ,         k 2 e k 3 s 1 > 0         s k 2 e k 3 s 1 < 0
Equality is ensured, provided that the control gains satisfy k 1 > 0 , k 2 > 1 , and k 3 > 0 . Under these conditions, the reaching dynamics are strictly negative for all s 0 , leading to finite-time convergence of the sliding variable. Global asymptotic stability is then guaranteed for the reduced-order system evolving on the sliding manifold s = 0 . To ensure dimensional consistency, the gain k 3 is selected such that the exponential argument is dimensionless, while k 1 is chosen with appropriate units to match the time derivative of s .
In both cases, V ˙ s < 0 ,   s 0 is ensured, and when s is equal to 0, the sliding surface is globally asymptotically stable. This analysis clearly shows that the ERL-SMC method is globally asymptotically stable on the sliding surface and reaches the sliding surface in finite time. The smoothness introduced by the exponential reaching law eliminates the sharpness of switching seen in classical SMC, while Lyapunov analysis confirms that the controller is mathematically safe and stable.

5. Simulation Results

The results of performance tests conducted using the recommended control method for controlling a brushless DC motor are presented in this section. For this purpose, a comprehensive model was created in the MATLAB/Simulink environment to analyze the speed control performance of the BLDC motor. The model is essentially composed of four main components, as shown in Figure 5: the BLDC motor block, the Hall sensor feedback system, the three-phase inverter drive circuit, and the PWM generation and commutation structure. Performance tests were conducted at different input voltage values, different speed values, and different load torque values. The simulation results are described in detail graphically. The entire model of the proposed control method is given in Figure 1.
The Permanent Magnet Synchronous Machine (Trapezoidal Back-EMF) block used in the simulation represents the electrical and mechanical dynamics of the BLDC motor. The inverter circuit, connected to the three phases (A, B, C) of the motor, consists of six Metal Oxide Semiconductor Field Effective Transistor (MOSFET) switches (S1–S6) and determines the correct switching sequence based on the signals from the Hall sensors, according to the motor’s direction. Hall sensors (Ha, Hb, Hc) detect rotor position and perform the commutation process. The engine’s angular velocity ( ω m ) is fed back from the engine block. This information is provided as input to speed control algorithms (PI, SMC, ERL-SMC), and the duty signal generated by the controller is sent to the PWM block to produce the inverter’s switching signals. Thanks to this structure, a closed-loop control system was created, and the dynamic response of the motor was monitored based on the speed reference. The sampling time used in the model is set to seconds, and the carrier frequency (inverter switching frequency) is set to f = 50   kHz . These values were chosen to accurately model the rapid dynamic responses of the controllers. Three different controllers were designed and analyzed in the simulation structure: a PI controller, SMC, and ERL-SMC control. Each control algorithm is integrated into the system as a separate Simulink block and tested independently on the same BLDC motor model. Thanks to this approach, the dynamic performance, robustness to disturbances, and stability characteristics of each controller could be compared directly.
In the study, the performance of control algorithms was analyzed by examining both steady-state and dynamic response results. Steady-state analysis encompasses the results obtained by rotating the motor at the specified reference speed using the proposed control method. Three different test scenarios were applied to compare the dynamic response results under different operating conditions. These test scenarios were also conducted with changes in input voltage, reference speed, and load torque.
Input Voltage Variation Test: The system’s input voltage was initially set to 150 V, then reduced to 100 V, and finally increased back to 150 V. The purpose of this test is to evaluate the controllers’ ability to maintain speed stability against fluctuations in the DC supply voltage.
Reference Speed Change Test: The reference speed was changed in the form of 1400 rpm → 1000 rpm → 1400 rpm at specific time intervals. This scenario was used to analyze the controllers’ speed tracking capability, transient responses, and steady-state errors.
Load Torque Variation Test: The motor’s load torque was changed from 3 Nm → 0 Nm → 3 Nm. This test aims to assess the motor’s resilience in terms of torque production and speed regulation in response to changes in load.
Based on the parameters determined according to the design processes, the gain parameters for controlling the BLDC motor with different algorithms were determined using the particle swarm optimization (PSO) algorithm. Based on these parameters, a performance comparison of the PSO-based control algorithms used was conducted. The performance comparison process was conducted while the engine was rotating at a constant speed of 1400 rpm. The characteristic curves of the optimized results for the control algorithms are given in Figure 6. According to the results obtained, the PSO+ERL_SMC algorithm provided the value closest to the reference speed value, achieving the highest efficiency and exhibiting superior performance with lower oscillations compared to other methods. In terms of steady-state behavior, the PSO+PI algorithm exhibits the highest error rate, while the ST_SMC algorithm has a moderate error rate, and the PSO+ST_SMC algorithm has the lowest error rate. Specifically, PI, SMC, and ST_SMC algorithms with parameters optimized by PSO consistently exhibited high-amplitude oscillations.
Optimal parameters for control methods optimized with the PSO algorithm are shown in Table 2. Based on the graphical results obtained in Figure 6, it can be seen from the analysis results that the most optimal values of the control parameters in terms of system stability were obtained using the PSO+ERL_SMC algorithm.
All parameters used in the simulation are briefly summarized in Table 2.
In summary, the simulation model is designed to have a switching frequency of 50 kHz ( f s w ) and a sampling time of ( T s ). A three-phase BLDC motor was used, and the motor’s back electromotive force (EMF) waveform was defined as trapezoidal. The mechanical input torque (load torque) was varied over time as 3   Nm 0   Nm 3   Nm to represent dynamic conditions.
The values for phase ohmic resistance and phase inductance have been determined as 0.7   Ω and 2.7   mH for each phase of the motor, respectively. Additionally, the back EMF’s flat field is chosen as 120°, and the rotor’s moment of inertia is 0.0027   kg   m 2 . The motor’s viscous damping coefficient is set to 0.0004924   Ns / m , the number of pole pairs is four, and static friction is assumed to be zero. Throughout the simulation, the system’s input voltage was changed 150   V 100   V 150   V to test the controllers’ resistance to disturbances. Similarly, the reference speed value was changed 1400   rpm 1000   rpm 1400   rpm to evaluate the reference tracking performance of the controllers. These parameters were selected to represent both the non-linear motor dynamics and sudden changes in voltage and load. Thus, the transient behavior, stability levels, and disturbance rejection capabilities of the PI, SMC, and ERL-SMC control algorithms were objectively compared under the same operating conditions.

5.1. Steady-State Analysis

The steady-state analysis is examined in detail between Figures 8 and 12, as shown in Figure 7.
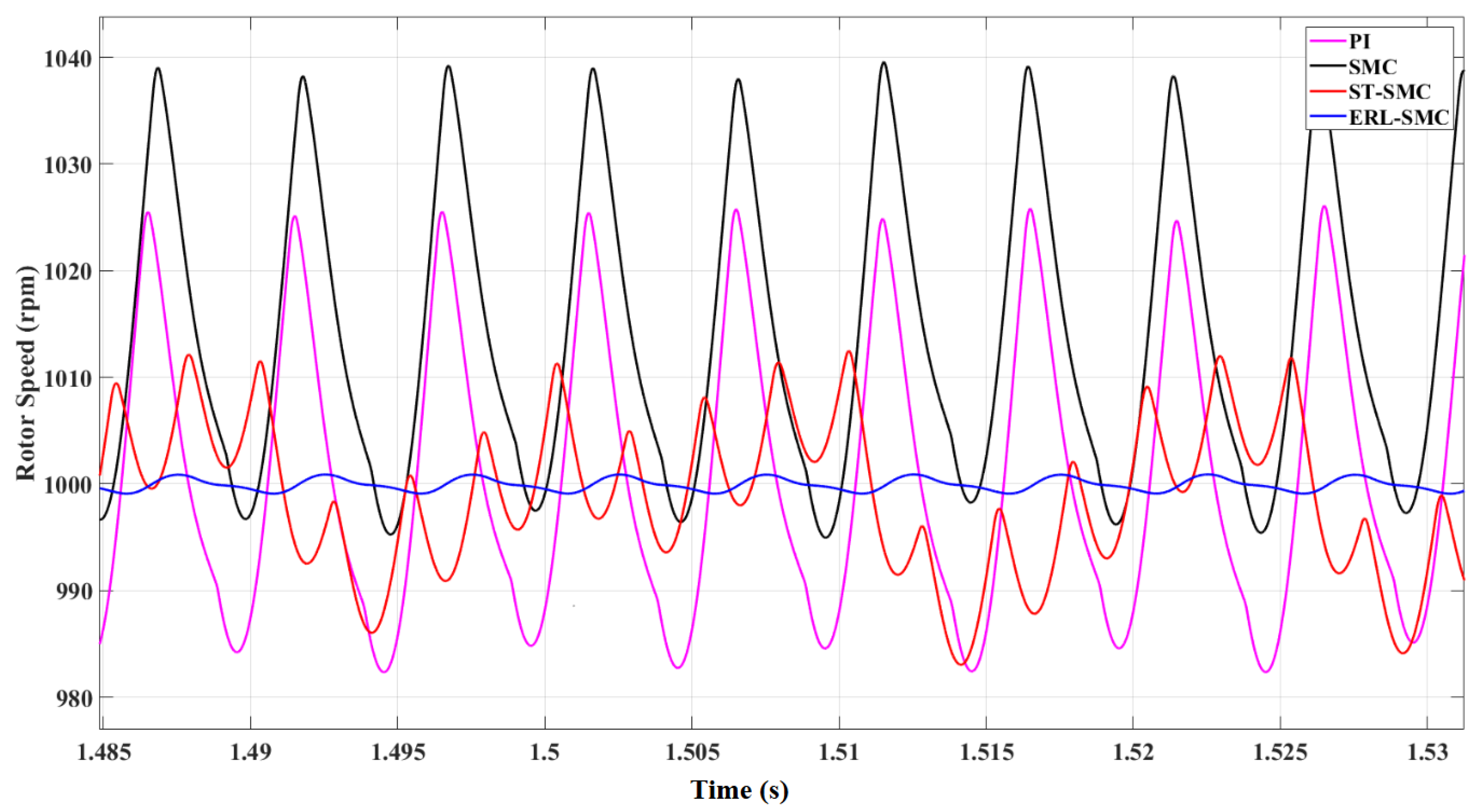
Figure 8 and Figure 9 show that the steady-state analyses performed under constant load and constant input voltage exhibited significant differences in terms of the speed tracking performance of the four different control approaches—PI, SMC, ST-SMC, and ERL-SMC. At a reference speed of 1400 rpm, the PI controller produces significant amplitude oscillations, increasing the system’s sensitivity to electromagnetic noise. While classical SMC responds faster than PI by generating high-frequency vibrations on the sliding surface, it exhibits a wide oscillation band around the reference due to structural chattering behavior. Although ST-SMC produces a smoother control signal compared to classical SMC, vibration amplitudes remain significant, especially in the high reference speed region, and steady-state performance is limited. ERL-SMC, on the other hand, offers the narrowest oscillation range for both speed levels, adapting the control signal quickly but smoothly, and thus tracking the reference most stably compared to other methods. At a reference speed of 1000 rpm, this difference became even more pronounced; while the oscillations of PI and classical SMC increased, ST-SMC exhibited more moderate stability, and ERL-SMC managed to stay closest to the reference speed with low-amplitude vibrations.

5.2. Dynamic Response Results

In this section, the dynamic responses of the BLDC motor to changes in input voltage, reference speed, and load torque are analyzed.

5.2.1. Input Voltage Change Test

In this section, the speed responses of the BLDC motor to changes in input voltage are analyzed. The reference speed value was chosen as a constant 1400 rpm, and the system’s stability, transient response, and resistance to disturbances were evaluated for four different control methods. In the simulation, the motor’s supply voltage was initially set to 150 V, reduced to 100 V at 1 s, and then increased back to 150 V at 2 s. This test scenario demonstrates the controllers’ performance in maintaining system speed and regaining stability in response to sudden external disturbances, such as voltage changes. As shown in Figure 10, all four controllers initially reached the reference speed quickly and stabilized the motor at approximately 1400 rpm. However, during voltage changes, the different response characteristics of the controllers were clearly observed.
Figure 11 and Figure 12 illustrate the speed regulation performance of different control methods in response to sudden changes in the input voltage. The reference speed was kept constant at 1400 rpm. When examining the speed responses of the controllers when the input voltage is reduced from 150 V to 100 V at 1 s and then increased back to 150 V from 100 V at 2 s, the stability levels against voltage source disturbances were found to be significantly different. PI and classical SMC controllers exhibited significant speed deviations and oscillations during voltage dips, particularly in the height and intensity of oscillations during the transient state under SMC, indicating sensitivity to voltage fluctuations. The PI controller, on the other hand, exhibited a low-frequency but wide-amplitude speed oscillation, revealing its limited error-damping capacity. The Super-Twisting SMC provided better damping compared to the classical method; however, significant overshoot and oscillations were still observed after the voltage change. In contrast, the ERL-SMC controller exhibited the most stable structure in both graphs. It was observed that the speed was maintained around the reference with minimal fluctuation during voltage drops and rises, the overshoot amount was low, and the system quickly returned to a stable regime. The exponential access-based structure of ERL-SMC rapidly suppressed the disturbance, producing both short-term and small-amplitude speed changes, thus providing superior voltage variation resistance and adaptation to variable operating conditions compared to other controllers. These results clearly demonstrate that ERL-SMC is a more reliable and high-performance option for BLDC speed control, especially in applications where the supply voltage is variable.

5.2.2. Reference Speed Change Test

As seen in Figure 13 and Figure 14, when examining the dynamic responses to reference speed changes, the difference between the controllers is clearly evident in the sudden drop from 1400 rpm to 1000 rpm at 1 s. In the given dynamic reference change scenarios, the speed tracking performances of the controllers differ significantly. In the scenario of a decrease from 1400 rpm to 1000 rpm, ST-SMC exhibits the fastest settling time and responds to the reference change in the shortest amount of time; however, it initially shows a harsh transition due to the sudden braking effect. ERL-SMC, on the other hand, reached 1000 rpm with a smoother but faster transition than the other controllers, and also settled on the target value more stably thanks to its low oscillation profile. PI and Classical SMC controllers exhibited high overshoot and significant oscillation in this transition, with settling times longer than the other two SMC-based controllers. In the acceleration scenario from 1000 rpm to 1400 rpm, PI and classical SMC produced significant overshoot, reaching 1500–1650 rpm, and took a long time to reach steady state due to high-frequency oscillations. Although ST-SMC provides relatively more controlled acceleration, it reaches a steady state later compared to other controllers. In contrast, ERL-SMC provided the smoothest and most balanced acceleration characteristics, minimizing overshoot and reaching the reference value with both greater stability and lower vibration compared to the other controllers. Overall, in both scenarios, ERL-SMC outperformed, demonstrating superior performance with the lowest overshoot, the least instability, and the most balanced dynamic response during both falling and rising reference changes.

5.2.3. Load Torque Change Test

As shown in Figure 15, the load moment change analysis is examined in detail between Figure 16 and Figure 17.
The load torque change test comparatively reveals the steady-state performance of controllers in response to sudden torque changes. In the scenario where the load torque is suddenly reduced from 3 Nm to 0 Nm and then increased back to 3 Nm, the dynamic responses of the controllers to the load changes differ strikingly. As seen in the figures, classical PI and SMC controllers were the methods most affected by load changes, especially during sudden load decreases and reapplication of load, resulting in large-amplitude and long-lasting oscillations in the speed signal; this indicates that the PI method, due to its linear structure, cannot provide sufficient damping during sudden dynamic changes, while the classical SMC controller, due to the structure of its sliding surface based on the sign function, exhibited significant chattering, leading to high-frequency speed fluctuations. Although the Super-Twisting SMC (ST-SMC) method significantly reduces the chattering problem in classical SMC and produces smoother velocity behavior due to its second-order sliding mode, it still exhibits noticeable oscillations during transient moments when the load torque changes abruptly. In contrast, the Exponential Access Law-based SMC (ERL-SMC) has been the method that responds most stably to load changes. Thanks to ERL-SMC’s exponential convergence law, a smooth and rapid convergence to the sliding surface was achieved. Oscillations in the speed signal remained minimal, even during sudden load changes, and the system quickly returned to its reference value. It is clear that in both transitions from 3 Nm to 0 Nm and from 0 Nm to 3 Nm, ERL-SMC offers a lower amplitude, more stable, and faster-damping dynamic performance compared to the other three controllers. These results indicate that ERL-SMC is the most stable control strategy, especially in applications where load changes are frequent and sudden.

5.3. Comparative Analysis

5.3.1. Scenario 1

The overall characteristics of the controller’s behavior when the BLDC motor’s reference speed value is increased from 1000 rpm to 1400 rpm are given in Table 3. Based on an analytical evaluation of the performance parameters of different controller strategies, it was observed that although the traditional PI controller has a high dynamic speed, it poses a risk to system stability and mechanical life due to overshoot values in the range of 15–18%. While Classical Sliding Mode Control (SMC) somewhat suppressed overshoot, unlike the ST-SMC method, which resulted in a cumbersome system, the ERL-SMC (Exponential Reach Law Sliding Mode Control) algorithm was found to reduce overshoot to levels of 0–1% and optimize settling time (0.03 s), thus providing the most balanced performance. The analysis revealed that the ERL-SMC controller was chosen for its balance of speed and accuracy because this method combines the speed advantage of PI with the overshoot advantage of ST-SMC at a single point.

5.3.2. Scenario 2

When the reference speed value of the BLDC motor is reduced from 1400 rpm to 1000 rpm, the general characteristics of the controller’s behavior are given in Table 4. When examining the undershoot and settling time parameters that determine the system’s transient regime performance, it is observed that the ST-SMC algorithm reaches the highest dynamic speed with a rise time of 0.017 s, but exhibits an undershoot of 3–5% during this process. On the other hand, although the ERL-SMC algorithm is slightly slower than ST-SMC with a settling time of 0.03 s, it limits undershoot to the 0–1% band, making it a more reliable profile for high-precision systems. Traditional PI and SMC-based controllers, however, have response times reaching 0.07 s, proving insufficient to meet the requirements of real-time high-speed motor control. These findings confirm that the ERL-SMC method is an optimal control strategy in terms of speed and damping balance. ERL-SMC is found to be the algorithm that provides the most consistent and balanced results in both the overshoot and undershoot tables.

5.3.3. Scenario 3

The general characteristics of the controller’s behavior when the BLDC motor speed is 1400 rpm are given in Table 5. When examining the steady-state characteristics and error indices of the control system, it is evident that the ERL-SMC algorithm exhibits superior tracking performance compared to its competitors, with a low ripple rate in the 0–0.5% range and an IEA value of 0.0008. The 2–3% speed fluctuations and 10 times higher error margins observed in traditional PI and SMC controllers reveal the system’s sensitivity to external disturbances and low precision. Although the 0–1.5% fluctuation rate offered by the ST-SMC method shows signs of improvement, the high accuracy and error-damping capability of the ERL-SMC method provide the most favorable parametric results for energy efficiency and mechanical stability in asynchronous motor drive systems.

5.3.4. Scenario 4

While the input voltage applied to the BLDC motor is in the form of (150 V → 100 V → 150 V), the general characteristics of the controller’s behavior are given in Table 6. When examining the noise immunity of the system against sudden changes in the DC input voltage, it was found that the ERL-SMC controller compensated for supply disturbances most effectively with a ripple rate below 0.5% and a minimum error index, while traditional PI and SMC methods experienced a significant performance loss under such parametric changes, proving inadequate in maintaining system stability.

5.3.5. Scenario 5

While the load change at the output of the BLDC motor is in the form of (3 Nm → 0 Nm → 3 Nm), the general characteristics of the controller’s behavior are given in Table 7. When comparing the dynamic resistance levels exhibited by controllers against sudden load changes, it is evident that the ERL-SMC algorithm completely eliminates load disturbances with a steady-state fluctuation below 0.5% and a negligible error index of 0.0008. In contrast, the speed deviations of 9–10% for the traditional SMC method and 6–7% for the PI controller prove that the system is insufficient in maintaining momentum under variable load conditions, and the superior load compensation capability offered by ERL-SMC is essential for industrial precision.
In all test scenarios conducted, the ERL-SMC control method was shown to be the most effective and reliable control solution for BLDC motor drive systems, demonstrating a higher dynamic response speed, lower error index, and greater resistance to external disturbances compared to other control methods.

6. Discussion

This study offers both methodological and practical original contributions to the field of BLDC motor speed control. First, unlike the indirect control approaches commonly used in the literature, direct velocity control was achieved in this study through the use of angular velocity feedback. Thus, the motor’s speed was directly controlled without the need for a reference current generation stage. This approach simplifies the control structure while also speeding up the system’s dynamic response and reducing the computational burden. In this respect, the study offers an innovative contribution to the existing literature by demonstrating the applicability of control strategies based directly on speed feedback to BLDC motors. Within the scope of this study, PI, classical Sliding Mode Control (SMC), and Exponential Reaching Law-based Sliding Mode Control (ERL-SMC) methods were comparatively analyzed on the same BLDC motor model. Thus, the performance differences exhibited by different control strategies under the same operating conditions and with the same engine parameters have been objectively demonstrated. This comparison provides an opportunity to systematically evaluate the strengths and weaknesses of classical linear control and robust non-linear control methods. Specifically, the lower chattering effect and the ability to achieve a smoother control surface of ERL-SMC compared to classical SMC have been examined in detail in the analyses.
The study assesses the dynamic performance of the controllers in response to changes in input voltage, reference speed, and load torque. In this context, simulation analyses were conducted to compare the system stability, robustness to disturbances, and transient response of each controller. This analysis serves as a critical indicator for evaluating the reliability of controllers under various operating conditions. This study not only introduces a new control approach (ERL-SMC) to the literature but also makes original and practical contributions by comprehensively revealing the dynamic performance of BLDC motors under different disturbance conditions.
Comparisons were performed under variations in reference speed, input voltage, and mechanical load torque (Tm). According to the findings, although the classical PI controller showed basic performance in terms of reference tracking, it was insufficient under non-linear dynamic conditions due to its high overshoot rate, long settling time, and low disturbance rejection capability. While the classical SMC controller is known for its fast response time, the chattering effect resulting from its structure based on the sign(s) function has led to torque oscillations and speed fluctuations in the system. In contrast, the ERL-SMC controller significantly reduced the chattering effect while maintaining the robustness advantage of classical SMC, thanks to the continuity of the exponential reaching law. Additionally, it provided the lowest overshoot, shortest settling time, and highest stability values under both speed changes and disturbances. Especially under changes in mechanical load and input voltage, the smooth and continuous structure of the ERL-SMC control signal has increased the system’s energy efficiency and provided stable, vibration-free speed regulation. The results are summarized in Table 8.
Finally, the simulation results show that ERL-SMC is a high-performance, robust, and stable control strategy for BLDC motor drivers. This method offers more effective performance compared to classic PI and SMC controllers, especially in applications with high load fluctuations and varying input voltage.
A comparison of the proposed control method with articles [11,19,20,21] is presented in Table 9. A detailed comparison of these studies has been made in terms of the control method, working conditions, and the results obtained.

Limitations, Facilities, and Challenges

This study presents a direct comparison of four different controllers (PI, classical SMC, ST-SMC, ERL-SMC) on the same hardware/simulation scenario. This holistic comparison is more comprehensive than single-method studies in the literature.
The specifically developed exponential access-based ERL-SMC algorithm is a less common structure in the literature, and it has been mathematically detailed and examined under comprehensive scenarios (e.g., input voltage change, load torque change, reference speed change) in this study. Additionally, high sampling frequency (e.g., 50 kHz carrier frequency) and a realistic BLDC motor model were used in the simulation scenarios, and the controllers were evaluated based on metrics such as steady-state oscillation amplitude, response to load changes, and voltage sensitivity. This is a step ahead of the simple univariate tests found in many literature studies.
Although the limitations of this study are clearly stated, including the lack of hardware implementation, it makes a significant contribution by presenting the effectiveness of SMC-based BLDC speed control, particularly ERL-SMC, in a practical and comparative framework, focusing on its application.

7. Conclusions

In this study, several control strategies for the speed control of brushless direct current (BLDC) motors were systematically analyzed and compared under a wide range of operating conditions. The primary objective was to evaluate and compare the dynamic performance, steady-state behavior, robustness against disturbances, and oscillation characteristics of classical PI control, sliding mode control (SMC), second-order Super-Twisting SMC (ST-SMC), and exponential reaching law SMC (ERL-SMC) within a simulation environment. To reflect practical BLDC drive conditions, scenarios such as input voltage variations, mechanical load torque changes, and reference speed transitions were applied individually and step-wise for each controller. Overall, ERL-SMC outperformed the other controllers in terms of stability, disturbance rejection, overshoot suppression, and settling time. These results demonstrate that the exponential reaching law effectively mitigates chattering and aggressive dynamics associated with classical and higher-order SMC structures. The study concludes that ERL-SMC represents a balanced and effective modern SMC derivative for BLDC speed control. The originality of the work is strengthened by the holistic comparison of four controllers under realistic modeling, high sampling rates, and comprehensive commutation strategies. Future work will focus on integrating ERL-SMC with intelligent optimization methods, observer-based torque estimation, and real-time hardware validation.

Funding

This research was funded by Gazi University Scientific Research Project Coordination Unit grant number FGA-2024-9179. The APC was funded by the author.

Data Availability Statement

Data available in a publicly accessible repository. The data presented in this study are openly available in [FigShare] at [doi:10.6084/m9.figshare.30868319].

Conflicts of Interest

The author declares no conflicts of interest.

Abbreviations

The following abbreviations are used in this manuscript:
PIProportional–Integral
PIDProportional-Integral-Derivative
SMCSliding Mode Control
ST-SMCSuper-Twisting Sliding Mode Control
ERL-SMCExponential Reaching Law Sliding Mode Control
BLDCBrushless Direct Current Motor
PWMPulse Width Modulation
EMFBack electromotive force
MPCModel Predictive Control
DCDirect current
PMSMPermanent magnet synchronous machine
MOSFETMetal Oxide Semiconductor Field-Effect Transistor
PSOParticle Swarm Optimization

References

  1. Mohanraj, D.; Aruldavid, R.; Verma, R.; Sathiyasekar, K.; Barnawi, A.B.; Chokkalingam, B.; Mihet-Popa, L. A Review of BLDC Motor: State of Art, Advanced Control Techniques, and Applications. IEEE Access 2022, 10, 54833–54869. [Google Scholar] [CrossRef]
  2. Ali, H.J.; Shary, D.K.; Abbood, H.D. A Review of Intelligent Techniques Based Speed Control of Brushless DC Motor (BLDC). Basrah J. Eng. Sci. 2024, 24, 109–119. [Google Scholar] [CrossRef]
  3. Shenbagalakshmi, R.; Mittal, S.K.; Subramaniyan, J.; Vengatesan, V.; Manikandan, D.; Ramaswamy, K. Adaptive Speed Control of BLDC Motors for Enhanced Electric Vehicle Performance Using Fuzzy Logic. Sci. Rep. 2025, 15, 12579. [Google Scholar] [CrossRef]
  4. Dwivedi, D.; Singh, S.; Kalaiselvi, J.; Chinmaya, K.A. The Impact of Modulation Techniques on Brushless DC Motor Drive. Int. J. Circuit Theory Appl. 2025, 53, 4627–4639. [Google Scholar] [CrossRef]
  5. Aziz, M.A.A.; Saidon, M.S.; Fahmi, M.I.; Othman, S.; Mustafa, W.; Manan, M.R.; Aihsan, M. A Review on BLDC Motor Application in Electric Vehicle (EV) Using Battery, Supercapacitor and Hybrid Energy Storage System: Efficiency and Future Prospects. J. Adv. Res. Appl. Sci. Eng. Technol. 2023, 30, 41–59. [Google Scholar] [CrossRef]
  6. Kumar, D.; Gupta, R.A. A Comprehensive Review on BLDC Motor and Its Control Techniques. Int. J. Power Electron. 2021, 14, 292–335. [Google Scholar] [CrossRef]
  7. Prabhu, N.; Thirumalaivasan, R.; Ashok, B. Critical Review on Torque Ripple Sources and Mitigation Control Strategies of BLDC Motors in Electric Vehicle Applications. IEEE Access 2023, 11, 115699–115739. [Google Scholar] [CrossRef]
  8. Akrami, M.; Jamshidpour, E.; Nahid-Mobarakeh, B.; Pierfederici, S.; Frick, V. Sensorless Control Methods for BLDC Motor Drives: A Review. IEEE Trans. Transp. Electrif. 2025, 11, 135–152. [Google Scholar] [CrossRef]
  9. De La Guerra, A.; Alvarez-Icaza, L. Robust Control of the BLDC Motor with Variable Torqur Load for Automotive Applications; Taylor & Francis: Abingdon, UK, 2012; Volume 48, pp. 1–11. [Google Scholar] [CrossRef]
  10. Castellanos-Cárdenas, D.; Posada, N.L.; Orozco-Duque, A.; Sepúlveda-Cano, L.M.; Castrillón, F.; Camacho, O.E.; Vásquez, R.E. A Review on Data-Driven Model-Free Sliding Mode Control. Algorithms 2024, 17, 543. [Google Scholar] [CrossRef]
  11. Chan, J. Sliding Mode Control of Brushless DC Motor Speed Control. Malays. J. Sci. Adv. Technol. 2022, 5, 188–193. [Google Scholar] [CrossRef]
  12. Kurkcu, B.; Tomizuka, M. Algebraic Control: Complete Stable Inversion with Necessary and Sufficient Conditions. IEEE Trans. Automat. Contr. 2025, 50, 1–8. [Google Scholar] [CrossRef]
  13. Wang, T.; Wang, H.; Hu, H.; Lu, X.; Zhao, S. An Adaptive Fuzzy PID Controller for Speed Control of Brushless Direct Current Motor. SN Appl. Sci. 2022, 4, 71. [Google Scholar] [CrossRef]
  14. Kumarasamy, V.; KarumanchettyThottam Ramasamy, V.; Chandrasekaran, G.; Chinnaraj, G.; Sivalingam, P.; Kumar, N.S. A Review of Integer Order PID and Fractional Order PID Controllers Using Optimization Techniques for Speed Control of Brushless DC Motor Drive. Int. J. Syst. Assur. Eng. Manag. 2023, 14, 1139–1150. [Google Scholar] [CrossRef]
  15. Das, G.; Das, D.; Arif, M.; Satpati, B. Robust Control of Z-Source Inverter Operated BLDC Motor Using Sliding Mode Control for Electric Vehicle Applications. arXiv 2024, arXiv:2410.11726. [Google Scholar] [CrossRef]
  16. Chao, K.-H.; Huang, K.-H.; Guo, Y.-H. Design of a Brushless DC Motor Drive System Controller Integrating the Zebra Optimization Algorithm and Sliding Mode Theory. Electronics 2025, 14, 3353. [Google Scholar] [CrossRef]
  17. Alnaib, I.I.; Alsammak, A.N.; Mohammed, K.K. Brushless DC Motor Drive with Optimal Fractional-Order Sliding-Mode Control Based on a Genetic Algorithm. Electr. Eng. Electromech. 2025, 2, 19–23. [Google Scholar] [CrossRef]
  18. Zhao, Y.; Xu, Y.; Wei, B.; Shao, H.; Wang, P.; Zhou, H. Nonlinear Integral Sliding Mode Control Strategy for Brushless DC Motors. IEICE Electron. Express 2025, 22, 20250454. [Google Scholar] [CrossRef]
  19. Mohammed, M.F. Speed Control for BLDC Motor for Electric Vehicles Applications by Different Kinds of Sliding Mode Control Techniques. SSRG-IJEEE 2024, 11, 11–18. [Google Scholar] [CrossRef]
  20. Cherif, K.; Sahbani, A.; Saad, K.B. Performance Evaluation of PI and Sliding Mode Control for PMSM in Applications for Electric Vehicles. Eng. Technol. Appl. Sci. Res. 2024, 14, 15464–15470. [Google Scholar] [CrossRef]
  21. Patel, A.N.; Suthar, B.N. Performance optimisation of axial flux permanent magnet brushless DC motor for electric vehicle application with the genetic algorithm (GA) approach. Int. J. Ambient. Energy 2024, 45, 1–9. [Google Scholar] [CrossRef]
  22. Kurkcu, B.; Kasnakoglu, C.; Efe, M.O. Disturbance/Uncertainty Estimator Based Integral Sliding-Mode Control. IEEE Trans. Automat. Contr. 2018, 63, 3940–3947. [Google Scholar] [CrossRef]
  23. Kuang, Z.; Sun, L.; Gao, H.; Tomizuka, M. Practical Fractional-Order Variable-Gain Supertwisting Control with Application to Wafer Stages of Photolithography Systems. IEEE/ASME Trans. Mechatron. 2022, 27, 214–224. [Google Scholar] [CrossRef]
  24. Sun, J.; Zhan, Z.; Xia, J.; Ding, S.; Yu, X. Second-Order Sliding Mode Control for Nonminimum Phase Boost Converters with Mismatched Uncertainties. IEEE Trans. Transp. Electrific. 2025, 11, 5555–5568. [Google Scholar] [CrossRef]
Figure 1. General block diagram of the simulation study.
Figure 1. General block diagram of the simulation study.
Mathematics 14 00221 g001
Figure 2. PI controller block diagram.
Figure 2. PI controller block diagram.
Mathematics 14 00221 g002
Figure 3. Block diagram of a classical SMC controller.
Figure 3. Block diagram of a classical SMC controller.
Mathematics 14 00221 g003
Figure 4. Super-Twisting SMC controller block diagram.
Figure 4. Super-Twisting SMC controller block diagram.
Mathematics 14 00221 g004
Figure 5. Simulation schema.
Figure 5. Simulation schema.
Mathematics 14 00221 g005
Figure 6. Simulation results of control methods optimized with the PSO algorithm.
Figure 6. Simulation results of control methods optimized with the PSO algorithm.
Mathematics 14 00221 g006
Figure 7. Simulation results of steady-state response of control methods-general.
Figure 7. Simulation results of steady-state response of control methods-general.
Mathematics 14 00221 g007
Figure 8. Simulation results of the steady-state response of control methods when the reference speed is 1400 rpm.
Figure 8. Simulation results of the steady-state response of control methods when the reference speed is 1400 rpm.
Mathematics 14 00221 g008
Figure 9. Simulation results of the steady-state response of control methods when the reference speed is 1000 rpm.
Figure 9. Simulation results of the steady-state response of control methods when the reference speed is 1000 rpm.
Mathematics 14 00221 g009
Figure 10. General representation of input voltage variation and control methods response.
Figure 10. General representation of input voltage variation and control methods response.
Mathematics 14 00221 g010
Figure 11. Simulation results of the dynamic response of control methods when the input voltage changes from 150 V to 100 V.
Figure 11. Simulation results of the dynamic response of control methods when the input voltage changes from 150 V to 100 V.
Mathematics 14 00221 g011
Figure 12. Simulation results of the dynamic response of control methods when the input voltage changes from 100 V to 150 V.
Figure 12. Simulation results of the dynamic response of control methods when the input voltage changes from 100 V to 150 V.
Mathematics 14 00221 g012
Figure 13. Simulation results of the dynamic response of control methods when the reference speed changes from 1400 V to 1000 V.
Figure 13. Simulation results of the dynamic response of control methods when the reference speed changes from 1400 V to 1000 V.
Mathematics 14 00221 g013
Figure 14. Simulation results of the dynamic response of control methods when the reference speed changes from 1000 V to 1400 V.
Figure 14. Simulation results of the dynamic response of control methods when the reference speed changes from 1000 V to 1400 V.
Mathematics 14 00221 g014
Figure 15. Simulation results of the dynamic response of control methods.
Figure 15. Simulation results of the dynamic response of control methods.
Mathematics 14 00221 g015
Figure 16. Simulation results of the dynamic response of control methods when the load torque changes from 3 Nm to 0 Nm.
Figure 16. Simulation results of the dynamic response of control methods when the load torque changes from 3 Nm to 0 Nm.
Mathematics 14 00221 g016
Figure 17. Simulation results of the dynamic response of control methods when the load torque changes from 0 Nm to 3 Nm.
Figure 17. Simulation results of the dynamic response of control methods when the load torque changes from 0 Nm to 3 Nm.
Mathematics 14 00221 g017
Table 1. Switching (Commutation) scheme.
Table 1. Switching (Commutation) scheme.
SectorHall Codes (H(_A)H(_B)H(_C))Phases in TransmissionUpper Switch (Duty)Lower Switch (1)
1001A(+)–B(−)AHBL
2101A(+)–C(−)AHCL
3100B(+)–C(−)BHCL
4110B(+)–A(−)BHAL
5010C(+)–A(−)CHAL
6011C(+)–B(−)CHBL
Table 2. Parameters and values used in the simulation.
Table 2. Parameters and values used in the simulation.
ParameterValue
T s 1   μ s
f s w 50   kHz
Motor Phase Number3
Back EMF WaveformTrapezoidal
Mechanical Input (Load Torque) 3   Nm 0   Nm 3   Nm
Phase Omic Resistance 0.7   Ω
Phase Inductance 2.7   mH
Back EMF Flat Field120°
Inertia 0.0027   kg   m 2
Viscous damping 0.0004924   N   s m
Polar Pair4
Static Friction0
Input Voltage Value 150   V 100   V 150   V
Reference Speed Value 1400   rpm 1000   rpm 1400   rpm
PI Ki and Kp0.02 and 2
Conventional SMC λ200
ST-SMC α and β200 and 10
ERL-SMC λ, k1, k2, k3200 and 1, 3, 15
Table 3. Reference Increment (1000 → 1400 rpm).
Table 3. Reference Increment (1000 → 1400 rpm).
ControllerOvershoot (%)(t_r) (s)(t_s) (s)
PI≈15–18%≈0.015≈0.063
SMC≈10–12%≈0.018≈0.045
ST-SMC≈0–1%≈0.12≈0.12
ERL-SMC≈0–1%≈0.03≈0.03
Table 4. Reference Decrease (1400 → 1000 rpm).
Table 4. Reference Decrease (1400 → 1000 rpm).
ControllerUndershoot (%)(t_r) (s)(t_s) (s)
PI≈0–2%≈0.07≈0.07
SMC≈0–1%≈0.07≈0.07
ST-SMC≈3–5%≈0.017≈0.02
ERL-SMC≈0–1%≈0.03≈0.03
Table 5. Steady State (1400 rpm, constant load and voltage).
Table 5. Steady State (1400 rpm, constant load and voltage).
ControllerSteady Fluctuation (rpm) (%)IEA (p-p)
PI≈2–3%≈0.0080
SMC≈2–3%≈0.0080
ST-SMC≈0–1.5%≈0.00239
ERL-SMC≈0–0.5%≈0.00080
Table 6. DC Input Voltage Change (150 → 100 → 150 V).
Table 6. DC Input Voltage Change (150 → 100 → 150 V).
ControllerSteady Fluctuation (rpm) (%)IEA (p-p)
PI≈7–8%≈0.0239
SMC≈5–6%≈0.0175
ST-SMC≈2–3%≈0.0080
ERL-SMC≈0–0.5%≈0.00080
Table 7. Load Change (3 Nm → 0 Nm → 3 Nm).
Table 7. Load Change (3 Nm → 0 Nm → 3 Nm).
ControllerSteady Fluctuation (rpm) (%)IEA (p-p)
PI≈6–7%≈0.0207
SMC≈9–10%≈0.0303
ST-SMC≈2–3%≈0.0080
ERL-SMC≈0–0.5%≈0.00080
Table 8. Comparison of controllers used in the simulation study.
Table 8. Comparison of controllers used in the simulation study.
CriteriaPISMCST-SMCERL-SMC (Proposed)
Steady-State OscillationHigh: ~1390–1425 rpm at 1400 rpm oscillation, ~990–1030 rpm at 1000 rpm oscillationHighest: Broadband fluctuation between 1380 and 1460 rpmIntermediate level; better than PI but with noticeable periodic vibrationLowest: most stable and narrow-band oscillation around the speed reference
Tracking AccuracyClose to the reference, but excessive vibration; errors are constantly changing.Unbalanced around the reference; high-frequency jumps are present.The accuracy is good, but there are small vibrations of chatter.The best is stable tracking with the smallest error, closest to the reference speed.
Response to changes in load torque (3 → 0 → 3 Nm)Large speed deviations; slow recoverySevere fluctuation and wide oscillation in load stepsIt dampens load changes more effectively, but noticeable fluctuations still occur.The most decisive response leads to the fastest recovery, the lowest speed error, and minimal oscillation.
Response to input Voltage Change (150 → 100 → 150 V)Speed deviates significantly during voltage drops and increases; recovery is slow.High-frequency oscillation and instability during voltage changesThis algorithm outperforms classical SMC; however, transient errors are still significant.Stable; minimum speed deviation in voltage steps and superior durability
Transient Status Performance (Rise Time and Settling Time)Slow; long settling timeRapid rise, but significant overshootFaster and more controlledFaster and more controlled; low overshoot, short settling time
Noise/Vibration SensitivityMedium level; sensitive to sensor noiseHigh chatter due to sign(s)Chatter has significantly decreased.Lowest chatter; smooth and most noise-resistant control
Switching Stress (PWM behavior)LowVery highMedium levelLowest: minimum switching stress
General DurabilityMediumWeakGoodVery high; the most stable behavior in all scenarios.
General AssessmentSimple and practical, but with limited performanceDurable, but with the disadvantages of high vibration and chatter.Improved SMC; good, but still a waved structure presentThe method that performs best in all tests is fast, precise, durable, and smooth.
Table 9. Comparison of four control methods with the proposed control method.
Table 9. Comparison of four control methods with the proposed control method.
Ref.Motor/System and ConditionsControl StrategyScenarios/Test ConditionsHighlightsAccording to This Study, the Deficiency/Limitation
[11]BLDC motor, simulation, and experimentalPI and classic SMCSpeed response and load disturbancesSMC provided better stability with a shorter settling time and less overshoot compared to PIDOnly two controllers were compared; advanced SMC derivatives (e.g., ST-SMC/ERL-SMC) were not included. Stress or load-stress joint disruptive scenarios have not been analyzed.
[19]1 kW BLDC motor, 3000 rpm nominal, EV scenario1st order SMC, 2nd order SMC, integral SMCSpeed control under nominal speed and constant loadThe steady-state error and stability of Integral SMC have been found to be better than those of other types of SMCDisturbances such as load changes, voltage changes, and reference steps were not examined. Also, SMC-PI comparison or PI control is not included.
[20]BLDC, EV drive system, single motorPI and classic SMCDynamic performance and robustness tests (load degradation, variable conditions)It has been reported that SMC provides better robustness and more stable speed control compared to PIThe number of controllers is limited, and SMC derivatives (ST or ERL) have not been analyzed.
[21]BLDC motor, constant speed controlClassical SMC and higher-order (HOSMC)/advanced SMCNominal speed, steady-state control under constant loadHOSMC offered lower steady-state error and better oscillation performance compared to classical SMCOnly steady-state conditions were evaluated; no comparisons were made outside of constant or nominal conditions (voltage/load/reference changes).
[22]High-precision gimbal system, experimental (ASELSAN platform)D/UE-based Integral Sliding Mode Control (ISMC) with H∞-based disturbance/uncertainty estimatorRobust stability and performance under disturbances, uncertainties, bandwidth-limited estimation; comparison with SMO, MUDE, and H∞ main controllerExplicit RS and robust-performance conditions derived; D/UE improves disturbance rejection within observer bandwidth; reduced chattering via lower switching gain; superior performance vs. SMO and MUDE in experimentsHigh controller order due to H∞ synthesis; design complexity and tuning effort are relatively high; performance depends on proper observer bandwidth shaping
[23]Wafer stage of photolithography system, 1-D linear motor stage, simulation, and real-time experimentsPractical Fractional-Order Variable-Gain Supertwisting Algorithm (PFVSTA)Acceleration/deceleration phases, steady scanning phases, disturbance injection, comparison with CGSTA, VGSTA, FCGSTA, VGPIDFractional-order sliding surface enables fast response with low overshoot; variable-gain STA reduces chattering and improves robustness under acceleration-dependent disturbances; superior RMS and MAX error performance in both simulations and experimentsController design involves fractional-order calculus and multiple parameters; implementation complexity is higher than classical SMC/STA; effectiveness depends on proper tuning of fractional order and variable-gain functions
[24]DC–DC nonminimum phase (NMP) boost converter, EV-oriented applications, hardware experiments (dSPACE DS1104)Novel second-order sliding mode control (SOSM) with FTESO (finite-time extended state observer)Start-up response, sudden load variations, sudden input voltage variations, reference voltage changes, inductance variation, inductive loads, high-power operation (up to 120 W)Direct voltage regulation with global finite-time stability; no input-voltage measurement required; effective suppression of state-dependent mismatched uncertainties; significantly reduced chattering compared to ISMC; superior robustness under load, voltage, inductance, and reference changesController structure and analysis are mathematically complex; multiple gain functions (β1, β2, κ1, κ2, υ1) require careful tuning; computational and design complexity is higher than classical PI/SMC, which may limit rapid industrial adoption
Disclaimer/Publisher’s Note: The statements, opinions and data contained in all publications are solely those of the individual author(s) and contributor(s) and not of MDPI and/or the editor(s). MDPI and/or the editor(s) disclaim responsibility for any injury to people or property resulting from any ideas, methods, instructions or products referred to in the content.

Share and Cite

MDPI and ACS Style

Vadi, S. Robust Controller Design Based on Sliding Mode Control Strategy with Exponential Reaching Law for Brushless DC Motor. Mathematics 2026, 14, 221. https://doi.org/10.3390/math14020221

AMA Style

Vadi S. Robust Controller Design Based on Sliding Mode Control Strategy with Exponential Reaching Law for Brushless DC Motor. Mathematics. 2026; 14(2):221. https://doi.org/10.3390/math14020221

Chicago/Turabian Style

Vadi, Seyfettin. 2026. "Robust Controller Design Based on Sliding Mode Control Strategy with Exponential Reaching Law for Brushless DC Motor" Mathematics 14, no. 2: 221. https://doi.org/10.3390/math14020221

APA Style

Vadi, S. (2026). Robust Controller Design Based on Sliding Mode Control Strategy with Exponential Reaching Law for Brushless DC Motor. Mathematics, 14(2), 221. https://doi.org/10.3390/math14020221

Note that from the first issue of 2016, this journal uses article numbers instead of page numbers. See further details here.

Article Metrics

Back to TopTop