Fractional PI-PIμD Controllers with Neural Network Adaptation in Control System of BLDC Motor Electric Drives
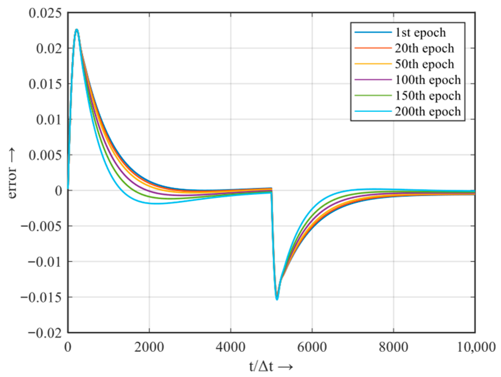
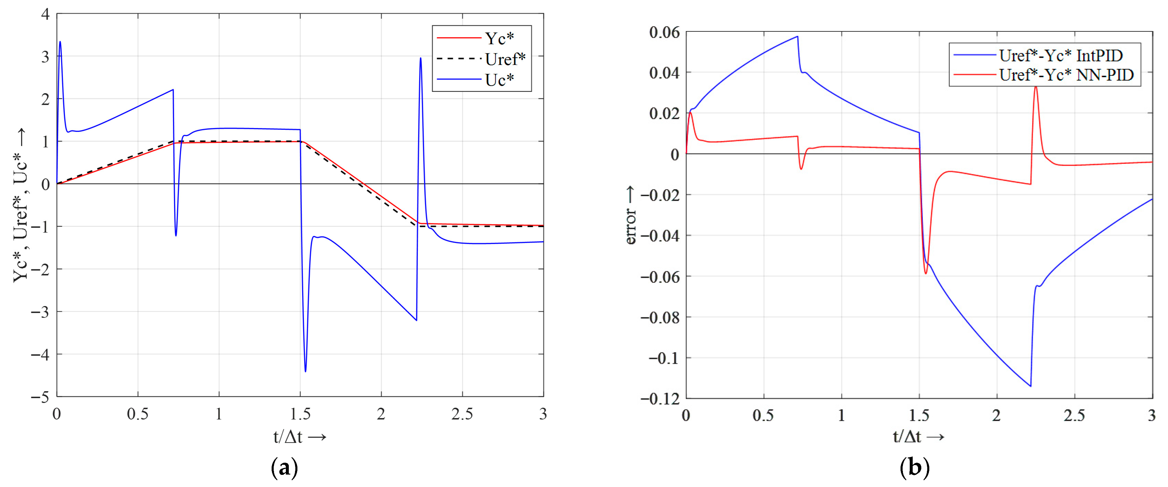
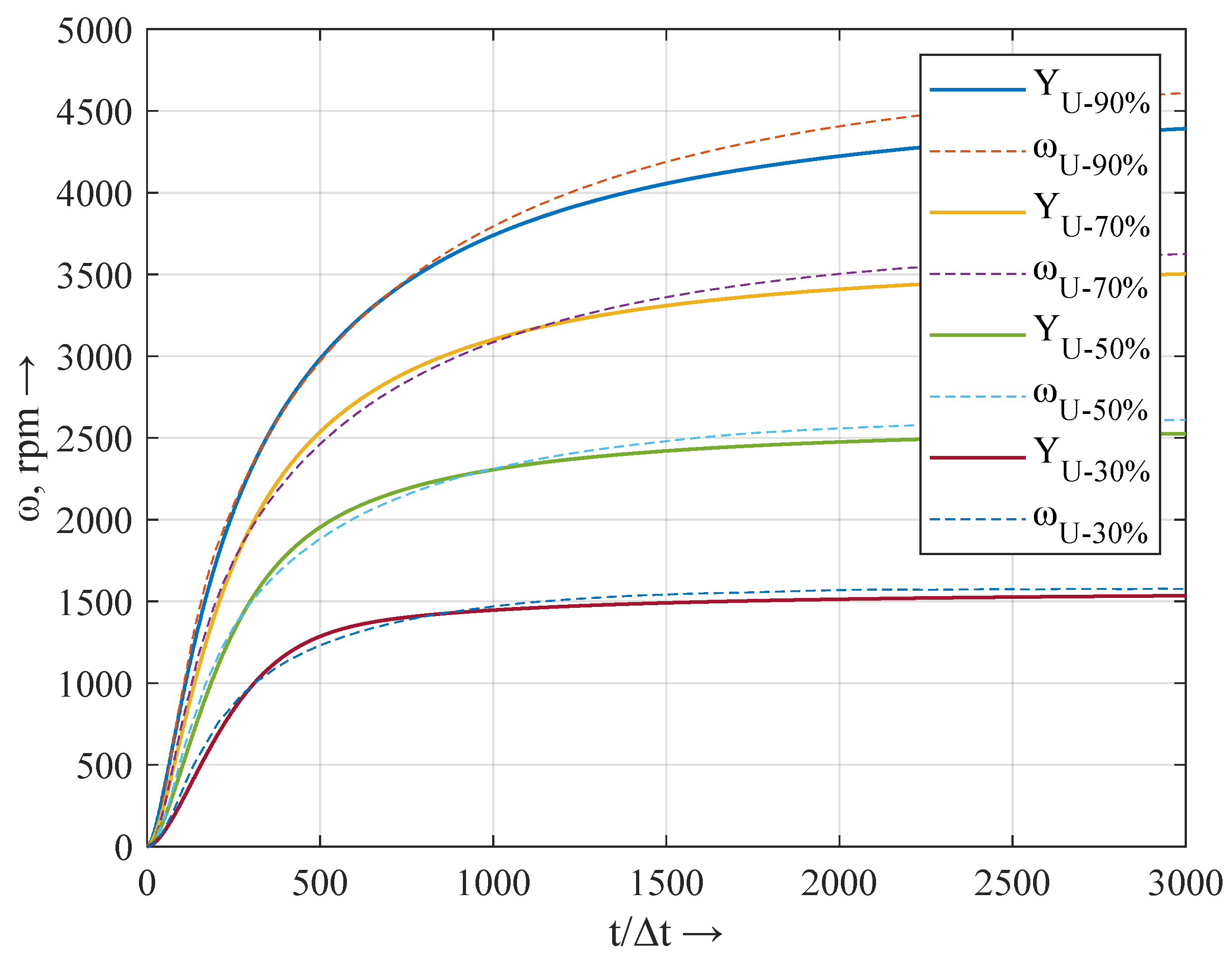
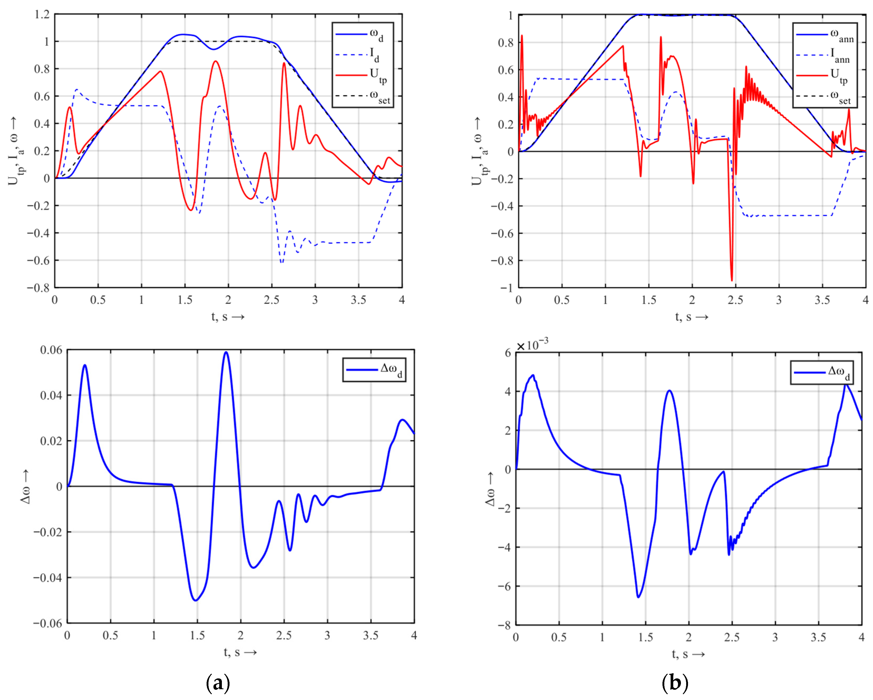
Abstract
Share and Cite
Busher, V.; Kuznetsov, V.; Kovalenko, V.; Babyak, M.; Druzhinin, V.; Tytiuk, V.; Rojek, A.; Klochko, K.; Gurin, I.; Shramko, Y. Fractional PI-PIμD Controllers with Neural Network Adaptation in Control System of BLDC Motor Electric Drives. Energies 2025, 18, 6132. https://doi.org/10.3390/en18236132
Busher V, Kuznetsov V, Kovalenko V, Babyak M, Druzhinin V, Tytiuk V, Rojek A, Klochko K, Gurin I, Shramko Y. Fractional PI-PIμD Controllers with Neural Network Adaptation in Control System of BLDC Motor Electric Drives. Energies. 2025; 18(23):6132. https://doi.org/10.3390/en18236132
Chicago/Turabian StyleBusher, Victor, Valeriy Kuznetsov, Viktor Kovalenko, Mykola Babyak, Valeriy Druzhinin, Valerii Tytiuk, Artur Rojek, Kateryna Klochko, Ievgen Gurin, and Yurii Shramko. 2025. "Fractional PI-PIμD Controllers with Neural Network Adaptation in Control System of BLDC Motor Electric Drives" Energies 18, no. 23: 6132. https://doi.org/10.3390/en18236132
APA StyleBusher, V., Kuznetsov, V., Kovalenko, V., Babyak, M., Druzhinin, V., Tytiuk, V., Rojek, A., Klochko, K., Gurin, I., & Shramko, Y. (2025). Fractional PI-PIμD Controllers with Neural Network Adaptation in Control System of BLDC Motor Electric Drives. Energies, 18(23), 6132. https://doi.org/10.3390/en18236132

