Sign in to use this feature.

Years

Between: -

Subjects

remove_circle_outline
remove_circle_outline
remove_circle_outline
remove_circle_outline
remove_circle_outline
remove_circle_outline
remove_circle_outline
remove_circle_outline
remove_circle_outline

Journals

remove_circle_outline
remove_circle_outline
remove_circle_outline
remove_circle_outline
remove_circle_outline
remove_circle_outline

Article Types

Countries / Regions

remove_circle_outline
remove_circle_outline
remove_circle_outline
remove_circle_outline
remove_circle_outline

Search Results (619)

Search Parameters:
Keywords = LiDAR intensity

Order results
Result details
Results per page
Select all
Export citation of selected articles as:
20 pages, 3790 KB  
Article
Characteristics of Planetary Boundary Layer Height (PBLH) over Shenzhen, China: Retrieval Methods and Air Pollution Conditions
by Yaqi Zhou, Yong Han, Zhiyuan Hu, Qicheng Zhou, Yan Liu, Li Dong and Peng Xiao
Remote Sens. 2025, 17(24), 3937; https://doi.org/10.3390/rs17243937 - 5 Dec 2025
Abstract
The PBLH affects the intensity of the surface turbulence and the state of pollutant dispersion. Current research on PBLH characteristics and their relationship with pollution in coastal megacities remains insufficient. Moreover, existing studies rarely evaluate the consistency of various boundary layer solution methods, [...] Read more.
The PBLH affects the intensity of the surface turbulence and the state of pollutant dispersion. Current research on PBLH characteristics and their relationship with pollution in coastal megacities remains insufficient. Moreover, existing studies rarely evaluate the consistency of various boundary layer solution methods, making it difficult to identify deviations in single methods. So, we conducted enhanced observation experiments in Shenzhen, a megacity in China, between March and July 2023. The characteristics of the PBLH was analyzed by five months of observations from Micro-Pulse Lidar (MPL) and Microwave Radiometer (MWR). Five retrieval methods (Parcel, GRA, STD, WCT, and Theta) were applied for comparative assessment. The results shows that all methods captured similar diurnal patterns. During daytime, the PBLH ranged from 512 to 1345 m, with Theta yielding the highest and STD the lowest average values. At night, PBLH decreased overall, and method-dependent differences persisted. Under different pollution levels, this study also discussion the properties of PBLH using MPL and microwave radiometer. And aerosol optical depth (AOD) and PBLH showed a strong negative correlation, indicating aerosol-induced suppression of boundary layer growth. The study of boundary layer characteristics in coastal megacities can provide reference for atmospheric physics research in economically developed coastal areas. Full article
Show Figures

Figure 1

19 pages, 2090 KB  
Article
Towards In-Vehicle Non-Contact Estimation of EDA-Based Arousal with LiDAR
by Jonas Brandstetter, Eva-Maria Knoch and Frank Gauterin
Sensors 2025, 25(23), 7395; https://doi.org/10.3390/s25237395 - 4 Dec 2025
Abstract
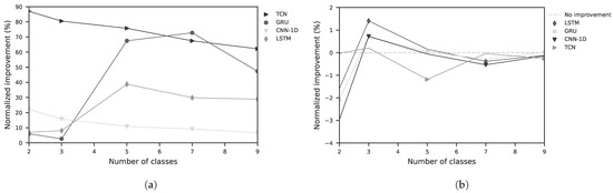
Driver monitoring systems are increasingly relying on physiological signals to assess cognitive and emotional states for improved safety and user experience. Electrodermal activity (EDA) is a particularly informative biomarker of arousal but is conventionally measured with skin-contact electrodes, limiting its applicability in vehicles. [...] Read more.
Driver monitoring systems are increasingly relying on physiological signals to assess cognitive and emotional states for improved safety and user experience. Electrodermal activity (EDA) is a particularly informative biomarker of arousal but is conventionally measured with skin-contact electrodes, limiting its applicability in vehicles. This work explores the feasibility of non-contact EDA estimation using Light Detection and Ranging (LiDAR) as a novel sensing modality. In a controlled laboratory setup, LiDAR reflection intensity from the forehead was recorded simultaneously with conventional finger-based EDA. Both classification and regression tasks were performed as follows: feature-based machine learning models (e.g., Random Forest and Extra Trees) and sequence-based deep learning models (e.g., CNN, LSTM, and TCN) were evaluated. Results demonstrate that LiDAR signals capture arousal-related changes, with the best regression model (Temporal Convolutional Network) achieving a mean absolute error of 14.6 on the normalized arousal factor scale (–50 to +50) and a correlation of r = 0.85 with ground-truth EDA. While random split validations yielded high accuracy, performance under leave-one-subject-out evaluation highlighted challenges in cross-subject generalization. The algorithms themselves were not the primary research focus but served to establish feasibility of the approach. These findings provide the first proof-of-concept that LiDAR can remotely estimate EDA-based arousal without direct skin contact, addressing a central limitation of current driver monitoring systems. Future research should focus on larger datasets, multimodal integration, and real-world driving validation to advance LiDAR towards practical in-vehicle deployment. Full article
(This article belongs to the Section Vehicular Sensing)
Show Figures

Figure 1

26 pages, 18496 KB  
Article
Turbulence and Windshear Study for Typhoon Wipha in 2025
by Ka Wai Lo, Ming Chun Lam, Kai Kwong Lai, Man Lok Chong, Pak Wai Chan, Yu Cheng Xue and E Deng
Appl. Sci. 2025, 15(23), 12772; https://doi.org/10.3390/app152312772 - 2 Dec 2025
Viewed by 189
Abstract
This paper reports on the study of turbulence at various locations in Hong Kong during Typhoon Wipha in July 2025, including turbulence intensity based on Doppler Light Detection and Ranging (LIDAR) systems and radiosondes, observations by microclimate stations, and low-level windshear and turbulence [...] Read more.
This paper reports on the study of turbulence at various locations in Hong Kong during Typhoon Wipha in July 2025, including turbulence intensity based on Doppler Light Detection and Ranging (LIDAR) systems and radiosondes, observations by microclimate stations, and low-level windshear and turbulence at the Hong Kong International Airport (HKIA) by LIDAR, flight data, and pilot reports. Although the observation period was primarily limited to 20 July 2025, passage of a typhoon over a densely instrumented urban area is uncommon; these observations on turbulent flow associated with typhoons therefore can serve as valuable benchmarks for similar studies on turbulent flow associated with typhoons in other coastal areas, particularly for operational alerts in aviation. To assess the predictability of turbulence, the eddy dissipation rate (EDR) was derived from a high-resolution numerical weather prediction (NWP) model using diagnostic and reconstruction approaches. Compared with radiosonde data, both approaches performed similarly in the shear-dominated low-level atmosphere, while the diagnostic approach outperformed when buoyancy became important. This result highlights the importance of incorporating buoyancy effects in the reconstruction approach if the EDR diagnostic is not available. The high-resolution NWP was also used to provide time-varying boundary conditions for computational fluid dynamics simulations in urban areas, and its limitations were discussed. This study also demonstrated the difficulty of capturing low-level windshear encountered by departing aircraft in an operational environment and demonstrated that a trajectory-aware method for deriving headwind could align more closely with onboard measurements than the standard fixed-path product. Full article
(This article belongs to the Special Issue Transportation and Infrastructures Under Extreme Weather Conditions)
Show Figures

Figure 1

31 pages, 11875 KB  
Article
A Comparative Analysis of Low-Cost Devices for High-Precision Diameter at Breast Height Estimation
by Jozef Výbošťok, Juliána Chudá, Daniel Tomčík, Julián Tomaštík, Roman Kadlečík and Martin Mokroš
Remote Sens. 2025, 17(23), 3888; https://doi.org/10.3390/rs17233888 - 29 Nov 2025
Viewed by 144
Abstract
Forestry is essential for environmental sustainability, biodiversity conservation, carbon sequestration, and renewable resource management. Traditional methods for forest inventory, particularly the manual measurement of diameter at breast height (DBH), are labor-intensive and prone to error. Recent advancements in proximal sensing, including lidar and [...] Read more.
Forestry is essential for environmental sustainability, biodiversity conservation, carbon sequestration, and renewable resource management. Traditional methods for forest inventory, particularly the manual measurement of diameter at breast height (DBH), are labor-intensive and prone to error. Recent advancements in proximal sensing, including lidar and photogrammetry, have paved the way for more efficient approaches, yet high costs remain a barrier to widespread adoption. This study investigates the potential of close-range photogrammetry (CRP) using low-cost devices, such as smartphones, cameras, and specialized handheld laser scanners (Stonex and LIVOX prototype), to generate 3D point clouds for accurate DBH estimation. We compared these devices by assessing their agreement and efficiency when compared to conventional methods in diverse forest conditions across multiple tree species. Additionally, we analyze factors influencing measurement errors and propose a comprehensive decision-making framework to guide technology selection in forest inventory. The results show that the lowest-cost devices and photogrammetric methods achieved the highest agreement with the conventional (caliper-based) measurements, while mobile applications were the fastest and least expensive but also the least accurate. Photogrammetry provided the most accurate DBH estimates (error ≈ 0.7 cm) but required the highest effort; handheld laser scanners achieved an average accuracy of about 1.5 cm at substantially higher cost, while mobile applications were the fastest and least expensive but also the least accurate (3–3.5 cm error). The outcomes of this research aim to facilitate more accessible, reliable, and sustainable forest management practices. Full article
Show Figures

Figure 1

17 pages, 11839 KB  
Article
Cylindrical Scan Context: A Multi-Channel Descriptor for Vertical-Structure-Aware LiDAR Localization
by Chulhee Bae, Gun Rae Cho, Jongho Bae, Sungho Park, Mangi Lee, Shin Kim and Jung Hyeun Park
Sensors 2025, 25(23), 7223; https://doi.org/10.3390/s25237223 - 26 Nov 2025
Viewed by 266
Abstract
This study introduces Cylindrical Scan Context (CSC), a novel LiDAR descriptor designed to improve robustness and efficiency in GPS-denied or degraded outdoor environments. Unlike the conventional Scan Context (SC), which relies on azimuth–range projection, CSC employs an azimuth–height representation that preserves vertical structural [...] Read more.
This study introduces Cylindrical Scan Context (CSC), a novel LiDAR descriptor designed to improve robustness and efficiency in GPS-denied or degraded outdoor environments. Unlike the conventional Scan Context (SC), which relies on azimuth–range projection, CSC employs an azimuth–height representation that preserves vertical structural information and incorporates multiple physical channels—range, point density, and reflectance intensity—to capture both geometric and radiometric characteristics of the environment. This multi-channel cylindrical formulation enhances descriptor distinctiveness and robustness against viewpoint, elevation, and trajectory variations. To validate the effectiveness of CSC, real-world experiments were conducted using both self-collected coastal–forest datasets and the public MulRan–KAIST dataset. Mapping was performed using LIO-SAM with LiDAR, IMU, and GPS measurements, after which LiDAR-only localization was evaluated independently. A total of approximately 700 query scenes (1 m ground-truth threshold) were used in the self-collected experiments, and about 1200 scenes (3 m threshold) were evaluated in the MulRan–KAIST experiments. Comparative analyses between SC and CSC were performed using Precision–Recall (PR) curves, Detection Recall (DR) curves, Root Mean Square Error (RMSE), and Top-K retrieval accuracy. The results show that CSC consistently yields lower RMSE—particularly in the vertical and lateral directions—and demonstrates faster recall growth and higher stability in global retrieval. Across datasets, CSC maintains superior DR performance in high-confidence regions and achieves up to 45% reduction in distance RMSE in large-scale campus environments. These findings confirm that the cylindrical multi-channel formulation of CSC significantly improves geometric consistency and localization reliability, offering a practical and robust LiDAR-only localization framework for challenging unstructured outdoor environments. Full article
(This article belongs to the Section Navigation and Positioning)
Show Figures

Figure 1

17 pages, 3213 KB  
Technical Note
A Study of Aircraft Wake Vortices at Hong Kong International Airport Using Short-Range LIDAR
by Tsui-Kwan Shiu, Lee-Yeung Ngai, Ping Cheung and Pak-Wai Chan
Appl. Sci. 2025, 15(23), 12466; https://doi.org/10.3390/app152312466 - 24 Nov 2025
Viewed by 188
Abstract
The wake vortex of an aircraft can be hazardous to aviation operations. Therefore, the International Civil Aviation Organization has established requirements regarding the separation of aircraft. In light of the current implementation of regulations, this systematic study was the first of its kind [...] Read more.
The wake vortex of an aircraft can be hazardous to aviation operations. Therefore, the International Civil Aviation Organization has established requirements regarding the separation of aircraft. In light of the current implementation of regulations, this systematic study was the first of its kind investigating wake vortices of aircraft at the new north runway of Hong Kong International Airport (HKIA). A short-range light detection and ranging (SR-LIDAR) system, previously installed by the Hong Kong Observatory at HKIA, performed range–height indicator scans at the recently commissioned north runway end to capture wake vortices of arriving aircraft. The lifetimes of the wake vortices were calculated, and the exit times of the vortices away from the runway were determined. Based on an analysis of data from a period of approximately eight weeks—mostly during summer with its prevailing southwestern monsoon—it was found that, as in a previous study, the displacement of vortices increased with the radial background velocity. Moreover, approximately 0.6% of aircraft may be susceptible to encountering the vortex left behind by the preceding aircraft. Analysis of data from a second period of approximately four weeks revealed that vortex lifetimes were negatively correlated with the magnitude of the turbulence intensity expressed in terms of the eddy dissipation rate. Correlations with various other meteorological and non-meteorological factors were not apparent. The results of the present study supplement previous work in Hong Kong with a site-specific dataset for the new commissioned north runway, provide validation of established principles with an initial assessment of operational risk of turbulence encounter, and pave the way for longer-term statistical analysis of the behaviour of aircraft wake vortices in the climate of Hong Kong. Full article
Show Figures

Figure 1

40 pages, 12756 KB  
Article
4D Pointwise Terrestrial Laser Scanning Calibration: Radiometric Calibration of Point Clouds
by Mansoor Sabzali and Lloyd Pilgrim
Sensors 2025, 25(22), 7035; https://doi.org/10.3390/s25227035 - 18 Nov 2025
Viewed by 379
Abstract
Terrestrial Laser Scanners (TLS), as monostatic LiDAR systems, emit and receive laser pulses through a single aperture, which ensures the simultaneous measurement of signal geometry and intensity. The relative intensity of a signal, defined as the ratio of received to transmitted power, directly [...] Read more.
Terrestrial Laser Scanners (TLS), as monostatic LiDAR systems, emit and receive laser pulses through a single aperture, which ensures the simultaneous measurement of signal geometry and intensity. The relative intensity of a signal, defined as the ratio of received to transmitted power, directly describes the strength and quality of the reflected signal and the corresponding radiometric uncertainty of individual points. The LiDAR range equation provides the physical connection for characterizing signal strength as a function of reflectivity and other spatial parameters. In this research, theoretical developments of the texture-dependent LiDAR range equation, in conjunction with a neural network method, are presented. The two-step approach aims to improve the accuracy of signal intensities by enhancing signal reflectivity estimation and the precision of signal intensities by reducing their sensitivity to variations in spatial characteristics—range and incidence angle. This establishes the intensity as the standard fourth dimension of the 3D point cloud based on the inherent target quality. For validation, four terrestrial laser scanners—Leica ScanStation P50, Leica ScanStation C10, Leica RTC360, and Trimble X9—are evaluated. Results demonstrate significant improvements of at least 40% in accuracy and 97% in precision for the color intensities of individual points across the devices. This research enables a 4D TLS point cloud calibration framework for further investigations on other internal and external geometries of targets (target materials, roughness, albedo, and edgy and tilted surfaces), which allows the standardization of radiometric values. Full article
(This article belongs to the Section Radar Sensors)
Show Figures

Figure 1

44 pages, 10199 KB  
Article
Predictive Benthic Habitat Mapping Reveals Significant Loss of Zostera marina in the Puck Lagoon, Baltic Sea, over Six Decades
by Łukasz Janowski, Anna Barańska, Krzysztof Załęski, Maria Kubacka, Monika Michałek, Anna Tarała, Michał Niemkiewicz and Juliusz Gajewski
Remote Sens. 2025, 17(22), 3725; https://doi.org/10.3390/rs17223725 - 15 Nov 2025
Viewed by 460
Abstract
This research presents a comprehensive analysis of the spatial extent and temporal change in benthic habitats within the Puck Lagoon in the southern Baltic Sea, utilizing integrated machine learning classification and multi-sourced remote sensing. Object-based image analysis was integrated with Random Forest, Support [...] Read more.
This research presents a comprehensive analysis of the spatial extent and temporal change in benthic habitats within the Puck Lagoon in the southern Baltic Sea, utilizing integrated machine learning classification and multi-sourced remote sensing. Object-based image analysis was integrated with Random Forest, Support Vector Machine, and K-Nearest Neighbors algorithms for benthic habitat classification based on airborne bathymetric LiDAR (ALB), multibeam echosounder (MBES), satellite bathymetry, and high-resolution aerial photography. Ground-truth data collected by 2023 field surveys were supplemented with long temporal datasets (2010–2023) for seagrass meadow analysis. Boruta feature selection showed that geomorphometric variables (aspect, slope, and terrain ruggedness index) and optical features (ALB intensity and spectral bands) were the most significant discriminators in each classification case. Binary classification models were more effective (93.3% accuracy in the presence/absence of Zostera marina) compared to advanced multi-class models (43.3% for EUNIS Level 4/5), which identified the inherent equilibrium between ecological complexity and map validity. Change detection between contemporary and 1957 habitat data revealed extensive Zostera marina loss, with 84.1–99.0% cover reduction across modeling frameworks. Seagrass coverage declined from 61.15% of the study area to just 9.70% or 0.63%, depending on the model. Seasonal mismatch may inflate loss estimates by 5–15%, but even adjusted values (70–94%) indicate severe ecosystem degradation. Spatial exchange components exhibited patterns of habitat change, whereas net losses in total were many orders of magnitude larger than any redistribution in space. These findings recorded the most severe seagrass habitat destruction ever described within Baltic Sea ecosystems and emphasize the imperative for conservation action at the landscape level. The methodology framework provides a reproducible model for analogous change detection analysis in shallow nearshore habitats, creating critical baselines to inform restoration planning and biodiversity conservation activities. It also demonstrated both the capabilities and limitations of automatic techniques for habitat monitoring. Full article
Show Figures

Figure 1

22 pages, 5851 KB  
Article
A Multi-Stage Deep Learning Framework for Multi-Source Cloud Top Height Retrieval from FY-4A/AGRI Data
by Yinhe Cheng, Long Shen, Jiulei Zhang, Hongjian He, Xiaomin Gu, Shengxiang Wang and Tinghuai Ma
Atmosphere 2025, 16(11), 1288; https://doi.org/10.3390/atmos16111288 - 12 Nov 2025
Viewed by 371
Abstract
Cloud Top Height (CTH), defined as the altitude of the highest cloud layer above mean sea level, is a crucial geophysical parameter for quantifying cloud radiative effects, analyzing severe weather systems, and improving climate models. To enhance the accuracy of CTH retrieval from [...] Read more.
Cloud Top Height (CTH), defined as the altitude of the highest cloud layer above mean sea level, is a crucial geophysical parameter for quantifying cloud radiative effects, analyzing severe weather systems, and improving climate models. To enhance the accuracy of CTH retrieval from Fengyun-4A (FY-4A) satellite data, this study proposes a multi-stage deep learning framework that progressively refines cloud parameter estimation. The method utilizes cloud information from the FY-4A/AGRI (Advanced Geosynchronous Radiation Imager) Level 1 calibrated scanning imager radiance data product to construct a multi-source data fusion neural network model. The model inputs combine multi-channel radiance data with cloud parameters, including Cloud Top Temperature (CTT) and Cloud Top Pressure (CTP). We used the CTH measurement data from the Cloud-Aerosol Lidar and Infrared Pathfinder Satellite Observations (CALIPSO) satellite as a reference to verify the model output. Results demonstrate that the proposed multi-stage model significantly improves retrieval accuracy. Compared to the official FY-4A CTH product, the Mean Absolute Error (MAE) was reduced by 49.12% to 2.03 km, and the Pearson Correlation Coefficient (PCC) reached 0.85. To test the applicability of the model under complex weather conditions, we applied it to the CTH inversion of the double typhoon event on 10 August 2019. The model successfully characterized the spatial distribution of CTH within the typhoon regions. The results are consistent with the National Satellite Meteorological Centre (NSMC) reports and clearly reveal the different intensity evolutions of the two typhoons. This research provides an effective solution for high-precision retrieval of high-level cloud CTH at a large scale, using geostationary meteorological satellite remote sensing data. Full article
(This article belongs to the Section Atmospheric Techniques, Instruments, and Modeling)
Show Figures

Figure 1

16 pages, 3174 KB  
Article
Online Mapping from Weight Matching Odometry and Highly Dynamic Point Cloud Filtering via Pseudo-Occupancy Grid
by Xin Zhao, Xingyu Cao, Meng Ding, Da Jiang and Chao Wei
Sensors 2025, 25(22), 6872; https://doi.org/10.3390/s25226872 - 10 Nov 2025
Viewed by 563
Abstract
Efficient locomotion in autonomous driving and robotics requires clearer visualization and more precise map. This paper presents a high accuracy online mapping including weight matching LiDAR-IMU-GNSS odometry and an object-level highly dynamic point cloud filtering method based on a pseudo-occupancy grid. The odometry [...] Read more.
Efficient locomotion in autonomous driving and robotics requires clearer visualization and more precise map. This paper presents a high accuracy online mapping including weight matching LiDAR-IMU-GNSS odometry and an object-level highly dynamic point cloud filtering method based on a pseudo-occupancy grid. The odometry integrates IMU pre-integration, ground point segmentation through progressive morphological filtering (PMF), motion compensation, and weight feature point matching. Weight feature point matching enhances alignment accuracy by combining geometric and reflectance intensity similarities. By computing the pseudo-occupancy ratio between the current frame and prior local submaps, the grid probability values are updated to identify the distribution of dynamic grids. Object-level point cloud cluster segmentation is obtained using the curved voxel clustering method, eventually leading to filtering out the object-level highly dynamic point clouds during the online mapping process. Compared to the LIO-SAM and FAST-LIO2 frameworks, the proposed odometry demonstrates superior accuracy in the KITTI, UrbanLoco, and Newer College (NCD) datasets. Meantime, the proposed highly dynamic point cloud filtering algorithm exhibits better detection precision than the performance of Removert and ERASOR. Furthermore, the high-accuracy online mapping is built from a real-time dataset with the comprehensive filtering of driving vehicles, cyclists, and pedestrians. This research contributes to the field of high-accuracy online mapping, especially in filtering highly dynamic objects in an advanced way. Full article
(This article belongs to the Special Issue Application of LiDAR Remote Sensing and Mapping)
Show Figures

Figure 1

14 pages, 6978 KB  
Article
Identification of Landslide Boundaries and Key Morphological Features Using UAV LiDAR Data: A Case Study in Surami, Georgia
by David Bakhsoliani, Archil Magalashvili and George Gaprindashvili
GeoHazards 2025, 6(4), 73; https://doi.org/10.3390/geohazards6040073 - 1 Nov 2025
Viewed by 545
Abstract
Identifying landslide boundaries and morphological features using traditional methods is labor-intensive, costly, and often limited—especially in areas altered by human activity or covered with dense vegetation. In such cases, modern remote sensing methods are considered a good alternative; however, their accuracy and reliability [...] Read more.
Identifying landslide boundaries and morphological features using traditional methods is labor-intensive, costly, and often limited—especially in areas altered by human activity or covered with dense vegetation. In such cases, modern remote sensing methods are considered a good alternative; however, their accuracy and reliability also depend on several factors. This study aims to identify landslide boundaries and morphological features using modern remote sensing techniques and to compare and validate the derived parameters with those obtained through traditional field methods. In this study, the remote sensing technology employed is a high-resolution digital elevation model (HRDEM) generated by a LiDAR sensor mounted on an unmanned aerial vehicle (UAV). Based on this dataset, various terrain parameters were analyzed, including slope, aspect, contour, curvature, hillshade, the topographic ruggedness index (TRI), the topographic position index (TPI), and the topographic wetness index (TWI). Individual analysis, composite analysis, and principal component analysis (PCA) of these parameters enabled the identification of the landslide boundaries and key morphological elements. This study was conducted on a landslide-prone slope in the Surami area of Georgia, which is characterized by extensive anthropogenic impact. The accuracy of the LiDAR-derived results was confirmed through field validation. This study demonstrates the effectiveness of UAV-LiDAR technology in areas affected by anthropogenic activity. Full article
(This article belongs to the Topic Remote Sensing and Geological Disasters)
Show Figures

Figure 1

21 pages, 16664 KB  
Article
Integrating UAV LiDAR and Multispectral Data for Aboveground Biomass Estimation in High-Andean Pastures of Northeastern Peru
by Angel J. Medina-Medina, Samuel Pizarro, Katerin M. Tuesta-Trauco, Jhon A. Zabaleta-Santisteban, Abner S. Rivera-Fernandez, Jhonsy O. Silva-López, Rolando Salas López, Renzo E. Terrones Murga, José A. Sánchez-Vega, Teodoro B. Silva-Melendez, Manuel Oliva-Cruz, Elgar Barboza and Alexander Cotrina-Sanchez
Sustainability 2025, 17(21), 9745; https://doi.org/10.3390/su17219745 - 31 Oct 2025
Viewed by 857
Abstract
Accurate estimation of aboveground biomass (AGB) is essential for monitoring forage availability and guiding sustainable management in high-altitude pastures, where grazing sustains livelihoods but also drives ecological degradation. Although remote sensing has advanced biomass modeling in rangelands, applications in Andean–Amazonian ecosystems remain limited, [...] Read more.
Accurate estimation of aboveground biomass (AGB) is essential for monitoring forage availability and guiding sustainable management in high-altitude pastures, where grazing sustains livelihoods but also drives ecological degradation. Although remote sensing has advanced biomass modeling in rangelands, applications in Andean–Amazonian ecosystems remain limited, particularly using UAV-based structural and spectral data. This study evaluated the potential of UAV LiDAR and multispectral imagery to estimate fresh and dry AGB in ryegrass (Lolium multiflorum Lam.) pastures of Amazonas, Peru. Field data were collected from subplots within 13 plots across two sites (Atuen and Molinopampa) and modeled using Random Forest (RF), Support Vector Machines, and Elastic Net. AGB maps were generated at 0.2 m and 1 m resolutions. Results revealed clear site- and month-specific contrasts, with Atuen yielding higher AGB than Molinopampa, linked to differences in climate, topography, and grazing intensity. RF achieved the best accuracy, with chlorophyll-sensitive indices dominating fresh biomass estimation, while LiDAR-derived height metrics contributed more to dry biomass prediction. Predicted maps captured grazing-induced heterogeneity at fine scales, while aggregated products retained broader gradients. Overall, this study shows the feasibility of UAV-based multi-sensor integration for biomass monitoring and supports adaptive grazing strategies for sustainable management in Andean–Amazonian ecosystems. Full article
(This article belongs to the Section Environmental Sustainability and Applications)
Show Figures

Figure 1

35 pages, 14904 KB  
Article
Effectiveness of Unmanned Aerial Vehicle-Based LiDAR for Assessing the Impact of Catastrophic Windstorm Events on Timberland
by Dipika Badal, Richard Cristan, Lana L. Narine, Sanjiv Kumar, Arjun Rijal and Manisha Parajuli
Drones 2025, 9(11), 756; https://doi.org/10.3390/drones9110756 - 31 Oct 2025
Viewed by 531
Abstract
The southeastern United States (US) is known for its highly productive forests, but they are under intense threat from increasing climate-induced windstorms like hurricanes and tornadoes. This study explored the effectiveness of unmanned aerial vehicles (UAVs) equipped with Light Detection and Ranging (LiDAR) [...] Read more.
The southeastern United States (US) is known for its highly productive forests, but they are under intense threat from increasing climate-induced windstorms like hurricanes and tornadoes. This study explored the effectiveness of unmanned aerial vehicles (UAVs) equipped with Light Detection and Ranging (LiDAR) to detect, classify, and map windstorm damage in ten pine-dominated forest stands (10–20 acres each). Three classification techniques, Random Forest (RF), Maximum Likelihood (ML), and Decision Tree (DT), were tested on two datasets: RGB imagery integrated with LiDAR-derived Canopy Height Model (CHM) and without LiDAR-CHM. Using LiDAR-CHM integrated datasets, RF achieved an average Overall Accuracy (OA) of 94.52% and a kappa coefficient (k) of 0.92, followed by ML (average OA = 89.52% and k = 0.85), and DT (average OA = 81.78% and k = 0.75). The results showed that RF consistently outperformed ML and DT in classification accuracy across all sites. Without LiDAR-CHM, the performance of all classifiers significantly declined, underscoring the importance of structural data in distinguishing among the classification categories (downed trees, standing trees, ground, and water). These findings highlight the role of UAV-derived LiDAR-CHM in improving classification accuracy for assessing the impact of windstorm damage on forest stands. Full article
Show Figures

Figure 1

20 pages, 14554 KB  
Article
High-Resolution Flood Risk Assessment in Small Streams Using DSM–DEM Integration and Airborne LiDAR Data
by Seung-Jun Lee, Yong-Sik Han, Ji-Sung Kim and Hong-Sik Yun
Sustainability 2025, 17(21), 9616; https://doi.org/10.3390/su17219616 - 29 Oct 2025
Viewed by 700
Abstract
Flood risk in small streams is rising under climate change, as small catchments are highly vulnerable to short, intense storms. We develop a high-resolution assessment that integrates a Digital Surface Model (DSM), a Digital Elevation Model (DEM), and airborne LiDAR within a MATLAB [...] Read more.
Flood risk in small streams is rising under climate change, as small catchments are highly vulnerable to short, intense storms. We develop a high-resolution assessment that integrates a Digital Surface Model (DSM), a Digital Elevation Model (DEM), and airborne LiDAR within a MATLAB (2025b) hydraulic workflow. A hybrid elevation model uses the DEM as baseline and selectively retains DSM-derived structures (levees, bridges, embankments), while filtering vegetation via DSM–DEM differencing with a 1.0 m threshold and a 2-pixel kernel. We simulate 10-, 30-, 50-, 100-, and 200-year return periods and calibrate the 200-year case to the July 2025 Sancheong event (793.5 mm over 105 h; peak 100 mm h−1). The hybrid approach improves predictions over DEM-only runs, capturing localized depth increases of 1.5–2.0 m behind embankments and reducing false positives in vegetated areas by 12–18% relative to raw DSM use. Multi-frequency maps show progressive expansion of inundation; in the 100-year scenario, 68% of the inundated area exceeds 2.0 m depth, while 0–1.0 m zones comprise only 13% of the footprint. Unlike previous DSM–DEM studies, this work introduces a selective integration approach that distinguishes structural and vegetative features to improve the physical realism of small-stream flood modeling. This transferable framework supports climate adaptation, emergency response planning, and sustainable watershed management in small-stream basins. Full article
Show Figures

Figure 1

6 pages, 1514 KB  
Proceeding Paper
ROS 2-Based Framework for Semi-Automatic Vector Map Creation in Autonomous Driving Systems
by Abdelrahman Alabdallah, Barham Jeries Barham Farraj and Ernő Horváth
Eng. Proc. 2025, 113(1), 13; https://doi.org/10.3390/engproc2025113013 - 28 Oct 2025
Viewed by 979
Abstract
High-definition vector maps, such as Lanelet2, are critical for autonomous driving systems, enabling precise localization, path planning, and regulatory compliance. However, creating and maintaining these maps traditionally demands labor-intensive manual annotation or resource-heavy automated pipelines. This paper presents an ROS 2-based framework for [...] Read more.
High-definition vector maps, such as Lanelet2, are critical for autonomous driving systems, enabling precise localization, path planning, and regulatory compliance. However, creating and maintaining these maps traditionally demands labor-intensive manual annotation or resource-heavy automated pipelines. This paper presents an ROS 2-based framework for semi-automatic vector map generation, leveraging Lanelet2 primitives to streamline map creation while balancing automation with human oversight. The framework integrates multi-sensor inputs (LIDAR, GPS/IMU) within ROS 2 to extract and fuse road features such as lanes, traffic signs, and curbs. The pipeline employs modular ROS 2 nodes for tasks including NDT and SLAM-based pose estimation and the semantic segmentation of drivable areas which serve as a basis for Lanelet2 primitives. To promote adoption, the implementation is released as an open source. This work bridges the gap between automated map generation and human expertise, advancing the practical deployment of dynamic vector maps in autonomous systems. Full article
(This article belongs to the Proceedings of The Sustainable Mobility and Transportation Symposium 2025)
Show Figures

Figure 1

Back to TopTop