Sign in to use this feature.

Years

Between: -

Subjects

remove_circle_outline
remove_circle_outline
remove_circle_outline
remove_circle_outline
remove_circle_outline
remove_circle_outline
remove_circle_outline
remove_circle_outline
remove_circle_outline

Journals

remove_circle_outline
remove_circle_outline
remove_circle_outline
remove_circle_outline
remove_circle_outline
remove_circle_outline
remove_circle_outline
remove_circle_outline
remove_circle_outline
remove_circle_outline
remove_circle_outline

Article Types

Countries / Regions

remove_circle_outline
remove_circle_outline
remove_circle_outline
remove_circle_outline

Search Results (885)

Search Parameters:
Keywords = Mxene

Order results
Result details
Results per page
Select all
Export citation of selected articles as:
15 pages, 7343 KB  
Article
Preparation and High-Sensitivity Thermochromic Performance of MXene-Enhanced Cholesteric Liquid Crystal Microcapsule Textiles
by Xuzhi Sun, Yi Yang, Xiangwu Zhang, Maoli Yin and Mingfei Sheng
Polymers 2026, 18(2), 223; https://doi.org/10.3390/polym18020223 - 15 Jan 2026
Abstract
To mitigate the attenuation of color-change sensitivity in cholesteric liquid crystals (CLCs) post-microencapsulation, this study developed MXene-reinforced thermochromic textiles. Monolayer/few-layer MXene nanosheets were fabricated via an etching-intercalation-dispersion approach, while cholesteric liquid crystal microcapsules (CLCMs) were synthesized through a solvent evaporation method. Cotton fabrics [...] Read more.
To mitigate the attenuation of color-change sensitivity in cholesteric liquid crystals (CLCs) post-microencapsulation, this study developed MXene-reinforced thermochromic textiles. Monolayer/few-layer MXene nanosheets were fabricated via an etching-intercalation-dispersion approach, while cholesteric liquid crystal microcapsules (CLCMs) were synthesized through a solvent evaporation method. Cotton fabrics were pretreated with polydopamine (PDA), followed by the fabrication of poly(diallyldimethylammonium chloride) (PDAC)/MXene composite coatings via layer-by-layer (LbL) self-assembly and subsequent hydrophobic modification. Systematic characterizations (scanning electron microscopy, SEM; atomic force microscopy, AFM) and performance evaluations revealed that MXene nanosheets have an average thickness of 1.54 nm, while CLCMs display a uniform spherical morphology. The resultant textiles exhibit a reversible red-green-blue color transition over the temperature range of 26.5–29.5 °C, with sensitivity comparable to pristine CLCs and excellent hydrophobicity. This work overcomes the long-standing bottleneck of inadequate color-change sensitivity in conventional liquid crystal microcapsule textiles, offering a novel strategy for the advancement of smart wearable color-changing materials. Full article
(This article belongs to the Section Polymer Applications)
Show Figures

Figure 1

23 pages, 3888 KB  
Article
From MAX to MXene: Unveiling Robust Magnetism and Half-Metallicity in Cr2ZnC and Its Half-Metallic 2D Cr2C Through Ab-Initio Investigation
by Ahmed Lokbaichi, Ahmed Gueddouh, Djelloul Gueribiz, Mourad Rougab, Brahim Lagoun, Fatima Elhamra, Ahmed Mahammedi and Brahim Marfoua
Nanomaterials 2026, 16(2), 110; https://doi.org/10.3390/nano16020110 - 14 Jan 2026
Abstract
A first-principles investigation was conducted to characterize the novel Cr2ZnC MAX phase and its exfoliated MXene nanosheet, Cr2C. The study critically examines the effect of electron correlations on the bulk phase, revealing that the PBE+U framework, unlike standard PBE, [...] Read more.
A first-principles investigation was conducted to characterize the novel Cr2ZnC MAX phase and its exfoliated MXene nanosheet, Cr2C. The study critically examines the effect of electron correlations on the bulk phase, revealing that the PBE+U framework, unlike standard PBE, yields a dramatically enhanced magnetic moment of 12.80 μB (vs. 1.88 μB), confirming the necessity of this approach for Cr-based carbides. The phase stability is confirmed through rigorous analysis of its thermodynamic, dynamic, and mechanical properties. For the derived 2D Cr2C, results confirm a robust half-metallic state with a total magnetic moment of 8.00 μB, characterized by a metallic spin-majority channel and a semiconducting spin-minority channel with a 2.41 eV direct gap, leading to near-ideal spin polarization. These combined features establish Cr2C as a highly promising candidate for next-generation spintronic applications and 2D magnetic devices requiring room-temperature stability. Full article
(This article belongs to the Special Issue Advances in Nanoscale Spintronics)
Show Figures

Graphical abstract

41 pages, 5340 KB  
Review
Emerging Electrode Materials for Next-Generation Electrochemical Devices: A Comprehensive Review
by Thirukumaran Periyasamy, Shakila Parveen Asrafali and Jaewoong Lee
Micromachines 2026, 17(1), 106; https://doi.org/10.3390/mi17010106 - 13 Jan 2026
Viewed by 15
Abstract
The field of electrochemical devices, encompassing energy storage, fuel cells, electrolysis, and sensing, is fundamentally reliant on the electrode materials that govern their performance, efficiency, and sustainability. Traditional materials, while foundational, often face limitations such as restricted reaction kinetics, structural deterioration, and dependence [...] Read more.
The field of electrochemical devices, encompassing energy storage, fuel cells, electrolysis, and sensing, is fundamentally reliant on the electrode materials that govern their performance, efficiency, and sustainability. Traditional materials, while foundational, often face limitations such as restricted reaction kinetics, structural deterioration, and dependence on costly or scarce elements, driving the need for continuous innovation. Emerging electrode materials are designed to overcome these challenges by delivering enhanced reaction activity, superior mechanical robustness, accelerated ion diffusion kinetics, and improved economic feasibility. In energy storage, for example, the shift from conventional graphite in lithium-ion batteries has led to the exploration of silicon-based anodes, offering a theoretical capacity more than tenfold higher despite the challenge of massive volume expansion, which is being mitigated through nanostructuring and carbon composites. Simultaneously, the rise of sodium-ion batteries, appealing due to sodium’s abundance, necessitates materials like hard carbon for the anode, as sodium’s larger ionic radius prevents efficient intercalation into graphite. In electrocatalysis, the high cost of platinum in fuel cells is being addressed by developing Platinum-Group-Metal-free (PGM-free) catalysts like metal–nitrogen–carbon (M-N-C) materials for the oxygen reduction reaction (ORR). Similarly, for the oxygen evolution reaction (OER) in water electrolysis, cost-effective alternatives such as nickel–iron hydroxides are replacing iridium and ruthenium oxides in alkaline environments. Furthermore, advancements in materials architecture, such as MXenes—two-dimensional transition metal carbides with metallic conductivity and high volumetric capacitance—and Single-Atom Catalysts (SACs)—which maximize metal utilization—are paving the way for significantly improved supercapacitor and catalytic performance. While significant progress has been made, challenges related to fundamental understanding, long-term stability, and the scalability of lab-based synthesis methods remain paramount for widespread commercial deployment. The future trajectory involves rational design leveraging advanced characterization, computational modeling, and machine learning to achieve holistic, system-level optimization for sustainable, next-generation electrochemical devices. Full article
Show Figures

Figure 1

24 pages, 2470 KB  
Review
Metal–Support Interactions in Single-Atom Catalysts for Electrochemical CO2 Reduction
by Alexandra Mansilla-Roux, Mayra Anabel Lara-Angulo and Juan Carlos Serrano-Ruiz
Nanomaterials 2026, 16(2), 103; https://doi.org/10.3390/nano16020103 - 13 Jan 2026
Viewed by 38
Abstract
Electrochemical CO2 reduction (CO2RR) is a promising route to transform a major greenhouse gas into value-added fuels and chemicals. However, its deployment is still hindered by the sluggish activation of CO2, poor selectivity toward multielectron products, and competition [...] Read more.
Electrochemical CO2 reduction (CO2RR) is a promising route to transform a major greenhouse gas into value-added fuels and chemicals. However, its deployment is still hindered by the sluggish activation of CO2, poor selectivity toward multielectron products, and competition with the hydrogen evolution reaction (HER). Single-atom catalysts (SACs) have emerged as powerful materials to address these challenges because they combine maximal metal utilization with well-defined coordination environments whose electronic structure can be precisely tuned through metal–support interactions. This minireview summarizes current understanding of how structural, electronic, and chemical features of SAC supports (e.g., porosity, heteroatom doping, vacancies, and surface functionalization) govern the adsorption and conversion of key CO2RR intermediates and thus control product distributions from CO to CH4, CH3OH and C2+ species. Particular emphasis is placed on selectivity descriptors (e.g., coordination number, d-band position, binding energies of *COOH and *OCHO) and on rational design strategies that exploit curvature, microenvironment engineering, and electronic metal–support interactions to direct the reaction along desired pathways. Representative SAC systems based primarily on N-doped carbons, complemented by selected examples on oxides and MXenes are discussed in terms of Faradaic efficiency (FE), current density and operational stability under practically relevant conditions. Finally, the review highlights remaining bottlenecks and outlines future directions, including operando spectroscopy and data-driven analysis of dynamic single-site ensembles, machine-learning-assisted DFT screening, scalable mechanochemical synthesis, and integration of SACs into industrially viable electrolyzers for carbon-neutral chemical production. Full article
Show Figures

Figure 1

12 pages, 7517 KB  
Article
Chemiresistive Effect in Ti0.2V1.8C MXene/Metal Oxide Hetero-Structured Composites
by Ilia A. Plugin, Nikolay P. Simonenko, Elizaveta P. Simonenko, Tatiana L. Simonenko, Alexey S. Varezhnikov, Maksim A. Solomatin, Victor V. Sysoev and Nikolay T. Kuznetsov
Sensors 2026, 26(2), 496; https://doi.org/10.3390/s26020496 - 12 Jan 2026
Viewed by 94
Abstract
Two-dimensional carbide crystals (MXenes) are emerging as a promising platform for the development of novel gas sensors, offering advantages in energy efficiency and tunable analyte selectivity. One of the most effective strategies to enhance and tailor their functional performance involves forming hetero-structured composites [...] Read more.
Two-dimensional carbide crystals (MXenes) are emerging as a promising platform for the development of novel gas sensors, offering advantages in energy efficiency and tunable analyte selectivity. One of the most effective strategies to enhance and tailor their functional performance involves forming hetero-structured composites with metal oxides. In this work, we explore a chemiresistive effect in double-metal MXene of Ti0.2V1.8C and its composites with 2 mol. % SnO2 and Co3O4 nanocrystalline oxides toward feasibility tests with alcohol and ammonia vapor probes. The materials were characterized by simultaneous thermal analysis, X-ray diffraction analysis, Raman spectroscopy, and scanning/transmission electron microscopy. Gas-sensing experiments were carried out on composite layers deposited on multi-electrode substrates to be exposed to the test gases, 200–2000 ppm concentrations, at an operating temperature of 370 °C. The developed sensor array demonstrated clear analyte discrimination. The distinct sensor responses enabled a selective identification of vapors through linear discriminant analysis, demonstrating the further potential of MXene-based materials for integrated electronic nose applications. Full article
(This article belongs to the Special Issue Advances of Two-Dimensional Materials for Sensing Devices)
Show Figures

Graphical abstract

26 pages, 3452 KB  
Review
The Quest for Low Work Function Materials: Advances, Challenges, and Opportunities
by Alessandro Bellucci
Crystals 2026, 16(1), 47; https://doi.org/10.3390/cryst16010047 - 9 Jan 2026
Viewed by 204
Abstract
Low work function (LWF) materials are essential for enabling efficient systems’ behavior in applications ranging from vacuum electronics to energy conversion devices and next-generation opto-electronic interfaces. Recent advances in theory, characterization, and materials engineering have dramatically expanded the candidates for LWF systems, including [...] Read more.
Low work function (LWF) materials are essential for enabling efficient systems’ behavior in applications ranging from vacuum electronics to energy conversion devices and next-generation opto-electronic interfaces. Recent advances in theory, characterization, and materials engineering have dramatically expanded the candidates for LWF systems, including alkali-based compounds, perovskites, borides, nitrides, barium and scandium oxides, 2D materials, MXenes, functional polymers, carbon materials, and hybrid architectures. This review provides a comprehensive overview of the fundamental mechanisms governing the work function (WF) and discusses the state-of-the-art measurement techniques, as well as the most used computational approaches for predicting and validating WF values. The recent breakthroughs in engineering LWF surfaces through different methods are discussed. Special emphasis is placed on the relationship between predicted and experimentally measured WF values, highlighting the role of surface contamination, reconstruction, and environmental stability. Performance, advantages, and limitations of major LWF material families are fully analyzed, identifying emerging opportunities for next applications. Finally, current and fundamental challenges in achieving scalable, stable, and reproducible LWF surfaces are considered, presenting promising research directions such as high-throughput computational discovery and in situ surface engineering with protective coatings. This review aims to provide a unified framework for understanding, achieving, and advancing LWF materials toward practical and industrially relevant technologies. Full article
(This article belongs to the Section Crystal Engineering)
Show Figures

Figure 1

30 pages, 1761 KB  
Review
Harnessing Optical Energy for Thermal Applications: Innovations and Integrations in Nanoparticle-Mediated Energy Conversion
by José Rubén Morones-Ramírez
Processes 2026, 14(2), 236; https://doi.org/10.3390/pr14020236 - 9 Jan 2026
Viewed by 193
Abstract
Nanoparticle-mediated photothermal conversion exploits the unique light-to-heat transduction properties of engineered nanomaterials to address challenges in energy, water, and healthcare. This review first examines fundamental mechanisms—localized surface plasmon resonance (LSPR) in plasmonic metals and broadband interband transitions in semiconductors—demonstrating how tailored nanoparticle compositions [...] Read more.
Nanoparticle-mediated photothermal conversion exploits the unique light-to-heat transduction properties of engineered nanomaterials to address challenges in energy, water, and healthcare. This review first examines fundamental mechanisms—localized surface plasmon resonance (LSPR) in plasmonic metals and broadband interband transitions in semiconductors—demonstrating how tailored nanoparticle compositions can achieve >96% absorption across 250–2500 nm and photothermal efficiencies exceeding 98% under one-sun illumination (1000 W·m−2, AM 1.5G). Next, we highlight advances in solar steam generation and desalination: floating photothermal receivers on carbonized wood or hydrogels reach >95% efficiency in solar-to-vapor conversion and >2 kg·m−2·h−1 evaporation rates; three-dimensional architectures recapture diffuse flux and ambient heat; and full-spectrum nanofluids (LaB6, Au colloids) extend photothermal harvesting into portable, scalable designs. We then survey photothermal-enhanced thermal energy storage: metal-oxide–paraffin composites, core–shell phase-change material (PCM) nanocapsules, and MXene– polyethylene glycol—PEG—aerogels deliver >85% solar charging efficiencies, reduce supercooling, and improve thermal conductivity. In biomedicine, gold nanoshells, nanorods, and transition-metal dichalcogenide (TMDC) nanosheets enable deep-tissue photothermal therapy (PTT) with imaging guidance, achieving >94% tumor ablation in preclinical and pilot clinical studies. Multifunctional constructs combine PTT with chemotherapy, immunotherapy, or gene regulation, yielding synergistic tumor eradication and durable immune responses. Finally, we explore emerging opto-thermal nanobiosystems—light-triggered gene silencing in microalgae and poly(N-isopropylacrylamide) (PNIPAM)–gold nanoparticle (AuNP) membranes for microfluidic photothermal filtration and control—demonstrating how nanoscale heating enables remote, reversible biological and fluidic functions. We conclude by discussing challenges in scalable nanoparticle synthesis, stability, and integration, and outline future directions: multicomponent high-entropy alloys, modular photothermal–PCM devices, and opto-thermal control in synthetic biology. These interdisciplinary innovations promise sustainable solutions for global energy, water, and healthcare demands. Full article
(This article belongs to the Special Issue Transport and Energy Conversion at the Nanoscale and Molecular Scale)
Show Figures

Figure 1

23 pages, 6488 KB  
Review
Recent Advances in Nanomaterial-Based and Colorimetric Technologies for Detecting Illicit Drugs and Environmental Toxins
by Md Imran Hossain, Dong Kee Yi and Sanghyo Kim
Appl. Sci. 2026, 16(2), 693; https://doi.org/10.3390/app16020693 - 9 Jan 2026
Viewed by 261
Abstract
The global surge in illicit drug use has intensified the demand for rapid, portable, and reliable on-site detection technologies. Traditional analytical approaches, such as laboratory-based instrumentation and biological sample assays, while accurate, are often constrained by high costs, long processing times, and the [...] Read more.
The global surge in illicit drug use has intensified the demand for rapid, portable, and reliable on-site detection technologies. Traditional analytical approaches, such as laboratory-based instrumentation and biological sample assays, while accurate, are often constrained by high costs, long processing times, and the need for specialized equipment, rendering them unsuitable for field applications. This review highlights recent progress in chemical sensor technologies designed for the detection of widely misused drugs such as methamphetamine, cocaine, fentanyl, and heroin. Parallel advancements in the detection of environmental contaminants, particularly concerning micro- and nanoplastics, are also discussed. Emerging sensing platforms employing nanoparticle functionalization, graphene nanosheets, MXenes, metal–organic frameworks (MOFs), and supramolecular colorimetric assays demonstrate significant potential for achieving high sensitivity, selectivity, and operational simplicity in portable formats. These innovations enable real-time detection with minimal user expertise, thereby advancing applications in forensic analysis, environmental monitoring, and public health protection. The review also addresses current limitations related to detection accuracy, reagent stability, and matrix interferences and proposes future directions for optimizing sensor robustness and performance under diverse field conditions. Full article
(This article belongs to the Special Issue Chemical Sensor Development Using Nanomaterials)
Show Figures

Figure 1

18 pages, 5173 KB  
Article
Glucose Sensor Using Fe3O4 Functionalized MXene Nanosheets as a Promising Sensing Platform: Exploring the Potential of Electrochemical Detection of Glucose
by Yu Yang, Danning Li, Changchang Zheng, Ling Zhang and Xuwei Chen
Chemosensors 2026, 14(1), 19; https://doi.org/10.3390/chemosensors14010019 - 8 Jan 2026
Viewed by 153
Abstract
Enzymatic electrochemical sensors are promising for real-time glucose monitoring due to their high sensitivity and continuous detection capability. In this work, a magnetic Fe3O4@MXene nanocomposite was synthesized hydrothermally. The introduction of Fe3O4 not only reduced MXene’s [...] Read more.
Enzymatic electrochemical sensors are promising for real-time glucose monitoring due to their high sensitivity and continuous detection capability. In this work, a magnetic Fe3O4@MXene nanocomposite was synthesized hydrothermally. The introduction of Fe3O4 not only reduced MXene’s inherent negative surface charge, improving interaction with glucose oxidase (GOD), but also formed a porous structure that enhances enzyme immobilization via physical adsorption. Based on these properties, a Fe3O4@MXene/GOD/Nafion/GCE electrode was fabricated. The composite’s high specific surface area, excellent conductivity, and good biocompatibility significantly promoted the direct electron transfer (DET) of GOD. Meanwhile, the apparent electron transfer rate constant (ks) was calculated to be 9.57 s−1, representing a 1.26-fold enhancement over the MXene-based electrode (7.57 s−1) and confirming faster electron transfer kinetics. The sensor showed a bilinear glucose response in the ranges of 0.05–15 mM, with sensitivity of 120.47 μA·mM−1·cm−2 and a detection limit of 38 μM. It also exhibited excellent selectivity, reproducibility and stability. Satisfactory recovery rates were achieved in artificial serum samples while demonstrating comparable detection performance to commercial blood glucose meters. Full article
(This article belongs to the Special Issue Electrochemical Biosensors for Global Health Challenges)
Show Figures

Figure 1

18 pages, 4997 KB  
Article
Towards Enhanced Battery Thermal Safety: A Lightweight and Mechanically Robust Aerogel with Superior Insulation
by Yin Chen, Ruinan Sheng and Mingyi Chen
Gels 2026, 12(1), 54; https://doi.org/10.3390/gels12010054 - 5 Jan 2026
Viewed by 236
Abstract
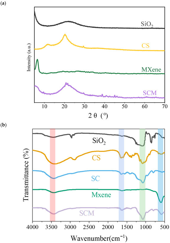
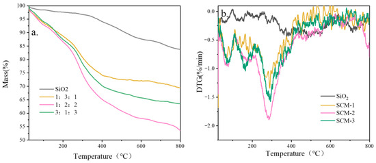
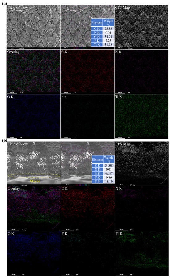
With the continuous increase in energy density of lithium-ion batteries, thermal safety has become a critical constraint on their further development. To address the limitations of mechanical brittleness and high-temperature infrared transparency in SiO2 aerogels for thermal safety applications in lithium-ion batteries, [...] Read more.
With the continuous increase in energy density of lithium-ion batteries, thermal safety has become a critical constraint on their further development. To address the limitations of mechanical brittleness and high-temperature infrared transparency in SiO2 aerogels for thermal safety applications in lithium-ion batteries, this study developed a novel nanofiber aerogel composite by incorporating chitosan and MXene into a SiO2 aerogel matrix. This material retains the characteristics of being ultra-lightweight and highly elastic while significantly enhancing mechanical strength and high-temperature insulation performance. It exhibits a thermal conductivity of 0.034 W/m K at room temperature and 0.053 W/m K at 400 °C, alongside a compressive strength of 1.172 MPa. In battery thermal runaway propagation tests, the aerogel successfully prevented propagation in serially connected and electrically isolated systems, and delayed thermal runaway propagation by 35 s in a parallel system, demonstrating excellent thermal runaway suppression capability. This work provides an effective material solution for the practical application of high-performance thermal insulation aerogels in battery safety protection and offers inspiration for developing new insulating ceramic aerogels. Full article
Show Figures

Figure 1

30 pages, 4841 KB  
Review
Recent Progress in Advanced Electrode Materials for the Detection of 4-Nitrophenol and Its Derivatives for Environmental Monitoring
by Shanmugam Vignesh, Chellakannu Rajkumar, Rohit Kumar Singh Gautam, Sanjeevamuthu Suganthi, Khursheed Ahmad and Tae Hwan Oh
Sensors 2026, 26(1), 306; https://doi.org/10.3390/s26010306 - 3 Jan 2026
Viewed by 400
Abstract
It is understood that 4-nitrophenol (4-NP) and its derivatives/isomers, such as m-NP and o-NP, are considered toxic nitroaromatic pollutants that pose health risks for human beings and have negative impacts on the environment. Therefore, monitoring of 4-NP is of particular importance to avoid [...] Read more.
It is understood that 4-nitrophenol (4-NP) and its derivatives/isomers, such as m-NP and o-NP, are considered toxic nitroaromatic pollutants that pose health risks for human beings and have negative impacts on the environment. Therefore, monitoring of 4-NP is of particular importance to avoid the negative impacts of these environmental pollutants on aquatic life and human health. Electrochemical sensors have emerged as the most promising next-generation technology for the detection of environmental pollutants. The electrochemical method has been extensively used for the detection of 4-NP, p-NP, etc., which has delivered an interesting electrochemical performance. This review provides an overview of the advances in electrode modifiers designed for the electrochemical detection of 4-NP and its isomers. This review includes the use of carbon-based materials, metal oxides, metal sulfides, metal-organic-frameworks (MOFs), conducting polymers, MXenes, covalent organic frameworks (COF), and composites for the development of 4-NP electrochemical sensors. Various electrochemical techniques, such as differential pulse voltammetry, square wave voltammetry, linear sweep voltammetry, cyclic voltammetry (CV), electrochemical impedance spectroscopy, and amperometry, are discussed for the detection of 4-NP and other isomers. Full article
(This article belongs to the Special Issue Electrochemical Sensing: Technologies, Applications and Challenges)
Show Figures

Figure 1

21 pages, 5592 KB  
Article
Polysaccharide Hydrogels Doped with MXenes for Possible Biomedical Applications
by Katarzyna Suchorowiec, Justyna Kasznik, Anastasiia Stepura, Mária Omastová and Kinga Pielichowska
Molecules 2026, 31(1), 148; https://doi.org/10.3390/molecules31010148 - 1 Jan 2026
Viewed by 205
Abstract
MXenes, a new family of two-dimensional transition-metal carbides and nitrides, have attracted significant interest in biomedicine because of their tunable surface groups and multifunctional properties. Hydrogels, with their three-dimensional polymeric networks rich in water, provide excellent biocompatibility and structural similarity to those of [...] Read more.
MXenes, a new family of two-dimensional transition-metal carbides and nitrides, have attracted significant interest in biomedicine because of their tunable surface groups and multifunctional properties. Hydrogels, with their three-dimensional polymeric networks rich in water, provide excellent biocompatibility and structural similarity to those of biological tissues. Although synthetic polymer–based MXene hydrogels are well studied, polysaccharide-based systems remain underexplored despite their biodegradability and biomedical relevance. In this work, MXene nanosheets were incorporated into a sodium alginate (ALG)–gellan gum (GG) polymeric blend to develop polysaccharide/MXene hydrogels. Two dehydration approaches, conventional drying and freeze-drying were used to evaluate their influence on the characteristics of the composite, including microstructure, surface roughness, compressive behavior, water states, and thermal stability. Conventionally dried polysaccharide/MXene nanocomposites with 1.0% wt. MXene have reduced the swelling ratio by ~60% and the volume change by 40% compared to polysaccharide blend. Freeze-dried polysaccharide/MXene nanocomposite hydrogels developed a porous, interconnected network, making them promising for applications requiring high surface area, such as adsorption and tissue engineering. In contrast, conventionally dried samples formed compact, smooth structures with improved barrier and mechanical performance. These results demonstrate that the dehydration strategy strongly governs the polymer network architecture, water states, and material functionality, offering pathways to tailor hydrogel modified with MXene for specific biomedical applications. Full article
Show Figures

Figure 1

43 pages, 5874 KB  
Review
Photocatalytic Degradation of Antibiotics Using Nanomaterials: Mechanisms, Applications, and Future Perspectives
by Jianwei Liu, Hongwei Ruan, Pengfei Duan, Peng Shao, Yang Zhou, Ying Wang, Yudi Chen, Zhiyong Yan and Yang Liu
Nanomaterials 2026, 16(1), 49; https://doi.org/10.3390/nano16010049 - 29 Dec 2025
Viewed by 544
Abstract
Widespread antibiotic residues in aquatic environments pose escalating threats to ecological stability and human health, highlighting the urgent demand for effective remediation strategies. In recent years, photocatalytic technology based on advanced nanomaterials has emerged as a sustainable and efficient strategy for antibiotic degradation, [...] Read more.
Widespread antibiotic residues in aquatic environments pose escalating threats to ecological stability and human health, highlighting the urgent demand for effective remediation strategies. In recent years, photocatalytic technology based on advanced nanomaterials has emerged as a sustainable and efficient strategy for antibiotic degradation, enabling the effective utilization of solar energy for environmental remediation. This review provides an in-depth discussion of six representative categories of photocatalytic nanomaterials that have demonstrated remarkable performance in antibiotic degradation, including metal oxide-based systems with defect engineering and hollow architectures, bismuth-based semiconductors with narrow band gaps and heterojunction designs, silver-based plasmonic composites with enhanced light harvesting, metal–organic frameworks (MOFs) featuring tunable porosity and hybrid interfaces, carbon-based materials such as g-C3N4 and biochar that facilitate charge transfer and adsorption, and emerging MXene–semiconductor hybrids exhibiting exceptional conductivity and interfacial activity. The photocatalytic performance of these nanomaterials is compared in terms of degradation efficiency, recyclability, and visible-light response to evaluate their suitability for antibiotic degradation. Beyond parent compound removal, we emphasize transformation products, mineralization, and post-treatment toxicity evolution as critical metrics for assessing true detoxification and environmental risk. In addition, the incorporation of artificial intelligence into photocatalyst design, mechanistic modeling, and process optimization is highlighted as a promising direction for accelerating material innovation and advancing toward scalable, safe, and sustainable photocatalytic applications. Full article
(This article belongs to the Section Energy and Catalysis)
Show Figures

Figure 1

36 pages, 117874 KB  
Review
Synergistic Experimental and Computational Strategies for MXene-Based Zinc-Ion Batteries
by Man Li and Seunghyun Song
Batteries 2026, 12(1), 8; https://doi.org/10.3390/batteries12010008 - 26 Dec 2025
Viewed by 457
Abstract
Zinc-ion batteries (ZIBs) are regarded as one of the promising next-generation energy storage technologies due to their high volumetric capacity, cost-effectiveness, and high safety. MXene materials, featuring a unique two-dimensional (2D) layered structure, excellent conductivity, and tunable surface chemistry, have been widely applied [...] Read more.
Zinc-ion batteries (ZIBs) are regarded as one of the promising next-generation energy storage technologies due to their high volumetric capacity, cost-effectiveness, and high safety. MXene materials, featuring a unique two-dimensional (2D) layered structure, excellent conductivity, and tunable surface chemistry, have been widely applied in energy storage systems. This review summarizes the recent progress in experimental and computational strategies for MXene-based ZIBs. The construction of MXene-based electrodes and the effect mechanisms of Zn-ion transport facilitation, electrode cycling stability, and anode dendrite suppression are discussed. Subsequently, the theoretical simulation strategies for MXene performance investigation are analyzed, including surface chemistry and defect engineering of MXene-based electrodes and the rational design of heterostructure interfaces for enhancing conductivity and suppressing Zn dendrite growth. Finally, the review outlines the major challenges that currently hinder the applications of MXene in ZIBs and proposes future research directions, offering insights that may guide the continued advancement of next-generation MXene-based energy storage systems. Full article
(This article belongs to the Special Issue Two-Dimensional Materials for Advanced Batteries)
Show Figures

Graphical abstract

16 pages, 3861 KB  
Article
Nitrogen Plasma-Assisted Surface Engineering on Multilayer Ti3C2Tx Electrodes for Enhanced Interfacial Charge Dynamics and Energy Storage in Ascorbic Acid Electrolyte
by Yu-Jie Liu and Chun-Pei Cho
Batteries 2026, 12(1), 7; https://doi.org/10.3390/batteries12010007 - 25 Dec 2025
Viewed by 247
Abstract
The intrinsic limitations of Ti3C2Tx electrodes, specifically low interfacial charge-transfer efficiency and structural degradation in strongly acidic environments, hinder their performance in high-rate aqueous supercapacitors. Herein, we report a synergistic strategy combining nitrogen plasma surface engineering with a [...] Read more.
The intrinsic limitations of Ti3C2Tx electrodes, specifically low interfacial charge-transfer efficiency and structural degradation in strongly acidic environments, hinder their performance in high-rate aqueous supercapacitors. Herein, we report a synergistic strategy combining nitrogen plasma surface engineering with a redox-active ascorbic acid electrolyte to optimize the electrode/electrolyte interfacial kinetics. By systematic investigation, the Ti3C2Tx supercapacitor obtained by a 10-min plasma duration (N10P-AA) achieved the optimal balance between activating surface sites and preserving the conductive Ti–C framework integrity. The ascorbic acid electrolyte broadened the potential window to approximately 0.7 V, and N10P-AA exhibited the lowest charge-transfer impedance and superior rate capability, retaining a relatively high Coulombic efficiency (>72%) even at a high scan rate of 10,000 mV·s−1. The EIS results and kinetics analysis (b values) confirmed that the moderate plasma activation effectively promoted more surface-dominated charge storage kinetics and mitigated diffusion limitation, consistent with reduced charge-transfer resistance and a smaller Warburg slope. The XPS results revealed that the 10-min treatment suppressed detrimental oxidation during cyclings and facilitated the formation of electrochemically favorable hydroxylated surface functional groups. This work demonstrates a feasible surface electrolyte co-engineering strategy for modulating the interfacial behavior of MXene, which is of great significance for future high-efficiency aqueous electrochemical energy storage and potential biosensing applications. Full article
(This article belongs to the Special Issue High-Performance Super-capacitors: Preparation and Application)
Show Figures

Figure 1

Back to TopTop