Effect of Initial Temperature and Hydrogen/Oxygen Concentration on Minimum Ignition Energy of Cryogenic Hydrogen–Air Mixtures in Liquid Hydrogen Leakage Scenarios
Abstract
1. Introduction
2. Numerical Model and Methods
2.1. Mathematical Models
2.2. Detailed Chemical Reaction Mechanism
2.3. Geometric Model and Numerical Methods
2.4. Ignition Setting
2.5. Independence Verification
2.6. Criteria for Successful Ignition
3. Model Validation
3.1. Model Validation of MIE at Ambient Temperature
3.2. Model Validation of MIE at Cryogenic Temperatures
4. Results and Discussion
4.1. Effect of Initial Temperature
4.2. Effect of the Hydrogen Concentration
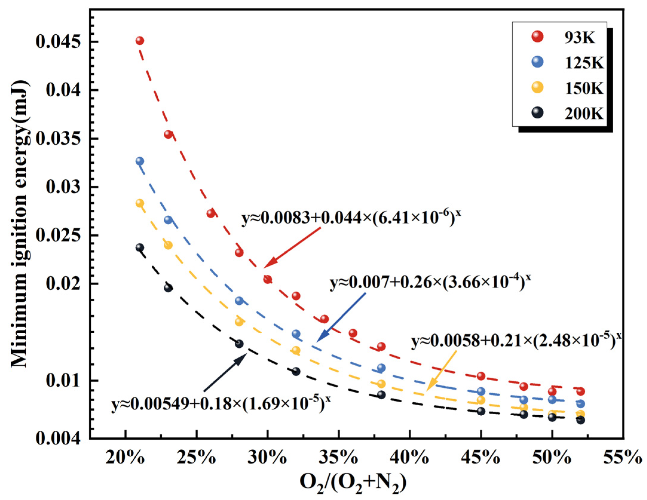
4.3. Effect of the Oxygen Concentration Ratio O2/(O2 + N2)
5. Conclusions
Supplementary Materials
Author Contributions
Funding
Data Availability Statement
Conflicts of Interest
References
- Sadeq, A.M.; Homod, R.Z.; Hussein, A.K.; Togun, H.; Mahmoodi, A.; Isleem, H.F.; Patil, A.R.; Moghaddam, A.H. Hydrogen energy systems: Technologies, trends, and future prospects. Sci. Total Environ. 2024, 939, 173622. [Google Scholar] [CrossRef]
- Bao, S.; Zhao, H.; Li, X.; Tian, F.; Liu, Z.; Li, G.; Yuan, C. Investigation on decelerated propagation of hydrogen-air premixed flames in confined space. Process Saf. Environ. Prot. 2024, 192, 973–982. [Google Scholar] [CrossRef]
- Wang, L.; Mao, X.; Li, J.; Wei, H.; Shu, G.; Pan, J. Role of hydrogen enrichment in ammonia forced ignition at elevated pressures. Combust. Flame 2025, 272, 113908. [Google Scholar] [CrossRef]
- Hosseini, S.E.; Wahid, M.A. Hydrogen production from renewable and sustainable energy resources: Promising green energy carrier for clean development. Renew. Sust. Energy Rev. 2016, 57, 850–866. [Google Scholar] [CrossRef]
- Ma, X.; Nie, B.; Wang, W.; Zhao, D.; Zhang, Y.; Yang, Y.; Ma, C.; Hu, B.; Chang, L.; Yang, L. Effect of hydrogen concentration, initial pressure and temperature on mechanisms of hydrogen explosion in confined spaces. Combust. Flame 2024, 269, 113696. [Google Scholar] [CrossRef]
- Liu, Z.; Li, Y. Thermal physical performance in liquid hydrogen tank under constant wall temperature. Renew. Energy 2019, 130, 601–612. [Google Scholar] [CrossRef]
- Wang, L.; Li, Y.; Li, C.; Zhao, Z. CFD investigation of thermal and pressurization performance in LH2 tank during discharge. Cryogenics 2013, 57, 63–73. [Google Scholar] [CrossRef]
- Gong, A.; Verstraete, D. Fuel cell propulsion in small fixed-wing unmanned aerial vehicles: Current status and research needs. Int. J. Hydrog. Energy 2017, 42, 21311–21333. [Google Scholar] [CrossRef]
- Mokrani, Z.; Rekioua, D.; Mebarki, N.; Rekioua, T.; Bacha, S. Proposed energy management strategy in electric vehicle for recovering power excess produced by fuel cells. Int. J. Hydrog. Energy 2017, 42, 19556–19575. [Google Scholar] [CrossRef]
- Kostyuk, V.V.; Blagov, E.V.; Antyukhov, I.V.; Firsov, V.P.; Vysotsky, V.S.; Nosov, A.A.; Fetisov, S.; Zanegin, S.; Svalov, G.; Rachuk, V.; et al. Cryogenic design and test results of 30-m flexible hybrid energy transfer line with liquid hydrogen and superconducting MgB2 cable. Cryogenics 2015, 66, 34–42. [Google Scholar] [CrossRef]
- Shirai, Y.; Tatsumoto, H.; Shiotsu, M.; Hata, K.; Kobayashi, H.; Naruo, Y.; Inatani, Y.; Kinoshita, K. Forced flow boiling heat transfer of liquid hydrogen for superconductor cooling. Cryogenics 2011, 51, 295–299. [Google Scholar] [CrossRef]
- Ordin, P.M. Review of Hydrogen Accidents and Incidents in NASA Operations; National Aeronautics and Space Administration: Cleveland, OH, USA, 1974. [Google Scholar]
- Keller, J.O.; Gresho, M.; Harris, A.; Tchouvelev, A.V. What is an explosion? Int. J. Hydrog. Energy 2014, 39, 20426–20433. [Google Scholar] [CrossRef]
- Fujita, O.; Kyono, T.; Kido, Y.; Ito, H.; Nakamura, Y. Ignition of electrical wire insulation with short-term excess electric current in microgravity. Proc. Combust. Inst. 2011, 33, 2617–2623. [Google Scholar] [CrossRef]
- Rigas, F.; Sklavounos, S. Evaluation of hazards associated with hydrogen storage facilities. Int. J. Hydrog. Energy 2005, 30, 1501–1510. [Google Scholar] [CrossRef]
- Dryer, F.L.; Chaos, M.; Zhao, Z.; Stein, J.N.; Alpert, J.Y.; Homer, C.J. Spontaneous ignition of pressurized releases of hydrogen and natural gas into air. Combust. Sci. Technol. 2007, 179, 663–694. [Google Scholar] [CrossRef]
- Astbury, G.R. A review of the properties and hazards of some alternative fuels. Process Saf. Environ. Prot. 2008, 86, 397–414. [Google Scholar] [CrossRef]
- Kurdyumov, V.N.; Jiménez, C. Ignition by concentrated heat sources: Minimum energy required and flame propagation over long distances in mixtures below the flammability limit. Combust. Flame 2025, 273, 113959. [Google Scholar] [CrossRef]
- Lee, T.-W.; Jain, V.; Kozola, S. Measurements of minimum ignition energy by using laser sparks for hydrocarbon fuels in air: Propane, dodecane, and jet-A fuel. Combust. Flame 2001, 125, 1320–1328. [Google Scholar] [CrossRef]
- Essmann, S.; Markus, D.; Grosshans, H.; Maas, U. Experimental investigation of the stochastic early flame propagation after ignition by a low-energy electrical discharge. Combust. Flame 2020, 211, 44–53. [Google Scholar] [CrossRef]
- Su, Z.; Liu, L.; Li, K.; Chen, X.; Chen, T.; Huang, C. Theoretical prediction model for minimum ignition energy of combustible gas mixtures. Int. J. Hydrog. Energy 2024, 69, 103–112. [Google Scholar] [CrossRef]
- Ono, R.; Nifuku, M.; Fujiwara, S.; Horiguchi, S.; Oda, T. Minimum ignition energy of hydrogen–air mixture: Effects of humidity and spark duration. J. Electrost. 2007, 65, 87–93. [Google Scholar] [CrossRef]
- Lewis, B.; von Elbe, G. CHAPTER II-The Reaction between Hydrogen and Oxygen. In Combustion, Flames and Explosions of Gases, 3rd ed.; Lewis, B., von Elbe, G., Eds.; Academic Press: San Diego, CA, USA, 1987; pp. 25–77. [Google Scholar]
- Calcote, H.F.; Gregory, C.A.; Barnett, C.M.; Gilmer, R.B. Spark Ignition. Effect of Molecular Structure. Ind. Eng. Chem. 1952, 44, 2656–2662. [Google Scholar] [CrossRef]
- Rose, H.E.; Priede, T. Ignition phenomena in hydrogen-air mixtures. Symp. Int. Combust. 1958, 7, 436–445. [Google Scholar] [CrossRef]
- Li, D.; Sun, W.; Chen, Y.; Luo, Z. Minimum ignition energy theoretical model for flammable gas based on flame propagation layer by layer. J. Loss Prev. Process Ind. 2023, 83, 105086. [Google Scholar] [CrossRef]
- Han, J.; Yamashita, H.; Hayashi, N. Numerical study on the spark ignition characteristics of hydrogen–air mixture using detailed chemical kinetics. Int. J. Hydrog. Energy 2011, 36, 9286–9297. [Google Scholar] [CrossRef]
- Wähner, A.; Gramse, G.; Langer, T.; Beyer, M. Determination of the minimum ignition energy on the basis of a statistical approach. J. Loss Prev. Process Ind. 2013, 26, 1655–1660. [Google Scholar] [CrossRef]
- Proust, C.; Jamois, D. Some Fundamental Combustion Properties of “Cryogenic” Premixed Hydrogen Air Flames. In Proceedings of the 9th International Conference on Hydrogen Safety (ICHS 2021), Edinburgh, UK, 21–24 September 2021; pp. 228–239. [Google Scholar]
- Cirrone, D.; Makarov, D.; Proust, C.; Molkov, V. Minimum ignition energy of hydrogen-air mixtures at ambient and cryogenic temperatures. Int. J. Hydrog. Energy 2023, 48, 16530–16544. [Google Scholar] [CrossRef]
- Ghosh, A.; Munoz-Munoz, N.M.; Lacoste, D.A. Minimum ignition energy of hydrogen-air and methane-air mixtures at temperatures as low as 200 K. Int. J. Hydrog. Energy 2022, 47, 30653–30659. [Google Scholar] [CrossRef]
- Hall, J.E.; Hooker, P.; Willoughby, D. Ignited releases of liquid hydrogen: Safety considerations of thermal and overpressure effects. Int. J. Hydrog. Energy 2014, 39, 20547–20553. [Google Scholar] [CrossRef]
- Kumamoto, A.; Iseki, H.; Ono, R.; Oda, T. Measurement of minimum ignition energy in hydrogen-oxygen-nitrogen premixed gas by spark discharge. J. Phys. Conf. Ser. 2011, 301, 012039. [Google Scholar] [CrossRef]
- Hooker, P.; Willoughby, D.B.; Royle, M. Experimental releases of liquid hydrogen. In Proceedings of the 4th International Conference on Hydrogen Safety (ICHS), San Francisco, CA, USA, 12–14 September 2011. [Google Scholar]
- Wang, F.; Xiao, J.; Gupta, S.; Freitag, M.; Kuznetsov, M.; Rui, S.; Zhou, S.; Jordan, T. Numerical and experimental investigations of hydrogen-air-steam deflagration in two connected compartments with initial turbulent flow. Process Saf. Environ. Prot. 2024, 184, 248–259. [Google Scholar] [CrossRef]
- NIST Chemistry WebBook, SRD 69. Available online: https://webbook.nist.gov/chemistry/ (accessed on 7 July 2024).
- Ó Conaire, M.; Curran, H.J.; Simmie, J.M.; Pitz, W.J.; Westbrook, C.K. A comprehensive modeling study of hydrogen oxidation. Int. J. Chem. Kinet. 2004, 36, 603–622. [Google Scholar] [CrossRef]
- Konnov, A.A. Remaining uncertainties in the kinetic mechanism of hydrogen combustion. Combust. Flame 2008, 152, 507–528. [Google Scholar] [CrossRef]
- Hong, Z.; Davidson, D.F.; Hanson, R.K. An improved H2/O2 mechanism based on recent shock tube/laser absorption measurements. Combust. Flame 2011, 158, 633–644. [Google Scholar] [CrossRef]
- Kéromnès, A.; Metcalfe, W.K.; Heufer, K.A.; Donohoe, N.; Das, A.K.; Sung, C.-J.; Herzler, J.; Naumann, C.; Griebel, P.; Mathieu, O.; et al. An experimental and detailed chemical kinetic modeling study of hydrogen and syngas mixture oxidation at elevated pressures. Combust. Flame 2013, 160, 995–1011. [Google Scholar] [CrossRef]
- Zhang, Y.; Liu, Q. Experimental study of transient response of spark discharge ignition temperature. Gaodianya Jishu High Volt. Eng. 2015, 41, 547–553. [Google Scholar]
- Cirrone, D.; Makarov, D.; Molkov, V. Spontaneous Ignition of Cryo-Compressed Hydrogen in a T-Shaped Channel System. Hydrogen 2022, 3, 348–360. [Google Scholar] [CrossRef]
- Lee, J.H.S. The Detonation Phenomenon; Cambridge University Press: Cambridge, UK, 2008. [Google Scholar]
- Miao, H.; Lu, L.; Huang, Z. Flammability limits of hydrogen-enriched natural gas. Int. J. Hydrog. Energy 2011, 36, 6937–6947. [Google Scholar] [CrossRef]
- Eckart, S.; Zsély, I.G.; Krause, H.; Turányi, T. Effect of the variation of oxygen concentration on the laminar burning velocities of hydrogen-enriched methane flames. Int. J. Hydrog. Energy 2024, 49, 533–546. [Google Scholar] [CrossRef]













| Parameters | Density (kg/m3) | cp (Specific Heat) J/(kg⸱K) | Thermal Conductivity W/(m⸱K) | Viscosity (Pa⸱s) | |
|---|---|---|---|---|---|
| 93 K | H2 | 0.26932 | 11040 | 0.064007 | 3.9056 × 10−6 |
| O2 | 4.4042 | 950.13 | 0.0084787 | 7.1703 × 10−6 | |
| N2 | 3.8370 | 1082 | 0.0087104 | 6.4980 × 10−6 | |
| 100 K | H2 | 0.25039 | 11229 | 0.068375 | 4.1204 × 10−6 |
| O2 | 4.0725 | 936.2 | 0.00909 | 7.7124 × 10−6 | |
| N2 | 3.5507 | 1072.5 | 0.0093842 | 6.9599 × 10−6 | |
| 200 K | H2 | 0.12508 | 13539 | 0.133010 | 6.748 × 10−6 |
| O2 | 1.993 | 914.73 | 0.018240 | 1.4718 × 10−5 | |
| N2 | 1.7432 | 1043.6 | 0.018281 | 1.2911 × 10−5 | |
| 300 K | H2 | 0.083395 | 14313 | 0.186700 | 8.9385 × 10−6 |
| O2 | 1.3254 | 919.92 | 0.026487 | 2.0653 × 10−5 | |
| N2 | 1.1598 | 1041.4 | 0.025969 | 1.7890 × 10−5 | |
| Equivalence Ratio (Φ) | Volumetric Concentrations (%) | Simulated MIE (mJ) | Experimental MIE (mJ) | Relative Error |
|---|---|---|---|---|
| 0.4 | 14.38 | 0.02332 | 0.02856 | 18% |
| 0.6 | 20.13 | 0.01916 | 0.01937 | 10% |
| 0.8 | 25.15 | 0.01970 | 0.01677 | 17% |
| 1.0 | 29.56 | 0.02203 | 0.01868 | 18% |
| 1.2 | 33.51 | 0.02586 | 0.02321 | 11% |
| 1.4 | 37.03 | 0.02937 | 0.02962 | 1% |
| 1.6 | 40.20 | 0.03562 | 0.03389 | 5% |
| 1.8 | 43.05 | 0.04271 | 0.03844 | 11% |
| 2.0 | 45.66 | 0.05069 | 0.04485 | 13% |
| Hydrogen Concentrations | Density (kg/m3) | Specific Heat J/(kg⸱K) | Thermal Conductivity W/(m⋅K) |
|---|---|---|---|
| 20% | 1.43 | 1236.57 | 0.032 |
| 25% | 1.35 | 1310.49 | 0.036 |
| 30% | 1.27 | 1393.96 | 0.04 |
| 40% | 1.11 | 1598.02 | 0.049 |
| 50% | 0.94 | 1873.13 | 0.06 |
| Hydrogenconcentration | 25% | 30% | 40% | |
|---|---|---|---|---|
| O2/O2 + N2 | ||||
| 21% | 0.04511 mJ | 0.05134 mJ | 0.1014 mJ | |
| 45% | 0.01044 mJ | 0.007826 mJ | 0.007801 mJ | |
| Degree of reduction | 77% | 85% | 92% | |
Disclaimer/Publisher’s Note: The statements, opinions and data contained in all publications are solely those of the individual author(s) and contributor(s) and not of MDPI and/or the editor(s). MDPI and/or the editor(s) disclaim responsibility for any injury to people or property resulting from any ideas, methods, instructions or products referred to in the content. |
© 2025 by the authors. Licensee MDPI, Basel, Switzerland. This article is an open access article distributed under the terms and conditions of the Creative Commons Attribution (CC BY) license.
Share and Cite
Liu, L.; Li, M.; Huang, L.; Ding, Y.; Li, M.; Chen, X.; Huang, C.; Yue, Y.; Hu, W.; Wang, X. Effect of Initial Temperature and Hydrogen/Oxygen Concentration on Minimum Ignition Energy of Cryogenic Hydrogen–Air Mixtures in Liquid Hydrogen Leakage Scenarios. Fire 2026, 9, 18. https://doi.org/10.3390/fire9010018
Liu L, Li M, Huang L, Ding Y, Li M, Chen X, Huang C, Yue Y, Hu W, Wang X. Effect of Initial Temperature and Hydrogen/Oxygen Concentration on Minimum Ignition Energy of Cryogenic Hydrogen–Air Mixtures in Liquid Hydrogen Leakage Scenarios. Fire. 2026; 9(1):18. https://doi.org/10.3390/fire9010018
Chicago/Turabian StyleLiu, Lijuan, Miao Li, Lei Huang, Yuhang Ding, Mengru Li, Xianfeng Chen, Chuyuan Huang, Youbang Yue, Weixi Hu, and Xincheng Wang. 2026. "Effect of Initial Temperature and Hydrogen/Oxygen Concentration on Minimum Ignition Energy of Cryogenic Hydrogen–Air Mixtures in Liquid Hydrogen Leakage Scenarios" Fire 9, no. 1: 18. https://doi.org/10.3390/fire9010018
APA StyleLiu, L., Li, M., Huang, L., Ding, Y., Li, M., Chen, X., Huang, C., Yue, Y., Hu, W., & Wang, X. (2026). Effect of Initial Temperature and Hydrogen/Oxygen Concentration on Minimum Ignition Energy of Cryogenic Hydrogen–Air Mixtures in Liquid Hydrogen Leakage Scenarios. Fire, 9(1), 18. https://doi.org/10.3390/fire9010018

