Sign in to use this feature.

Years

Between: -

Subjects

remove_circle_outline
remove_circle_outline
remove_circle_outline
remove_circle_outline
remove_circle_outline
remove_circle_outline
remove_circle_outline
remove_circle_outline
remove_circle_outline

Journals

remove_circle_outline
remove_circle_outline
remove_circle_outline
remove_circle_outline
remove_circle_outline
remove_circle_outline
remove_circle_outline
remove_circle_outline
remove_circle_outline
remove_circle_outline
remove_circle_outline
remove_circle_outline
remove_circle_outline
remove_circle_outline
remove_circle_outline
remove_circle_outline
remove_circle_outline
remove_circle_outline
remove_circle_outline
remove_circle_outline
remove_circle_outline

Article Types

Countries / Regions

remove_circle_outline
remove_circle_outline
remove_circle_outline
remove_circle_outline
remove_circle_outline
remove_circle_outline

Search Results (2,328)

Search Parameters:
Keywords = M/A constituent

Order results
Result details
Results per page
Select all
Export citation of selected articles as:
24 pages, 4080 KB  
Article
Invasive Goldenrod (Solidago gigantea Aiton) as a Source of Natural Bioactive Antimicrobial, Insecticidal, and Allelopathic Compounds
by Elżbieta Gębarowska, Jacek Łyczko, Anna Kmieć, Paulina Bączek, Kamila Twardowska and Bogdan Stępień
Molecules 2026, 31(1), 126; https://doi.org/10.3390/molecules31010126 (registering DOI) - 29 Dec 2025
Abstract
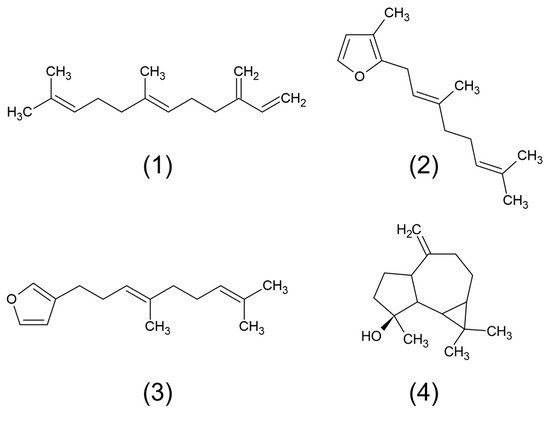
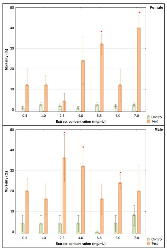
Goldenrod (Solidago gigantea Aiton) is a highly invasive species in Europe (e.g., Poland, Germany, and the Czech Republic) whose secondary metabolites can serve as potential sources of bioactive compounds. This study evaluated the phytochemical profile of S. gigantea extracts and evaluated their [...] Read more.
Goldenrod (Solidago gigantea Aiton) is a highly invasive species in Europe (e.g., Poland, Germany, and the Czech Republic) whose secondary metabolites can serve as potential sources of bioactive compounds. This study evaluated the phytochemical profile of S. gigantea extracts and evaluated their antibacterial, insecticidal, and phytotoxic activities. The extracts were found to be rich in flavonoids (TFC = 101 mg QE/g) and phenolics (TPC = 175 mg GAE/g), with chlorogenic acid and rutin as dominant constituents. Strong antibacterial activity was observed against Gram-positive bacteria, particularly Staphylococcus spp. (MIC90 = 2.3 mg/mL; MBC = 5 mg/mL), while Gram-negative bacteria were less sensitive, with moderate susceptibility in Rhizobium radiobacter and Pseudomonas syringae. The extract exhibited fungistatic activity against all tested filamentous fungi, with Fusarium species being the most sensitive (49–56% growth inhibition at 10 mg/mL). Insecticidal assays demonstrated significant mortality of Tribolium confusum adults at 2.5–7.0 mg/mL and feeding inhibition at concentrations as low as 0.5 mg/mL. Seedling growth tests showed dose-dependent effects—from mild suppression to moderate stimulation, varying by plant species. Foliar application revealed both stimulatory and inhibitory effects, with the strongest biomass reduction in cress at 10 mg/mL (−45%). These findings indicate that S. gigantea extracts possess potent antibacterial, antifungal, insecticidal, and allelopathic activities. Their concentration-dependent effects on pathogens and plants highlight potential applications in sustainable agriculture, including natural crop protection and integrated pest management. Full article
Show Figures

Figure 1

15 pages, 5781 KB  
Article
Facile Fabrication of Attapulgite-Modified Chitosan Composite Aerogels with Enhanced Mechanical Strength and Flame Retardancy for Thermal Insulation
by Siyuan Cheng, Yuwen Shao, Meisi Chen, Chenfei Wang, Xinbao Zhu, Xiongfei Zhang and Bo Fu
Polymers 2026, 18(1), 98; https://doi.org/10.3390/polym18010098 (registering DOI) - 29 Dec 2025
Abstract
Aerogels are recognized as exceptional thermal insulation materials, but poor mechanical strength and flammability problems hinder their application in high-temperature environments. Thermal management materials that combine high mechanical strength with superior flame retardancy are, therefore, critically important for thermal insulation. Herein, ultra-lightweight aerogels [...] Read more.
Aerogels are recognized as exceptional thermal insulation materials, but poor mechanical strength and flammability problems hinder their application in high-temperature environments. Thermal management materials that combine high mechanical strength with superior flame retardancy are, therefore, critically important for thermal insulation. Herein, ultra-lightweight aerogels were facilely fabricated using chitosan (CS) and acidified attapulgite (SATP) as the primary components. The optimal composite, CS-SATP30%, exhibited a compressive strength of 633.15 kPa at 80% strain, demonstrating significant improvement in mechanical properties. Structural analysis revealed that the hydroxyl groups and amino groups of CS molecules formed hydrogen bonds with SATP, ensuring excellent interfacial affinity among the constituents. Compared to pure CS aerogel, the total heat release (THR) and peak heat release rate (PHRR) of CS-SATP30% were substantially reduced to 3.83 MJ/m2 and 37.00 kW/m2, respectively. Furthermore, the limiting oxygen index (LOI) of CS-SATP30% increased to 34% and passed the vertical burning test (UL-94). This study provides a feasible way to construct advanced chitosan-based thermal insulation aerogels. Full article
(This article belongs to the Section Biobased and Biodegradable Polymers)
Show Figures

Figure 1

19 pages, 3309 KB  
Article
Synthesis, Anion Disordering and Electronic Structure of Rb2KWO3F3 Elpasolite
by Victor Atuchin, Tatyana Gavrilova, Ludmila Isaenko, Valery Kesler, Maxim Molokeev, Aleksandr Oreshonkov and Sergey Zhurkov
Crystals 2026, 16(1), 18; https://doi.org/10.3390/cryst16010018 - 26 Dec 2025
Viewed by 210
Abstract
Rb2KWO3F3 elpasolite was synthesized via the solid-state reaction route. The phase purity of the obtained sample was verified by the XRD analysis with Rietveld refinement in space group Fm-3m, yielding the unit cell parameter a [...] Read more.
Rb2KWO3F3 elpasolite was synthesized via the solid-state reaction route. The phase purity of the obtained sample was verified by the XRD analysis with Rietveld refinement in space group Fm-3m, yielding the unit cell parameter a = 8.92413 (17) Å. The electronic structure and chemical states of the constituent elements were investigated using X-ray photoelectron spectroscopy. The binding energy of the W 4f7/2 core level (34.95 eV) was found to be characteristic of the W6+ oxidation state, while the values for Rb 3d, K 2p, O 1s and F 1s levels were consistent with those reported for related oxide and oxyfluoride compounds. First-principles density functional theory calculations were performed to model the electronic structure. The fac-configuration of the WO3F3 octahedra was identified as the most energetically favorable. The calculations revealed a direct band gap of 4.38 eV, with the valence band maximum composed primarily of O 2p orbitals and the conduction band minimum formed by W 5d orbitals. This combined experimental/theoretical study shows that the electronic structure and wide bandgap of Rb2KWO3F3 are governed by the WO3F3 units and are largely insensitive to the Rb/K substitution. The wide bandgap identifies this class of oxyfluorides as a promising platform for developing new UV-transparent materials. Full article
(This article belongs to the Special Issue Electronic Phenomena of Transition Metal Oxides Volume II)
Show Figures

Figure 1

11 pages, 1241 KB  
Article
Substrate Composition Shapes Methanogenesis, Microbial Ecology, and Digestate Dewaterability in Microbial Electrolysis Cell-Assisted Anaerobic Digestion of Food Waste
by Jiaojiao Yang, Baihui Cui, Xiaodong Xin, Yves Iradukunda and Wangwang Yan
Methane 2026, 5(1), 2; https://doi.org/10.3390/methane5010002 - 25 Dec 2025
Viewed by 79
Abstract
The compositional heterogeneity of food waste greatly influences its bioconversion in microbial electrolysis cell (MEC)-assisted anaerobic digestion (AD), but the underlying mechanism remains unclear. Therefore, this study assessed two typical food wastes, i.e., starch-rich rice and cellulose-rich vegetables, on methane production, microbial constituents, [...] Read more.
The compositional heterogeneity of food waste greatly influences its bioconversion in microbial electrolysis cell (MEC)-assisted anaerobic digestion (AD), but the underlying mechanism remains unclear. Therefore, this study assessed two typical food wastes, i.e., starch-rich rice and cellulose-rich vegetables, on methane production, microbial constituents, and digestate dewaterability in single-chamber MECs. The results demonstrated that, while the rice-fed MEC (258.56 mL/g VS) achieved a higher methane yield compared to the vegetable-fed MEC (161.79 mL/g VS), the latter achieved higher methane purity. Temporal profiles of volatile fatty acids (VFAs) revealed rapid acidification and consumption in rice-fed systems, whereas vegetable-fed MEC exhibited delayed degradation. Additionally, the substrate type greatly influenced digestate dewaterability, since digestate from the vegetable-fed MEC exhibited lower specific resistance to filtration (3.25 × 1012 m/kg vs. 12.46 × 1012 m/kg) and capillary suction time (8.16 s·L/g vs. 19.14 s·L/g) compared to that from the rice-fed MEC. This improvement was likely attributed to high polysaccharides in extracellular polymeric substances (EPS) and cellulose’s structural properties, which promoted the formation of a porous, less compressible sludge cake that facilitated sludge dewaterability. Microbial community analysis revealed a substrate-driven specialization, as the rice-fed MECs enriched exoelectrogens (e.g., Geobacter, Trichococcus) and hydrogenotrophic methanogens (i.e., Methanobacterium), while the vegetables enriched Bacteroides and Methanosarcina. Collectively, these results suggest substrate composition profoundly influences methane yield, metabolic pathways, microbial ecology, and digestate properties in MEC-assisted AD. This work provides key insights into the role of feedstock characteristics in shaping MEC-assisted AD systems. Full article
(This article belongs to the Special Issue Innovations in Methane Production from Anaerobic Digestion)
Show Figures

Figure 1

14 pages, 540 KB  
Article
Chemical Composition, Antioxidant Potential, and Acetylcholinesterase Inhibitory Activity of the Essential Oil from Croton alnifolius Lam.
by Claudia Cruz, Pablo Muñoz, Nixon Cumbicus, Vladimir Morocho and Omar Malagón
Molecules 2026, 31(1), 61; https://doi.org/10.3390/molecules31010061 - 24 Dec 2025
Viewed by 151
Abstract
This study reports the first chemical characterization of the essential oil of Croton alnifolius. A very low yield of 0.028% ± 0.0012 (w/w) was obtained by steam distillation for 4 h using a Clevenger-type apparatus. The chemical composition [...] Read more.
This study reports the first chemical characterization of the essential oil of Croton alnifolius. A very low yield of 0.028% ± 0.0012 (w/w) was obtained by steam distillation for 4 h using a Clevenger-type apparatus. The chemical composition of the oil was analyzed by gas chromatography coupled with mass spectrometry (GC–MS) for compound identification and by gas chromatography with a flame ionization detector (GC–FID) for quantification. A total of 49 compounds were identified, representing 94.65% of the total oil composition. The chemical profile was dominated by hydrocarbon sesquiterpenes (53.11%) and hydrocarbon monoterpenes (32.20%). The major constituents included (E)-caryophyllene (17.42%), α-pinene (14.53%), myrcene (9.51%), germacrene D (9.92%), and β-chamigrene (5.48%). The biological activity of the essential oil was also evaluated: it exhibited weak antimicrobial activity against Enterococcus faecium with a Minimum Inhibitory Concentration (MIC) value of 1000 μg/mL, strong antioxidant potential in the ABTS assay (SC50 = 28.43 ± 1.0 μg/mL), and moderate acetylcholinesterase inhibitory activity (61.74 ± 1.02 μg/mL). These results indicate that the unique sesquiterpene rich chemical profile of C. alnifolius contributes to its antioxidant and neuroprotective potential, supporting its relevance as a promising source of bioactive natural products. Full article
(This article belongs to the Special Issue Biological Activity of Essential Oils, 2nd Edition)
Show Figures

Graphical abstract

16 pages, 780 KB  
Article
Phytochemical Evaluation of Terminalia catappa L. Extracts with Antibacterial and Antibiotic Potentiation Activities Against β-Lactam Drug-Resistant Bacteria
by Muhammad Jawad Zai, Matthew James Cheesman and Ian Edwin Cock
Int. J. Mol. Sci. 2026, 27(1), 177; https://doi.org/10.3390/ijms27010177 - 23 Dec 2025
Viewed by 127
Abstract
Terminalia catappa L. (Family: Combretaceae) is used globally to treat various diseases, including bacterial infections. Whilst the antibacterial activity of T. catappa has previously been tested against antibiotic-sensitive bacterial strains, the antimicrobial activity against methicillin and β-lactam-resistant pathogens has been relatively ignored. The [...] Read more.
Terminalia catappa L. (Family: Combretaceae) is used globally to treat various diseases, including bacterial infections. Whilst the antibacterial activity of T. catappa has previously been tested against antibiotic-sensitive bacterial strains, the antimicrobial activity against methicillin and β-lactam-resistant pathogens has been relatively ignored. The antibacterial activity of T. catappa extracts, both alone and combined with selected clinical antibiotics, was evaluated in this study. The inhibition of bacterial growth by the extracts was determined using agar diffusion and broth micro-dilution assays. Combinations of the extracts and several clinical antibiotics were also examined and the ∑FICs were calculated to determine the interaction class. Synergistic combinations were further evaluated by isobologram analysis. The T. catappa leaf extracts were screened for toxicity using Artemia franciscana lethality bioassays (ALA). Orbitrap liquid chromatography–mass spectrometry (LC-MS) profiling analysis was undertaken to identify flavonoid components of the extracts, putatively. The T. catappa methanolic extract inhibited all the tested bacterial strains. It displayed especially good inhibitory activity against E. coli (MIC = 130 µg/mL). Combining the T. catappa extracts with some conventional antibiotics potentiated the inhibitory activity of the combinations compared to the activity of individual components. LC-MS profiling analysis identified multiple flavonoid components, including rutin, quercitin, orientin, the tannin component, and ellagic acid in the extracts. All extracts were non-toxic against Artemia nauplii. The phytochemical constituents present in the T. catappa leaf extracts warrant future investigation as potential antibacterial agents. Full article
Show Figures

Figure 1

14 pages, 2035 KB  
Article
Chemotypic Diversity, Antimicrobial Activities, and Molecular Docking Analysis of Essential Oils from Four Elsholtzia Species in Northern Vietnam
by Nguyen Quynh Chi, Nguyen Thanh Tung, Do Thi Bich Diep, Do Thi Mai Dung, Nguyen Khac Tiep, Do Hong Quang, Hoang Quynh Hoa, Oleh Koshovyi, Hanh Dufat, Ain Raal and Do Quyen
Crops 2026, 6(1), 2; https://doi.org/10.3390/crops6010002 - 23 Dec 2025
Viewed by 117
Abstract
An ethnobotanical survey in the northern mountainous region of Vietnam identified four Elsholtzia species, E. blanda, E. ciliata, E. communis, and E. penduliflora, growing naturally above 1500 m and traditionally used by local ethnic communities to treat skin-related ailments. [...] Read more.
An ethnobotanical survey in the northern mountainous region of Vietnam identified four Elsholtzia species, E. blanda, E. ciliata, E. communis, and E. penduliflora, growing naturally above 1500 m and traditionally used by local ethnic communities to treat skin-related ailments. This study investigates their essential oil possible chemotypes, antimicrobial properties, and potential mechanisms of action through molecular docking. Essential oils obtained by steam distillation were analyzed using GC–MS. E. blanda (yield 1.17%) was characterized by high levels of 1,8-cineole (29.0%) and camphor (17.0%). E. ciliata (1.02%) represented a possible limonene-dominant chemotype (71.0%). E. communis (1.91%) contained an exceptionally high proportion of rosefuran oxide (86.2%), whereas E. penduliflora (0.91%) exhibited a pronounced 1,8-cineole chemotype (92.1%). All essential oils showed antimicrobial activity against Staphylococcus aureus (MSSA and MRSA), Escherichia coli, and Candida albicans, with MIC values ranging from 0.4% to 3.2%. Except for E. ciliata against C. albicans, MBC/MIC and MFC/MIC ratios ≤ 4 indicated predominantly bactericidal or fungicidal effects. Molecular docking further identified nine of twenty-eight detected constituents as strong binders to microbial target proteins. These findings expand current knowledge on possible chemotypic diversity within the genus, particularly the discovery of a high-altitude limonene chemotype in E. ciliata and the identification of E. penduliflora as a rich natural source of 1,8-cineole. The convergence of chemical, biological, and in silico evidence supports the ethnomedicinal relevance of Elsholtzia species and highlights their potential as candidates for developing natural antimicrobial agents. Full article
Show Figures

Figure 1

18 pages, 1970 KB  
Article
Development and Evaluation of Platanus orientalis L. Extract-Loaded Liposomes for Enhanced Wound Healing
by Firdevs Demirel, Ali Asram Sağıroğlu, Gülbahar Özge Alim Toraman, Aysenur Gunaydin-Akyildiz, Zehra Keskin, Beyza Sümeyye Aydın and Gülaçtı Topçu
Pharmaceuticals 2026, 19(1), 32; https://doi.org/10.3390/ph19010032 - 23 Dec 2025
Viewed by 257
Abstract
Background/Objectives: Wound healing is a complex biological process influenced by inflammation, oxidative stress, and cellular regeneration. Plant-derived bioactive compounds have shown potential to accelerate tissue repair through antioxidant and anti-inflammatory mechanisms. This study aimed to develop and evaluate a Platanus orientalis extract-loaded [...] Read more.
Background/Objectives: Wound healing is a complex biological process influenced by inflammation, oxidative stress, and cellular regeneration. Plant-derived bioactive compounds have shown potential to accelerate tissue repair through antioxidant and anti-inflammatory mechanisms. This study aimed to develop and evaluate a Platanus orientalis extract-loaded liposomal formulation for potential wound-healing applications. Methods: Four polar extracts (P1–P4) were prepared using different solvent systems and extraction techniques and were characterized by LC-HRMS to determine their phytochemical profiles. Among the identified constituents, quercetin was consistently detected across all extracts and selected as the reference compound due to its well-known wound-healing activity. Liposomes were prepared via thin-film hydration followed by probe sonication and characterized for particle size, polydispersity index (PDI), zeta potential, encapsulation efficiency, and total drug content. In vitro release, cytotoxicity, and wound-healing assays were subsequently conducted to assess performance. Results: The optimized liposome formulation had a mean particle size of 106.6 ± 5.4 nm, a PDI of 0.11 ± 0.04, and a zeta potential of −14.1 ± 0.5 mV. Environmental scanning electron microscopy (ESEM) confirmed the nanosized spherical morphology and homogeneous vesicle distribution, supporting the successful development of the liposomal delivery system. Encapsulation efficiency and total drug content were determined as 72.25 ± 1.05% and 96.15 ± 0.14%, respectively. In vitro release studies demonstrated a biphasic pattern with an initial burst followed by a sustained release, reaching approximately 75% cumulative quercetin release within 24 h. Physical stability testing confirmed that the optimized liposomal formulation remained physically stable at 5 ± 3 °C for at least 60 days. The optimized formulation showed no cytotoxic effects on CDD-1079Sk fibroblast cells and exhibited significantly enhanced wound closure in vitro. Conclusions: These findings indicate that the liposomal delivery of Platanus orientalis extract provides a biocompatible and sustained-release system that enhances wound-healing efficacy, supporting its potential use in advanced topical therapeutic applications. Full article
Show Figures

Figure 1

12 pages, 1316 KB  
Article
Sustained Antifungal Protection of Peanuts Using Encapsulated Essential Oils
by Narjisse Mokhtari, Hammadi El Farissi, Francesco Cacciola, Yousra Mdarhri, Abderrahman Bouassab and Mohamed Chabbi
Molecules 2026, 31(1), 38; https://doi.org/10.3390/molecules31010038 - 22 Dec 2025
Viewed by 307
Abstract
Essential oils (EOs) are promising bio-preservatives for oilseeds; however, their high volatility and strong aroma limit practical applications. In this study, we developed a dual-size microencapsulated formulation of oregano (Origanum compactum) and myrtle (Myrthus communis) EOs (75:25, w/ [...] Read more.
Essential oils (EOs) are promising bio-preservatives for oilseeds; however, their high volatility and strong aroma limit practical applications. In this study, we developed a dual-size microencapsulated formulation of oregano (Origanum compactum) and myrtle (Myrthus communis) EOs (75:25, w/w) using gelatin–gum arabic complex coacervation, and evaluated its antifungal efficacy and effect on seed viability in peanuts. GC-MS analysis of the EO blend identified carvacrol (33.83%) as the dominant constituent. The microcapsules exhibited an encapsulation efficiency of 83.56% and were produced in a 70% small/30% large particle ratio to ensure both immediate and sustained vapor release. In vapor-phase assays against toxigenic A. flavus (RP-6), both free and encapsulated EOs inhibited fungal growth in a dose-dependent manner and achieved complete suppression at concentrations ≥0.2 µL mL−1, whereas the wall material alone showed no activity. In a 120-day microcosm storage experiment (0.2 mg EO g−1 kernels; 0.96 mg microcapsules g−1), treated peanuts showed an immediate reduction in total fungal load from 3.52 to 1.48 log10 CFU g−1 (≈58%), which stabilized near 1.42–1.43 log10 CFU g−1 up to 90 days, while the control samples increased to 4.25 log10 CFU g−1 by day 120. The formulation effectively suppressed major storage fungi, including Aspergillus sections Flavi and Nigri, Penicillium spp., Rhizopus, Fusarium, and Alternaria. The antioxidant activity (DPPH assay) was retained after encapsulation (IC50: 0.52 mg mL−1 encapsulated vs. 0.58 mg mL−1 free). Germination power remained comparable to the control throughout storage (≈50–52%), indicating no adverse impact on seed viability. These findings demonstrate that vapor-active, dual-size microencapsulation of oregano-myrtle EOs offers a practical and sustainable approach to enhance peanut safety during storage without compromising germination potential. Full article
(This article belongs to the Section Natural Products Chemistry)
Show Figures

Figure 1

13 pages, 1166 KB  
Communication
Potential Occurrence of Accessory Minerals in the Lower Mantle
by Oliver Tschauner
Minerals 2026, 16(1), 9; https://doi.org/10.3390/min16010009 - 22 Dec 2025
Viewed by 149
Abstract
In a seminal paper V.M. Goldschmidt pointed out that, in terms of volume of the constituent ions, Earth’s crust and mantle are basically a packing of negatively charged oxygen ions bound together by the volumetrically barely significant cations. Here, this statement is revisited [...] Read more.
In a seminal paper V.M. Goldschmidt pointed out that, in terms of volume of the constituent ions, Earth’s crust and mantle are basically a packing of negatively charged oxygen ions bound together by the volumetrically barely significant cations. Here, this statement is revisited using modern assessments of mantle composition and pressure-dependent ionic radii. It is found that the transition to the lower mantle marks a reduction in the O2− crystal ionic volume percentage from 86 to less than 80%, significant enough to suggest an overall reduced compatibility of less abundant elements within the first few hundred km of depth below that transition from lower-mantle to upper-mantle rock. An equivalent drop across both, the 410- and 670 km mantle discontinuities occurs for large polyhedral sites, which are the potential hosts for incompatible elements. Accordingly, most large ionic lithophiles and rare earth elements in the lower mantle are highly enriched in one minor phase, davemaoite. It is proposed that those minor and trace elements that are less compatible with this mineral, such as some of the high-field strength elements, are concentrated in yet unknown accessory minerals that potentially affect geochemical signatures of deep mantle-derived igneous rocks. Full article
Show Figures

Figure 1

17 pages, 4974 KB  
Article
Antidiabetic Potential of Sea Urchin Tripneustes gratilla Nanosuspension Based on In Vitro Enzyme Inhibition, In Vivo Evaluation, and Chemical Profiling Approaches
by Ahmed K. B. Aljohani, Aryam S. Alharbi, Asalah B. Alhazmi, Manhal N. Hudhayri, Israa B. Almuwallad, Maya A. Alhazmi, Shuruq M. Almohammadi, Atheer I. Alsaleh, Ahmed Aldhafiri, Heba M. Eltahir, Mekky M. Abouzied, Hamad Alrbyawi, Mohamed S. Mohamed, Mahran Mohamed Abdel-Emam and Fahd M. Abdelkarem
Curr. Issues Mol. Biol. 2026, 48(1), 8; https://doi.org/10.3390/cimb48010008 - 21 Dec 2025
Viewed by 206
Abstract
Diabetes mellitus represents one of the main health challenges worldwide, characterized by hyperglycemia and long-term serious microvascular and macrovascular complications. Marine organisms are a promising reservoir of bioactive metabolites for developing effective antidiabetic therapies with fewer side effects. The sea urchin Tripneustes gratilla [...] Read more.
Diabetes mellitus represents one of the main health challenges worldwide, characterized by hyperglycemia and long-term serious microvascular and macrovascular complications. Marine organisms are a promising reservoir of bioactive metabolites for developing effective antidiabetic therapies with fewer side effects. The sea urchin Tripneustes gratilla (T. gratilla) is widely distributed in the Red Sea, with limited reports of its pharmacological activities and chemical characterization. In this study, a nanosuspension formulation of T. gratilla extract (T. gratilla-NS) was developed to enhance the bioavailability of its bioactive constituents. This study investigated the antidiabetic potential of T. gratilla extract through an integrated approach encompassing chemical profiling of the extract, assessment of its alcoholic extract for in vitro inhibitory effects on α-amylase and α-glucosidase, and in vivo evaluation of T. gratilla-NS in an alloxan-induced diabetic rat model. We found that the alcoholic extract showed potent inhibitory action toward α-amylase with IC50 5.31 ± 0.05 µg/mL and moderate inhibitory activity toward α-glucosidase with IC50 21.36 ± 0.06 µg/mL. T. gratilla-NS significantly increased insulin levels, reduced blood glucose levels, and restored pancreatic damage. Furthermore, it enhanced the levels of superoxide dismutase and total antioxidant capacity with a concomitant decrease in malondialdehyde concentration in pancreatic tissue. The observed activities could be attributed to a wide array of diverse compounds, terpenes, mainly sesquiterpenes, diterpenes, steroids, and polyunsaturated fatty acids detected by GC-MS, compounds with a phenolic nucleus equal to 54.26 ± 1.27 mg. GAE/g of extract. This research highlights the dual role of T. gratilla-NS in combating diabetes and subsequently attenuating its associated complications. Full article
(This article belongs to the Section Molecular Medicine)
Show Figures

Figure 1

25 pages, 8513 KB  
Article
GNSS Determination of Vertical Movements from Ocean Tide Loading at Palmido, Korea’s Largest Tidal Range Site
by Seung-Jun Lee, Ji-Sung Kim and Hong-Sik Yun
Appl. Sci. 2026, 16(1), 32; https://doi.org/10.3390/app16010032 - 19 Dec 2025
Viewed by 179
Abstract
Accurate quantification of ocean tide loading (OTL) is essential for sustainable coastal geodetic monitoring, infrastructure stability assessment, and the interpretation of GNSS vertical displacement time series. This study analyzes long-term vertical displacements observed at the Palmido GNSS station, located in Korea’s largest tidal-range [...] Read more.
Accurate quantification of ocean tide loading (OTL) is essential for sustainable coastal geodetic monitoring, infrastructure stability assessment, and the interpretation of GNSS vertical displacement time series. This study analyzes long-term vertical displacements observed at the Palmido GNSS station, located in Korea’s largest tidal-range environment, to resolve dominant semi-diurnal and diurnal tidal constituents. Coherent-gain–corrected Fast Fourier Transform (FFT) and continuous wavelet analysis were applied to decompose the GNSS time series, with particular emphasis on the principal lunar (M2) and principal elliptical lunar (N2) constituents. The extracted tidal amplitudes and phases were benchmarked against the NAO99 ocean tide loading model after applying load Love number (LLN) and site-scale corrections. Quantitative evaluation demonstrates that the corrected NAO99 predictions reduce the root mean square difference (RMSD) of the M2 constituent from approximately 14.5 mm to 13.3 mm (≈8% improvement) and that of the N2 constituent from about 2.1 mm to 1.2 mm (≈40% improvement), compared to uncorrected model outputs. Linear regression analyses further show that amplitude scaling improves toward unity for M2 after correction, while maintaining strong phase coherence. Continuous wavelet scalograms reveal persistent semi-diurnal energy with a clear fortnightly modulation, whereas diurnal components appear intermittently and are more sensitive to local environmental conditions. These results demonstrate that combining coherent-gain–corrected FFT, time–frequency wavelet diagnostics, and physics-based NAO99 benchmarking significantly enhances the reliability and interpretability of GNSS-derived tidal loading estimates. The proposed workflow provides a transferable and reproducible framework for high-precision coastal deformation monitoring and long-term sustainability assessments in macrotidal environments. Full article
Show Figures

Figure 1

27 pages, 865 KB  
Article
Therapeutic Potential of Salvia rosmarinus: Seasonal and Geographical Variation in Phytochemical Composition, Bioactivity, and Synergistic Effects of Rosmarinic Acid with 5-FU
by Mariana Oalđe Pavlović, Milena Milutinović, Ana Alimpić Aradski, Uroš Gašić, Danijela Mišić, Petar D. Marin and Sonja Duletić-Laušević
Plants 2026, 15(1), 1; https://doi.org/10.3390/plants15010001 - 19 Dec 2025
Viewed by 303
Abstract
Salvia rosmarinus Spenn. (rosemary) is a medicinal and aromatic plant of notable pharmacological value. This study evaluated the therapeutic properties of rosemary leaves collected from two Serbian continental (L1, L2) and one Montenegrin Mediterranean (L3) locations, harvested in November (N), March (M), and [...] Read more.
Salvia rosmarinus Spenn. (rosemary) is a medicinal and aromatic plant of notable pharmacological value. This study evaluated the therapeutic properties of rosemary leaves collected from two Serbian continental (L1, L2) and one Montenegrin Mediterranean (L3) locations, harvested in November (N), March (M), and July (J). Extracts prepared with 70% methanol, 70% ethanol, and water were analyzed for chemical composition and biological activity. L3 extracts exhibited the highest polyphenolic content, with L3M methanolic extract showing the greatest total phenolic (134.60 mg GAE/g) and phenolic acid levels (211.96 mg CAE/g), and L3M ethanolic extract the highest flavonoid content (25.54 mg QE/g). LC/MS analysis identified 28 previously unreported compounds in Rosmarinus sp. extracts, revealing hydroxycinnamic acid derivatives and flavonoid O-glycosides as the main constituents in S. rosmarinus. The alcoholic extracts were rich in 1,8-cineole, camphor, borneol, terpinen-4-ol, and verbenone. L3 extracts demonstrated the strongest antioxidant and enzyme-inhibitory activities, often surpassing positive controls. L3J showed pronounced cytotoxicity against HCT-116 colorectal cancer cells (IC50 = 13.08 µg/mL after 24 h incubation), while showing non-cytotoxic effects on normal human keratinocytes (IC50 > 500 µg/mL). Finally, rosmarinic acid alone synergistically enhanced the cytotoxic effect of 5-fluorouracil (combination index < 0.8). This comprehensive study highlights the influence of geography, season, and solvent on phytochemical profile and bioactivity of rosemary extracts, emphasizing the therapeutic potential of distinct rosemary populations. Full article
Show Figures

Figure 1

19 pages, 3030 KB  
Article
Antibacterial and Antifungal Properties of Ocotea indecora Essential Oil and Its Nanoemulsion
by Francisco Paiva Machado, Julia C. Scaffo, Leonardo A. Pinto, Renata F. A. Pereira, Sorele Fiaux, Luiz Antonio M. Keller, Eduardo Ricci-Júnior, Ana Paula dos Santos Matos, Fabio Aguiar-Alves, Caio P. Fernandes, Jorge A. D. Duarte and Leandro Rocha
Pharmaceuticals 2025, 18(12), 1909; https://doi.org/10.3390/ph18121909 - 18 Dec 2025
Viewed by 232
Abstract
Background: Antimicrobial resistance and fungal contamination remain major threats to public health and agriculture, emphasizing the need for innovative alternatives. Plant-derived products are a promising alternative, and nanoformulations may further enhance their activity. Objective: This study investigated the antimicrobial potential of Ocotea indecora [...] Read more.
Background: Antimicrobial resistance and fungal contamination remain major threats to public health and agriculture, emphasizing the need for innovative alternatives. Plant-derived products are a promising alternative, and nanoformulations may further enhance their activity. Objective: This study investigated the antimicrobial potential of Ocotea indecora essential oil and its nanoemulsion. Methods/Results: The essential oil chemical characterization by GC-MS revealed sesquirosefuran (91.61%) as the main constituent. A factorial design guided the selection of an optimized nanoemulsion, which exhibited spherical nanometric droplets (79 nm and 0.029 PdI) with long-term stability. The essential oil inhibited the growth of Gram-positive and Gram-negative strains at 1 to 2 mg/mL, while the nanoemulsion enhanced bactericidal activity against Staphylococcus aureus. In contrast, antifungal assays revealed a more pronounced effect, with the nanoemulsion lowering the minimum inhibitory concentrations (625 µg/mL) against Thielaviopsis ethacetica, thereby enhancing the inhibitory activity of the essential oil (2.5 mg/mL). Morphological alterations, including thinner hyphae and impaired sporulation, were also detected, suggesting a reduction in fungal virulence. Conclusions: In summary, O. indecora essential oil shows promising antimicrobial potential, and nanoemulsification proved particularly effective in potentiating fungistatic activity while offering limited enhancement of bactericidal effects. The results support the potential of O. indecora derivatives as natural candidates for the development of novel antimicrobial strategies. Full article
(This article belongs to the Special Issue Essential Oil-Based Nanoemulsions)
Show Figures

Graphical abstract

30 pages, 24252 KB  
Article
EP9158H: An Immunoinformatics-Designed mRNA Vaccine Encoding Multi-Epitope Antigens and Dual TLR Agonists for Tuberculosis Prevention
by Mingming Zhang, Syed Luqman Ali, Yuan Tian, Aigul Abduldayeva, Shuang Zhou, Yajing An, Yufeng Li, Ruizi Ni, Lingxia Zhang, Yanhua Liu, Weiguo Sun and Wenping Gong
Bioengineering 2025, 12(12), 1378; https://doi.org/10.3390/bioengineering12121378 - 18 Dec 2025
Viewed by 331
Abstract
Background: Tuberculosis (TB) remains a pressing global health crisis. The inadequate efficacy of the BCG vaccine against adult pulmonary TB underscores the urgent need for novel, effective vaccines. This study aimed to design a novel mRNA vaccine candidate against TB using a [...] Read more.
Background: Tuberculosis (TB) remains a pressing global health crisis. The inadequate efficacy of the BCG vaccine against adult pulmonary TB underscores the urgent need for novel, effective vaccines. This study aimed to design a novel mRNA vaccine candidate against TB using a rational immunoinformatics approach. Methods: From 13 antigens, >12,000 epitopes were filtered to select 60 optimal peptides (36 CTL, 16 HTL, 8 B-cell), assembled into 25 scaffolds with 49 TLR2/4 agonist configurations. EP9158H underwent structural modeling, 100 ns molecular dynamics, docking, immune simulation, RNAfold, and conservation analysis across 76 strains. Results: EP9158H, encoding 15 CTL, 9 HTL, and 8 B-cell epitopes flanked by TLR2 agonist ESAT-6 and TLR4 agonist HBHA, emerged as the optimal candidate. All 32 constituent epitopes showed >81% conservation, with 81.25% exhibiting perfect identity across MTBC lineages. The scaffold demonstrated high solubility (0.531), broad population coverage (73.76% MHC-I, 88.91% MHC-II), optimal TLR2/4 docking scores (−1359.7 and −1348.3), and robust structural stability (ProSA Z-score −6.18; RMSD 22–27 Å). Immune simulation predicted strong Th1-biased T-cell responses and high levels of antibody titers. RNAfold analysis revealed stable mRNA secondary structures (MFE −1127.5 kcal/mol) supporting efficient translation. Conclusions: EP9158H integrates broad epitope coverage, dual TLR agonism, and validated stability. Compared to single-antigen vaccines, it offers superior strain coverage, enhanced innate activation, and mRNA advantages for CTL induction, warranting experimental validation. Full article
(This article belongs to the Section Cellular and Molecular Bioengineering)
Show Figures

Figure 1

Back to TopTop