Sign in to use this feature.

Years

Between: -

Subjects

remove_circle_outline
remove_circle_outline
remove_circle_outline
remove_circle_outline
remove_circle_outline
remove_circle_outline
remove_circle_outline
remove_circle_outline
remove_circle_outline

Journals

remove_circle_outline
remove_circle_outline
remove_circle_outline
remove_circle_outline

Article Types

Countries / Regions

Search Results (186)

Search Parameters:
Keywords = MDL-28170

Order results
Result details
Results per page
Select all
Export citation of selected articles as:
35 pages, 40296 KB  
Article
A Matheuristic Framework for Behavioral Segmentation and Mobility Analysis of AIS Trajectories Using Multiple Movement Features
by Fumi Wu, Yangming Liu, Ronghui Li and Stefan Voß
J. Mar. Sci. Eng. 2025, 13(12), 2393; https://doi.org/10.3390/jmse13122393 - 17 Dec 2025
Viewed by 371
Abstract
Accurate behavioral segmentation of vessel trajectories from Automatic Identification System (AIS) is essential for maritime safety and traffic management. Existing methods often rely on predefined thresholds or emphasize geometric criteria and offer limited behavioral interpretability for mobility analysis. This paper introduces an unsupervised [...] Read more.
Accurate behavioral segmentation of vessel trajectories from Automatic Identification System (AIS) is essential for maritime safety and traffic management. Existing methods often rely on predefined thresholds or emphasize geometric criteria and offer limited behavioral interpretability for mobility analysis. This paper introduces an unsupervised behavioral segmentation framework that integrates clustering with matheuristic optimization. Trajectories are cleaned with a forward sliding window, and three smoothed movement features, namely speed, acceleration, and turning rate, are computed for each point. Each feature is discretized by the Jenks Natural Breaks algorithm to extract key feature points and pointwise feature labels. Segment boundaries are near-optimally chosen from these key feature points using a Matheuristic Fixed Set Search (MFSS) that minimizes a Minimum Description Length (MDL) objective. This ensures behavioral consistency within each segment and clear separation between adjacent segments. Experiments on an AIS dataset from the Qiongzhou Strait, China, demonstrate that our proposed method yields more compact, distinctly differentiated segments than baseline methods, while preserving intra-segment behavioral continuity. These segments exhibit strong semantic coherence, making them well-suited for downstream tasks such as traffic risk assessment and route planning. Full article
(This article belongs to the Section Ocean Engineering)
Show Figures

Figure 1

14 pages, 7130 KB  
Article
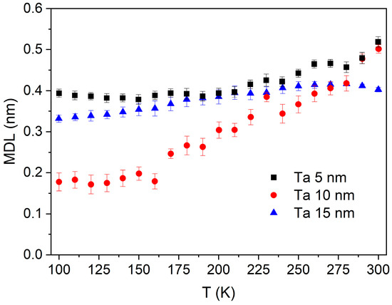
The Ta Seed-Buffer Layer Microstructure and Its Influence on the Magnetic and Structural Parameters of CoFeB/MgO Layers
by Jarosław Kanak, Monika Cecot, Witold Skowroński, Antoni Żywczak, Marta Gajewska, Jerzy Wrona, Wiesław Powroźnik and Maciej Czapkiewicz
Materials 2025, 18(24), 5558; https://doi.org/10.3390/ma18245558 - 11 Dec 2025
Viewed by 311
Abstract
In this paper, we discuss the structural and magnetic properties of Ta(d)/Co40Fe40B20/MgO/Ta multilayers. The CoFeB wedge layer was deposited on three buffers differing in Ta layer thickness: d = 5, 10, and 15 nm. A [...] Read more.
In this paper, we discuss the structural and magnetic properties of Ta(d)/Co40Fe40B20/MgO/Ta multilayers. The CoFeB wedge layer was deposited on three buffers differing in Ta layer thickness: d = 5, 10, and 15 nm. A structural analysis showed that the Ta seed-buffer of 5 nm was amorphous, whereas thicker Ta grew in a β-tetragonal disordered structure. X-ray reflectivity measurements revealed that the Ta/CoFeB interface roughness for annealed samples ranged from 0.55 to 0.67 nm for a sample with a 0.85 nm CoFeB layer and decreased to approximately 0.47 nm for thicker CoFeB layers, while the average interface CoFeB/MgO thickness was about 0.2–0.3 nm. The morphological roughness of the amorphous single 5 nm Ta layer was the lowest, whereas crystalline grains in thicker Ta buffers induced higher roughness. The 5 nm thick MgO layer exhibited a strong (001)-oriented texture, which was the highest for the smoothest 5 nm Ta buffer. The magnetic dead layer thickness for the annealed sample with a 15 nm Ta buffer was 0.39 nm and increased with the decrease in the Ta buffer thickness. Temperature-dependent measurements offered further insight into the diffusion processes and the formation of the magnetic dead layer (MDL) at the Ta/CoFeB interface. Full article
Show Figures

Figure 1

16 pages, 3553 KB  
Systematic Review
External Apical Root Resorption Following Orthodontic Treatment with Clear Aligners Versus Fixed Appliances: A Systematic Review and Meta-Analysis
by Atanaz Darvizeh, José Antonio González Sánchez, Guillermo Doria Jaureguizar, Oriol Quevedo, Fernando de la Iglesia Beyme, Firas Elmsmari and Massimo Del Fabbro
Dent. J. 2025, 13(12), 580; https://doi.org/10.3390/dj13120580 - 5 Dec 2025
Viewed by 900
Abstract
Background/Objectives: Clear aligners (CAs) are a popular alternative to classical fixed appliances (FAs) for orthodontic treatment. This systematic review aimed to compare the external apical root resorption (EARR) in patients undergoing orthodontic therapy with either FAs or removable CAs. Methods: An electronic search [...] Read more.
Background/Objectives: Clear aligners (CAs) are a popular alternative to classical fixed appliances (FAs) for orthodontic treatment. This systematic review aimed to compare the external apical root resorption (EARR) in patients undergoing orthodontic therapy with either FAs or removable CAs. Methods: An electronic search was conducted to identify comparative studies. Risk of bias was assessed using the Cochrane RoB 2.0 tool for randomized controlled trials (RCTs) and the ROBINS-I tool for non-RCTs. EARR at the following incisors was considered: maxillary central (MxC), maxillary lateral (MxL), mandibular central (MdC), and mandibular lateral (MdL). A random-effects meta-analysis was performed, and mean differences were estimated. Results: Ten studies (one RCT, two prospective, and seven retrospective studies) were included. Four had a low risk of bias, four had a moderate risk, and two had a serious concern. In total, 286 patients (1476 incisors) and 289 patients (1487 incisors) in the CA and FA groups were considered, respectively. The mean follow-up was 22.7 ± 9.9 (standard deviation) in the CA group and 22.5 ± 8.2 months in the FA group. The meta-analysis found that CAs caused significantly less EARR than FAs for all tooth types except for MdL. On a patient basis, the mean difference (MD) in favour of CAs ranged from −0.64 mm (95% CI (confidence interval): −0.90, −0.38 mm) for MxC to −0.26 mm (95% CI: −0.43, −0.09 mm) in MdC. Heterogeneity across studies was generally high, except for MdC cases. Conclusions: EARR at incisor teeth is generally lower using CAs compared to FAs. Further evidence-based studies are needed to confirm these results and understand the clinical relevance of such a difference. Full article
(This article belongs to the Special Issue Orthodontics and New Technologies: 2nd Edition)
Show Figures

Graphical abstract

29 pages, 3444 KB  
Article
Robust LC–MS/MS Methodology for Low-Level PFAS in Sludge Matrices
by Luoana Florentina Pascu, Valentina Andreea Petre, Vasile Ion Iancu, Ioana Antonia Cimpean and Florentina Laura Chiriac
Analytica 2025, 6(4), 49; https://doi.org/10.3390/analytica6040049 - 17 Nov 2025
Viewed by 1180
Abstract
Per- and polyfluoroalkyl substances (PFAS) are persistent environmental contaminants that tend to accumulate in solid matrices such as sewage sludge, raising concerns regarding their fate and potential ecological risks. This study aimed to develop and validate a robust analytical method for the accurate [...] Read more.
Per- and polyfluoroalkyl substances (PFAS) are persistent environmental contaminants that tend to accumulate in solid matrices such as sewage sludge, raising concerns regarding their fate and potential ecological risks. This study aimed to develop and validate a robust analytical method for the accurate determination of PFAS in dehydrated sludge. A liquid chromatography–tandem mass spectrometry (LC–MS/MS) method was optimized for 28 PFAS, including perfluoroalkyl carboxylic acids (PFCAs) and sulfonic acids (PFSAs). Solid–liquid extraction with basic methanol was followed by cleanup using a cartridge packed with ferrite and sodium sulfate to remove moisture and particulate interferences. Chromatographic separation was performed with an Avantor® ACE® PFAS Delay column coupled to an Agilent triple quadrupole MS operating in negative electrospray ionization mode. The method achieved excellent sensitivity (MDL < 0.02 µg/g dry weight for most compounds), satisfactory precision (RSD < 15%), and recoveries between 80–118%. Optimization of mobile phase additives, gradient conditions, and MS parameters enhanced chromatographic resolution and signal-to-noise ratio. The validated method demonstrates high reliability for PFAS determination in complex solid matrices and can be applied as a valuable tool for environmental monitoring and risk assessment of sludge management practices. Full article
Show Figures

Figure 1

28 pages, 5125 KB  
Article
Dual-Branch Hyperspectral Open-Set Classification with Reconstruction–Prototype Fusion for Satellite IoT Perception
by Jialing Tang, Shengwei Lei, Jingqi Liu, Ning Lv and Haibin Qi
Remote Sens. 2025, 17(22), 3722; https://doi.org/10.3390/rs17223722 - 14 Nov 2025
Viewed by 741
Abstract
The satellite Internet of Things (SatIoT) enables real-time acquisition and large-scale coverage of hyperspectral imagery, providing essential data support for decision-making in domains such as geological exploration, environmental monitoring, and urban management. Hyperspectral remote sensing classification constitutes a critical component of intelligent applications [...] Read more.
The satellite Internet of Things (SatIoT) enables real-time acquisition and large-scale coverage of hyperspectral imagery, providing essential data support for decision-making in domains such as geological exploration, environmental monitoring, and urban management. Hyperspectral remote sensing classification constitutes a critical component of intelligent applications driven by the SatIoT, yet it faces two major challenges: the massive data volume imposes heavy storage and processing burdens on conventional satellite systems, while dimensionality reduction often compromises classification accuracy; furthermore, mainstream neural network models are constrained by insufficient labeled data and spectral shifts, frequently leading to misclassification of unknown categories and degradation of cross-regional performance. To address these issues, this study proposes an open-set hyperspectral classification method with dual branches of reconstruction and prototype-based classification. Specifically, we build upon an autoencoder. We design a spectral–spatial attention module and an information residual connection module. These modules accurately capture spectral–spatial features. This improves the reconstruction accuracy of known classes. It also adapts to the high-dimensional characteristics of satellite data. Prototype representations of unknown classes are constructed by incorporating classification confidence, enabling effective separation in the feature space and targeted recognition of unknown categories in complex scenarios. By jointly leveraging prototype distance and reconstruction error, the proposed method achieves synergistic improvement in both accurate classification of known classes and reliable detection of unknown ones. Comparative experiments and visualization analyses on three publicly available datasets: Salinas-A, PaviaU, and Dioni-demonstrate that the proposed approach significantly outperforms baseline methods such as MDL4OW and IADMRN in terms of unknown detection rate (UDR), open-set overall accuracy (OpenOA), and open-set F1 score, while on the Salinas-A dataset, the performance gap between closed-set and open-set classification is as small as 1.82%, highlighting superior robustness. Full article
Show Figures

Figure 1

21 pages, 3900 KB  
Article
Mapping Glacial Lakes in the Upper Indus Basin (UIB) Using Synthetic Aperture Radar (SAR) Data
by Imran Khan, Jennifer M. Jacobs, Jeremy M. Johnston and Megan Vardaman
Glacies 2025, 2(4), 13; https://doi.org/10.3390/glacies2040013 - 10 Nov 2025
Viewed by 578
Abstract
Glacial lakes in the Upper Indus Basin (UIB) are rapidly evolving due to accelerated glacier retreat driven by climate change. Here we present a comprehensive inventory of glacial lakes using Sentinel-1 SAR data with adaptive backscatter thresholding, enabling consistent detection under challenging conditions [...] Read more.
Glacial lakes in the Upper Indus Basin (UIB) are rapidly evolving due to accelerated glacier retreat driven by climate change. Here we present a comprehensive inventory of glacial lakes using Sentinel-1 SAR data with adaptive backscatter thresholding, enabling consistent detection under challenging conditions and improving delineation accuracy. In August 2023, we identified 6019 glacial lakes at scales from 0.001 to 5.80 km2, covering a cumulative area of 266 km2 (~0.06% of the basin). Although more than 90% of the lakes are smaller than 0.1 km2, large lakes (>0.1 km2) account for over 57% of the total lake area. Most lakes are concentrated between 4000 and 4600 m, coinciding with the main glacierized zone. Regional patterns reveal that the Hindu Kush and Himalayas are dominated by glacier erosion lakes (GELs) and moraine-dammed lakes (MDLs), reflecting widespread glacier retreat, whereas the Karakoram is characterized by numerous supraglacial lakes (SGLs) associated with extensive debris-covered glaciers. Compared to previous optical-based inventories, our SAR-based approach captures more lakes and better represents small and transient features such as SGLs. These findings provide a more accurate baseline for assessing cryospheric change and glacial lake hazards in one of the world’s most heavily glacierized basins. Full article
Show Figures

Figure 1

27 pages, 4961 KB  
Article
Trajectory Segmentation and Clustering in Terminal Airspace Using Transformer–VAE and Density-Aware Optimization
by Quanquan Chen and Meilong Le
Aerospace 2025, 12(11), 969; https://doi.org/10.3390/aerospace12110969 - 30 Oct 2025
Viewed by 736
Abstract
Clustering of aircraft trajectories in terminal airspace is essential for procedure evaluation, flow monitoring, and anomaly detection, yet it is challenged by dense traffic, irregular sampling, and diverse maneuvering behaviors. This study proposes a unified framework that integrates dynamics-aware segmentation, Transformer–Variational Autoencoder (Transformer–VAE)-based [...] Read more.
Clustering of aircraft trajectories in terminal airspace is essential for procedure evaluation, flow monitoring, and anomaly detection, yet it is challenged by dense traffic, irregular sampling, and diverse maneuvering behaviors. This study proposes a unified framework that integrates dynamics-aware segmentation, Transformer–Variational Autoencoder (Transformer–VAE)-based representation learning, and density-aware clustering with joint optimization. A dynamic-feature Minimum Description Length (DFE-MDL) algorithm is introduced to preserve maneuver boundaries and reduce reconstruction errors, while the Transformer–VAE encoder captures nonlinear spatiotemporal dependencies and generates compact latent embeddings. Clusters are initialized using Hierarchical Density-Based Spatial Clustering of Applications with Noise (HDBSCAN) and further refined through Kullback–Leibler (KL) divergence minimization to improve consistency and separability. Experiments on large-scale ADS-B data from Guangzhou Baiyun International Airport, comprising over 27,000 trajectories, demonstrate that the framework outperforms conventional geometric and deep learning baselines. Results show higher reconstruction fidelity, clearer cluster separation, and reduced computation time, enabling interpretable flow structures that reflect operational practices. Overall, the framework provides a data-driven and scalable approach for terminal-area trajectory analysis, offering practical value for STAR/SID compliance monitoring, anomaly detection, and airspace management. Full article
(This article belongs to the Section Air Traffic and Transportation)
Show Figures

Figure 1

21 pages, 3027 KB  
Article
Residues of Priority Organic Micropollutants in Eruca vesicaria (Rocket) Irrigated by Reclaimed Wastewater: Optimization of a QuEChERS SPME-GC/MS Protocol and Risk Assessment
by Luca Rivoira, Simona Di Bonito, Veronica Libonati, Massimo Del Bubba, Mihail Simion Beldean-Galea and Maria Concetta Bruzzoniti
Foods 2025, 14(17), 2963; https://doi.org/10.3390/foods14172963 - 25 Aug 2025
Viewed by 869
Abstract
The increasing use of reclaimed wastewater in agriculture raises growing concerns about the accumulation of priority organic micropollutants in edible crops. In this study, we developed and validated a novel QuEChERS–SPME–GC/MS method for the simultaneous determination of 15 polycyclic aromatic hydrocarbons (PAHs), 3 [...] Read more.
The increasing use of reclaimed wastewater in agriculture raises growing concerns about the accumulation of priority organic micropollutants in edible crops. In this study, we developed and validated a novel QuEChERS–SPME–GC/MS method for the simultaneous determination of 15 polycyclic aromatic hydrocarbons (PAHs), 3 nitro-PAHs, and 14 polychlorinated biphenyls congeners in Eruca vesicaria (rocket) leaves. The method was optimized to address the matrix complexity of leafy vegetables and included a two-step dispersive solid-phase extraction (d-SPE) cleanup and aqueous dilution prior to SPME. Validation showed excellent performance, with MDLs between 0.1 and 6.7 µg/kg, recoveries generally between 70 and 120%, and precision (RSD%) below 20%. The greenness of the protocol was assessed using the AGREE metric, yielding a score of 0.60. Application to rocket samples irrigated with treated wastewater revealed no significant accumulation of target pollutants compared to commercial samples. All PCB and N-PAH congeners were below detection limits, and PAH concentrations were low and mostly limited to lighter compounds. Human health risk assessment based on toxic equivalent concentrations confirmed that estimated cancer risk (CR) values 10−9–10−8 were well below accepted safety thresholds. These findings support the safe use of reclaimed water for leafy crop irrigation under proper treatment conditions and highlight the suitability of the method for trace-level food safety monitoring. Full article
Show Figures

Figure 1

14 pages, 2675 KB  
Article
Sub-ppb Methane Detection via EMD–Wavelet Adaptive Thresholding in Wavelength Modulation TDLAS: A Hybrid Denoising Approach for Trace Gas Sensing
by Tong Mu, Xing Tian, Peiren Ni, Shichao Chen, Yanan Cao and Gang Cheng
Sensors 2025, 25(16), 5167; https://doi.org/10.3390/s25165167 - 20 Aug 2025
Viewed by 1242
Abstract
Wavelength modulation-tunable diode laser absorption spectroscopy (WM-TDLAS) is a critical tool for gas detection. However, noise in second harmonic signals degrades detection performance. This study presents a hybrid denoising algorithm combining Empirical Mode Decomposition (EMD) and wavelet adaptive thresholding to enhance WM-TDLAS performance. [...] Read more.
Wavelength modulation-tunable diode laser absorption spectroscopy (WM-TDLAS) is a critical tool for gas detection. However, noise in second harmonic signals degrades detection performance. This study presents a hybrid denoising algorithm combining Empirical Mode Decomposition (EMD) and wavelet adaptive thresholding to enhance WM-TDLAS performance. The algorithm decomposes raw signals into intrinsic mode functions (IMFs) via EMD, selectively denoises high-frequency IMFs using wavelet thresholding, and reconstructs the signal while preserving spectral features. Simulation and experimental validation using the CH4 absorption spectrum at 1654 nm demonstrate that the system achieves a threefold improvement in detection precision (0.1181 ppm). Allan variance analysis revealed that the detection capability of the system was significantly enhanced, with the minimum detection limit (MDL) drastically reduced from 2.31 ppb to 0.53 ppb at 230 s integration time. This approach enhances WM-TDLAS performance without hardware modification, offering significant potential for environmental monitoring and industrial safety applications. Full article
(This article belongs to the Section Electronic Sensors)
Show Figures

Figure 1

24 pages, 5644 KB  
Article
Design and Optimization of Target Detection and 3D Localization Models for Intelligent Muskmelon Pollination Robots
by Huamin Zhao, Shengpeng Xu, Weiqi Yan, Defang Xu, Yongzhuo Zhang, Linjun Jiang, Yabo Zheng, Erkang Zeng and Rui Ren
Horticulturae 2025, 11(8), 905; https://doi.org/10.3390/horticulturae11080905 - 4 Aug 2025
Cited by 2 | Viewed by 1008
Abstract
With the expansion of muskmelon cultivation, manual pollination is increasingly inadequate for sustaining industry development. Therefore, the development of automatic pollination robots holds significant importance in improving pollination efficiency and reducing labor dependency. Accurate flower detection and localization is a key technology for [...] Read more.
With the expansion of muskmelon cultivation, manual pollination is increasingly inadequate for sustaining industry development. Therefore, the development of automatic pollination robots holds significant importance in improving pollination efficiency and reducing labor dependency. Accurate flower detection and localization is a key technology for enabling automated pollination robots. In this study, the YOLO-MDL model was developed as an enhancement of YOLOv7 to achieve real-time detection and localization of muskmelon flowers. This approach adds a Coordinate Attention (CA) module to focus on relevant channel information and a Contextual Transformer (CoT) module to leverage contextual relationships among input tokens, enhancing the model’s visual representation. The pollination robot converts the 2D coordinates into 3D coordinates using a depth camera and conducts experiments on real-time detection and localization of muskmelon flowers in a greenhouse. The YOLO-MDL model was deployed in ROS to control a robotic arm for automatic pollination, verifying the accuracy of flower detection and measurement localization errors. The results indicate that the YOLO-MDL model enhances AP and F1 scores by 3.3% and 1.8%, respectively, compared to the original model. It achieves AP and F1 scores of 91.2% and 85.1%, demonstrating a clear advantage in accuracy over other models. In the localization experiments, smaller errors were revealed in all three directions. The RMSE values were 0.36 mm for the X-axis, 1.26 mm for the Y-axis, and 3.87 mm for the Z-axis. The YOLO-MDL model proposed in this study demonstrates strong performance in detecting and localizing muskmelon flowers. Based on this model, the robot can execute more precise automatic pollination and provide technical support for the future deployment of automatic pollination robots in muskmelon cultivation. Full article
Show Figures

Figure 1

17 pages, 2093 KB  
Article
The Reliability and Validity of an Instrumented Device for Tracking the Shoulder Range of Motion
by Rachel E. Roos, Jennifer Lambiase, Michelle Riffitts, Leslie Scholle, Simran Kulkarni, Connor L. Luck, Dharma Parmanto, Vayu Putraadinatha, Made D. Yoga, Stephany N. Lang, Erica Tatko, Jim Grant, Jennifer I. Oakley, Ashley Disantis, Andi Saptono, Bambang Parmanto, Adam Popchak, Michael P. McClincy and Kevin M. Bell
Sensors 2025, 25(12), 3818; https://doi.org/10.3390/s25123818 - 18 Jun 2025
Cited by 2 | Viewed by 2025
Abstract
Rotator cuff tears are common in individuals over 40, and physical therapy is often prescribed post-surgery. However, access can be limited by cost, convenience, and insurance coverage. CuffLink is a telehealth rehabilitation system that integrates the Strengthening and Stabilization System mechanical exerciser with [...] Read more.
Rotator cuff tears are common in individuals over 40, and physical therapy is often prescribed post-surgery. However, access can be limited by cost, convenience, and insurance coverage. CuffLink is a telehealth rehabilitation system that integrates the Strengthening and Stabilization System mechanical exerciser with the interACTION mobile health platform. The system includes a triple-axis accelerometer (LSM6DSOX + LIS3MDL FeatherWing), a rotary encoder, a VL530X time-of-flight sensor, and two wearable BioMech Health IMUs to capture upper-limb motion. CuffLink is designed to facilitate controlled, home-based exercise while enabling clinicians to remotely monitor joint function. Concurrent validity and test–retest reliability were used to assess device accuracy and repeatability. The results showed moderate to good validity for shoulder rotation (ICC = 0.81), device rotation (ICC = 0.94), and linear tracking (from zero: ICC = 0.75 and RMSE = 2.41; from start: ICC = 0.88 and RMSE = 2.02) and good reliability (e.g., RMSEs as low as 1.66 cm), with greater consistency in linear tracking compared to angular measures. Shoulder rotation and abduction exhibited higher variability in both validity and reliability measures. Future improvements will focus on manufacturability, signal stability, and force sensing. CuffLink supports accessible, data-driven rehabilitation and holds promise for advancing digital health in orthopedic recovery. Full article
(This article belongs to the Special Issue IMU and Innovative Sensors for Healthcare)
Show Figures

Figure 1

16 pages, 3152 KB  
Article
Determining the Minimum Detection Limit of Methane Hydrate Using Associated Alpha Particle Technique
by Josip Batur, Davorin Sudac, Ilker Meric, Vladivoj Valković, Karlo Nađ and Jasmina Obhođaš
J. Mar. Sci. Eng. 2025, 13(6), 1050; https://doi.org/10.3390/jmse13061050 - 27 May 2025
Cited by 1 | Viewed by 1250
Abstract
Methane hydrate is a crystalline compound in which methane is trapped within a water lattice under high-pressure, low-temperature conditions. Its presence in oceanic and permafrost sediments makes it a promising alternative energy source, but also a potential contributor to climate change. Accurate in [...] Read more.
Methane hydrate is a crystalline compound in which methane is trapped within a water lattice under high-pressure, low-temperature conditions. Its presence in oceanic and permafrost sediments makes it a promising alternative energy source, but also a potential contributor to climate change. Accurate in situ detection remains a major challenge due to hydrate’s dispersed occurrence and the limitations of conventional geophysical methods. This study investigates the feasibility of using the associated alpha particle (AAP) technique for the direct detection of methane hydrate. A series of laboratory measurements was conducted on sand-based samples with varying levels of methane hydrate simulant. Using a 14 MeV neutron generator and a LaBr3 gamma detector, the 4.44 MeV carbon peak was monitored and calibrated against volumetric hydrate saturation. The minimum detection limit (MDL) was experimentally determined to be (67±25)%. Although the result is subject to high uncertainty, it provides a preliminary benchmark for evaluating the method’s sensitivity and highlights the potential of AAP-based gamma spectroscopy for in situ detection, especially when supported by higher neutron flux in future applications. Full article
(This article belongs to the Special Issue Advances in Marine Gas Hydrates)
Show Figures

Figure 1

13 pages, 2777 KB  
Article
Improving the Accuracy of Methane Sensor with Dual Measurement Modes Based on Off-Axis Integrated Cavity Output Spectroscopy Using White Noise Perturbation
by Ce Yang, Mingming Wen, Chen Chen, Chunguang Li, Jianyu Huang, Laiyong Song and Yu Li
Appl. Sci. 2025, 15(10), 5562; https://doi.org/10.3390/app15105562 - 15 May 2025
Cited by 1 | Viewed by 913
Abstract
A methane (CH4) sensor based on off-axis integrated cavity output spectroscopy (OA-ICOS) was developed, equipped with two measurement schemes: direct absorption spectroscopy (DAS) and wavelength modulation spectroscopy (WMS). The sensor used an optical resonant cavity composed of two high reflection mirrors [...] Read more.
A methane (CH4) sensor based on off-axis integrated cavity output spectroscopy (OA-ICOS) was developed, equipped with two measurement schemes: direct absorption spectroscopy (DAS) and wavelength modulation spectroscopy (WMS). The sensor used an optical resonant cavity composed of two high reflection mirrors (reflectivity > 99%). With a cavity length of 7 cm, an effective optical path length of 10.8 m and a cavity volume of 8.9 mL were achieved. A distributed feedback laser was used to precisely target the CH4 absorption line near 1.6537 µm. Compared with the original system, the cavity mode noise of the CH4 sensor was further reduced by adding white noise perturbations. The white noise perturbations were generated by the broadband random noise from the signal generator. The special customized narrowband RF noise source was not required. The system complexity and cost could be reduced. In DAS mode, the signal-to-noise ratio (SNR) of the OA-ICOS was 16.2 and the minimum detection limit (MDL) was 2.2 ppm at 117 s. In WMS mode, the SNR of the OA-ICOS was 113.9 and the MDL was 1.2 ppm at 106 s. Compared with the results obtained from the WMS mode and DAS mode, the SNR and MDL was improved 7.0 times and 1.8 times, respectively. The proposed sensor system not only enabled high-accuracy trace gas measurement, but also demonstrated strong potential for applications due to its compact design and low cost. Full article
(This article belongs to the Special Issue Near/Mid-Infrared Lasers: Latest Advances and Applications)
Show Figures

Figure 1

20 pages, 3831 KB  
Article
A Highly Effective Method for Simultaneous Determination of 103 Veterinary Drugs in Sediment Using Liquid Chromatography–Tandem Mass Spectrometry
by Henan Li, Kunde Lin, Yuncong Ge, Qian Wang and Meng Chen
Water 2025, 17(9), 1256; https://doi.org/10.3390/w17091256 - 23 Apr 2025
Cited by 2 | Viewed by 1311
Abstract
Hundreds of veterinary drugs are widely used in agricultural activities and continuously enter aquatic environments through various pathways, posing potential risks to ecosystem. Considering that sediments function both as sinks and sources of these contaminants, it is crucial to promptly and accurately acquire [...] Read more.
Hundreds of veterinary drugs are widely used in agricultural activities and continuously enter aquatic environments through various pathways, posing potential risks to ecosystem. Considering that sediments function both as sinks and sources of these contaminants, it is crucial to promptly and accurately acquire veterinary drug residue level in sediments. In this study, a highly effective analytical method for simultaneous determination of 103 veterinary drugs from 16 classes in sediments was developed using high-performance liquid chromatography–tandem mass spectrometry (HPLC-MS/MS). The extraction procedure was performed twice by ultrasound-assisted extraction with an acetonitrile-buffer mixture consisting of Na2EDTA, Na3PO4·12H2O, and Na3C6H5O7·2H2O. The supernatant was cleaned using 500 mg/6 mL Oasis HLB solid-phase cartridges. The elution solutions were concentrated and redissolved in formic acid–methanol–water (0.1/20/79.9, v/v, FA-MeOH-H2O) for detection. Results showed that all 103 target drugs exhibited good linearity with R2 > 0.990 over a concentration range of 0.010 to 1000 μg·L−1, and method detection limits (MDLs) ranged from 0.025 to 5 μg·kg−1. The recoveries at three spiking levels (2, 5, and 10 times of the method quantification limits, MQLs) varied from 33% to 150%, 32% to 140%, and 40% to 140%, respectively, with relative standard deviations (RSDs, n = 3) of 0.7%~29%, 0.8%~23%, and 0.5%~20%. The matrix effects for all compounds ranged from –85% to 84% with 32 targets negligible, 51 moderate, and 20 significant. An isotope-labeled surrogate method was proposed for quantitation to effectively overcome matrix effects and improve accuracy with better recoveries of 60%~120% for 93 target drugs and RSDs (n = 3) all below 20%. This method was applied to determine 12 sediment samples collected from the Jiulong River, and 16 target drugs were detected in the concentrations range of 0.1~7.6 μg·kg−1. The method is accurate, sensitive, and efficient, providing a powerful analytical tool for behavior and effect studies of multi-classed veterinary drug residue in sediment environments. Full article
(This article belongs to the Section Water Quality and Contamination)
Show Figures

Figure 1

14 pages, 5317 KB  
Article
LITES-Based Sensitive CO2 Detection Using 2 μm Diode Laser and Self-Designed 9.5 kHz Quartz Tuning Fork
by Junjie Mu, Jinfeng Hou, Shaoqi Qiu, Shunda Qiao, Ying He and Yufei Ma
Sensors 2025, 25(7), 2099; https://doi.org/10.3390/s25072099 - 27 Mar 2025
Viewed by 971
Abstract
A carbon dioxide (CO2) sensor based on light-induced thermoelastic spectroscopy (LITES) using a 2 μm diode laser and a self-designed low-frequency trapezoidal-head QTF is reported for the first time in this invited paper. The self-designed trapezoidal-head QTF with a low resonant [...] Read more.
A carbon dioxide (CO2) sensor based on light-induced thermoelastic spectroscopy (LITES) using a 2 μm diode laser and a self-designed low-frequency trapezoidal-head QTF is reported for the first time in this invited paper. The self-designed trapezoidal-head QTF with a low resonant frequency of 9464.18 Hz and a high quality factor (Q) of 12,133.56 can significantly increase the accumulation time and signal level of the CO2-LITES sensor. A continuous-wave (CW) distributed-feedback (DFB) diode laser is used as the light source, and the strongest absorption line of CO2 located at 2004.01 nm is chosen. A comparison between the standard commercial QTF with the resonant frequency of 32.768 kHz and the self-designed trapezoidal-head QTF is performed. The experimental results show that the CO2-LITES sensor with the self-designed trapezoidal-head QTF has an excellent linear response to CO2 concentration, and its minimum detection limit (MDL) can reach 46.08 ppm (parts per million). When the average time is increased to 100 s based on the Allan variance analysis, the MDL of the sensor can be improved to 3.59 ppm. Compared with the 16.85 ppm of the CO2-LITES sensor with the commercial QTF, the performance is improved by 4.7 times, demonstrating the superiority of the self-designed trapezoidal-head QTF. Full article
(This article belongs to the Special Issue Sensors in 2025)
Show Figures

Figure 1

Back to TopTop