Sign in to use this feature.

Years

Between: -

Subjects

remove_circle_outline
remove_circle_outline
remove_circle_outline
remove_circle_outline
remove_circle_outline
remove_circle_outline
remove_circle_outline

Journals

Article Types

Countries / Regions

Search Results (124)

Search Parameters:
Keywords = NAD biosynthesis

Order results
Result details
Results per page
Select all
Export citation of selected articles as:
23 pages, 3109 KB  
Article
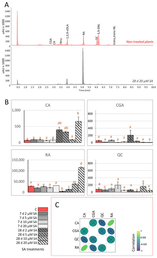
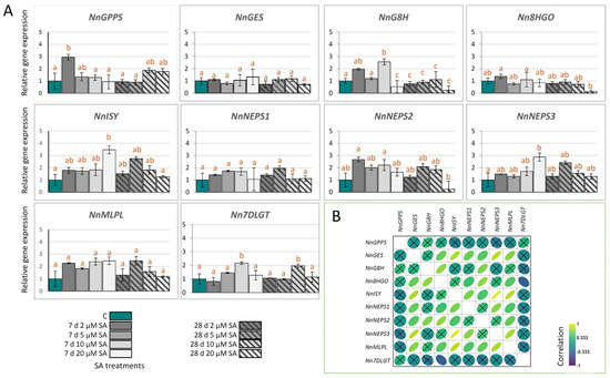
Salicylic Acid-Induced Elicitation of Nepetalactone and Rosmarinic Acid Biosynthesis in Naked Catmint (Nepeta nuda L.): Metabolomic and Transcriptional Insights
by Luka Petrović, Slavica Dmitrović, Jasmina Nestorović Živković, Biljana Filipović, Neda Popović, Milica Milutinović, Dragana Matekalo, Uroš Gašić, Danijela Mišić and Marijana Skorić
Int. J. Mol. Sci. 2026, 27(8), 3570; https://doi.org/10.3390/ijms27083570 - 16 Apr 2026
Viewed by 207
Abstract
Salicylic acid (SA) is involved in plant defense responses to environmental stressors by modulating gene expression and specialized metabolites production, enhancing plant adaptive resilience through systemic signaling pathways. This study investigates the impact of exogenous application of SA on the metabolism of iridoids [...] Read more.
Salicylic acid (SA) is involved in plant defense responses to environmental stressors by modulating gene expression and specialized metabolites production, enhancing plant adaptive resilience through systemic signaling pathways. This study investigates the impact of exogenous application of SA on the metabolism of iridoids and phenolic compounds—characteristic specialized metabolites of the Nepeta species, associated with diverse biological activities. Nepetalactone (NL) is a characteristic monoterpene iridoid, while rosmarinic acid (RA) represents the most abundant phenolic compound within the genus. We explored the effects of varying SA concentrations (2 µM, 5 µM, 10 µM, and 20 µM) on iridoid and phenolic metabolism in in vitro-grown Nepeta nuda, following 7 days and 28 days of elicitation. A significant increase in trans,trans-NL content was observed after 7-day exposure to 2 µM SA, while prolonged exposure led to a decrease in its levels, particularly at higher SA concentrations. Gene expression analysis revealed that 7 days of exposure to lower concentrations of SA upregulated genes coding for NAD-dependent nepetalactol-related short-chain dehydrogenase/reductases (NEPSs), key regulatory enzymes catalyzing the final steps of NL biosynthesis. In contrast, prolonged exposure to 20 µM SA downregulated genes coding for geraniol 8-hydroxylase (NnG8H) and 8-hydroxygeraniol oxidoreductase (Nn8HGO), which resulted in reduced iridoid content. Conversely, SA treatment notably increased RA content after prolonged exposure to 20 µM SA, which is a result of the enhanced expression of all analyzed RA biosynthesis-related genes. These findings demonstrate that both concentration and duration of SA treatment are critical determinants of elicitation outcomes in N. nuda. Strategic manipulation of these parameters can redirect metabolic flux toward either iridoid or phenolic compounds production, and enhance biotechnological production of specialized metabolites in N. nuda. Full article
Show Figures

Figure 1

12 pages, 1489 KB  
Article
High-Level Production of NMN in Escherichia coli Through Co-Utilization of Glucose and Glycerol
by Jiajia Gan, Xiuzhen Chen, Yongzhi He, Yanfeng Zhang, Jin Zhong and Zhiyang Dong
Microorganisms 2026, 14(4), 897; https://doi.org/10.3390/microorganisms14040897 - 16 Apr 2026
Viewed by 241
Abstract
Nicotinamide mononucleotide (NMN), a direct precursor of the essential coenzyme nicotinamide adenine dinucleotide (NAD+), confers anti-aging effects and multiple health benefits. Engineered microorganisms represent a promising platform for sustainable industrial production of NMN. Here, the previously reported NMN-producing strain NMN008 was [...] Read more.
Nicotinamide mononucleotide (NMN), a direct precursor of the essential coenzyme nicotinamide adenine dinucleotide (NAD+), confers anti-aging effects and multiple health benefits. Engineered microorganisms represent a promising platform for sustainable industrial production of NMN. Here, the previously reported NMN-producing strain NMN008 was engineered to co-utilize glucose and glycerol for the biosynthesis of NMN from nicotinamide (NAM). First, the glycolytic genes pgi and pykA/pykF were sequentially deleted to disrupt glucose catabolism through the glycolytic pathway, thereby potentially improving precursor availability for NMN biosynthesis. Second, a feedback-resistant glycerol kinase mutant (glpK*) was introduced to enhance glycerol utilization, aiming to compensate for the growth defects associated with impaired glycolysis. These modifications enabled glycerol to primarily support cell growth and energy metabolism, while improving glucose allocation toward NMN biosynthesis by reducing its competitive consumption through glycolysis. As a result, the final strain achieved an NMN titer of 32.92 g/L in a 2 L bioreactor, representing a 26.28% increase in NMN production and a substantial 34.48% improvement in carbon conversion efficiency. Our research provides an effective strategy to achieve industrial-scale production of NMN, laying a foundation for the widespread application of NMN. Full article
Show Figures

Figure 1

16 pages, 676 KB  
Review
Chlorella Growth Factor: Biochemical Identity, Redox-Active Mechanisms, Nutritional Relevance, and Translational Implications
by Wojciech Rzeski and Weronika Rzeska
Nutrients 2026, 18(8), 1250; https://doi.org/10.3390/nu18081250 - 15 Apr 2026
Viewed by 375
Abstract
Chlorella Growth Factor (CGF) is a nucleotide-rich, water-soluble intracellular fraction derived from disrupted Chlorella biomass that has historically been described as a “growth-promoting” extract but remains poorly defined at the molecular level. In this review, we propose that CGF should not be interpreted [...] Read more.
Chlorella Growth Factor (CGF) is a nucleotide-rich, water-soluble intracellular fraction derived from disrupted Chlorella biomass that has historically been described as a “growth-promoting” extract but remains poorly defined at the molecular level. In this review, we propose that CGF should not be interpreted as a classical receptor-binding growth factor, but rather as a heterogeneous, nucleotide-dominant metabolic fraction that may modulate cellular redox balance and biosynthetic capacity. We integrate available evidence on CGF characterization, including A260-based analytical indices, mineral-dependent biosynthesis, and extraction methodologies, with mechanistic observations from in vitro, animal, and applied biological systems. Across these contexts, CGF-associated fractions have been reported to influence redox-sensitive pathways, including NAD(H)/NADP(H)-linked processes, MAPK/AP-1 signaling, extracellular matrix regulation, and humoral immune responses. However, most mechanistic evidence remains indirect, and compositional heterogeneity limits direct comparability across studies. From a nutritional perspective, CGF contributes minimal macronutrient value but may provide conditionally relevant dietary nucleotides, amino acids, and redox-active metabolites that support metabolic processes under stress conditions. Observed biological effects are consistent with a model of metabolic permissiveness, in which CGF-associated fractions may support endogenous cellular functions rather than directly initiating signaling cascades. Key translational challenges include the lack of compositional standardization, limited nucleotide speciation, variability in extraction protocols, and the absence of pharmacokinetic and controlled human studies using well-characterized CGF preparations. Overall, CGF may be conceptualized as a candidate dietary bioactive with redox-centered and metabolically permissive properties. Further work integrating standardized analytical frameworks with mechanistic and clinical validation will be required to establish its role in human nutrition and functional food applications. Full article
(This article belongs to the Section Nutrition and Metabolism)
Show Figures

Figure 1

49 pages, 1195 KB  
Review
Niacin Derivatives in MASLD: Metabolic and Therapeutic Insights
by Marina Idalia Rojo-López, Julia Niño-Narvión, Maria Antentas, Berta Fernández-Camins, Elizabeth Martínez-Rojo, Maria Poca, María Antonia Martínez-Sánchez, Bruno Ramos-Molina, Joana Rossell, Didac Mauricio and Josep Julve
Nutrients 2026, 18(6), 996; https://doi.org/10.3390/nu18060996 - 20 Mar 2026
Viewed by 1024
Abstract
Metabolic dysfunction-associated steatotic liver disease (MASLD) is becoming increasingly prevalent worldwide, particularly among individuals with obesity and type 2 diabetes (T2D). MASLD remains potentially reversible in the early phases but, without timely intervention, it can progress to metabolic dysfunction-associated steatohepatitis (MASH) and hepatic [...] Read more.
Metabolic dysfunction-associated steatotic liver disease (MASLD) is becoming increasingly prevalent worldwide, particularly among individuals with obesity and type 2 diabetes (T2D). MASLD remains potentially reversible in the early phases but, without timely intervention, it can progress to metabolic dysfunction-associated steatohepatitis (MASH) and hepatic fibrosis, which in turn may advance to cirrhosis and hepatocellular carcinoma over time. With no pharmacological treatments specifically indicated for MASLD, current therapeutic strategies include lifestyle modifications, including dietary modifications. Niacin and its molecular derivatives (collectively belonging to the vitamin B3 group) play a central role in metabolic processes, especially through their involvement in the biosynthesis of the oxidized form of nicotinamide adenine dinucleotide (NAD+). A growing body of preclinical evidence suggests that reduced NAD+ levels are a hallmark of MASLD, and that NAD+ precursors may help attenuate disease progression through multiple mechanisms, including sirtuin 1 (SIRT1)-mediated inhibition of hepatic lipogenesis. Although these findings from experimental models suggest a potential role for niacin and related molecular derivatives as a modulators of MASLD-related pathways, evidence from human studies remains limited and inconsistent. For instance, interventional studies evaluating niacin or molecular derivatives supplementation have reported variable findings, with several trials showing limited meaningful benefits on MASLD-related outcomes. Consequently, further well-designed, controlled trials are needed to clarify therapeutic efficacy, dose–response relationship, and the feasibility of integrating niacin derivatives into dietary or therapeutic strategies aimed at reducing liver fat and improving adverse metabolic outcomes. This review aims to (i) summarize mechanistic insights on the role of niacin as a source of NAD+ on experimental MASLD and (ii) critically evaluate the available human evidence on the effect of supplemental niacin and derivatives in the prevention of MASLD development and its progression to MASH and fibrosis. Full article
Show Figures

Figure 1

25 pages, 2010 KB  
Article
Suppressive Effects of an Inhibitor Composition on Skin Ulceration and Transcriptomic Analysis in the Sea Cucumber Apostichopus japonicus Exposed to No. 0 Diesel Oil
by Xiaonan Li, Yajie Deng, Shufeng Li, Haoran Xiao, Fenglin Tian, Qi Ye, Lingshu Han, Chong Zhao and Jun Ding
Biology 2026, 15(6), 482; https://doi.org/10.3390/biology15060482 - 18 Mar 2026
Viewed by 402
Abstract
No. 0 diesel oil may pose a serious threat to sea cucumber (Apostichopus japonicus) aquaculture by inducing skin ulceration. This study aimed to evaluate the protective efficacy and mechanism of a previously developed inhibitor composition against diesel-induced injury. The inhibitor composition [...] Read more.
No. 0 diesel oil may pose a serious threat to sea cucumber (Apostichopus japonicus) aquaculture by inducing skin ulceration. This study aimed to evaluate the protective efficacy and mechanism of a previously developed inhibitor composition against diesel-induced injury. The inhibitor composition significantly alleviated skin ulceration in the experimental group (Eg), reducing the lesion area to 14.44 ± 1.79% after 96 h, compared to 33.19 ± 2.94% in the diesel-exposed control group (Cg) (p < 0.05). It effectively suppressed the overactivation of autolytic enzymes (cathepsin L and B) while enhancing the activities of acetylcholinesterase, superoxide dismutase, and catalase. Transcriptomic profiling revealed 3137 differentially expressed genes, with functional enrichment in pathways related to Notch signaling, ECM–receptor interaction, glycosaminoglycan biosynthesis, and detoxification. The upregulation of genes such as HES-C, CYP1A1, GST, and UGT may be linked to the regulation of apoptosis inhibition, xenobiotic metabolism, and antioxidant defense. Furthermore, enhanced expression of NAD kinase and PNLIPRP may indicate a potential strengthening of energy metabolism and lipid utilization during stress adaptation. This study suggests that the inhibitor composition may exert a multi-level protective effect against diesel-induced injury by coordinating tissue repair, oxidative balance, and detoxification processes, offering a potential strategy to mitigate pollution impacts in sea cucumber aquaculture. Full article
(This article belongs to the Section Toxicology)
Show Figures

Figure 1

14 pages, 1785 KB  
Article
Possible Involvement of NAMPT in the Anti-Obesity Effect of Oral Administration of Fermented Rice with Lactobacillus kefiranofaciens (Rice Kefiran) in C57BL/6J Mice
by Mahmoud Ben Othman and Kazuichi Sakamoto
Int. J. Mol. Sci. 2026, 27(4), 1912; https://doi.org/10.3390/ijms27041912 - 17 Feb 2026
Viewed by 523
Abstract
Obesity is a complex metabolic disorder characterized by excessive accumulation of adipose tissue, resulting from an imbalance between energy intake and expenditure. It is associated with an increased risk of chronic diseases such as type 2 diabetes, cardiovascular disease, and cancer. Kefiran is [...] Read more.
Obesity is a complex metabolic disorder characterized by excessive accumulation of adipose tissue, resulting from an imbalance between energy intake and expenditure. It is associated with an increased risk of chronic diseases such as type 2 diabetes, cardiovascular disease, and cancer. Kefiran is a water-soluble exopolysaccharide produced by lactic acid bacteria, Lactobacillus kefiranofaciens, in kefir grains, composed primarily of glucose and galactose. It has garnered scientific interest due to its antioxidant, anti-inflammatory, and antimicrobial properties. Rice Kefiran (RK) is a functional food made with culturing L. kefiranofaciens in a medium containing rice. It is standardized to contain at least 5 mg/g of kefiran. This study investigated the anti-obesity effect of RK on a high-fat diet (HFD)-induced obese mouse model. HFD-fed mice exhibited marked increases in body weight gain (10.3 g vs. 2.0 g in controls) and adipose tissue mass (2.4 g vs. 0.4 g in controls). RK administration significantly attenuated weight gain to 8.3 g and 6.0 g at doses of 10 and 50 mg/kg, respectively, and reduced adipose tissue mass to 2.2 g (RK10) and 1.7 g (RK50). Oral glucose tolerance testing revealed impaired glucose clearance in HFD-fed mice, with blood glucose levels of 403.5 mg/dL at 15 min and 314.6 mg/dL at 120 min, compared with 348.8 mg/dL and 232.2 mg/dL in controls. RK treatment improved glucose tolerance, particularly at 50 mg/kg, reducing glucose levels to 359.0 mg/dL at 15 min and 263.8 mg/dL at 120 min. Biochemical analyses demonstrated that RK significantly reduced serum total cholesterol (213.6 mg/dL in HFD vs. 178.0 and 184.0 mg/dL in RK10 and RK50), triglycerides (379.0 mg/dL in HFD vs. 228.8 and 234.6 mg/dL), and non-esterified fatty acids (0.89 mEq/mL in HFD vs. 0.54 and 0.35 mEq/mL), while phospholipid levels remained unchanged. Furthermore, RK increased serum nicotinamide phosphoribosyltransferase (NAMPT) levels from 15.8 ng/mL in HFD-fed mice to 30.0 and 50.0 ng/mL in the RK10 and RK50 groups, respectively, and restored hepatic NAD+/NADH ratios toward control levels (1.78 µmol/L in HFD vs. 1.90 µmol/L and 2.07 µmol/L in RK10 and RK50). Gene expression analysis showed that RK increased Nampt mRNA expression and decreased the mRNA expression of adipogenic and lipogenic genes, including Srebp-1c, Acc-1, and Fas. These findings suggest that RK may ameliorate obesity-related metabolic disturbances and its associated metabolic dysfunctions by modulating lipid metabolism, glucose tolerance, and NAD+ biosynthesis pathways. Full article
(This article belongs to the Special Issue Molecular Insights on Drug Discovery, Design, and Treatment)
Show Figures

Figure 1

23 pages, 5459 KB  
Article
Metabolomics of Multiple System Atrophy Patient-Derived Striatal Medium Spiny Neurons
by Nadine J. Smandzich, Heike Bähre, Thomas Gschwendtberger, Stephan Greten, Lan Ye, Martin Klietz, Alessio Di Fonzo, Lisa M. Henkel and Florian Wegner
Biomolecules 2026, 16(2), 190; https://doi.org/10.3390/biom16020190 - 26 Jan 2026
Viewed by 527
Abstract
In multiple system atrophy (MSA), the fatal movement disorder, cell populations of the striatum and other subcortical brain regions degenerate, leading to a rapidly progressive, atypical Parkinsonian syndrome. The pathophysiology of neurons and glial cells shows misfolding, aggregation, and increased release of the [...] Read more.
In multiple system atrophy (MSA), the fatal movement disorder, cell populations of the striatum and other subcortical brain regions degenerate, leading to a rapidly progressive, atypical Parkinsonian syndrome. The pathophysiology of neurons and glial cells shows misfolding, aggregation, and increased release of the protein α-synuclein. In addition, neuronal hypoexcitability, a reduction in the activity of the mitochondrial respiratory chain, and a dysregulation of the enzymes involved in the biosynthesis of coenzyme Q10 were observed in human stem-cell models. In this study, untargeted and targeted metabolome analyses were performed with MSA patient-derived GABAergic striatal medium spiny neurons focusing on the citrate cycle and mitochondrial respiratory chain. The results indicate a significant decrease in succinate and ATP as well as an imbalanced NAD+/NADH ratio of MSA cell lines compared to matched healthy controls, suggesting alterations in mitochondrial processes which may facilitate neurodegeneration. Full article
(This article belongs to the Special Issue Advances in Metabolomics in Health and Disease)
Show Figures

Figure 1

17 pages, 2630 KB  
Article
The Complete Mitochondrial Genome of the Dioscorea opposita Thunb. cv. Tiegun, a Traditional Medicinal and Edible Crop
by Dan Zhu, Feng Feng, Xiaoyong Shi, Mengqi Tian, Zhixiang Chen and Jiewei Zhang
Biology 2026, 15(2), 133; https://doi.org/10.3390/biology15020133 - 12 Jan 2026
Viewed by 503
Abstract
This study reports the first complete mitochondrial genome of the traditional medicinal and edible crop, D. opposita (493,268 bp, 45.67% GC). We annotated 39 unique protein-coding genes (PCGs), which included 24 core mitochondrial genes and 15 variable genes, as well as 19 tRNA [...] Read more.
This study reports the first complete mitochondrial genome of the traditional medicinal and edible crop, D. opposita (493,268 bp, 45.67% GC). We annotated 39 unique protein-coding genes (PCGs), which included 24 core mitochondrial genes and 15 variable genes, as well as 19 tRNA genes and 3 rRNA genes, along with 245 SSRs and multiple repeat sequences. The longest palindromic repeat measured 260 bp, while the longest forward repeat was 24,068 bp. Furthermore, 723 RNA editing sites were discovered, all involving C-to-U edits, with the nad4 having the highest number of edits (60 sites in total). Comparative genomic and phylogenomic analyses revealed Tiegun yam conserved gene content but structural variations compared to other monocots, underscoring the role of repetitive sequences and recombination in shaping mitochondrial architecture and facilitating cytonuclear co-adaptation. These findings establish a crucial genomic foundation for understanding mitochondrial regulation of growth and metabolic traits in this important species, with implications for future molecular breeding and functional studies of medicinal compound biosynthesis. Full article
(This article belongs to the Section Bioinformatics)
Show Figures

Figure 1

17 pages, 4203 KB  
Article
Regulation of NAD+ Homeostasis by SsNrtR in Streptococcus Sobrinus: A Critical Determinant of Its Cariogenic Potential
by Shuojie Lv, Haojie Yu, Dandan Shao, Yuheng Zhao, Jian Chen, Wanying Zheng and Qingjing Wang
Pathogens 2025, 14(12), 1213; https://doi.org/10.3390/pathogens14121213 - 28 Nov 2025
Viewed by 598
Abstract
Nicotinamide adenine dinucleotide (NAD+) serves as a critical cofactor in redox reactions and metabolic transformations catalyzed by NAD-dependent enzymes and is essential for bacterial survival and virulence. The biosynthesis of NAD+ in the cariogenic pathogen Streptococcus Sobrinus (S. sobrinus [...] Read more.
Nicotinamide adenine dinucleotide (NAD+) serves as a critical cofactor in redox reactions and metabolic transformations catalyzed by NAD-dependent enzymes and is essential for bacterial survival and virulence. The biosynthesis of NAD+ in the cariogenic pathogen Streptococcus Sobrinus (S. sobrinus), a pivotal participant in oral cavities of children and adolescents with a history of caries, has yet to be explored. Bioinformatics, genetics, and biochemical techniques were used to identify NAD+ biosynthesis pathways and corresponding regulator in S. Sobrinus. S. sobrinus lacks de novo NAD+ synthesis pathway but comprises NA and Nam salvage pathway I (PncA-PncB-NadD-NadE) and PnuC-NadR salvage pathway III. NiaY and PnuC were involved in the salvage pathways. N-terminal domain of SsNrtR regulator was identified as DNA-binding domain binding to the pnuC and pncB probe, and addition of ADP-ribose reversed the binding of SsNrtR to the target promoters to regulate NAD+ salvage pathways. C-terminal domain of SsNrtR was non-catalytic, consistent with loss of Nudix motif conservation. Furthermore, the abrogation of niaR compromised multiple pathogenic traits, including cellular proliferation, acidogenesis, and the architecture/mechanical integrity of biofilms. Consequently, this mutant exhibited attenuated virulence in a rat caries model. Our findings conclusively demonstrate that SsNrtR-mediated regulation of NAD+ homeostasis is a critical determinant of the cariogenic potential of S. sobrinus. This study identifies SsNrtR as a previously uncharacterized NAD+-responsive regulator that integrates metabolic homeostasis with the control of virulence in Streptococcus sobrinus. These findings elucidate a novel metabolic–virulence regulatory axis in this species and position SsNrtR as a promising target for the development of anti-caries interventions. Full article
(This article belongs to the Section Bacterial Pathogens)
Show Figures

Figure 1

18 pages, 1707 KB  
Hypothesis
An Alternative Metabolic Pathway of Glucose Oxidation Induced by Mitochondrial Complex I Inhibition: Serinogenesis and Folate Cycling
by Roman Abrosimov, Ankush Borlepawar, Parvana Hajieva and Bernd Moosmann
Int. J. Mol. Sci. 2025, 26(23), 11349; https://doi.org/10.3390/ijms262311349 - 24 Nov 2025
Viewed by 1921
Abstract
Inhibition of respiratory chain complex I (NADH dehydrogenase) is a widely encountered biochemical consequence of drug intoxication and a primary consequence of mtDNA mutations and other mitochondrial defects. In an organ-selective form, it is also deployed as antidiabetic pharmacological treatment. Complex I inhibition [...] Read more.
Inhibition of respiratory chain complex I (NADH dehydrogenase) is a widely encountered biochemical consequence of drug intoxication and a primary consequence of mtDNA mutations and other mitochondrial defects. In an organ-selective form, it is also deployed as antidiabetic pharmacological treatment. Complex I inhibition evokes a pronounced metabolic reprogramming of uncertain purposefulness, as in several cases, anabolism appears to be fostered in a state of bioenergetic shortage. A hallmark of complex I inhibition is the enhanced biosynthesis of serine, usually accompanied by an induction of folate-converting enzymes. Here, we have revisited the differential transcriptional induction of these metabolic pathways in three published models of selective complex I inhibition: MPP-treated neuronal cells, methionine-restricted rats, and patient fibroblasts harboring an NDUFS2 mutation. We find that in a coupled fashion, serinogenesis and circular folate cycling provide an unrecognized alternative pathway of complete glucose oxidation that is mostly dependent on NADP instead of the canonic NAD cofactor (NADP:NAD ≈ 2:1) and thus evades the shortage of oxidized NAD produced by complex I inhibition. In contrast, serine utilization for anabolic purposes and C1-folate provision for S-adenosyl-methionine production and transsulfuration cannot explain the observed transcriptional patterns, while C1-folate provision for purine biosynthesis did occur in some models, albeit not universally. We conclude that catabolic glucose oxidation to CO2, linked with NADPH production for indirect downstream respiration through fatty acid cycling, is the general purpose of the remarkably strong induction of serinogenesis after complex I inhibition. Full article
(This article belongs to the Special Issue Mitochondria and Energy Metabolism Reprogramming in Diseases)
Show Figures

Figure 1

17 pages, 1368 KB  
Article
Tailoring 3HV Fraction in Poly(3-hydroxybutyrate-co-3-hydroxyvalerate) by Azotobacter vinelandii Through Oxygen and Carbon Limitation in Continuous Cultures
by Andrés Pérez, Andrés García, Viviana Urtuvia, Carlos Peña and Alvaro Díaz-Barrera
Polymers 2025, 17(19), 2578; https://doi.org/10.3390/polym17192578 - 24 Sep 2025
Viewed by 842
Abstract
Azotobacter vinelandii OP is a bacterium that can produce poly(3-hydroxybutyrate-co-3-hydroxyvalerate) (P3HBV), a biodegradable and biocompatible polymer with applications in the biomedical field. This study aimed to evaluate P3HBV production and its 3-hydroxyvalerate (3HV) fraction under different agitation rates and oxygen uptake [...] Read more.
Azotobacter vinelandii OP is a bacterium that can produce poly(3-hydroxybutyrate-co-3-hydroxyvalerate) (P3HBV), a biodegradable and biocompatible polymer with applications in the biomedical field. This study aimed to evaluate P3HBV production and its 3-hydroxyvalerate (3HV) fraction under different agitation rates and oxygen uptake rates (qO2) in chemostat cultures of A. vinelandii OP. Steady-state conditions with either oxygen or carbon limitation were established by modulating the agitation rates. Under oxygen-limited conditions (low qO2 values) biomass and P3HBV concentrations increased to 3.3 g L−1 and 2.1 g L−1, respectively. At higher qO2 values, the chemostat cultures were limited by carbon, and P3HBV content decreased from 62% to 33% (w w−1). The highest 3HV molar fractions, 33.7 and 36.4 mol %, were observed at both the lowest and highest qO2 levels, possibly linked to comparable valeric acid consumption rates. An elevated NAD(P)H/NAD(P)+ ratio was also observed under oxygen limitation, favoring polymer accumulation by indicating a more favorable intracellular redox state. These findings highlight the impact of nutrient limitation and respiratory activity on the biosynthesis of P3HBV and the 3HV composition by Azotobacter vinelandii OP. Such insights can support the development of tailored bioprocesses to modulate polymer characteristics, enabling a broader range of potential biomedical applications for P3HBV. Full article
(This article belongs to the Section Biobased and Biodegradable Polymers)
Show Figures

Graphical abstract

19 pages, 3792 KB  
Article
Whole Genome Sequencing and Extracellular Metabolite Profiling of Lactiplantibacillus plantarum FRT4: Insights into Probiotic Functionality
by Yuyin Huang, Kun Meng, Guohua Liu, Zhimin Chen, Yunsheng Han, Peilong Yang, Rui Zhang and Hongying Cai
Biology 2025, 14(9), 1167; https://doi.org/10.3390/biology14091167 - 1 Sep 2025
Cited by 4 | Viewed by 1410
Abstract
Lactiplantibacillus plantarum is a widely studied probiotic species with significant strain-specific functional diversity, yet the molecular mechanisms underlying these variations remain largely unexplored. In this study, whole genome sequencing (WGS) and untargeted metabolomics were employed to comprehensively characterize the genetic architecture and extracellular [...] Read more.
Lactiplantibacillus plantarum is a widely studied probiotic species with significant strain-specific functional diversity, yet the molecular mechanisms underlying these variations remain largely unexplored. In this study, whole genome sequencing (WGS) and untargeted metabolomics were employed to comprehensively characterize the genetic architecture and extracellular metabolic profile of Lp. plantarum FRT4 (CGMCC 17955), a probiotic strain previously studied for its metabolic effects in animal models. WGS revealed a circular chromosome and five plasmids, encoding 3301 protein-coding genes enriched in amino acid biosynthesis, carbohydrate metabolism, and environmental response pathways. Carbohydrate-active enzymes (CAZy) annotation revealed 135 carbohydrate-active enzyme genes, dominated by glycoside hydrolases and glycosyl transferases. Untargeted metabolomic analysis comparing the fermentation supernatant of FRT4 with non-inoculated MRS medium revealed significant alterations in metabolite composition, including elevated levels of acetylcholine, nicotinamide adenine dinucleotide (NAD), and trans-3-coumarate, and reduced levels of uridine, inosine, and fructose-1-phosphate, indicating active modulation of neurotransmission, redox balance, and purine metabolism. KEGG (Kyoto Encyclopedia of Genes and Genomes) enrichment showed significant regulation of pathways related to amino acid metabolism, carbon metabolism, and cofactor biosynthesis. These findings highlight the metabolic versatility and functional potential of FRT4, offering mechanistic insights into its probiotic effects and providing a basis for its potential application in fermentation-based formulations. Full article
(This article belongs to the Section Microbiology)
Show Figures

Graphical abstract

12 pages, 2157 KB  
Article
Novel Biosynthetic Pathway for Nicotinamide Mononucleotide Production from Cytidine in Escherichia coli
by Jiaxiang Yuan, Rongchen Feng, Mingming Liu, Xin Wang, Kequan Chen and Sheng Xu
Catalysts 2025, 15(9), 816; https://doi.org/10.3390/catal15090816 - 27 Aug 2025
Cited by 1 | Viewed by 1644
Abstract
Nicotinamide mononucleotide, known as NMN, is an important nicotinamide adenine dinucleotide (NAD+) precursor. It is integral in cellular metabolism, energy generation, and processes associated with aging. Since NMN provides healthy value, it becomes a major focus for the biotechnological industry. This [...] Read more.
Nicotinamide mononucleotide, known as NMN, is an important nicotinamide adenine dinucleotide (NAD+) precursor. It is integral in cellular metabolism, energy generation, and processes associated with aging. Since NMN provides healthy value, it becomes a major focus for the biotechnological industry. This study presents a new biosynthetic pathway for producing NMN without limits on intracellular PRPP (5′-phosphoribosyl pyrophosphate) metabolic flux. The route started by converting cytidine into 1-phosphoribose via pyrimidine-nucleoside phosphorylase (PyNP), after transforming into nicotinamide riboside (NR) through either purine-nucleoside phosphorylase (XapA) or nicotinate riboside kinase (NRK). NR was phosphorylated by NRK in the presence of nicotinamide (NAM) to produce NMN. We established an in vitro enzyme activity verification system for the feasibility check. The optimization of multienzyme cascade reactions was figured out for the NMN biosynthesis. Finally, the enzymes of PyNP and NRK were expressed in the cytidine-producing strain; we established a de novo biosynthesis pathway from glucose to NMN, achieving a production titer of 33.71 mg/L at a shake-flask scale. Full article
(This article belongs to the Section Biocatalysis)
Show Figures

Graphical abstract

21 pages, 4387 KB  
Article
C. elegans Cytoplasmic Isocitrate Dehydrogenase Neomorphic G98N and R133H Mutants Produce the Oncometabolite 2-Hydroxyglutarate
by Melissa Bouchard, Anne McAllister, Noah S. Bourlett, Chelsea Hoyt, Laurent Calcul and Katherine M. Walstrom
Int. J. Mol. Sci. 2025, 26(17), 8238; https://doi.org/10.3390/ijms26178238 - 25 Aug 2025
Cited by 1 | Viewed by 1377
Abstract
Isocitrate dehydrogenase (IDH) catalyzes the conversion of NAD(P)+ and isocitrate to NAD(P)H and α-ketoglutarate (αKG). The cytoplasmic enzyme IDH1 is important for producing NADPH for biosynthesis and for protecting against oxidative stress. IDH1 mutants, such as R132H found in glioblastomas and other [...] Read more.
Isocitrate dehydrogenase (IDH) catalyzes the conversion of NAD(P)+ and isocitrate to NAD(P)H and α-ketoglutarate (αKG). The cytoplasmic enzyme IDH1 is important for producing NADPH for biosynthesis and for protecting against oxidative stress. IDH1 mutants, such as R132H found in glioblastomas and other types of human cancers, have a neomorphic activity that uses NADPH to reduce αKG to 2-hydroxyglutarate (2HG). 2HG interferes with the activity of important enzymes such as histone demethylases and TET demethylases. We hypothesized that Caenorhabditis elegans could be a good model system for studying oncogenic properties of mutant IDH1. To test this, we purified C. elegans cytoplasmic IDH-1 and two mutants, G98N and R133H, which correspond to human IDH1 mutants G97N and R132H, respectively. We found that the wild-type IDH-1 had similar kinetic properties to human IDH1, and it could produce small amounts of 2HG. We also found that the R133H mutant had a lower KM for αKG than human R132H in steady-state enzyme kinetic experiments, and it produced almost exclusively 2HG in the presence of NADPH and αKG. The G98N mutant had a higher kcat in the forward direction than the comparable human G97N mutant, and the G98N mutant produced a smaller amount of 2HG compared to the R133H mutant. These results suggest that C. elegans strains with IDH-1 mutations could be a good model system for studying the effects of 2HG in eukaryotic organisms. Full article
(This article belongs to the Special Issue C. elegans as a Disease Model: Molecular Perspectives: 2nd Edition)
Show Figures

Graphical abstract

23 pages, 3521 KB  
Article
Efficacy of NAMPT Inhibitors in Pancreatic Cancer After Stratification by MAP17 (PDZK1IP1) Levels
by Eva M. Verdugo-Sivianes, Julia Martínez-Pérez, Lola E Navas, Carmen Sáez and Amancio Carnero
Cancers 2025, 17(15), 2575; https://doi.org/10.3390/cancers17152575 - 5 Aug 2025
Cited by 1 | Viewed by 1568
Abstract
Background/Objectives: Pancreatic cancer (PC) is the seventh leading cause of cancer-related deaths worldwide, with its incidence rising each year. Despite its relatively low incidence, the aggressiveness of pancreatic cancer results in high mortality, with only 12% of patients surviving five years post-diagnosis. [...] Read more.
Background/Objectives: Pancreatic cancer (PC) is the seventh leading cause of cancer-related deaths worldwide, with its incidence rising each year. Despite its relatively low incidence, the aggressiveness of pancreatic cancer results in high mortality, with only 12% of patients surviving five years post-diagnosis. Surgical resection remains the only potentially curative treatment, but the tumor is often diagnosed at an advanced stage. The goal of this work is to identify vulnerabilities that can affect the efficacy of treatments and improve the efficacy of therapy. Methods: MAP17 overexpression in pancreatic cancer cell lines, RT-qPCR analysis, xenografts, in vitro and in vivo treatments, analysis of data from pancreatic tumors in transcriptomic patient databases. Results: We studied the prognostic and predictive value of MAP17 (PDZK1IP1) expression in pancreatic cancer, and we found that high MAP17 mRNA expression was associated with poor prognosis. In addition, single-cell analysis revealed that high MAP17 expression was present only in tumor cells. We investigated whether the response to various antitumor agents depended on MAP17 expression. In 2D culture, MAP17-expressing pancreatic cancer cells responded better to gemcitabine and 5-fluorouracil. However, in vivo xenograft tumors with MAP17 expression showed resistance to all treatments. Additionally, MAP17-expressing cells had a high NAD pool, which seems to be effectively depleted in vivo by NAMPT inhibitors, the primary enzyme for NAD biosynthesis. Conclusions: Our findings suggest that MAP17 expression could enhance the prognostic stratification of pancreatic cancer patients. Moreover, the coadministration of NAMPT inhibitors with current treatments may sensitize tumors with high MAP17 expression to chemotherapy and improve the efficacy of chemotherapy. Full article
(This article belongs to the Section Molecular Cancer Biology)
Show Figures

Figure 1

Back to TopTop