Sign in to use this feature.

Years

Between: -

Subjects

remove_circle_outline
remove_circle_outline
remove_circle_outline
remove_circle_outline
remove_circle_outline
remove_circle_outline
remove_circle_outline
remove_circle_outline
remove_circle_outline

Journals

remove_circle_outline
remove_circle_outline
remove_circle_outline
remove_circle_outline

Article Types

Countries / Regions

remove_circle_outline
remove_circle_outline
remove_circle_outline
remove_circle_outline

Search Results (635)

Search Parameters:
Keywords = Large Eddy Simulation (LES)

Order results
Result details
Results per page
Select all
Export citation of selected articles as:
29 pages, 6838 KB  
Article
Flow-Field Modeling and Mixing Mechanisms of the Twin-Shaft Mixers Based on LBM–LES Coupling
by Wentao Zhao, Jianxiong Ye, Lin Li and Gaoan Zheng
Machines 2026, 14(1), 56; https://doi.org/10.3390/machines14010056 - 1 Jan 2026
Viewed by 189
Abstract
In modern industrial systems, twin-shaft mixers are key units for efficient mixing and reactions; their performance directly affects product quality, production cycle, and energy consumption across the chemical, pharmaceutical, food, and lithium-battery-slurry sectors. Systematic elucidation of the mixing mechanisms is hindered by strongly [...] Read more.
In modern industrial systems, twin-shaft mixers are key units for efficient mixing and reactions; their performance directly affects product quality, production cycle, and energy consumption across the chemical, pharmaceutical, food, and lithium-battery-slurry sectors. Systematic elucidation of the mixing mechanisms is hindered by strongly three-dimensional, unsteady, and nonlinear flow fields induced by the complex motions of the two shafts. To address these issues, an advanced coupled numerical model combining the lattice Boltzmann method (LBM) and large-eddy simulation (LES) in an integrated LBM–LES framework is developed, incorporating the Smagorinsky subgrid-scale model to capture small-scale turbulent dissipation under high-Reynolds-number conditions with fidelity. The model enables systematic simulations across configurations with varying blade counts, quantitatively revealing how blade count governs flow structures and mixing performance. The results show that blade count is a key design parameter for performance tuning. A four-blade configuration generates moderately strong, well-distributed turbulence and vortical structures in both the main-shaft and side-shaft regions. The generated turbulence and vortical structures, in turn, promote effective global blending and mass transfer while avoiding localized energy over concentration, unnecessary power loss, and overheating risk, thereby achieving an optimal balance among mixing efficiency, energy consumption, and operational stability. These findings provide a solid theoretical basis and a reliable numerical paradigm for the refined design and performance optimization of industrial mixing equipment. Full article
(This article belongs to the Section Machine Design and Theory)
Show Figures

Figure 1

15 pages, 9567 KB  
Article
Research on Aerodynamic Performance of Bionic Fan Blades with Microstructured Surface
by Meihong Gao, Xiaomin Liu, Meihui Zhu, Chun Shen, Zhenjiang Wei, Zhengyang Wu and Chengchun Zhang
Biomimetics 2026, 11(1), 19; https://doi.org/10.3390/biomimetics11010019 - 31 Dec 2025
Viewed by 232
Abstract
The frictional resistance of impeller machinery blades such as aircraft engines, gas turbines, and wind turbines has a decisive impact on their efficiency and energy consumption. Inspired by the micro-tooth structure on the surface of shark skin, microstructural drag reduction technology has become [...] Read more.
The frictional resistance of impeller machinery blades such as aircraft engines, gas turbines, and wind turbines has a decisive impact on their efficiency and energy consumption. Inspired by the micro-tooth structure on the surface of shark skin, microstructural drag reduction technology has become a cutting-edge research direction for improving aerodynamic performance and a continuous focus of researchers over the past 20 years. However, the significant difficulty in fabricating microstructures on three-dimensional curved surfaces has led to the limited widespread application of this technology in engineering. Addressing the issue of drag reduction and efficiency improvement for small axial flow fans (local Reynolds number range: (36,327–40,330), this paper employs Design of Experiments (DOE) combined with high-precision numerical simulation to clarify the drag reduction law of bionic microgroove surfaces and determine the dimensions of bionic microstructures on fan blade surfaces. The steady-state calculation uses the standard k-ω model and simpleFoam solver, while the unsteady Large Eddy Simulation (LES) employs the pimpleFoam solver and WALE subgrid-scale model. The dimensionless height (h+) and width (s+) of microgrooves are in the range of 8.50–29.75, and the micro-grooved structure achieves effective drag reduction. The microstructured surface is fabricated on the suction surface of the blade via a spray coating process, and the dimensions of the microstructures are determined according to the drag reduction law of grooved flat plates. Aerodynamic performance tests indicate that the shaft power consumed by the bionic fan blades during the tests is significantly reduced. The maximum static pressure efficiency of the bionic fan with micro-dimples is increased by 2.33%, while that of the bionic fan with micro-grooves is increased by 3.46%. The fabrication method of the bionic microstructured surface proposed in this paper is expected to promote the engineering application of bionic drag reduction technology. Full article
(This article belongs to the Section Biomimetic Surfaces and Interfaces)
Show Figures

Graphical abstract

18 pages, 25691 KB  
Article
CFD Investigation of Melt Breakup Dynamics Induced by Delivery Tube End Geometry Configuration in Close-Coupled Gas Atomization
by Yi Wang, Bao Wang, Jianan Zhou and Changyong Chen
Metals 2026, 16(1), 43; https://doi.org/10.3390/met16010043 - 29 Dec 2025
Viewed by 196
Abstract
The breakup process of molten metal is the most critical stage in atomization powder production. Conducting systematic research on the breakup process of molten metal during gas atomization is highly significant for understanding the formation mechanism of droplets. In this study, a mathematical [...] Read more.
The breakup process of molten metal is the most critical stage in atomization powder production. Conducting systematic research on the breakup process of molten metal during gas atomization is highly significant for understanding the formation mechanism of droplets. In this study, a mathematical model suitable for investigating the breakup mechanism of molten aluminum in high-speed gas atomization was developed by coupling large eddy simulation (LES) with the volume of fluid (VOF) model, incorporating adaptive mesh refinement technology and periodic boundary conditions. Furthermore, the breakup behavior of molten aluminum in two close-coupled atomizers with distinct delivery tube end geometric (non-expanded type and expanded type, abbreviated as ET atomizer and NET atomizer) were compared. The development of surface waves, as well as the formation mechanisms of liquid cores, liquid ligaments, and liquid droplets during gas atomization, were systematically analyzed. The results indicated that Kelvin–Helmholtz instability was the predominant factor contributing to the primary breakup of molten metals. For the NET atomizer, the recirculation zone predominantly governed the primary breakup of molten metal, whereas the nitrogen main jet primarily controlled the secondary breakup. In the case of ET atomizer, under the influence of atomizing gas, a “conical” liquid core gradually formed, and numerous primary liquid droplets separated from the liquid core before undergoing secondary breakup. Compared to the ET atomizer, the NET atomizer produced droplets with a smaller average size. Full article
Show Figures

Figure 1

22 pages, 6046 KB  
Article
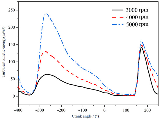
Research on the Energy Conversion Mechanism of Engine Speed, Turbulence and Combustion Stability Based on Large Eddy Simulation
by Zijian Zhang, Milan Cheng, Hui Wang, Shengkai Zhou, Song Zhang, Mingzhang Pan, Wei Guan, Mantian Li and Hailang Sang
Energies 2026, 19(1), 175; https://doi.org/10.3390/en19010175 - 29 Dec 2025
Viewed by 184
Abstract
Cycle-to-cycle variation (CCV) is an inherent phenomenon in internal combustion engines that poses significant limitations on thermal efficiency in energy conversion. This variation can also cause structural damage. Other negative effects include increased noise and elevated emissions. This research employs large eddy simulation [...] Read more.
Cycle-to-cycle variation (CCV) is an inherent phenomenon in internal combustion engines that poses significant limitations on thermal efficiency in energy conversion. This variation can also cause structural damage. Other negative effects include increased noise and elevated emissions. This research employs large eddy simulation (LES) coupled with the G-equation model and detailed SAGE chemistry to investigate the impact of varying engine speeds on cyclic variability and energy conversion, which focuses specifically on CCV phenomena. Unlike previous studies that focus primarily on statistical pressure variations, this work uncovers the causal link between the initial flame kernel morphology and the propensity for end-gas auto-ignition. The results demonstrate that increasing engine speed significantly enhances in-cylinder turbulence intensity. Specifically, the maximum turbulence energy at 5000 rpm is about 85% higher than that at 4000 rpm. The maximum turbulence energy at 4000 rpm is about 103% higher than that at 3000 rpm. Speed alterations also change the initial conditions of temperature and fuel distribution that have a major impact on CCV characteristics. As engine speed increases from 3000 rpm to 5000 rpm, the coefficient of variation in the maximum peak pressure decreases from 14.9% to 9.48%. The coefficient of variation follows a decreasing then increasing trend with the values ranging from 7.8% to 8.1%. While a moderate increase in engine speed can reduce peak pressure fluctuation and improve combustion stability, excessively high speeds may induce delayed flame propagation and instability in kernel development, which can exacerbate the combustion phasing variations. The propensity for exhaust gas auto-ignition near the intake valve increases to raise the risk of engine knocking. Our research findings underscore the critical balancing role of engine speed in optimizing energy conversion and provide a basis for mitigating engine knock. Full article
(This article belongs to the Section F5: Artificial Intelligence and Smart Energy)
Show Figures

Figure 1

19 pages, 3416 KB  
Article
Effect of Initial Temperature and Hydrogen/Oxygen Concentration on Minimum Ignition Energy of Cryogenic Hydrogen–Air Mixtures in Liquid Hydrogen Leakage Scenarios
by Lijuan Liu, Miao Li, Lei Huang, Yuhang Ding, Mengru Li, Xianfeng Chen, Chuyuan Huang, Youbang Yue, Weixi Hu and Xincheng Wang
Fire 2026, 9(1), 18; https://doi.org/10.3390/fire9010018 - 27 Dec 2025
Viewed by 448
Abstract
Hydrogen, a promising alternative to conventional fuels, presents significant combustion hazards due to its low minimum ignition energy (MIE) and wide flammability range (4–75 vol.%). The risks are amplified with liquid hydrogen (LH2), which has an extremely low boiling point (20.3 [...] Read more.
Hydrogen, a promising alternative to conventional fuels, presents significant combustion hazards due to its low minimum ignition energy (MIE) and wide flammability range (4–75 vol.%). The risks are amplified with liquid hydrogen (LH2), which has an extremely low boiling point (20.3 K) and high diffusivity. Once released, LH2 vaporizes rapidly and mixes with ambient air. This process forms a cryogenic and highly flammable cloud, which significantly increases ignition and explosion hazards. Therefore, a comprehensive understanding of the MIE of cryogenic hydrogen–air mixtures is crucial for quantitative risk assessment. This work develops and validates a numerical algorithm for predicting the MIE of hydrogen–air mixtures at cryogenic temperatures (down to 93 K) across a wide range of hydrogen concentrations (10~50 vol.%) and oxygen concentration ratios [O2/(O2 + N2) = 21~52%]. By coupling a detailed H2/O2 reaction mechanism with a large eddy simulation (LES) turbulence model, this algorithm demonstrates high reliability and accuracy. The results indicate (1) an exponential increase in MIE with decreasing initial temperature; (2) a U-shaped dependence of MIE on hydrogen concentration, with the minimum occurring near 25% hydrogen concentration; (3) an asymptotic dependence of MIE on oxygen concentration ratio, particularly at 40% hydrogen concentration. The initial temperature has the greatest influence on MIE; hydrogen concentration is the second; and the oxygen concentration ratio has the weakest influence. This study provides a theoretical framework and a practical computational tool for assessing and mitigating cryogenic ignition associated with LH2 leakage, thereby enabling safer application of liquid hydrogen technologies. Full article
Show Figures

Figure 1

18 pages, 2214 KB  
Article
Requirement for Higher-Order Viscous Discretization to Avoid Numerical Contamination of Subgrid-Scale Model-Constant Estimates in a Linearly Forced Taylor-Flow Benchmark
by Xuanyou Gong, Hiroki Suzuki, Kento Tanaka and Toshinori Kouchi
Fluids 2026, 11(1), 5; https://doi.org/10.3390/fluids11010005 - 26 Dec 2025
Viewed by 153
Abstract
This study quantifies how viscous-term discretization errors contaminate subgrid-scale (SGS) model-constant estimates when SGS eddy viscosity is tuned to satisfy an energy budget. A linearly forced, steady two-dimensional low-Reynolds-number Taylor-flow benchmark is used: it preserves global kinetic energy analytically, and the forcing cancels [...] Read more.
This study quantifies how viscous-term discretization errors contaminate subgrid-scale (SGS) model-constant estimates when SGS eddy viscosity is tuned to satisfy an energy budget. A linearly forced, steady two-dimensional low-Reynolds-number Taylor-flow benchmark is used: it preserves global kinetic energy analytically, and the forcing cancels the viscous term without altering the convective–pressure balance when incompressibility holds. Large-eddy simulations on staggered grids (5624802) employ second-, fourth- and sixth-order central differences for the viscous term and second- or fourth-order convective schemes. SGS stresses are represented by the Vreman model, used to probe numerical error–SGS interaction rather than to validate three-dimensional turbulence physics. Energy errors arise almost exclusively from the viscous discretization and scale as Δxm (m=2,4,6). Balancing this truncation error with SGS dissipation (CvΔx2) yields the theoretical scaling CvΔxm2. For a second-order viscous scheme, the required Cv becomes Δx-independent, Re-dependent, and far above practical LES values, showing that tuning can serve as a numerical band-aid and undermine quantitative constant estimation. With fourth- or higher-order viscous discretization, the required Cv decays rapidly with refinement; when Cv is adjusted, global energy is recovered and RMS velocity errors decay with viscous accuracy, while convective-order effects remain minor. Full article
(This article belongs to the Special Issue Computational Fluid Dynamics Applied to Transport Phenomena)
Show Figures

Figure 1

19 pages, 8193 KB  
Article
Numerical and Experimental Analysis of Whistling Sound Generation and Suppression in Narrow-Gap Flow of Vehicle Side-View Mirror
by Kwongi Lee, Sangheon Lee, Cheolung Cheong, Sungnam Rim and Seongryong Shin
Appl. Sci. 2026, 16(1), 31; https://doi.org/10.3390/app16010031 - 19 Dec 2025
Viewed by 246
Abstract
This study investigates the generation and suppression of the whistling noise caused by flow through the narrow gap of a vehicle’s side mirror, an aerodynamic phenomenon often reported as a source of discomfort to passengers. The research employs a simultaneous approach, combining wind [...] Read more.
This study investigates the generation and suppression of the whistling noise caused by flow through the narrow gap of a vehicle’s side mirror, an aerodynamic phenomenon often reported as a source of discomfort to passengers. The research employs a simultaneous approach, combining wind tunnel experiments to determine the geometries and wind conditions at a flow speed of 22 m/s contributing to whistle generation at between 7 kHz and 8 kHz with numerical simulations utilizing compressible Large Eddy Simulation (LES) techniques for an in-depth investigation of the underlying aerodynamics. The Simplified Side-mirror Model (SSM) is developed, enabling precise wind visualization, and facilitating the identification of fundamental aerodynamic sound sources via vortex sound theory. The analysis reveals that the whistling sound is intricately linked to edge tone phenomena, driven by vortex shedding and flow instabilities at the angled shape in a narrow gap. Building on these insights, the study introduces the Suppressed Whistle Model (SWM), a configuration including shapes resembling a vortex generator that successfully mitigates the whistling by disrupting the identified flow structures causing the whistling sound. The suggested design is validated through wind visualization, comparing the numerical flow structures with the experimental ones. The experimental whistling sound pressure level of SWM decreases by about 20 dB compared to SSM, and a similar trend can be confirmed in the numerical results. Full article
(This article belongs to the Section Acoustics and Vibrations)
Show Figures

Figure 1

14 pages, 2745 KB  
Article
Effect of Air/Fuel Burning Pattern on NO Emission Characteristics for NH3/CH4 Cofiring Flames
by Xuehui Jing, Qiang Xu, Zirui Liu and Aiwu Fan
Energies 2025, 18(24), 6602; https://doi.org/10.3390/en18246602 - 17 Dec 2025
Viewed by 193
Abstract
Ammonia (NH3) is a promising zero-carbon fuel, but it faces critical challenges in combustion utilization, especially NO emission. Intensive previous studies have been carried out to deepen the understanding towards NH3 combustion and NO emission characteristics but most of them [...] Read more.
Ammonia (NH3) is a promising zero-carbon fuel, but it faces critical challenges in combustion utilization, especially NO emission. Intensive previous studies have been carried out to deepen the understanding towards NH3 combustion and NO emission characteristics but most of them focus on the premixed combustion mode. This work conducts both experiments and large-eddy simulations (LESs) for various NH3/CH4 mixtures, from pure methane to pure ammonia, under both premixed and non-premixed combustion modes, to gain a clear insight into the NO emission performance and formation mechanism of the two combustion modes. It is shown that the non-premixed combustion exhibits a stratified flame appearance, mainly due to the different reactivity between CH4 and NH3. Accordingly, the non-premixed combustion mode produces the lower NO emission across all NH3 blending ratios with respect to its premixed counterpart. Further, LES results show that the flame stratification is responsible for the lower NO emission by creating a strong fuel-rich region in the combustor center where a part of NH3 undergoes thermal cracking into H2 and N2. In addition, the performance of several existing NH3/CH4 mechanism models is estimated by comparing the predicted NO emissions against the present experimental measurement for both premixed and non-premixed mixing patterns, and the present proposed model shows the lowest error among the candidates. Full article
(This article belongs to the Special Issue Heat Transfer and Advanced Combustion)
Show Figures

Figure 1

26 pages, 8084 KB  
Article
Multi-Scale Validation of CFD Simulations for Pollutant Dispersion Around Buildings
by Chao Wang, Wei Wang, Jue Qu, Qingli Wang, Xuan Wang and Xinwei Liu
Processes 2025, 13(12), 4076; https://doi.org/10.3390/pr13124076 - 17 Dec 2025
Viewed by 361
Abstract
This study establishes a multi-scale validation framework for Computational Fluid Dynamics (CFD) simulations of building-induced pollutant dispersion, integrating wind tunnel experiments, the CEDVAL benchmark dataset, and field measurements from a thermal power plant that serves as a proxy for nuclear facilities. The RNG [...] Read more.
This study establishes a multi-scale validation framework for Computational Fluid Dynamics (CFD) simulations of building-induced pollutant dispersion, integrating wind tunnel experiments, the CEDVAL benchmark dataset, and field measurements from a thermal power plant that serves as a proxy for nuclear facilities. The RNG k-ε and Large Eddy Simulation (LES) models were evaluated across these validation tiers. Results demonstrate that both models effectively capture key flow characteristics, with LES showing superior performance in predicting roof-level velocity and turbulence intensities. A systematic overestimation of rooftop and leeward concentrations was observed, though predictive accuracy improved with downwind distance (e.g., FAC2 > 0.5). The RNG k-ε model provided the best balance between accuracy and computational efficiency for engineering applications, while LES is recommended for high-fidelity near-field analysis. This work provides validated methodologies for environmental risk assessment in nuclear power planning and emission control strategy development. Full article
(This article belongs to the Section Process Control and Monitoring)
Show Figures

Figure 1

23 pages, 8350 KB  
Article
Quantifying Swirl Number Effects on Recirculation Zones and Vortex Dynamics in a Dual-Swirl Combustor
by Hafiz Ali Haider Sehole, Ghazanfar Mehdi, Rizwan Riaz, Absaar Ul Jabbar, Adnan Maqsood and Maria Grazia De Giorgi
Energies 2025, 18(24), 6568; https://doi.org/10.3390/en18246568 - 16 Dec 2025
Viewed by 476
Abstract
Swirl-stabilized combustors are central to gas turbine technology, where the swirl number critically determines flow structure and combustion stability. This work systematically investigates the isothermal flow in a dual-swirl combustor, focusing on two primary objectives: evaluating advanced turbulence models and quantifying the impact [...] Read more.
Swirl-stabilized combustors are central to gas turbine technology, where the swirl number critically determines flow structure and combustion stability. This work systematically investigates the isothermal flow in a dual-swirl combustor, focusing on two primary objectives: evaluating advanced turbulence models and quantifying the impact of geometric-induced swirl number variations. Large Eddy Simulation (LES), Detached Eddy Simulation (DES), Scale-Adaptive Simulation (SAS), and the k-ω SST RANS model are compared against experimental data. The results suggest that while all models capture the mean recirculation zones, the scale-resolving approaches (LES, DES, SAS) more accurately predict the unsteady dynamics, such as shear layer fluctuations and the precessing vortex core, which are challenging for the RANS model. Furthermore, a parametric study of vane angles (60° to 70°) reveals a non-monotonic relationship between geometry and the resulting swirl number, attributed to internal flow separation. An intermediate swirl number range (S ≈ 0.79) was found to promote stable and coherent recirculation zones, whereas higher swirl numbers led to more intermittent flow structures. These findings may provide practical guidance for selecting turbulence models and optimizing swirler geometry in the design of modern combustors. Full article
Show Figures

Figure 1

23 pages, 6193 KB  
Article
Modeled Bed Stress Patterns Around Pervious Oyster Shell Habitat Units Using Large-Eddy Simulations
by Lauren Cope, Jacob Waggoner, Raphael Crowley, Makaya Shemu, Michael Roster, Junyoung Jeong, Hunter Mathews, Kelly J. Smith, Mohammad J. Uddin and Craig Hargis
Sustainability 2025, 17(24), 11129; https://doi.org/10.3390/su172411129 - 12 Dec 2025
Viewed by 364
Abstract
In recent years, pervious oyster shell habitat (POSH) units have been developed and deployed as part of living shoreline projects in Northeast Florida. POSH units are modular artificial oyster reef structures made from cement and recycled oyster shells. POSH units aim to improve [...] Read more.
In recent years, pervious oyster shell habitat (POSH) units have been developed and deployed as part of living shoreline projects in Northeast Florida. POSH units are modular artificial oyster reef structures made from cement and recycled oyster shells. POSH units aim to improve oyster recruitment, attenuate wave energy, trap sediment, and restore salt marsh habitat. Previous studies demonstrated the units’ ability to attract oyster larvae and reduce shoreline bed stress in some areas. This paper further explores the effect of POSH unit placement on bed stress under boat wake conditions using large-eddy simulations (LES). Results indicated that certain POSH unit arrangements may be preferable; a small overlap between segments may help block flow and reduce associated stresses, while a chevron pattern may benefit sites subject to oblique waves. However, even these more “optimized” configurations resulted in bed stresses with similar orders of magnitude when compared to more linear arrangements. Understanding how POSH units affect bed stress and potential erosion patterns can help restoration stakeholders design future living shorelines with POSH units or other similar structures. Full article
(This article belongs to the Special Issue Coastal Management and Marine Environmental Sustainability)
Show Figures

Figure 1

22 pages, 3279 KB  
Article
Anatomical Determinants of Tracheal Breathing Sounds: A Computational Study of Airway Narrowing and Obstructive Sleep Apnea
by Walid Ashraf, Jeffrey J. Fredberg and Zahra Moussavi
Diagnostics 2025, 15(24), 3108; https://doi.org/10.3390/diagnostics15243108 - 7 Dec 2025
Viewed by 450
Abstract
Background: Tracheal breathing sounds (TBS) have demonstrated strong potential as a non-invasive, wakefulness-based diagnostic tool for obstructive sleep apnea (OSA); yet the relationship between specific upper airway anatomical features and the resulting TBS spectra remains insufficiently understood. This study aims to enhance [...] Read more.
Background: Tracheal breathing sounds (TBS) have demonstrated strong potential as a non-invasive, wakefulness-based diagnostic tool for obstructive sleep apnea (OSA); yet the relationship between specific upper airway anatomical features and the resulting TBS spectra remains insufficiently understood. This study aims to enhance the diagnostic utility of TBS in OSA by investigating how the upper airway anatomy influences TBS spectral characteristics. Method: Patient-specific computational models of the upper airway were reconstructed from high-resolution CT scans of a healthy subject and an individual with OSA. Additional variants were generated with targeted constrictions at the velopharynx, oropharynx, and trachea, based on clinically reported anatomical ranges. Airflow dynamics were simulated using Large Eddy Simulation (LES), and the resulting acoustic responses were computed via Lighthill’s acoustic analogy within a hybrid aero-acoustic framework. Results: Oropharyngeal constriction generated the most spatially concentrated vorticity patterns among single-region constricted models. Airway Resistance analysis revealed that severe velopharyngeal and oropharyngeal constrictions contributed most to regional airway resistance. Spectral analysis showed that velopharyngeal narrowing produced a progressive downward shift in the third resonance peak (1000–1700 Hz), while oropharyngeal narrowing induced an upward shift of the third peak and a downward shift of the fourth peak (1700–2500 Hz). These frequency shifts were attributed to the effective role of acoustic mass and airway compliance. Conclusions: Anatomical modifications of the upper airway produce region-specific changes in both flow and acoustic responses. These findings support the use of TBS spectral analysis for non-invasive localization of airway obstructions in OSA. Full article
(This article belongs to the Special Issue Advances in Sleep and Respiratory Medicine)
Show Figures

Figure 1

19 pages, 11470 KB  
Article
A Large Eddy Simulation-Based Power Forecast Approach for Offshore Wind Farms
by Yongjie Lu, Tasnim Zaman, Bin Ma, Marina Astitha and Georgios Matheou
Energies 2025, 18(24), 6386; https://doi.org/10.3390/en18246386 - 5 Dec 2025
Cited by 1 | Viewed by 394
Abstract
Reliable power forecasts are essential for the grid integration of offshore wind. This work presents a physics-based forecasting framework that couples mesoscale numerical weather prediction with large-eddy simulation (LES) and an actuator-disk turbine representation to predict farm-scale flows and power under realistic atmospheric [...] Read more.
Reliable power forecasts are essential for the grid integration of offshore wind. This work presents a physics-based forecasting framework that couples mesoscale numerical weather prediction with large-eddy simulation (LES) and an actuator-disk turbine representation to predict farm-scale flows and power under realistic atmospheric conditions. Mean meteorological profiles from the Weather Research and Forecasting model drive a concurrent–precursor LES generating turbulent inflow consistent with the evolving boundary layer, while a main LES resolves turbulence and wake formation within the wind farm. The LES configuration and turbine-forcing implementation are validated against canonical single- and multi-turbine benchmarks, showing close agreement in wake deficits and recovery trends. The framework is then demonstrated for the South Fork Wind project (12 turbines, ∼132 MW) using a set of time-varying cases over a 24 h period. Simulations reproduce hub-height wind variability, row-to-row power differences associated with wake interactions, and turbine-level power fluctuations (order 1 MW) that converge with appropriate averaging windows. The results illustrate how an LES-augmented hierarchical modeling system can complement conventional forecasting by providing physically interpretable flow fields and power estimates at operational scales. Full article
Show Figures

Figure 1

26 pages, 10959 KB  
Article
Application of a Combined Synthetic-Perturbation Method for Turbulent Inflow in Time-Varying Urban LES
by Ju-Wan Woo and Sang-Hyun Lee
Atmosphere 2025, 16(12), 1380; https://doi.org/10.3390/atmos16121380 - 5 Dec 2025
Viewed by 276
Abstract
This study investigates inflow turbulence strategies for large-eddy simulations (LES) of urban boundary layers under time-varying atmospheric conditions. A combined approach integrating a digital-filter-based synthetic turbulence generator (STG) with the cell perturbation method (CPM) is proposed to reduce turbulence adjustment distance and improve [...] Read more.
This study investigates inflow turbulence strategies for large-eddy simulations (LES) of urban boundary layers under time-varying atmospheric conditions. A combined approach integrating a digital-filter-based synthetic turbulence generator (STG) with the cell perturbation method (CPM) is proposed to reduce turbulence adjustment distance and improve vertical mixing. Using the PALM model, 24 h simulations were conducted over a real urban domain in Seoul, capturing diurnal transitions in stability and wind direction. Six experiments were compared: two reference runs with extended upstream fetch, and four analysis runs without fetch, applying different inflow strategies (NOT, STG, CPM, and CPM + STG). Results indicate that CPM + STG mitigates abrupt structural transitions and sustains turbulence kinetic energy (TKE) more consistently than STG alone, while requiring lower computational cost than extended-fetch configurations. Under unstable daytime conditions, CPM + STG enhanced vertical mixing and preserved local boundary-layer height closer to background values, whereas nighttime performance was dominated by building-induced shear regardless of inflow strategy. These findings suggest that the combined CPM + STG approach achieves a balance between physical realism and computational efficiency, demonstrating its potential as a robust inflow strategy for time-varying urban LES within limited domain sizes. Full article
(This article belongs to the Section Meteorology)
Show Figures

Figure 1

23 pages, 7150 KB  
Article
Influence of a Sloped Bottom on a 60-Degree Inclined Dense Jet Discharged into a Stationary Environment: A Large Eddy Simulation Study
by Xinyun Wang and Abdolmajid Mohammadian
J. Mar. Sci. Eng. 2025, 13(12), 2309; https://doi.org/10.3390/jmse13122309 - 4 Dec 2025
Viewed by 339
Abstract
In the present study, numerical simulations were conducted to investigate the behavior of a 60° inclined dense jet discharged onto horizontal (0°) and sloped (5°) bottoms in a stagnant environment. The objective was to evaluate the capability of Large Eddy Simulation (LES) in [...] Read more.
In the present study, numerical simulations were conducted to investigate the behavior of a 60° inclined dense jet discharged onto horizontal (0°) and sloped (5°) bottoms in a stagnant environment. The objective was to evaluate the capability of Large Eddy Simulation (LES) in capturing both the kinematic and mixing characteristics of inclined dense jets interacting with different bottom boundaries. A Reynolds-Averaged Navier–Stokes (RANS) model was also included for comparison. The LES simulations successfully reproduced the key kinematic and mixing characteristics, including the jet trajectory, centerline peak location, impact point, and terminal rise height, and showed strong agreement with the experimental observations. LES also predicted the concentration distributions and variations along both the horizontal and sloped bottoms, whereas the RANS model tended to underestimate both geometrical and dilution properties. A Gaussian fitting function was proposed to estimate the concentration distribution under both bottom conditions. Analysis of the spreading layer indicated that the concentration profiles exhibited self-similarity. Energy spectrum analysis showed that the sloped bottom enhanced shear-induced turbulence, thereby improving the mixing efficiency. Results confirm the reliability of LES for describing jet–bed interactions and emphasize the influence of bed slope on jet dilution and mixing behavior. Full article
(This article belongs to the Section Physical Oceanography)
Show Figures

Figure 1

Back to TopTop