Antibacterial and Antifungal Properties of Ocotea indecora Essential Oil and Its Nanoemulsion
Abstract
1. Introduction
2. Results
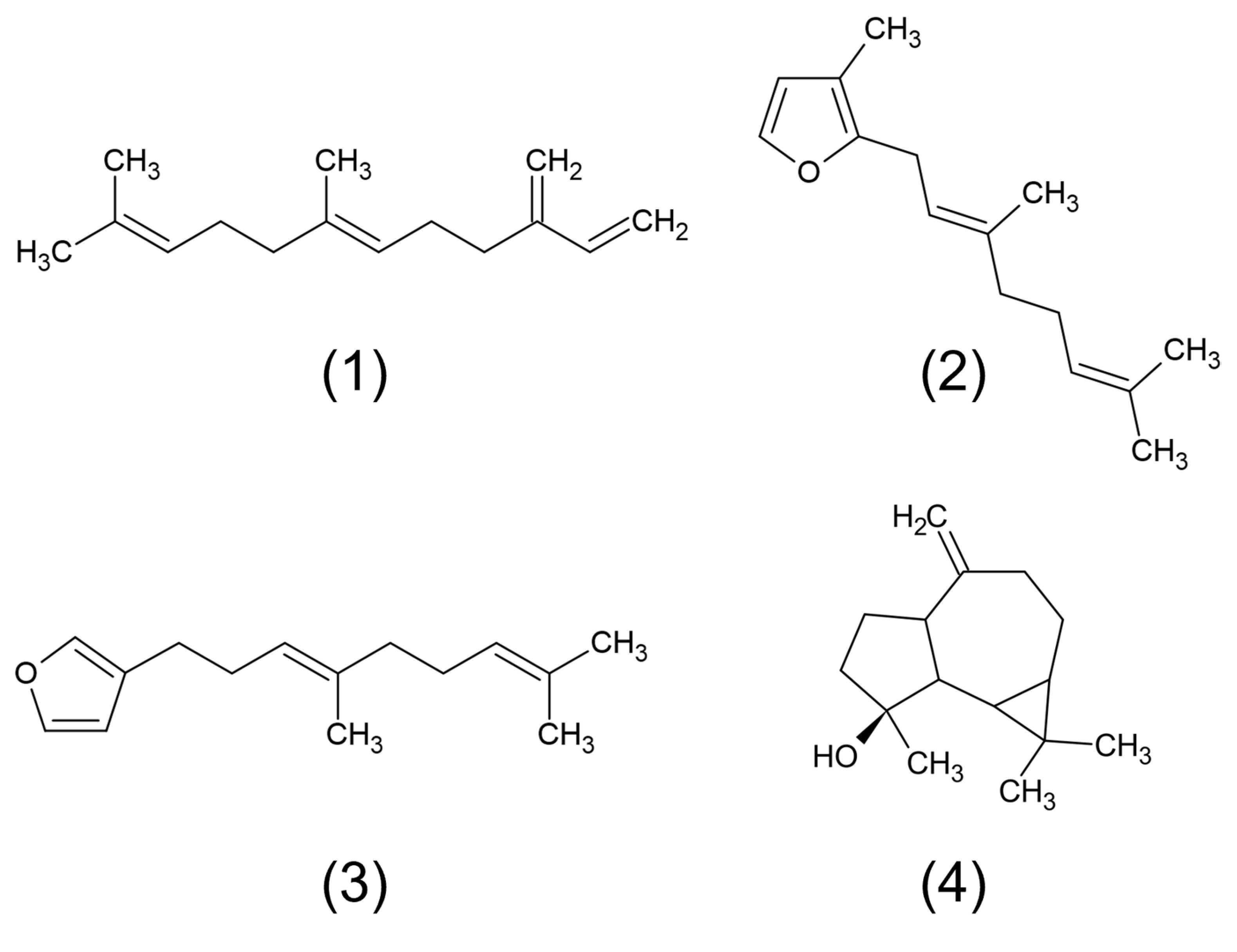
2.1. Essential Oil Characterization
2.2. Experimental Design
2.3. Nanoemulsion Stability
2.4. Antibacterial Assay
2.5. Antifungal Assays
2.5.1. Fungistatic Activity
2.5.2. Fungal Micromorphology
3. Discussion
4. Materials and Methods
4.1. Plant Material
4.2. Essential Oil Extraction
4.3. Essential Oil Characterization
4.4. Nanoemulsion Preparation and Characterization
4.5. Experimental Design 23
4.6. Nanoemulsion Stability
4.7. Bacterial and Fungal Strains
4.8. Antibacterial Evaluation
4.9. Antifungal Evaluation
4.10. Microculture Method Based on Poisoned Media
5. Conclusions
Supplementary Materials
Author Contributions
Funding
Institutional Review Board Statement
Informed Consent Statement
Data Availability Statement
Acknowledgments
Conflicts of Interest
References
- Salam, M.A.; Al-Amin, M.Y.; Salam, M.T.; Pawar, J.S.; Akhter, N.; Rabaan, A.A.; Alqumber, M.A.A. Antimicrobial Resistance: A Growing Serious Threat for Global Public Health. Healthcare 2023, 11, 1946. [Google Scholar] [CrossRef]
- Murni, I.K.; Duke, T.; Kinney, S.; Daley, A.J.; Wirawan, M.T.; Soenarto, Y. Risk Factors for Healthcare-Associated Infection among Children in a Low-and Middle-Income Country. BMC Infect. Dis. 2022, 22, 1–7. [Google Scholar] [CrossRef]
- Hyde, K.D.; Baldrian, P.; Chen, Y.; Thilini Chethana, K.W.; De Hoog, S.; Doilom, M.; de Farias, A.R.G.; Gonçalves, M.F.M.; Gonkhom, D.; Gui, H.; et al. Current Trends, Limitations and Future Research in the Fungi? Fungal Divers. 2024, 125, 1–71. [Google Scholar] [CrossRef]
- Eskola, M.; Kos, G.; Elliott, C.T.; Hajšlová, J.; Mayar, S.; Krska, R. Worldwide Contamination of Food-Crops with Mycotoxins: Validity of the Widely Cited ‘FAO Estimate’ of 25%. Crit. Rev. Food Sci. Nutr. 2020, 60, 2773–2789. [Google Scholar] [CrossRef] [PubMed]
- van Rhijn, N.; Rhodes, J. Evolution of Antifungal Resistance in the Environment. Nat. Microbiol. 2025, 10, 1804–1815. [Google Scholar] [CrossRef] [PubMed]
- Yarahmadi, A.; Najafiyan, H.; Yousefi, M.H.; Khosravi, E.; Shabani, E.; Afkhami, H.; Aghaei, S.S. Beyond Antibiotics: Exploring Multifaceted Approaches to Combat Bacterial Resistance in the Modern Era: A Comprehensive Review. Front. Cell. Infect. Microbiol. 2025, 15, 1493915. [Google Scholar] [CrossRef] [PubMed]
- Borges, A.F.; de Alcântara Neto, F.; da Silva Matos, K.; Júnior, J.E.A.B.; Júnior, N.S.M.; Moreira, S.I.; de Melo, M.P. Thielaviopsis ethacetica the Etiological Agent of Sugarcane Pineapple Sett Rot Disease in Brazil. Trop. Plant Pathol. 2019, 44, 460–467. [Google Scholar] [CrossRef]
- Nascimento, S.M.C.D.; Nakasone, A.K.; Neto, C.F.O.; Alves, K.F.; Sobrinho, R.S.A.; Conceição, S.S.; Campos, K.R.d.A.; Carvalho, E.d.A. Patogenicidade e Caracterização de Thielaviopsis ethacetica Em Palma de Óleo. Summa Phytopathol. 2020, 46, 236–241. [Google Scholar] [CrossRef]
- Yadav, A.; Kumar, A.; Singh, P.P.; Prakash, B. Pesticidal Efficacy, Mode of Action and Safety Limits Profile of Essential Oils Based Nanoformulation against Callosobruchus chinensis and Aspergillus flavus. Pestic. Biochem. Physiol. 2021, 175, 104813. [Google Scholar] [CrossRef]
- Angane, M.; Swift, S.; Huang, K.; Butts, C.A.; Quek, S.Y. Essential Oils and Their Major Components: An Updated Review on Antimicrobial Activities, Mechanism of Action and Their Potential Application in the Food Industry. Foods 2022, 11, 464. [Google Scholar] [CrossRef]
- Singha, B.; Singh, V.; Soni, V. Alternative Therapeutics to Control Antimicrobial Resistance: A General Perspective. Front. Drug Discov. 2024, 4, 1385460. [Google Scholar] [CrossRef]
- Wan, N.F.; Fu, L.; Dainese, M.; Kiær, L.P.; Hu, Y.Q.; Xin, F.; Goulson, D.; Woodcock, B.A.; Vanbergen, A.J.; Spurgeon, D.J.; et al. Pesticides Have Negative Effects on Non-Target Organisms. Nat. Commun. 2025, 16, 1–16. [Google Scholar] [CrossRef] [PubMed]
- Beyuo, J.; Sackey, L.N.A.; Yeboah, C.; Kayoung, P.Y.; Koudadje, D. The Implications of Pesticide Residue in Food Crops on Human Health: A Critical Review. Discov. Agric. 2024, 2, 1–19. [Google Scholar] [CrossRef]
- Gyawali, R.; Ibrahim, S.A. Natural Products as Antimicrobial Agents. Food Control. 2014, 46, 412–429. [Google Scholar] [CrossRef]
- Singh, B.K.; Tiwari, S.; Dubey, N.K. Essential Oils and Their Nanoformulations as Green Preservatives to Boost Food Safety against Mycotoxin Contamination of Food Commodities: A Review. J. Sci. Food Agric. 2021, 101, 4879–4890. [Google Scholar] [CrossRef]
- Baptista-Silva, S.; Borges, S.; Ramos, O.L.; Pintado, M.; Sarmento, B. The Progress of Essential Oils as Potential Therapeutic Agents: A Review. J. Essent. Oil Res. 2020, 32, 279–295. [Google Scholar] [CrossRef]
- Mutlu-Ingok, A.; Devecioglu, D.; Dikmetas, D.N.; Karbancioglu-Guler, F.; Capanoglu, E. Antibacterial, Antifungal, Antimycotoxigenic, and Antioxidant Activities of Essential Oils: An Updated Review. Molecules 2020, 25, 4711. [Google Scholar] [CrossRef]
- Marhamati, M.; Ranjbar, G.; Rezaie, M. Effects of Emulsifiers on the Physicochemical Stability of Oil-in-Water Nanoemulsions: A Critical Review. J. Mol. Liq. 2021, 340, 117218. [Google Scholar] [CrossRef]
- Vikal, A.; Maurya, R.; Patel, P.; Das Kurmi, B. Das Nanoemulsion Technology in Oral Drug Delivery: A Path to Enhanced Solubility and Bioavailability. Curr. Pharm. Des. 2025, 31, 2881–2896. [Google Scholar] [CrossRef]
- Garcia, C.R.; Malik, M.H.; Biswas, S.; Tam, V.H.; Rumbaugh, K.P.; Li, W.; Liu, X. Nanoemulsion Delivery Systems for Enhanced Efficacy of Antimicrobials and Essential Oils. Biomater. Sci. 2022, 10, 633–653. [Google Scholar] [CrossRef]
- Figueiredo, A.; Nascimento, L.M.; Lopes, L.G.; Giglioti, R.; Albuquerque, R.D.D.G.; Santos, M.G.; Falcão, D.Q.; Nogueira, J.A.P.; Rocha, L.; Chagas, A.C.S. First Report of the Effect of Ocotea elegans Essential Oil on Rhipicephalus (Boophilus) microplus. Vet. Parasitol. 2018, 252, 131–136. [Google Scholar] [CrossRef] [PubMed]
- Toledo, P.F.S.; da Cruz Araujo, S.H.; Mantilla Afanador, J.G.; Silva, A.C.F.; Machado, F.P.; Rocha, L.M.; Oliveira, E.E. Potential of Ocotea Indecora Essential Oil for Controlling Drosophila Suzukii: Molecular Predictions for Toxicity and Selectivity to Beneficial Arthropods. Neotrop. Entomol. 2024, 53, 189–199. [Google Scholar] [CrossRef] [PubMed]
- Nascimento, L.M.; Apolinario, R.; Machado, F.P.; Correa, A.L.; Caldas, G.R.; Ruppelt, B.M.; Souza, K.F.C.; Gouveia, G.; Burth, P.; Falcao, D.Q.; et al. Effects of Nanoemulsion and Essential Oil from the Leaves of Ocotea elegans against Dysdercus peruvianus. Res. Soc. Dev. 2020, 9, e909108424. [Google Scholar] [CrossRef]
- Machado, F.P.; Folly, D.; Salas Enriquez, J.J.; Mello, C.B.; Esteves, R.; Araújo, R.S.; Toledo, P.F.S.; Mantilla-Afanador, J.G.; Santos, M.G.; Oliveira, E.E.; et al. Nanoemulsion of Ocotea indecora (Shott) Mez Essential Oil: Larvicidal Effects against Aedes aegypti. Ind. Crops Prod. 2023, 192, 116031. [Google Scholar] [CrossRef]
- Pinto, L.d.A.; Machado, F.P.; Esteves, R.; Farias, V.M.; Köptcke, F.B.N.; Ricci-Junior, E.; Rocha, L.; Keller, L.A.M. Characterization and Inhibitory Effects of Essential Oil and Nanoemulsion from Ocotea indecora (Shott) Mez in Aspergillus Species. Molecules 2023, 28, 3437. [Google Scholar] [CrossRef]
- Paiva Machado, F.; da Silva Rangel, L.; Nunes Farias Gomes, K.; Albuquerque Dos Santos, J.A.; Xavier Faria, R.; Santos, M.G.; Fernandes, C.P.; Rocha, L. Potential of Ocotea indecora (Schott) Mez Essential Oil Nanoemulsion in Schistosomiasis Control: Molluscicidal Effects. Exp. Parasitol. 2024, 259, 108717. [Google Scholar] [CrossRef]
- Machado, F.P.; Diniz-dos-Santos, A.C.; de Queiroz, L.N.; Fernandes, C.P.; Rocha, L.; Robbs, B.K. Cell Death by Apoptosis Induced by Ocotea indecora (Schott) Mez Essential Oil in Different Cancer Cell Lines. Nat. Prod. Res. 2024; epub ahead of print. [Google Scholar] [CrossRef]
- Gonçalves, R.D.A.; Pinheiro, A.B.; De Oliveira, M.A.; Nascimento, R.T.D.; Rosalem, P.F.; Garcia, V.L.; Martins, A.R. Anatomical Characters and Chemical Profile of Leaves of Three Species in Lauraceae Family. Rev. Bras. De Farmacogn. 2018, 28, 1–8. [Google Scholar] [CrossRef]
- van Den Dool, H.; Kratz, P.D. A Generalization of the Retention Index System Including Linear Temperature Programmed Gas—Liquid Partition Chromatography. J. Chromatogr. A 1963, 11, 463–471. [Google Scholar] [CrossRef]
- Sadgrove, N.J.; Padilla-González, G.F.; Phumthum, M. Fundamental Chemistry of Essential Oils and Volatile Organic Compounds, Methods of Analysis and Authentication. Plants 2022, 11, 789. [Google Scholar] [CrossRef]
- Abdelmohsen, U.R.; Elmaidomy, A.H. Exploring the Therapeutic Potential of Essential Oils: A Review of Composition and Influencing Factors. Front. Nat. Prod. 2025, 4, 1490511. [Google Scholar] [CrossRef]
- Wu, F.; Chen, Y.; Gao, M.; Li, W.; Zhao, Y.; Wang, Y. An Updated Review on Essential Oils from Lauraceae Plants: Chemical Composition and Genetic Characteristics of Biosynthesis. Int. J. Mol. Sci. 2025, 26, 5690. [Google Scholar] [CrossRef] [PubMed]
- Kumar, A.; Kanwar, R.; Mehta, S.K. Nanoemulsion as an Effective Delivery Vehicle for Essential Oils: Properties, Formulation Methods, Destabilizing Mechanisms and Applications in Agri-Food Sector. Next Nanotechnol. 2025, 7, 100096. [Google Scholar] [CrossRef]
- Barradas, T.N.; de Holanda e Silva, K.G. Nanoemulsions of Essential Oils to Improve Solubility, Stability and Permeability: A Review. Environ. Chem. Lett. 2021, 19, 1153–1171. [Google Scholar] [CrossRef]
- McClements, D.J.; Jafari, S.M. General Aspects of Nanoemulsions and Their Formulation. In Nanoemulsions: Formulation, Applications, and Characterization; Elsevier Inc.: Amsterdam, The Netherlands, 2018; pp. 3–20. ISBN 9780128118399. [Google Scholar]
- Preeti; Sambhakar, S.; Malik, R.; Bhatia, S.; Al Harrasi, A.; Rani, C.; Saharan, R.; Kumar, S.; Geeta; Sehrawat, R. Nanoemulsion: An Emerging Novel Technology for Improving the Bioavailability of Drugs. Scientifica 2023, 2023, 6640103. [Google Scholar] [CrossRef]
- Mushtaq, A.; Mohd Wani, S.; Malik, A.R.; Gull, A.; Ramniwas, S.; Ahmad Nayik, G.; Ercisli, S.; Alina Marc, R.; Ullah, R.; Bari, A. Recent Insights into Nanoemulsions: Their Preparation, Properties and Applications. Food Chem. X 2023, 18, 100684. [Google Scholar] [CrossRef]
- O’Sullivan, J.J.; Park, M.; Beevers, J.; Greenwood, R.W.; Norton, I.T. Applications of Ultrasound for the Functional Modification of Proteins and Nanoemulsion Formation: A Review. Food Hydrocoll. 2017, 71, 299–310. [Google Scholar] [CrossRef]
- Alderees, F.; Akter, S.; Mereddy, R.; Sultanbawa, Y. Formulation, Characterization, and Stability of Food Grade Oil-in-Water Nanoemulsions of Essential Oils of Tasmannia lanceolata, Backhousia citriodora and Syzygium anisatum. J. Food Saf. 2022, 42, e13001. [Google Scholar] [CrossRef]
- Soni, M.; Yadav, A.; Maurya, A.; Das, S.; Dubey, N.K.; Dwivedy, A.K. Advances in Designing Essential Oil Nanoformulations: An Integrative Approach to Mathematical Modeling with Potential Application in Food Preservation. Foods 2023, 12, 4017. [Google Scholar] [CrossRef]
- Guo, Y.; Zhang, X.; Wang, X.; Zhang, L.; Xu, Z.; Sun, D. Nanoemulsions Stable against Ostwald Ripening. Langmuir 2024, 40, 1364–1372. [Google Scholar] [CrossRef]
- Nomentsoa, R.Z.; Judicael, R.L.; Ranjàna, R.H.; Manampisoa, R.A.; Doll, R.D.A.; Louis, J.V. Chemical Composition and Antibacterial Activities of the Essential Oils from Ocotea zahamenensis Van Der Werff (Lauraceae). GSC Biol. Pharm. Sci. 2021, 16, 115–125. [Google Scholar] [CrossRef]
- Betim, F.C.M.; de Oliveira, C.F.; de Souza, A.M.; Szabo, E.M.; Zanin, S.M.W.; Miguel, O.G.; Miguel, M.D.; Dias, J.d.F.G. Ocotea nutans (Nees) Mez (Lauraceae): Chemical Composition, Antioxidant Capacity and Biological Properties of Essential Oil. J. Pharm. Sci. 2019, 55, 18284. [Google Scholar] [CrossRef]
- Passos, B.G.; de Albuquerque, R.D.D.G.; Muñoz-Acevedo, A.; Echeverria, J.; Llaure-Mora, A.M.; Ganoza-Yupanqui, M.L.; Rocha, L. Essential Oils from Ocotea Species: Chemical Variety, Biological Activities and Geographic Availability. Fitoterapia 2022, 156, 105065. [Google Scholar] [CrossRef] [PubMed]
- de Almeida, R.S.; Ribeiro-Filho, J.; Freitas, P.R.; de Araújo, A.C.J.; dos Santos, E.L.; Tintino, S.R.; Moura, T.F.; Ferreira, V.A.; Ferreira, B.A.; Juno Alencar Fonseca, V.; et al. Enhancement of the Antibiotic Activity Mediated by the Essential Oil of Ocotea odorifera (Vell.) Rowher and Safrole Association. J. Infect. Public. Health 2022, 15, 373–377. [Google Scholar] [CrossRef]
- Cruz, E.M.O.; Mendonça, M.C.; Blank, A.F.; Sampaio, T.S.; Pinto, J.A.O.; Gagliardi, P.R.; Oliveira, L.F.G.; de Lima, R.S.N.; Nunes, R.S.; Warwick, D.R.N. Lippia gracilis Schauer Essential Oil Nanoformulation Prototype for the Control of Thielaviopis paradoxa. Ind. Crops Prod. 2018, 117, 245–251. [Google Scholar] [CrossRef]
- dos Santos, R.D.; Matos, B.N.; Freire, D.O.; da Silva, F.S.; do Prado, B.A.; Gomes, K.O.; de Araújo, M.O.; Bilac, C.A.; Rodrigues, L.F.S.; da Silva, I.C.R.; et al. Chemical Characterization and Antimicrobial Activity of Essential Oils and Nanoemulsions of Eugenia uniflora and Psidium guajava. Antibiotics 2025, 14, 93. [Google Scholar] [CrossRef]
- Monteiro, E.d.S.; da Silva, F.S.; Gomes, K.O.; Prado, B.A.D.; dos Santos, R.D.; da Camara, C.A.G.; de Moraes, M.M.; da Silva, I.C.R.; de Macêdo, V.T.; Gelfuso, G.M.; et al. Characterization and Determination of the Antibacterial Activity of Baccharis dracunculifolia Essential-Oil Nanoemulsions. Antibiotics 2023, 12, 1677. [Google Scholar] [CrossRef]
- Noshirvani, N. Essential Oils as Natural Food Preservatives: Special Emphasis on Antimicrobial and Antioxidant Activities. J. Food Qual. 2024, 2024, 5807281. [Google Scholar] [CrossRef]
- Barboucha, G.; Rahim, N.; Boulebd, H.; Bramki, A.; Andolfi, A.; Salvatore, M.M.; Masi, M. Chemical Composition, In Silico Investigations and Evaluation of Antifungal, Antibacterial, Insecticidal and Repellent Activities of Eucalyptus camaldulensis Dehn. Leaf Essential Oil from Algeria. Plants 2024, 13, 3229. [Google Scholar] [CrossRef]
- Freires, I.A.; Denny, C.; Benso, B.; De Alencar, S.M.; Rosalen, P.L. Antibacterial Activity of Essential Oils and Their Isolated Constituents against Cariogenic Bacteria: A Systematic Review. Molecules 2015, 20, 7329–7358. [Google Scholar] [CrossRef]
- Mbenoun, M.; de Beer, Z.W.; Wingfield, M.J.; Wingfield, B.D.; Roux, J. Reconsidering Species Boundaries in the Ceratocystis Paradoxa Complex, Including a New Species from Oil Palm and Cacao in Cameroon. Mycologia 2014, 106, 757–784. [Google Scholar] [CrossRef]
- Aparecido, C.C.; Azania, C.A.M. Podridão Abacaxi Em Cana-de-Açúcar. Comunicado Técnico 175. Instituto Biológico: São Paulo, Brazil, 2012. Available online: http://repositoriobiologico.com.br//jspui/handle/123456789/296 (accessed on 8 December 2025).
- Adams, R.P. Identification of Essential Oil Components by Gas Chromatography/Mass Spectroscopy, 4th ed.; Biochemical Systematics and Ecology; Allured Publishing: Carol Stream, IL, USA, 2007. [Google Scholar]
- El-Sayed, A. The Pherobase: Database of Pheromones and Semiochemicals. Available online: https://www.pherobase.com/ (accessed on 8 December 2025).
- de Siqueira, L.B.D.O.; dos Santos Matos, A.P.; da Silva Cardoso, V.; Villanova, J.C.O.; Guimarães, B.D.C.L.R.; de Santos, E.P.; Vermelho, A.B.; Santos-Oliveira, R.; Ricci-Junior, E. Clove Oil Nanoemulsion Showed Potent Inhibitory Effect against Candida spp. Nanotechnology 2019, 30, 425101. [Google Scholar] [CrossRef]
- Souza, D.P.; Pimentel, R.B.Q.; Santos, A.S.; Albuquerque, P.M.; Fernandes, A.V.; Junior, S.D.; Oliveira, J.T.A.; Ramos, M.V.; Rathinasabapathi, B.; Gonçalves, J.F.C. Fungicidal Properties and Insights on the Mechanisms of the Action of Volatile Oils from Amazonian Aniba Trees. Ind. Crops Prod. 2020, 143, 111914. [Google Scholar] [CrossRef]
- Rasband, W.S. ImageJ. U.S. National Institutes of Health: Bethesda, MD, USA, 2018. Available online: https://imagej.net/ij/ (accessed on 8 December 2025).







| RT (min) | AIRep | AILit | Substances | Relative Abundance (%) | |
|---|---|---|---|---|---|
| 1 | 25.485 | 1265 | 1454 | β-farnesene | 2.95 |
| 2 | 29.309 | 1554 | 1549 | Sesquirosefuran | 91.61 |
| 3 | 30.094 | 1574 | 1570 | Dendrolasin | 0.84 |
| 4 | 30.219 | 1578 | 1577 | Spathulenol | 0.89 |
| TOTAL | 96.29 | ||||
| Sesquiterpene hydrocarbons | 2.95 | ||||
| Oxygenated sesquiterpene | 93.34 | ||||
| Independent Variables | Dependent Variables | ||||
|---|---|---|---|---|---|
| Formulation | A | B | C | Droplet Size (nm) | Polydispersity Index |
| 1 | 2.0 | 10.0 | 20.0 | 178.0 ± 2.8 | 0.107 ± 0.015 |
| 2 | 10.0 | 10.0 | 20.0 | 198.5 ± 3.0 | 0.121 ± 0.018 |
| 3 | 2.0 | 15.0 | 20.0 | 79.1 ± 11.8 | 0.045 ± 0.020 |
| 4 | 10.0 | 15.0 | 20.0 | 157.5 ± 2.2 | 0.248 ± 0.017 |
| 5 | 2.0 | 10.0 | 100.0 | 109.8 ± 5.8 | 0.205 ± 0.033 |
| 6 | 10.0 | 10.0 | 100.0 | 151.0 ± 3.6 | 0.287 ± 0.026 |
| 7 | 2.0 | 15.0 | 100.0 | 72.0 ± 10.4 | 0.029 ± 0.021 |
| 8 | 10.0 | 15.0 | 100.0 | 136.3 ± 2.0 | 0.208 ± 0.012 |
| 9 | 6.0 | 12.5 | 60.0 | 108.6 ± 6.1 | 0.122 ± 0.020 |
| 10 | 6.0 | 12.5 | 60.0 | 90.55 ± 9.4 | 0.081 ± 0.010 |
| 11 | 6.0 | 12.5 | 60.0 | 94.45 ± 7.0 | 0.077 ± 0.012 |
| Days | 25 °C ± 2 | 8 °C ± 2 | 40 °C ± 2 | |||
|---|---|---|---|---|---|---|
| Size (nm) | PdI | Size (nm) | PdI | Size (nm) | PdI | |
| 0 | 76.56 ± 11.76 | 0.015 ± 0.010 | 78.36 ± 7.99 | 0.020 ± 0.005 | 81.05 ± 10.53 | 0.042 ± 0.008 |
| 7 | 83.46 ± 08.79 | 0.032 ± 0.011 b | 85.20 ± 8.86 | 0.055 ± 0.019 | 131.3 ± 5.76 e | 0.145 ± 0.023 f |
| 14 | 80.15 ± 10.50 | 0.054 ± 0.017 | 79.11 ± 12.30 | 0.107 ± 0.013 d | 96.83 ± 6.54 | 0.119 ± 0.010 f |
| 21 | 73.06 ± 09.82 | 0.051 ± 0.014 | 79.20 ± 10.10 | 0.023 ± 0.004 | 131.0 ± 6.01 e | 0.154 ± 0.025 f |
| 30 | 72.36 ± 09.88 | 0.056 ± 0.020 | 73.11 ± 10.28 | 0.034 ± 0.009 | 199.6 ± 1.81 e | 0.230 ± 0.047 f |
| 60 | 104.00 ± 04.63 a | 0.051 ± 0.013 | 94.84 ± 11.57 | 0.048 ± 0.014 | 128.8 ± 5.30 e | 0.161 ± 0.021 f |
| 90 | 71.81 ± 12.26 | 0.058 ± 0.012 | 122.1 ± 13.11 c | 0.210 ± 0.023 d | 135.9 ± 11.65 e | 0.146 ± 0.040 f |
| Strains | OiEO | Ne-OiEO | ||
|---|---|---|---|---|
| MIC | MBC | MIC | MBC | |
| Staphylococcus aureus ATCC 25923 (MSSA) | 1024 | 2048 | 1024 | 1024 |
| Staphylococcus aureus USA300 (MRSA) | 2048 | 2048 | 2048 | 2048 |
| Staphylococcus epidermidis ATCC 122282 | 2048 | 2048 | 048 | 2048 |
| Escherichia coli ATCC 25922 | >2048 | >2048 | >2048 | >2048 |
| Enterobacter cloacae ATCC 13047 | >2048 | >2048 | >2048 | >2048 |
| Pseudomonas aeruginosa ATCC 27853 | >2048 | >2048 | >2048 | >2048 |
| Klebsiella pneumoniae ATCC 13883 | >2048 | >2048 | >2048 | >2048 |
| Treatment | Fungi | MIC (µg/mL) a | IC50 (µg/mL) b | 95% IC50 | R2 | RMSE |
|---|---|---|---|---|---|---|
| Ne-OiEO | Th. ethacetica | 625 | 322.7 | 286.5–363.4 | 0.90 | 12.18 |
| OiEO | Th. ethacetica | 2500 | 1252.0 | 1154–1355 | 0.98 | 5.65 |
| Itraconazole * | Th. ethacetica | 0.31 | 0.1682 | 0.1532–0.1890 | 0.92 | 10.4 |
Disclaimer/Publisher’s Note: The statements, opinions and data contained in all publications are solely those of the individual author(s) and contributor(s) and not of MDPI and/or the editor(s). MDPI and/or the editor(s) disclaim responsibility for any injury to people or property resulting from any ideas, methods, instructions or products referred to in the content. |
© 2025 by the authors. Licensee MDPI, Basel, Switzerland. This article is an open access article distributed under the terms and conditions of the Creative Commons Attribution (CC BY) license (https://creativecommons.org/licenses/by/4.0/).
Share and Cite
Machado, F.P.; Scaffo, J.C.; Pinto, L.A.; Pereira, R.F.A.; Fiaux, S.; Keller, L.A.M.; Ricci-Júnior, E.; Matos, A.P.d.S.; Aguiar-Alves, F.; Fernandes, C.P.; et al. Antibacterial and Antifungal Properties of Ocotea indecora Essential Oil and Its Nanoemulsion. Pharmaceuticals 2025, 18, 1909. https://doi.org/10.3390/ph18121909
Machado FP, Scaffo JC, Pinto LA, Pereira RFA, Fiaux S, Keller LAM, Ricci-Júnior E, Matos APdS, Aguiar-Alves F, Fernandes CP, et al. Antibacterial and Antifungal Properties of Ocotea indecora Essential Oil and Its Nanoemulsion. Pharmaceuticals. 2025; 18(12):1909. https://doi.org/10.3390/ph18121909
Chicago/Turabian StyleMachado, Francisco Paiva, Julia C. Scaffo, Leonardo A. Pinto, Renata F. A. Pereira, Sorele Fiaux, Luiz Antonio M. Keller, Eduardo Ricci-Júnior, Ana Paula dos Santos Matos, Fabio Aguiar-Alves, Caio P. Fernandes, and et al. 2025. "Antibacterial and Antifungal Properties of Ocotea indecora Essential Oil and Its Nanoemulsion" Pharmaceuticals 18, no. 12: 1909. https://doi.org/10.3390/ph18121909
APA StyleMachado, F. P., Scaffo, J. C., Pinto, L. A., Pereira, R. F. A., Fiaux, S., Keller, L. A. M., Ricci-Júnior, E., Matos, A. P. d. S., Aguiar-Alves, F., Fernandes, C. P., Duarte, J. A. D., & Rocha, L. (2025). Antibacterial and Antifungal Properties of Ocotea indecora Essential Oil and Its Nanoemulsion. Pharmaceuticals, 18(12), 1909. https://doi.org/10.3390/ph18121909

