Sign in to use this feature.

Years

Between: -

Subjects

remove_circle_outline
remove_circle_outline
remove_circle_outline
remove_circle_outline
remove_circle_outline
remove_circle_outline
remove_circle_outline
remove_circle_outline
remove_circle_outline

Journals

remove_circle_outline
remove_circle_outline
remove_circle_outline
remove_circle_outline
remove_circle_outline
remove_circle_outline
remove_circle_outline
remove_circle_outline
remove_circle_outline
remove_circle_outline

Article Types

Countries / Regions

remove_circle_outline
remove_circle_outline
remove_circle_outline
remove_circle_outline
remove_circle_outline

Search Results (325)

Search Parameters:
Keywords = MDT

Order results
Result details
Results per page
Select all
Export citation of selected articles as:
13 pages, 2628 KB  
Article
Electrical Properties and Charge Transfer Mechanisms in Nanoscale Anodic TiO2 Films at Low Applied Voltages
by Vyacheslav A. Moshnikov, Ekaterina N. Muratova, Igor A. Vrublevsky, Alexandr I. Maximov, Andrey A. Ryabko, Alena Yu. Gagarina and Dmitry A. Kozodaev
Inorganics 2026, 14(1), 29; https://doi.org/10.3390/inorganics14010029 (registering DOI) - 17 Jan 2026
Abstract
The current–voltage characteristics (IVCs) of anodic TiO2 films in a thin-film structure (Carbon paste/TiO2/Ti/Al) were investigated in the temperature range of T = 80–300 K with bias voltages from −0.5 V to +0.5 V. Anodic oxide film, with a thickness [...] Read more.
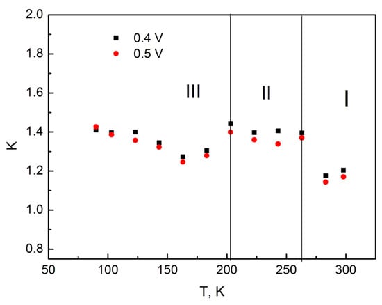
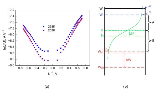
The current–voltage characteristics (IVCs) of anodic TiO2 films in a thin-film structure (Carbon paste/TiO2/Ti/Al) were investigated in the temperature range of T = 80–300 K with bias voltages from −0.5 V to +0.5 V. Anodic oxide film, with a thickness of 14 nm, was obtained by electrochemical oxidation of Ti at a voltage of 10 V. The obtained data for various temperatures showed that the IVCs in the forward (negative on the Ti electrode) and reverse (positive on the Ti electrode) bias of the thin film structure are not symmetrical. Based on the analysis, three temperature ranges (sections) were identified in which the IVCs differ in their behavior. Examination of the IVCs revealed that the conductivity mechanism in Section I (temperature range from 298 to 263 K) is determined by the Space Charge Limited Current (SCLC). Section II, in the temperature range from 243 to 203 K, is characterized by the onset of conductivity involving donor centers, in the case where the concentration of electrons on traps is significantly higher than the concentration of electrons in the conduction band. In Section III, within the temperature range from 183 to 90 K, the conduction mechanism is the Poole–Frenkel process involving donor centers. These donor centers are located below the level of traps in the forbidden band. The results obtained indicate that anodic TiO2 is an n-type semiconductor, in the bandgap of which there are both electron traps and donor centers formed by anionic (oxygen) vacancies. The different behavior of the characteristic energy with different sample biasing in the case of the Poole–Frenkel mechanism indicates a two-layer structure of anodic TiO2. Full article
Show Figures

Figure 1

15 pages, 1087 KB  
Article
Development of a Performance Measurement Framework for European Health Technology Assessment: Stakeholder-Centric Key Performance Indicators Identified in a Delphi Approach by the European Access Academy
by Elaine Julian, Nicolas S. H. Xander, Konstantina Boumaki, Maria João Garcia, Evelina Jahimovica, Joséphine Mosset-Keane, Monica Hildegard Otto, Mira Pavlovic, Giovanna Scroccaro, Valentina Strammiello, Renato Bernardini, Stefano Capri, Ruben Casado-Arroyo, Thomas Desmet, Walter Van Dyck, Frank-Ulrich Fricke, Fabrizio Gianfrate, Oriol Solà-Morales, Jürgen Wasem, Bernhard J. Wörmann and Jörg Ruofadd Show full author list remove Hide full author list
J. Mark. Access Health Policy 2026, 14(1), 5; https://doi.org/10.3390/jmahp14010005 - 15 Jan 2026
Viewed by 41
Abstract
Background: The objective of this work was to support the implementation of the European Health Technology Assessment Regulation (EU HTAR) and optimize performance of the evolving EU HTA system. Therefore, an inclusive multi-stakeholder framework of key performance indicators (KPI) for success measurement was [...] Read more.
Background: The objective of this work was to support the implementation of the European Health Technology Assessment Regulation (EU HTAR) and optimize performance of the evolving EU HTA system. Therefore, an inclusive multi-stakeholder framework of key performance indicators (KPI) for success measurement was developed. Methods: A modified Delphi-procedure was applied as follows: (1) development of a generic KPI pool at the Fall Convention 2024 of the European Access Academy (EAA); (2) review of initial pool and identification of additional KPIs; (3) development of prioritized KPIs covering patient, clinician, Health Technology Developer (HTD), and System/Member State (MS) perspectives, and (4) consolidation of the stakeholder-centric KPIs after EAA’s Spring Convention 2025. Results: Steps 1 and 2 of the Delphi procedure revealed 14 generic KPI domains. Steps 3 and 4 resulted in four prioritized KPIs for patients (patient input; utilization of patient-centric outcome measures; time to access; equity); six for clinicians (population/intervention/comparator/outcomes (PICO); addressing uncertainty; clinician involvement; transparency; equity and time to access); four for HTDs (PICO; joint scientific consultation (JSC) process; joint clinical assessment (JCA) process; time to national decision making); five from a system/MS perspective (PICO; learning and training the health system; reducing duplication; equity and time to access). The scope of, e.g., the PICO-related KPI, differed between stakeholder groups. Also, several KPIs intentionally reached beyond the remit of EU HTA as they are also dependent on MS-specific factors including national health systems and budgets. Discussion and Conclusions: The KPI framework developed here presents a step towards the generation of systematic multi-stakeholder evidence to support a successful implementation of the EU HTAR. The relevance of the identified stakeholder-centric KPIs is confirmed by their alignment with the Health System Goals suggested in the context of “Performance measurement for health improvement” by the World Health Organisation. Implementation of the framework, i.e., measurement of KPIs, is envisioned to provide evidence to inform the 2028 revision of the EU HTAR. Full article
(This article belongs to the Collection European Health Technology Assessment (EU HTA))
Show Figures

Figure 1

14 pages, 250 KB  
Article
Concordance Between the Multidisciplinary Team and ChatGPT-4o Decisions: A Blinded, Cross-Sectional Concordance Study in Systemic Autoimmune Rheumatic Diseases
by Firdevs Ulutaş, Göksel Altınışık, Gülay Güngör, Vefa Çakmak, Nilüfer Yiğit, Duygu Herek, Murat Yiğit, Uğur Karasu and Veli Çobankara
Diagnostics 2026, 16(1), 113; https://doi.org/10.3390/diagnostics16010113 - 30 Dec 2025
Viewed by 338
Abstract
Background/Objective: In recent years, artificial intelligence (AI) has gained increasing prominence in the fields of diagnostic decision-making in medicine. The aim of this study was to compare multidisciplinary team (MDT: rheumatology, pulmonology, thoracic radiology) decisions with single-session plans generated by ChatGPT-4o. Methods: In [...] Read more.
Background/Objective: In recent years, artificial intelligence (AI) has gained increasing prominence in the fields of diagnostic decision-making in medicine. The aim of this study was to compare multidisciplinary team (MDT: rheumatology, pulmonology, thoracic radiology) decisions with single-session plans generated by ChatGPT-4o. Methods: In this cross-sectional concordance study, adults (≥18 years) with confirmed systemic autoimmune rheumatic disease (SARD) and having MDT decisions within the last 6 months were included. The study documented diagnostic, treatment, and monitoring decisions in cases of SARDs by recording answers to six essential questions: (1) What is the most likely clinical diagnosis? (2) What is the most likely radiological diagnosis? (3) Is there a need for anti-inflammatory treatment? (4) Is there a need for antifibrotic treatment? (5) Is drug-free follow-up appropriate? and (6) Are additional investigations required? Consequently, all evaluations were performed with ChatGPT-4o in a single-session format using a standardized single-prompt template, with the system blinded to MDT decisions. All data analyses in this study were conducted using the R programming language (version 4.3.2). An agreement between AI-generated and MDT decisions was assessed using Cohen’s Kappa (κ) statistic where κ (kappa) values represent the level of agreement: <0.20 = slight, 0.21–0.40 = fair, 0.41–0.60 = moderate, 0.61–0.80 = substantial, >0.80 = almost perfect agreement. These analyses were performed using the irr and psych packages in R. Statistical significance of the models was evaluated through p-values, while overall model fit was assessed using the Likelihood Ratio Test. Results: A total of 47 patients were involved in this study, with a predominance of female patients (61.70%, n = 29). The mean age was 61.74 ± 10.40 years. The most frequently observed diagnosis was rheumatoid arthritis (RA), accounting for 31.91% of cases (n = 15). This was followed by cases of anti-neutrophil cytoplasmic antibody (ANCA)-associated vasculitis, interstitial pneumonia with autoimmune features (IPAF), and sarcoidosis. The analyses indicate a statistically significant level of agreement across all decision types. For clinical diagnosis decisions, agreement was moderate (κ = 0.52), suggesting that the AI system can reach partially consistent conclusions in diagnostic processes. The need for an immunosuppressive treatment and follow-up without medication decisions demonstrated a higher level of concordance, reaching the moderate-to-high range (κ = 0.64 and κ = 0.67, respectively). For antifibrotic treatment decisions, agreement was moderate (κ = 0.49), while radiological diagnosis decisions also fell within the moderate range (κ = 0.55). The lowest agreement—though still moderate—was observed in further investigation required decisions (κ = 0.45). Conclusions: In patients with SARDs with pulmonary involvement, particularly in complex cases, concordance was observed between MDT decisions and AI-generated recommendations regarding prioritization of clinical and radiologic diagnoses, treatment selection, suitability for drug-free follow-up, and the need for further diagnostic investigations. Full article
(This article belongs to the Special Issue Generative AI and Digital Twins in Diagnostics)
16 pages, 919 KB  
Article
12-Month Weight Loss and Adherence Predictors in a Real-World UK Tirzepatide-Supported Digital Obesity Service: A Retrospective Cohort Analysis
by Louis Talay, Jason Hom, Tamara Scott and Neera Ahuja
Healthcare 2026, 14(1), 60; https://doi.org/10.3390/healthcare14010060 - 26 Dec 2025
Viewed by 889
Abstract
Background: Obesity management is evolving with the integration of dual GIP/GLP-1 receptor agonists (Tirzepatide) into comprehensive Digital Weight-Loss Services (DWLSs). This model leverages virtual, app-based multidisciplinary care (MDT) to deliver continuous, supervised treatment, distinguishing it from traditional, intermittent clinic-based care. While clinical [...] Read more.
Background: Obesity management is evolving with the integration of dual GIP/GLP-1 receptor agonists (Tirzepatide) into comprehensive Digital Weight-Loss Services (DWLSs). This model leverages virtual, app-based multidisciplinary care (MDT) to deliver continuous, supervised treatment, distinguishing it from traditional, intermittent clinic-based care. While clinical trials demonstrate high efficacy, real-world data are necessary to evaluate long-term adherence and identify predictive markers for patient persistence in these scalable care models. Specifically, there is a knowledge gap regarding the specific behavioral factors that govern 12-month persistence in these comprehensive, medicated DWLS settings. This study retrospectively assessed the 12-month effectiveness and adherence of a Tirzepatide-supported DWLS and identified demographic, clinical, and behavioral predictors of weight loss and program attrition. Methods: Data from 19,693 patients enrolled in the Juniper UK DWLS were analyzed. Adherence was defined by a minimum of 10 medication orders and 12-month weight submission. Weight loss in the full cohort was evaluated using the Last Observation Carried Forward (LOCF) method. Binary logistic and multiple linear regression models identified predictors of adherence and weight loss, respectively, using a comprehensive set of demographic, clinical (e.g., BMI, comorbidities), and behavioral variables. Results: The 12-month adherence rate was 27%. The adherent sub-cohort (n = 5322) achieved a mean weight loss of 22.60 (±7.46) percent, compared to 13.62 (±10.85) percent in the full cohort (LOCF). This difference in 12-month mean weight loss was statistically significant (p < 0.001). Consistent weekly weight tracking and health coach communication were the strongest positive predictors of long-term adherence and weight loss. Conversely, hyper-engagement, specifically intensive tracking frequency and high weight loss velocity in the first month, was a significant inverse predictor of 12-month adherence. Reporting side effects was positively correlated with adherence, suggesting a reporting bias among engaged patients. Conclusions: The DWLS model facilitates the maximum therapeutic effectiveness for adherent patients. However, patient persistence remains the primary translational challenge. As consistent weekly engagement (tracking, coaching) is the strongest predictor of success, clinical strategies should prioritize promoting sustainable, moderate behavioral pacing (i.e., emphasizing consistent weekly engagement over intensive daily tracking and rapid early weight loss) to mitigate attrition risk and optimize the public health effectiveness of medicated DWLSs. Full article
Show Figures

Figure 1

20 pages, 2438 KB  
Article
Enhancing Patient Understanding of Perianal Fistula MRI Findings Using ChatGPT: A Randomized, Single Centre Study
by Easan Anand, Itai Ghersin, Gita Lingam, Katie Devlin, Theo Pelly, Daniel Singer, Chris Tomlinson, Robin E. J. Munro, Rachel Capstick, Anna Antoniou, Ailsa L. Hart, Phil Tozer, Kapil Sahnan and Phillip Lung
Diagnostics 2026, 16(1), 72; https://doi.org/10.3390/diagnostics16010072 - 25 Dec 2025
Viewed by 399
Abstract
Background/Objectives: Large Language Models (LLMs) may help translate complex Magnetic Resonance Imaging (MRI) fistula reports into accessible, patient-friendly summaries. This study evaluated the clinical utility, safety, and patient acceptability of Generative Pre-trained Transformer (GPT-4o) in generating such reports. Methods: A three-phase study was [...] Read more.
Background/Objectives: Large Language Models (LLMs) may help translate complex Magnetic Resonance Imaging (MRI) fistula reports into accessible, patient-friendly summaries. This study evaluated the clinical utility, safety, and patient acceptability of Generative Pre-trained Transformer (GPT-4o) in generating such reports. Methods: A three-phase study was conducted at a single centre. Phase I involved prompt engineering and pilot testing of GPT-4o outputs for feasibility. Phase II assessed 250 consecutive MRI fistula reports from September 2024 to November 2024, each reviewed by a multi-disciplinary panel to determine hallucinations and thematic content. Phase III randomised patients to review either a simple or complex fistula case, each containing an original report and an Artificial Intelligence (AI)-generated summary (order randomised, origin blinded), and rate readability, trustworthiness, usefulness and comprehension. Results: Sixteen patients participated in Phase I pilot testing. In Phase II, hallucinations occurred in 11% of outputs, with unverified recommendations also identified. In Phase III, 61 patients (mean age 48, 41% female) evaluated paired original and AI-generated summaries. AI summaries scored significantly higher for readability, comprehension, and usefulness than original reports (all p < 0.001), with equivalent trust ratings. Mean Flesch-Kincaid scores were markedly higher for AI-generated summaries (66 vs. 26; p < 0.001). Clinicians highlighted improved anatomical structuring and accessible language, but emphasised risks of inaccuracies. A revised template incorporating Multi-Disciplinary Team (MDT)-focused action points and a lay summary section was co-developed. Conclusions: LLMs can enhance the readability and patient understanding of complex MRI reports but remain limited by hallucinations and inconsistent terminology. Safe implementation requires structured oversight, domain-specific refinement, and clinician validation. Future development should prioritise standardised reporting templates incorporating clinician-approved lay summaries. Full article
(This article belongs to the Special Issue Application of Artificial Intelligence in Gastrointestinal Disease)
Show Figures

Figure 1

23 pages, 2765 KB  
Article
Analysis of Multi-Antimicrobial Resistance Patterns in U.S. Foodborne Pathogens (2015–2025) Using Data from the NCBI Pathogen Isolates Browser
by Daniel Lao, Leo Pan-Wang, Kenneth Tianyi Yu, Yanzhi Chen, Erin Yang, Tailin Chen and Zuyi Huang
Pathogens 2026, 15(1), 27; https://doi.org/10.3390/pathogens15010027 - 24 Dec 2025
Viewed by 358
Abstract
Antimicrobial resistance (AMR) in foodborne pathogens poses a major threat to global public health and food safety. Using 9393 U.S. isolates of Salmonella enterica, Campylobacter jejuni, and Escherichia coli/Shigella collected from poultry, cattle, and swine between 2015 and 2025 [...] Read more.
Antimicrobial resistance (AMR) in foodborne pathogens poses a major threat to global public health and food safety. Using 9393 U.S. isolates of Salmonella enterica, Campylobacter jejuni, and Escherichia coli/Shigella collected from poultry, cattle, and swine between 2015 and 2025 and archived in the NCBI Pathogen Isolates Browser, we applied multivariate statistical analysis to characterize antimicrobial resistance patterns in isolates showing resistance to one to six antimicrobials (AMR-1 to AMR-6). Six antimicrobials—tetracycline, streptomycin, sulfisoxazole, ampicillin, nalidixic acid, and ciprofloxacin—were identified through PCA-guided clustering and frequency profiling as the principal axes of co-resistance across pathogens. Tetracycline emerged as a foundational driver of multidrug resistance, while C. jejuni contributed almost exclusively to single-drug resistance and Salmonella enterica dominated higher-order AMR categories, reflecting species-specific ecological and genomic constraints. Gene analyses revealed a progressive, modular accumulation of resistance determinants, led by efflux pumps (mdsA, mdsB), tetracycline genes (tetA/B/O), aminoglycoside-modifying enzymes, sulfonamide genes (sul1/sul2), quinolone resistance determinants (gyrA, acrF, mdtM), and β-lactamases (blaEC, blaOXA, blaCTX). Together, these results demonstrate that multidrug resistance in U.S. foodborne pathogens evolves through coordinated gene–drug–pathogen interactions rather than isolated events, underscoring the need for integrated surveillance and targeted stewardship strategies focused on the dominant antimicrobials and high-risk foodborne pathogens. Full article
Show Figures

Figure 1

16 pages, 8221 KB  
Article
An Attenuated Recombinant Newcastle Disease Virus of Genotype VII Generated by Reverse Genetics
by Hongze Pang, Yidan Bo, Jiawei Chen, Yongzhi Xue, Baishi Lei, Kuan Zhao, Yu Huang, Wenming Jiang, Wuchao Zhang and Wanzhe Yuan
Viruses 2025, 17(12), 1618; https://doi.org/10.3390/v17121618 - 15 Dec 2025
Viewed by 485
Abstract
Genotype VII Newcastle disease virus (NDV) has been confirmed as the predominant epidemic strain in China. Traditional vaccine strains fail to provide complete immune protection when challenged with an epidemic strain. NDV vaccines with phylogenetic relationships closer to those of the endemic viruses [...] Read more.
Genotype VII Newcastle disease virus (NDV) has been confirmed as the predominant epidemic strain in China. Traditional vaccine strains fail to provide complete immune protection when challenged with an epidemic strain. NDV vaccines with phylogenetic relationships closer to those of the endemic viruses demonstrate improved protective efficacy in reducing viral shedding and transmission. This research seeks to develop attenuated vaccine strains that are specifically aligned with NDV genotype VII. A reverse genetics system for the genotype VII NDV HB strain was developed, successfully rescuing the attenuated recombinant virus aHB by substituting the fusion protein (F) cleavage site motif “112R-R-Q-K-R↓F117” with “112G-R-Q-G-R↓L117.” Recombinant aHB virus attenuation was verified by assessing the mean death time (MDT) and intracerebral pathogenicity index (ICPI). The attenuated aHB strain demonstrated greater proliferation titers than did the virulent HB and rHB strains both in vivo and in vitro. Furthermore, the genome exhibited significant genetic stability even after 10 passages in chicken embryos. When challenged with the HB strain of NDV genotype VII, the aHB-inactivated vaccine provided 100% protection to chickens and effectively prevented viral shedding. These findings indicate that recombinant aHB may serve as an effective vaccine candidate. Full article
(This article belongs to the Section Animal Viruses)
Show Figures

Graphical abstract

16 pages, 2678 KB  
Article
The Effect of Deep Tillage Combined with Organic Amendments on Soil Organic Carbon and Nitrogen Stocks in Northeast China
by Wenyu Liang, Mingjian Song, Naiwen Zhang, Ming Gao, Xiaozeng Han, Xu Chen, Xinchun Lu, Jun Yan, Yuanchen Zhu, Shuli Wang and Wenxiu Zou
Agronomy 2025, 15(12), 2853; https://doi.org/10.3390/agronomy15122853 - 11 Dec 2025
Viewed by 508
Abstract
Soil organic carbon (SOC) and total nitrogen (TN) are fundamental indicators of soil fertility and long-term agricultural sustainability. However, intensive cultivation, residue removal, and imbalanced fertilization have resulted in substantial declines in SOC and TN across many agroecosystems, particularly in Northeast China. This [...] Read more.
Soil organic carbon (SOC) and total nitrogen (TN) are fundamental indicators of soil fertility and long-term agricultural sustainability. However, intensive cultivation, residue removal, and imbalanced fertilization have resulted in substantial declines in SOC and TN across many agroecosystems, particularly in Northeast China. This study investigated SOC and TN dynamics within the 0–35 cm profile of four representative soils in Northeast China under a continuous maize cropping system. Five treatments were assessed: conventional tillage (CT), deep tillage (DT), deep tillage with straw (SDT), deep tillage with organic fertilizer (MDT), and deep tillage combined with straw and organic fertilizer (SMDT). Compared with DT, organic amendment treatments increased SOC and TN contents in the 0–20 cm layer by 9.41–57.57% and 5.29–60.76%, respectively. The SMDT treatment achieved the highest SOC and TN stocks (65.03 Mg ha−1 and 7.91 Mg ha−1) and enhanced nutrient accumulation in the 20–35 cm layer. In the subsoil, the ratio of soil C and N (C/N) under SMDT increased by 3.11%, 11.08%, 2.10%, and −7.01% across the four soils, indicating improved C–N balance and reduced nutrient stratification. SOC and TN stocks were linearly correlated with cumulative C input, confirming that organic amendments were among the main drivers of C and N sequestration. Mantel and path analyses further revealed that clay content and mean annual precipitation enhanced SOC and TN storage by improving soil structure and C–N balance through increased C input and reduced bulk density. Overall, deep tillage combined with amendments strengthened C–N coupling, improved soil fertility, and provided a mechanistic basis for reconstructing fertile tillage layers and sustaining productivity in Northeast China. Full article
(This article belongs to the Special Issue Effects of Arable Farming Measures on Soil Quality—2nd Edition)
Show Figures

Figure 1

28 pages, 714 KB  
Systematic Review
Impact of Multidisciplinary Team Care on Patient-Reported Outcomes in Patients with Lung Cancer: A Systematic Review
by Aastha Srivastava, Elizabeth Daniel, Vincent Lam, Ru Karen Kwedza, Shelley Rushton and Ling Li
Curr. Oncol. 2025, 32(12), 697; https://doi.org/10.3390/curroncol32120697 - 10 Dec 2025
Viewed by 803
Abstract
Background: Multidisciplinary team (MDT) care is now recognized as the most effective approach to managing lung cancer treatment. While MDTs aim to improve coordination, decision-making, and patient outcomes, their impact on patient-reported outcomes, particularly quality of life (QoL), remains unclear. Objective: This systematic [...] Read more.
Background: Multidisciplinary team (MDT) care is now recognized as the most effective approach to managing lung cancer treatment. While MDTs aim to improve coordination, decision-making, and patient outcomes, their impact on patient-reported outcomes, particularly quality of life (QoL), remains unclear. Objective: This systematic review aimed to examine how the involvement of a multidisciplinary team (MDT) in the care of patients with lung cancer affects patient-reported outcomes and to investigate the enablers and barriers for implementing and running MDT care in lung cancer management. Methods: We systematically searched Medline, Embase, Cochrane, and Scopus (up to March 2024) to identify studies comparing QoL outcomes in patients with lung cancer managed with and without MDT care. The review was conducted and reported in accordance with the PRISMA 2020 guidelines. Risk of bias was assessed using the CASP tool, and findings were synthesized narratively. QoL outcomes were grouped into physical, functional, emotional, and social domains, and quantitative and qualitative data were synthesized narratively due to heterogeneity across studies. Results: Eleven studies met the inclusion criteria, comprising a total of 10,341 patients, with 3760 in MDT groups and 6581 in non-MDT groups. The methodological quality of the studies varied, with 10 papers rated as moderate to high quality. The findings suggest that MDT care may contribute positively to emotional support, and physical well-being. Better patient satisfaction and communication in MDT settings. Limitation: Heterogeneity and the lack of standardized PRO tools in outcome measures and study design limited comparability. Conclusions: MDT care may have a beneficial impact on certain aspects of quality of life in patients with lung cancer, particularly emotional and physical well-being. However, more robust and standardized research is needed to determine the full extent of its benefits on patient-reported outcomes. Full article
(This article belongs to the Section Thoracic Oncology)
Show Figures

Figure 1

14 pages, 258 KB  
Article
Knowledge and Self-Efficacy as Key Determinants of Transition Readiness in Adolescents with Type 1 Diabetes: Insights from Adolescents, Parents, and Clinicians
by Ailsa Marshall, Nghi H. Bui, Ann Nillsen, Lena Lim, Gillian Burke, Amelia Christie, Sandeep Kaur, Karina Pearce, Jack Ho, Sharon Youde, Kim A. Ramjan, Amy Wanaguru, Ohn Nyunt, Louise Baczkowski, Debra Waite, Sally Duke, Darshika Christie David and Shihab Hameed
Diabetology 2025, 6(12), 159; https://doi.org/10.3390/diabetology6120159 - 8 Dec 2025
Viewed by 434
Abstract
Aim: Assess transition readiness of adolescents with Type 1 Diabetes (T1D) from adolescent, parental, and clinician perspectives. Methods: Cross-sectional study (n = 36, 20 Male/16 Female, 16–18 years, June 2023–June 2024, metropolitan paediatric centre). Adolescents had diabetes knowledge, self-efficacy, and diabetes distress measured. [...] Read more.
Aim: Assess transition readiness of adolescents with Type 1 Diabetes (T1D) from adolescent, parental, and clinician perspectives. Methods: Cross-sectional study (n = 36, 20 Male/16 Female, 16–18 years, June 2023–June 2024, metropolitan paediatric centre). Adolescents had diabetes knowledge, self-efficacy, and diabetes distress measured. Parents had an assessment of knowledge, diabetes-related distress, and estimated the adolescent’s self-efficacy. Clinicians estimated adolescent self-efficacy. Results: Median HbA1c was 7.4% (IQR 6.6–8.4). One adolescent met the guidelines for multidisciplinary team (MDT) appointments. Paired sample t-tests showed that adolescents’ knowledge was comparable to parent levels (t(24) = −1.69, p = 0.10). Adolescents’ knowledge was strongly associated with higher self-efficacy (r = 0.80 p < 0.001). Higher adolescent self-efficacy was associated with lower adolescent distress (r = −0.368, p = 0.03). Adolescent distress was lower than parent distress (t(24) = −3.13, p = 0.005). Although adolescent self-efficacy was strongly correlated with parent and clinician evaluation (r = 0.76, p < 0.001; r = 0.80, p < 0.001), adolescents reported higher self-efficacy than estimates by parents (t(24) = 4.76, p < 0.001) or clinicians (t(24) = 8.39, p < 0.001). Parent knowledge was moderately correlated with adolescent self-efficacy (r = 0.62, p = 0.001). Conclusions: Diabetes knowledge may confer greater self-efficacy and reduce diabetes distress in adolescents. Distress levels are higher in parents than in adolescents. Engagement with MDT is poor. Transition efforts should focus on parents and adolescents while increasing engagement with MDT. Full article
Show Figures

Graphical abstract

48 pages, 11913 KB  
Article
A Symbiotic Digital Environment Framework for Industry 4.0 and 5.0: Enhancing Lifecycle Circularity
by Pedro Ponce, Javier Maldonado-Romo, Brian W. Anthony, Russel Bradley and Luis Montesinos
Eng 2025, 6(12), 355; https://doi.org/10.3390/eng6120355 - 6 Dec 2025
Viewed by 869
Abstract
This paper introduces a Symbiotic Digital Environment Framework (SDEF) that integrates Human Digital Twins (HDTs) and Machine Digital Twins (MDTs) to advance lifecycle circularity across all stages of the CADMID model (i.e., Concept, Assessment, Design, Manufacture, In-Service, and Disposal). Unlike existing frameworks that [...] Read more.
This paper introduces a Symbiotic Digital Environment Framework (SDEF) that integrates Human Digital Twins (HDTs) and Machine Digital Twins (MDTs) to advance lifecycle circularity across all stages of the CADMID model (i.e., Concept, Assessment, Design, Manufacture, In-Service, and Disposal). Unlike existing frameworks that address either digital twins or sustainability in isolation, SDEF establishes a bidirectional adaptive system where human, machine, and environmental digital entities continuously interact to co-optimize performance, resource efficiency, and well-being. The framework’s novelty lies in unifying human-centric adaptability (via HDTs) with circular economy principles to enable real-time symbiosis between industrial processes and their operators. Predictive analytics, immersive simulation, and continuous feedback loops dynamically adjust production parameters based on operator states and environmental conditions, extending asset lifespan while minimizing waste. Two simulation-based scenarios in VR using synthetic data demonstrate the framework’s capacity to integrate circularity metrics (material throughput, energy efficiency, remanufacturability index) with human-machine interaction variables in virtual manufacturing environments. SDEF bridges Industry 4.0’s automation capabilities and Industry 5.0’s human-centric vision, offering a scalable pathway toward sustainable and resilient industrial ecosystems by closing the loop between physical and digital realms. Full article
Show Figures

Figure 1

17 pages, 5155 KB  
Article
Plasmid-Mediated Spread of Antibiotic Resistance by Arsenic and Microplastics During Vermicomposting
by Rui Xin, Huai Lin, Zijun Li and Fengxia Yang
Antibiotics 2025, 14(12), 1230; https://doi.org/10.3390/antibiotics14121230 - 6 Dec 2025
Viewed by 633
Abstract
Background: The efficiency of vermicomposting in reducing antibiotic resistance genes (ARGs) in dairy manure may be compromised by co-pollutants like arsenic (As) and microplastics. Specifically, plasmids serving as carriers and vectors of ARGs were largely distributed in this process. However, the impact of [...] Read more.
Background: The efficiency of vermicomposting in reducing antibiotic resistance genes (ARGs) in dairy manure may be compromised by co-pollutants like arsenic (As) and microplastics. Specifically, plasmids serving as carriers and vectors of ARGs were largely distributed in this process. However, the impact of As and microplastics on plasmids carrying ARGs during vermicomposting is largely unknown. Methods: This study utilized a controlled experimental design and applied plasmid metagenomics to investigate the individual and combined effects of As and polyethylene terephthalate (PET) microplastics on plasmid-mediated ARG dynamics during vermicomposting. Results: We found that vermicomposting alone mainly enriched non-mobilizable plasmids, while PET microplastics selectively promoted conjugative and mobilizable plasmids, whereas As significantly increased all plasmid types. Moreover, both PET or As alone and combined exposure (PET and As) increased total ARG abundance, with their combination inducing synergistic ARG enrichment despite unchanged total plasmid abundance. Furthermore, co-occurrence network analysis combined with ARGs/plasmid ratio assessments demonstrated that As influences ARGs through co-selective pressure by enriching ARGs co-localized with As resistance genes (e.g., the ars operon) on plasmids while simultaneously promoting horizontal gene transfer (HGT) via activation of oxidative stress and SOS response pathways. In contrast, PET primarily facilitates ARG dissemination through a “metabolism-resistance” coupling strategy by enriching colonizing bacteria with PET-degrading capacity. Their co-exposure formed As-enrichment hotspots on PET microplastic surfaces, functioning as a “super-mixer” that selectively screened for superbugs carrying potent resistance mechanisms (e.g., blaOXA-50 and mdtB/mdtE). Conclusions: This study provides the first plasmidome-level evidence of synergistic ARG propagation by As and PET microplastics during vermicomposting, highlighting mobile genetic elements’ critical role in co-pollutant risk assessments. Full article
Show Figures

Figure 1

31 pages, 21545 KB  
Article
Impact of Seafloor Morphology on Regional Sea Level Rise in the Japan Trench Region
by Magdalena Idzikowska, Katarzyna Pajak and Kamil Kowalczyk
Water 2025, 17(23), 3433; https://doi.org/10.3390/w17233433 - 3 Dec 2025
Viewed by 704
Abstract
Seafloor morphology forms regional sea level rise (SLR), affecting ocean circulation. Although many studies have examined global sea level rise, there remains a lack of analyses that show how seafloor morphology modifies the rate and character of regional SLR. Previous studies have rarely [...] Read more.
Seafloor morphology forms regional sea level rise (SLR), affecting ocean circulation. Although many studies have examined global sea level rise, there remains a lack of analyses that show how seafloor morphology modifies the rate and character of regional SLR. Previous studies have rarely investigated the geophysical interactions between seafloor morphology and sea level modulation, leaving a gap in explaining the spatial variability of sea level trends and accelerations. The aim of the study is to assess the impact of seafloor morphology on the regional rate and character of Sea Level Rise (SLR) in the western Pacific, in the Japan Trench region. Seafloor morphology, through its interactions with gravity and circulation processes, is a major factor in how SLR trends and accelerations are determined across different locations. The analysis is based on hybrid datasets: numerical models, bathymetric data, and altimetric time series of sea level anomalies (SLA) from 1993 to 2023. SLR trends, seasonal and nodal cycles were determined at 78 virtual stations. Regional rates of sea level changes were estimated using linear regression, harmonic analysis, Continuous Wavelet Transform (CWT), and Kalman filtering. Future SLR was simulated using a modified Monte Carlo method with an AR(1) autoregressive model and a block bootstrap technique. The results indicated that SLR trends are positively correlated (r ≈ 0.9) with mean dynamic topography (MDT) and negatively correlated with depth (r ≈ –0.4), confirming the impact of ocean circulation and seafloor morphology on regional SLR. The strong, positive correlation of trends with the amplitude of the 18.61-year nodal cycle (r > 0.8) indicates the important role of long-term tidal components. The highest SLR accelerations (up to 1.7 mm/yr2) were observed in locations of seamounts and subduction zones, while in the ocean trench, the rate of change stabilized or inversed locally. The results confirm the research hypothesis—the regional rate of sea level rise depends on the morphology of the seafloor and the associated geophysical and dynamic processes. The results have wide global application, supporting the implementation of the UN Sustainable Development Goals, the development of marine protection and management policies, infrastructure planning and coastal safety. Full article
(This article belongs to the Special Issue Climate Risk Management, Sea Level Rise and Coastal Impacts)
Show Figures

Figure 1

27 pages, 1443 KB  
Review
Beyond Digestion: The Gut Microbiota as an Immune–Metabolic Interface in Disease Modulation
by Imran Mohammad, Md. Rizwan Ansari, Mohammed Sarosh Khan, Md. Nadeem Bari, Mohammad Azhar Kamal and Muhammad Musthafa Poyil
Gastrointest. Disord. 2025, 7(4), 77; https://doi.org/10.3390/gidisord7040077 - 3 Dec 2025
Viewed by 2231
Abstract
The gut microbiota has emerged as a critical immune–metabolic interface, orchestrating a complex network of interactions that extend well beyond digestion. This highly diverse community of bacteria, viruses, archaea, and eukaryotic microbes modulates host immunometabolism, metabolic reprogramming, and systemic inflammatory responses, thereby shaping [...] Read more.
The gut microbiota has emerged as a critical immune–metabolic interface, orchestrating a complex network of interactions that extend well beyond digestion. This highly diverse community of bacteria, viruses, archaea, and eukaryotic microbes modulates host immunometabolism, metabolic reprogramming, and systemic inflammatory responses, thereby shaping human health and disease trajectories. Dysbiosis, or disruption of microbial homeostasis, has been implicated in inflammatory bowel disease, cardiometabolic disorders, neurodegeneration, dermatological conditions, and tumorigenesis. Through the biosynthesis of short-chain fatty acids (SCFAs), bile acid derivatives, tryptophan metabolites, and microbial-derived indoles, the gut microbiota regulates epigenetic programming, barrier integrity, and host–microbe cross-talk, thereby influencing disease onset and progression. In oncology, specific microbial taxa and oncomicrobiotics (cancer-modulating microbes) are increasingly recognized as key determinants of immune checkpoint inhibitor (ICI) responsiveness, chemotherapeutic efficacy, and resistance mechanisms. Microbiota-targeted strategies such as fecal microbiota transplantation (FMT), precision probiotics, prebiotics, synbiotics, and engineered microbial consortia are being explored to recalibrate microbial networks and enhance therapeutic outcomes. At the systems level, the integration of multi-omics platforms (metagenomics, transcriptomics, proteomics, and metabolomics) combined with network analysis and machine learning-based predictive modeling is advancing personalized medicine by linking microbial signatures to clinical phenotypes. Despite remarkable progress, challenges remain, including the standardization of microbiome therapeutics, longitudinal monitoring of host–microbe interactions, and the establishment of robust ethical and regulatory frameworks for clinical translation. Future directions should prioritize understanding the causal mechanisms of microbial metabolites in immunometabolic regulation, exploring microbial niche engineering, and developing precision microbiome editing technologies (CRISPR, synthetic biology). Full article
(This article belongs to the Special Issue Feature Papers in Gastrointestinal Disorders in 2025–2026)
Show Figures

Figure 1

24 pages, 3916 KB  
Article
Dual-Modality Ultrasound Imaging of SPIONs Distribution via Combined Magnetomotive and Passive Cavitation Imaging
by Christian Marinus Huber, Lars Hageroth, Nicole Dorsch, Johannes Ringel, Helmut Ermert, Martin Vossiek, Stefan J. Rupitsch, Ingrid Ullmann and Stefan Lyer
Sensors 2025, 25(23), 7171; https://doi.org/10.3390/s25237171 - 24 Nov 2025
Viewed by 2302
Abstract
Superparamagnetic iron oxide nanoparticles (SPIONs) have shown promise across a wide range of biomedical applications, including targeted drug delivery, magnetic hyperthermia, magnetic resonance imaging, and regenerative medicine. In the context of local tumor therapy (Magnetic Drug Targeting, MDT) SPIONs can be functionalized with [...] Read more.
Superparamagnetic iron oxide nanoparticles (SPIONs) have shown promise across a wide range of biomedical applications, including targeted drug delivery, magnetic hyperthermia, magnetic resonance imaging, and regenerative medicine. In the context of local tumor therapy (Magnetic Drug Targeting, MDT) SPIONs can be functionalized with chemotherapeutic agents and accumulated at tumor sites using an externally applied magnetic field. To achieve effective drug accumulation and therapeutic efficacy, precise positioning of the accumulation magnet relative to the tumor is essential. To address this need, we propose a dual-modality ultrasound imaging approach combining magnetomotive ultrasound (MMUS) and passive cavitation mapping (PCM). MMUS detects magnetically induced displacements to localize SPIONs embedded in elastic tissue, while PCM monitors cavitation emissions from circulating SPIONs under focused ultrasound exposure. In addition to detection, PCM has the potential to enable feedback-based control of cavitation exposure, allowing cavitation parameters to be kept within a safe regime. The dual imaging modality approach was validated using standard phantoms and a complex carotid bifurcation tumor flow phantom fabricated via 3D printing. Experimental results demonstrate the first coordinated spatiotemporal imaging of MMUS and PCM within the same anatomical model, resolving the key bottleneck of SPIONs monitoring in blood vessels/tissue. This demonstrates the strong potential of complementary MMUS and PCM imaging for monitoring in preclinical and clinical MDT settings. Full article
(This article belongs to the Special Issue Ultrasonic Sensors and Ultrasonic Signal Processing)
Show Figures

Figure 1

Back to TopTop