Sign in to use this feature.

Years

Between: -

Subjects

remove_circle_outline
remove_circle_outline
remove_circle_outline
remove_circle_outline
remove_circle_outline
remove_circle_outline
remove_circle_outline
remove_circle_outline
remove_circle_outline

Journals

remove_circle_outline
remove_circle_outline
remove_circle_outline
remove_circle_outline
remove_circle_outline
remove_circle_outline
remove_circle_outline
remove_circle_outline
remove_circle_outline
remove_circle_outline
remove_circle_outline
remove_circle_outline
remove_circle_outline
remove_circle_outline
remove_circle_outline
remove_circle_outline

Article Types

Countries / Regions

remove_circle_outline
remove_circle_outline
remove_circle_outline
remove_circle_outline
remove_circle_outline
remove_circle_outline
remove_circle_outline
remove_circle_outline
remove_circle_outline
remove_circle_outline

Search Results (1,870)

Search Parameters:
Keywords = Lactams

Order results
Result details
Results per page
Select all
Export citation of selected articles as:
14 pages, 1746 KB  
Article
Resistance Patterns in Gram-Negative Bacilli Isolated in a Secondary Care Hospital: A Therapeutic Challenge in Western Mexico
by César Ricardo Cortez-Álvarez, Benjamín de Jesús Gutiérrez-García, Pablo Ulises Romero-Mendoza, María del Rosario Cabral-Medina, Monserratt Abud-Gonzalez, Susana Olivia Guerra-Martínez, Livier Amalia Gutiérrez-Morales, María Luisa Muñoz-Almaguer, Santiago José Guevara-Martínez, Daniel Osmar Suárez-Rico, Marco Pérez-Cisneros and Martin Zermeño-Ruiz
Microbiol. Res. 2026, 17(1), 17; https://doi.org/10.3390/microbiolres17010017 - 10 Jan 2026
Viewed by 33
Abstract
Antimicrobial resistance (AMR) continues to represent a significant global public health concern. Gram-negative bacilli (GNB) are the primary causative agents of severe nosocomial infections and possess a notable capacity to develop resistance mechanisms that restrict therapeutic options. The objective of this study was [...] Read more.
Antimicrobial resistance (AMR) continues to represent a significant global public health concern. Gram-negative bacilli (GNB) are the primary causative agents of severe nosocomial infections and possess a notable capacity to develop resistance mechanisms that restrict therapeutic options. The objective of this study was to characterize the antimicrobial susceptibility profiles of GNB isolated at a secondary-level hospital in Guadalajara, Mexico, with the aim of identifying predominant resistance patterns and the most effective therapeutic alternatives. A descriptive, retrospective, cross-sectional study was conducted using clinical isolates of Acinetobacter spp., Pseudomonas spp., Escherichia coli, Klebsiella spp., Morganella morganii, Proteus spp., and Enterobacter spp. collected during 2024. The identification and susceptibility testing were carried out using the VITEK® 2 automated system, and the results were interpreted in accordance with CLSI guidelines. High resistance rates were observed in Acinetobacter spp. and Pseudomonas spp., particularly to carbapenems (>50% and >40%, respectively). Escherichia coli and Klebsiella spp. demonstrated resistance to third-generation cephalosporins and trimethoprim/sulfamethoxazole, exhibiting high susceptibility to amikacin and carbapenems (>90%). New-generation β-lactam/β-lactamase inhibitor combinations, such as ceftazidime/avibactam and ceftolozane/tazobactam, have demonstrated high efficacy against resistant strains. Overall, GNB isolates in this secondary-level hospital demonstrated elevated resistance levels, particularly to β-lactams and carbapenems, which pose a significant therapeutic challenge. Nevertheless, amikacin, carbapenems, and new-generation β-lactams persist as valuable therapeutic options. In order to contain the spread of multidrug-resistant organisms, it is imperative to strengthen local surveillance, optimize antibiotic stewardship, and reinforce infection control measures. Full article
Show Figures

Figure 1

21 pages, 1021 KB  
Article
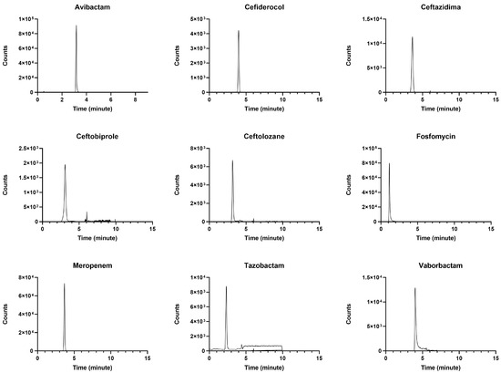
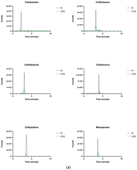
Two Comprehensive Liquid Chromatography High-Resolution Mass Spectrometry (UPLC-MS/MS) Multi-Methods for Real-Time Therapeutic Drug Monitoring (TDM) of Five Novel Beta-Lactams and of Fosfomycin Administered by Continuous Infusion
by Ilaria Trozzi, Beatrice Giorgi, Riccardo De Paola, Milo Gatti and Federico Pea
Pharmaceutics 2026, 18(1), 91; https://doi.org/10.3390/pharmaceutics18010091 - 10 Jan 2026
Viewed by 40
Abstract
Background/Objectives: Therapeutic drug monitoring (TDM) of β-lactams (BL), BL/β-lactamase inhibitor (BLI) combinations (BL/BLIc), and of fosfomycin may play a key role in optimizing antimicrobial therapy and in preventing resistance development, especially when used by continuous infusion in critically ill or immunocompromised patients. [...] Read more.
Background/Objectives: Therapeutic drug monitoring (TDM) of β-lactams (BL), BL/β-lactamase inhibitor (BLI) combinations (BL/BLIc), and of fosfomycin may play a key role in optimizing antimicrobial therapy and in preventing resistance development, especially when used by continuous infusion in critically ill or immunocompromised patients. Unfortunately, analytical methods for simultaneously quantifying multiple BL/BLIc in plasma are still lacking. Methods: The aim of this study was to develop and validate two rapid, sensitive, and accurate UPLC–qTOF–MS/MS methods for the simultaneous quantification of five novel β-lactam or β-lactam/β-lactamase inhibitor combinations (ceftolozane/tazobactam, ceftazidime/avibactam, meropenem/vaborbactam, cefiderocol, and ceftobiprole) along with fosfomycin. Methods: Human plasma samples were prepared by protein precipitation using methanol containing isotopically labeled internal standards. Chromatographic separation was achieved within 10–12 min using two Agilent Poroshell columns (EC-C18 and PFP) under positive and negative electrospray ionization modes. The method was validated according to the EMA guidelines by assessing selectivity, linearity, precision, accuracy, matrix effects, extraction recovery, and stability. Results: The methods exhibited excellent linearity (R2 ≥ 0.998) across the calibration ranges for all of the analytes (1.56–500 µg/mL), with limits of quantification ranging from 1.56 to 15.62 µg/mL. Intra- and inter-day precision and accuracy were always within ±15%. Extraction recovery always exceeded 92%, and the matrix effects were effectively corrected through isotopic internal standards. No carry-over or isobaric interferences were observed. All the analytes were stable for up to five days at 4 °C, but the BL and BL/BLIc stability was affected by multiple freeze–thaw cycles. Conclusions: These UPLC-qTOF-MS/MS multi-analyte methods enabled a simultaneous, reliable quantification in plasma of five novel beta-lactams and of fosfomycin. Robustness, high throughput, and sensitivity make these multi-methods feasible for real-time TDM, supporting personalized antimicrobial dosing and improved therapeutic outcomes in patients with severe or multidrug-resistant infections. Full article
(This article belongs to the Section Clinical Pharmaceutics)
Show Figures

Figure 1

14 pages, 680 KB  
Article
Antimicrobial Resistance Profile of Urinary Bacterial Isolates from Hospitalized Companion Dogs Reveals a Potential Public Health Risk in South Korea
by Seoyoon Park, Changseok Han, Su-Man Kim, Joong-Hyun Song and Tae-Hwan Kim
Vet. Sci. 2026, 13(1), 70; https://doi.org/10.3390/vetsci13010070 - 10 Jan 2026
Viewed by 107
Abstract
Emerging antimicrobial resistance (AMR) in companion animals represents a global health concern as they serve as potential reservoirs for multidrug-resistant (MDR) bacteria, which can be transmitted to humans. Herein, we provide comprehensive surveillance data on resistance patterns in veterinary hospital settings, focusing on [...] Read more.
Emerging antimicrobial resistance (AMR) in companion animals represents a global health concern as they serve as potential reservoirs for multidrug-resistant (MDR) bacteria, which can be transmitted to humans. Herein, we provide comprehensive surveillance data on resistance patterns in veterinary hospital settings, focusing on urinary tract infection. A total of 23 bacterial strains were isolated from urine specimens of hospitalized companion animals suspected of urinary tract infections (UTIs) between 2022 and 2024. 16S rRNA sequencing analysis revealed that Escherichia coli (47.8%), Klebsiella pneumoniae (21.7%), and Pseudomonas aeruginosa (8.7%) were predominant uropathogens. Minimum inhibitory concentration and minimum bactericidal concentration tests were employed to analyze AMR patterns across different classes of antibiotics. Moreover, antimicrobial susceptibility test exhibited 73.91% MDR according to the standard definition given by the Clinical and Laboratory Standards Institute (CLSI) M100 guidelines. Most Gram-negative bacteria have been shown to be resistant to beta-lactam antibiotics, especially carbapenems. Notably, an E. coli strain was confirmed to possess the blaNDM-1 gene encoding the carbapenemase New Delhi metallo-β-lactamase. These findings support the implementation of targeted infection control measures and evidence-based treatment protocols to preserve antimicrobial efficacy in companion animal medicine to minimize potential public health risks through the One Health approach. Full article
(This article belongs to the Section Veterinary Microbiology, Parasitology and Immunology)
Show Figures

Figure 1

17 pages, 608 KB  
Review
Epidemiology of ESBL-Producing, Carbapenem-Resistant, and Carbapenemase-Producing Enterobacterales in Southern Africa
by Pearl Ntshonga, Giacomo Maria Paganotti and Paolo Gaibani
Antibiotics 2026, 15(1), 69; https://doi.org/10.3390/antibiotics15010069 - 8 Jan 2026
Viewed by 118
Abstract
Background/Objectives: Antimicrobial resistance (AMR) among Enterobacterales poses a major threat to public health in Southern Africa and has led to limited treatment options and increased mortality. Despite Africa bearing the brunt, there is limited data on the epidemiology and molecular epidemiology of [...] Read more.
Background/Objectives: Antimicrobial resistance (AMR) among Enterobacterales poses a major threat to public health in Southern Africa and has led to limited treatment options and increased mortality. Despite Africa bearing the brunt, there is limited data on the epidemiology and molecular epidemiology of the genetic determinants of β-lactam and/or carbapenem resistance. This narrative literature review summarizes the epidemiology and molecular characteristics of extended-spectrum β-lactamase-producing Enterobacterales (ESBL-PE), carbapenem-resistant Enterobacterales (CRE), and carbapenemase-producing Enterobacterales (CPE) in Southern Africa, while identifying data gaps and surveillance challenges. Methods: A comprehensive literature review was conducted using peer-reviewed articles from ten Southern African countries, including South Africa, Lesotho, Eswatini, Botswana, Namibia, Angola, Zambia, Zimbabwe, Mozambique, and Malawi, reporting the epidemiology and/or molecular characterization of ESBL-PE, CRE, and CPE. Results: ESBL-PE, CRE, and CPE pose an increasing healthcare threat in Southern Africa, with prevalence varying widely by source. Klebsiella pneumoniae and E. coli are the predominant ESBL-PE, CRE, and CPE species. The most frequent resistance genes are blaCTX-M among ESBLs and blaNDM and blaOXA among carbapenemases, reflecting global patterns. However, molecular characterization across the region remains limited, with countries such as Botswana, Lesotho, Eswatini, Zambia, and Zimbabwe lacking sufficient data on the prevalence and diversity of these resistance determinants. Conclusions: Despite the paucity of genomic and epidemiological data, Southern Africa faces an urgent AMR challenge. Strengthening laboratory infrastructure, genomic surveillance, and regional coordination is crucial to mitigate AMR and guide antibiotic stewardship policies. Full article
Show Figures

Figure 1

16 pages, 449 KB  
Article
Diet-Driven Modulation of Antibiotic Resistance Genes and Microbial Risk During the Bioconversion of Agro-Industrial Residues by Hermetia illucens
by Vesna Milanović, Andrea Marcelli, Alessio Ilari, Giorgia Rampanti, Kofi Armah Boakye-Yiadom, Federica Cardinali, Andrea Osimani, Cristiana Garofalo, Ester Foppa Pedretti and Lucia Aquilanti
Sci 2026, 8(1), 11; https://doi.org/10.3390/sci8010011 - 8 Jan 2026
Viewed by 77
Abstract
Background: Hermetia illucens larvae provide a sustainable bioconversion pathway that transforms agro-industrial residues into protein- and nutrient-dense biomass and frass, suitable for animal feed and soil amendment, respectively. Nevertheless, the potential spread of antibiotic resistance (AR) genes and pathogenic microorganisms poses biosafety [...] Read more.
Background: Hermetia illucens larvae provide a sustainable bioconversion pathway that transforms agro-industrial residues into protein- and nutrient-dense biomass and frass, suitable for animal feed and soil amendment, respectively. Nevertheless, the potential spread of antibiotic resistance (AR) genes and pathogenic microorganisms poses biosafety concerns. This study examined the impact of four residue-based diet formulations; peas and chickpea (D1), peas and wheat (D2), onion and wheat (D3), and wheat with digestate (D4), on microbial safety during the bioconversion process. Methods: Enterococcus spp. (viable counts), Salmonella spp. (presence/absence), and 13 AR genes associated with resistance to tetracyclines, macrolide-lincosamide-streptogramin B, β-lactams, vancomycin, and aminoglycosides were quantified in single substrates, diets, larvae, and frass using qPCR. Results: Principal component analysis revealed diet-driven AR gene profiles. D1 lowered the levels of the greatest number of tested AR genes, particularly erm(B), tetracycline, and β-lactam genes in frass, as well as tet(O) and vanB in mature larvae. In contrast, D2 increased the AR gene levels in frass. All diets except D4 eliminated Salmonella spp. Enterococcus spp. loads varied by diet and larval stage, with D2 reducing counts in frass. Conclusions: Diet composition directly shapes microbial dynamics and AR gene dissemination, indicating that legume-based substrates may enhance biosafety in bioconversion systems. Full article
Show Figures

Figure 1

8 pages, 538 KB  
Article
Characterizing the Use of High-Dose Amoxicillin for the Treatment of Bacteremia
by Julia Lloyd, Kathleen Lau, Cindy San, Victor Leung and Colin Lee
Pathogens 2026, 15(1), 54; https://doi.org/10.3390/pathogens15010054 - 6 Jan 2026
Viewed by 219
Abstract
Treatment of bacteremia has traditionally consisted of a 7–14-day course of intravenous (IV) antibiotics. Transitioning from IV to oral (PO) antibiotics in uncomplicated cases of Gram-negative and Gram-positive bacteremia is non-inferior to a complete course of IV antibiotics. High-dose oral amoxicillin has been [...] Read more.
Treatment of bacteremia has traditionally consisted of a 7–14-day course of intravenous (IV) antibiotics. Transitioning from IV to oral (PO) antibiotics in uncomplicated cases of Gram-negative and Gram-positive bacteremia is non-inferior to a complete course of IV antibiotics. High-dose oral amoxicillin has been used in practice for treating bacteremia but has limited safety and efficacy data. We conducted a retrospective chart review between June 2022 and June 2024 to characterize the use of high-dose amoxicillin and evaluate its efficacy and safety. A convenient sample size of 100 patients was used. Patients admitted to hospital who received at least one dose of high-dose amoxicillin (1 g PO TID) for the treatment of bacteremia were included. Patients undergoing hemodialysis and patients receiving amoxicillin for other infections were excluded. The average patient was a 60-year-old male (66% male) with a Gram-positive respiratory or skin source bacteremia. The median time to transition to oral amoxicillin was 5 days. The median duration of total treatment was 14 days. Respiratory sources were treated for a shorter duration, whereas skin sources were treated for longer. Readmission to hospital occurred in 28% of cases. The majority of readmissions were unrelated to the original infection, and 92% of patients were cured. There were no observed adverse events, bacteremia relapses, or deaths. In this observational study, transitioning to high-dose oral amoxicillin was primarily used for treatment of uncomplicated respiratory and skin infections with secondary bacteremia. A high rate of clinical success was observed with high-dose PO amoxicillin, with no adverse events reported. Full article
(This article belongs to the Section Bacterial Pathogens)
Show Figures

Figure A1

23 pages, 1405 KB  
Article
A Pilot Study of Klebsiella pneumoniae in Community-Acquired Pneumonia: Comparative Insights from Culture and Targeted Next-Generation Sequencing
by Vyacheslav Beloussov, Vitaliy Strochkov, Nurlan Sandybayev, Alyona Lavrinenko and Maxim Solomadin
Diagnostics 2026, 16(1), 154; https://doi.org/10.3390/diagnostics16010154 - 4 Jan 2026
Viewed by 286
Abstract
Background/Objectives: Klebsiella pneumoniae is a major Gram-negative pathogen associated with community-acquired pneumonia (CAP) and a critical contributor to antimicrobial resistance (AMR). Culture-based diagnostics remain the clinical standard but may underestimate microbial diversity and resistance gene profiles. This pilot study compared pathogen detection [...] Read more.
Background/Objectives: Klebsiella pneumoniae is a major Gram-negative pathogen associated with community-acquired pneumonia (CAP) and a critical contributor to antimicrobial resistance (AMR). Culture-based diagnostics remain the clinical standard but may underestimate microbial diversity and resistance gene profiles. This pilot study compared pathogen detection and antimicrobial resistance gene (ARG) repertoires in matched K. pneumoniae pure cultures and primary sputum samples using targeted next-generation sequencing (tNGS). Methods: We analyzed 153 sputum samples from patients with CAP. Among 48 culture-positive cases, 22 (14% overall; 54% culture-positive) yielded K. pneumoniae. MALDI-TOF MS, phenotypic drug susceptibility testing, and tNGS were conducted on both culture isolates and matched sputum specimens. Microbial composition, ARG diversity, and method concordance were evaluated, with focused analysis of discordant and fatal cases. Results: K. pneumoniae was detected in 14.4% of all CAP cases and accounted for 54.2% of culture-positive samples. Identification rates differed across methods: 35% by MALDI-TOF MS, 45% by culture tNGS, and 29% by sputum tNGS. Sputum tNGS revealed substantially higher microbial diversity than cultures (3.04 vs. 1.42 species per sample) and detected more than sixfold unique ARGs (38 vs. 7), including clinically relevant determinants that were absent from culture isolates. Concordance was high between MALDI-TOF MS and culture tNGS (κ = 0.712), but low between sputum and culture tNGS (κ = 0.279). Among twelve K. pneumoniae isolates included in AMR analysis, all showed resistance to β-lactams, and two-thirds exhibited MDR/XDR phenotypes. Genotypic screening identified seven ARGs, but major ESBL and carbapenemase genes were not detected, suggesting the presence of alternative resistance mechanisms. Overall, sputum tNGS provided additional etiological and resistome information not captured by cultivation and complemented classical diagnostics in CAP involving K. pneumoniae. Conclusions: Culture-based diagnostics and tNGS provide complementary insights into the detection and resistance profiling of K. pneumoniae in CAP, with sputum tNGS revealing broader microbial and resistome information than pure cultures, while classical methods remain essential for species confirmation and phenotypic AST. An integrated diagnostic approach combining both methodologies may improve pathogen detection, guide antimicrobial therapy, and enhance AMR surveillance in K. pneumoniae-associated CAP. Full article
Show Figures

Figure 1

11 pages, 2256 KB  
Case Report
Cardiac Implantable Electronic Device-Related Infective Endocarditis Caused by Bacillus cereus: A Case Report
by Denis Swolana, Danuta Łoboda, Beata Sarecka-Hujar, Rafał Sznajder, Anna Szajerska-Kurasiewicz, Tadeusz Zębik, Krzysztof S. Gołba and Robert D. Wojtyczka
J. Clin. Med. 2026, 15(1), 344; https://doi.org/10.3390/jcm15010344 - 2 Jan 2026
Viewed by 160
Abstract
Background: Globalization, increased mobility, changes in dietary habits, and a growing number of immunocompromised patients have heightened exposure to rare or opportunistic pathogens. Here, we present a case of cardiac implantable electronic device-related infective endocarditis (CIED-IE) caused by Bacillus cereus bacteremia originating in [...] Read more.
Background: Globalization, increased mobility, changes in dietary habits, and a growing number of immunocompromised patients have heightened exposure to rare or opportunistic pathogens. Here, we present a case of cardiac implantable electronic device-related infective endocarditis (CIED-IE) caused by Bacillus cereus bacteremia originating in the gastrointestinal tract. Case presentation: A 66-year-old female, who had a cardiac resynchronization pacemaker (CRT-P) implanted in 2017 due to second-degree atrioventricular block and left bundle branch block, had undergone device replacement due to battery depletion 4 months earlier and was scheduled for transvenous lead extraction (TLE) due to generator pocket infection. During the TLE procedure, transoesophageal echocardiography revealed vegetations on the leads and in the right atrium. Standard empirical therapy covering methicillin-resistant Staphylococci and Gram-negative bacteria was administered, including oritavancin and gentamicin. Surprisingly, intraoperative samples cultured B. cereus, a Gram-positive, spore-forming rod that usually causes food poisoning through contamination of rice and other starchy foods. B. cereus is generally resistant to β-lactam antibiotics except for carbapenems but is susceptible to glycopeptides. The oritavancin treatment was extended to four fractionated doses (1200, 800, 800, and 800 mg) administered at 7-day intervals. To eradicate bacteria in the gastrointestinal tract, oral vancomycin (125 mg 4 times a day) was added. After 4 weeks of effective antibiotic therapy, a CRT-P with a left bundle branch area pacing lead was reimplanted on the right subclavian area, with no recurrence of infection during the 3-month follow-up. Clinical discussion: In the patient, a diet high in rice and improper storage of rice dishes, together with habitual constipation, were identified as risk factors for the development of invasive Bacillus cereus infection. However, the long half-life lipoglycopeptide antibiotic, oritavancin, administered weekly, proved effective in treating CIED-IE. Conclusions: Infection with rare or opportunistic microorganisms may require extended microbiological diagnostics and non-standard antibiotic therapy; therefore, the medical history should consider risk factors for such infections. Full article
(This article belongs to the Special Issue Diagnostic and Therapeutic Challenges in Infective Endocarditis)
Show Figures

Figure 1

27 pages, 2341 KB  
Review
Molecular Basis of Persister Awakening and Lag-Phase Recovery in Escherichia coli After Antibiotic Exposure
by Karolina Stojowska-Swędrzyńska, Ewa Laskowska and Dorota Kuczyńska-Wiśnik
Int. J. Mol. Sci. 2026, 27(1), 467; https://doi.org/10.3390/ijms27010467 - 1 Jan 2026
Viewed by 324
Abstract
Antibiotic persistence is a transient phenotype in which a subset of genetically susceptible bacteria survives lethal antibiotic exposure without acquiring resistance. However, survival alone does not define a persister cell—only cells that successfully recover, resume growth, and produce viable progeny complete the persister [...] Read more.
Antibiotic persistence is a transient phenotype in which a subset of genetically susceptible bacteria survives lethal antibiotic exposure without acquiring resistance. However, survival alone does not define a persister cell—only cells that successfully recover, resume growth, and produce viable progeny complete the persister cycle. Recent studies in Escherichia coli show that persister awakening is a multistage process shaped by dormancy depth, metabolic state, and antibiotic-induced damage. Upstream induction mechanisms, including stringent-response signaling and toxin–antitoxin–mediated growth arrest, primarily determine dormancy depth but do not directly control awakening kinetics. During the lag phase, persister cells undergo coordinated recovery involving detoxification of residual antibiotics, ATP restoration, dissolution of protein aggregates, and ribosome reactivation. After exposure to fluoroquinolones, awakening additionally requires SOS-driven DNA repair via homologous recombination or transcription-coupled repair. In contrast, β-lactam–exposed persister cells rely mainly on efflux-mediated detoxification and asymmetric damage partitioning. Failure to restore proteostasis or resolve damage results in abortive recovery or cell death. Only after damage processing and metabolic reactivation can persister cells resume division and generate viable progeny. This review integrates current molecular insights into persister cell recovery in E. coli, highlighting the lag phase as the critical barrier between survival and true persistence. Full article
(This article belongs to the Special Issue Research Advances in Antibiotic Resistance)
Show Figures

Figure 1

33 pages, 1221 KB  
Review
Antibiotic Resistance in Klebsiella pneumoniae and Related Enterobacterales: Molecular Mechanisms, Mobile Elements, and Therapeutic Challenges
by Veronika Zdarska, Gabriele Arcari, Milan Kolar and Patrik Mlynarcik
Antibiotics 2026, 15(1), 37; https://doi.org/10.3390/antibiotics15010037 - 1 Jan 2026
Viewed by 901
Abstract
Drug-resistant Klebsiella pneumoniae and related Enterobacterales represent an escalating global public health threat, increasingly limiting therapeutic options in both healthcare- and community-associated infections. This review summarizes how resistance in K. pneumoniae emerges from the synergy of intrinsic barriers and acquired determinants. Key molecular [...] Read more.
Drug-resistant Klebsiella pneumoniae and related Enterobacterales represent an escalating global public health threat, increasingly limiting therapeutic options in both healthcare- and community-associated infections. This review summarizes how resistance in K. pneumoniae emerges from the synergy of intrinsic barriers and acquired determinants. Key molecular mechanisms include reduced permeability via porin remodeling (notably OmpK35/OmpK36), multidrug efflux (e.g., AcrAB-TolC and OqxAB), and enzymatic drug inactivation driven by extended-spectrum beta-lactamases and carbapenemases (e.g., KPC, OXA-48-like enzymes, and metallo-beta-lactamases). We also highlight clinically meaningful pathways underlying polymyxin/colistin resistance, including mgrB inactivation and PhoPQ/PmrAB-mediated lipid A modification. In addition to stable genetic resistance, adaptive programs can shape transient tolerance and persistence, including stress responses that modulate gene expression under antibiotic and host-imposed pressures. The ability of these organisms to form biofilms, particularly on medical devices, further complicates treatment and eradication. Finally, we discuss therapeutic implications and current options and limitations—including novel beta-lactam/beta-lactamase inhibitor combinations and siderophore cephalosporins—and emphasize the importance of aligning therapy and surveillance with the underlying resistance mechanisms and circulating high-risk lineages. Full article
Show Figures

Graphical abstract

17 pages, 700 KB  
Article
Clinical Outcomes and Predictors of Mortality in Patients with Difficult-to-Treat Resistant Pseudomonas aeruginosa Infections: A Retrospective Cohort Study
by Alberto Enrico Maraolo, Antonella Gallicchio, Vincenzo Fotticchia, Maria Rosaria Catania, Riccardo Scotto and Ivan Gentile
Antibiotics 2026, 15(1), 33; https://doi.org/10.3390/antibiotics15010033 - 1 Jan 2026
Viewed by 276
Abstract
Background: Difficult-to-treat resistant Pseudomonas aeruginosa (DTR-PA) infections are associated with high morbidity and mortality, but data on prognostic factors remain limited. Given the limited real-world data on outcomes of DTR-PA infections, we aimed to identify clinical predictors of mortality and response to therapy [...] Read more.
Background: Difficult-to-treat resistant Pseudomonas aeruginosa (DTR-PA) infections are associated with high morbidity and mortality, but data on prognostic factors remain limited. Given the limited real-world data on outcomes of DTR-PA infections, we aimed to identify clinical predictors of mortality and response to therapy in this setting. Methods: We conducted a single-center retrospective cohort study of 51 patients with DTR-PA infections. The primary endpoint was 30-day all-cause mortality; secondary endpoints were clinical and microbiological cure at end of therapy. An exploratory analysis evaluated 30-day infection-related mortality. Logistic regression models (univariable, multivariable and Firth bias-reduced) were used to identify independent predictors. Results: Median age was 64 years (IQR 22); 63% were male and 71% were in the ICU at infection onset. Sepsis occurred in 80% and septic shock in 45%. Thirty-day all-cause mortality was 49% (25/51). According to multivariable analysis, septic shock was an independent predictor of mortality (aOR 5.52, 95% CI 1.04–29.27; p = 0.045) as younger age (aOR 1.06, 95% CI 1.00–1.12; p = 0.052), whereas targeted therapy with ceftazidime/avibactam or ceftolozane/tazobactam is a protective factor (aOR 0.15, 95% CI 0.02–1.17; p = 0.070) did not reach significance in the final model. Clinical cure occurred in 33% (17/51) and was negatively associated with device burden and bloodstream infection, whereas microbiological cure (45%, 23/51) was more likely with targeted therapy and absence of sepsis. The exploratory analysis of infection-related mortality (35%) showed similar predictors. Conclusions: DTR-PA infections are associated with high mortality. Septic shock and older age predict death, while the use of novel β-lactam/β-lactamase inhibitors is associated with improved outcomes. Early recognition of severe illness and timely administration of active therapy may improve survival in these infections. Full article
(This article belongs to the Section Antibiotic Therapy in Infectious Diseases)
Show Figures

Graphical abstract

15 pages, 2123 KB  
Review
Penicillin-Binding Proteins in Streptococcus agalactiae and Their Association with Reduced Penicillin Susceptibility: An Overview
by Leonardo Nagao Ferreira, Bruna Alves Pimentel Hecht, Louisy Sanches dos Santos and Prescilla Emy Nagao
Antibiotics 2026, 15(1), 31; https://doi.org/10.3390/antibiotics15010031 - 1 Jan 2026
Viewed by 264
Abstract
Streptococcus agalactiae are bacteria that can cause a range of infections, some of them life-threatening. Currently, antimicrobial resistance has become a global problem that puts public health at risk. Despite the widespread use of β-lactams, penicillin remains the first-line antimicrobial for the treatment [...] Read more.
Streptococcus agalactiae are bacteria that can cause a range of infections, some of them life-threatening. Currently, antimicrobial resistance has become a global problem that puts public health at risk. Despite the widespread use of β-lactams, penicillin remains the first-line antimicrobial for the treatment of invasive S. agalactiae infections. However, reduced susceptibility and resistance to penicillin have been identified in several countries. Penicillin-binding proteins, mainly PBP2X, have been associated with reduced susceptibility to β-lactams in streptococci. The aim of this review is to summarize currently published data on penicillin-binding proteins in S. agalactiae and penicillin susceptibility, highlighting the increasing number of strains with reduced susceptibility and resistance to penicillin commonly used in the prophylaxis and treatment of invasive infections by this pathogen. Data on invasive S. agalactiae strains with high levels of penicillin resistance have been found in Japan, the United States, Canada, and Africa. The data on antibiotic resistance are alarming and require increased monitoring of strains with reduced penicillin susceptibility, as well as preventive control measures to avoid the spread of resistant mutant strains. Full article
Show Figures

Figure 1

12 pages, 434 KB  
Article
Third-Generation Cephalosporin-Resistant Enterobacterales and Methicillin-Resistant Staphylococcus aureus (MRSA) in Pigs in Rwanda
by Emmanuel Irimaso, Valens Hagenimana, Emmanuel Nzabamwita, Michael Blümlinger, Otto W. Fischer, Lukas Schwarz, Michael P. Szostak, Olga Makarova, Adriana Cabal Rosel, Werner Ruppitsch, Elke Müller, Andrea T. Feßler, Sascha D. Braun, Stefan Schwarz, Stefan Monecke, Ralf Ehricht, Suzana Tkalcic, Christophe Ntakirutimana, Joachim Spergser, Doris Verhovsek and Igor Loncaricadd Show full author list remove Hide full author list
Animals 2026, 16(1), 122; https://doi.org/10.3390/ani16010122 - 31 Dec 2025
Viewed by 386
Abstract
This pilot study investigated the presence of methicillin-resistant Staphylococcus aureus (MRSA) and third-generation cephalosporin-resistant (3GC-R) Enterobacterales in conventionally kept domestic pigs and their environment across four districts in Rwanda. A total of 114 swabs (nasal, rectal, manure, dust) from 29 farms were collected [...] Read more.
This pilot study investigated the presence of methicillin-resistant Staphylococcus aureus (MRSA) and third-generation cephalosporin-resistant (3GC-R) Enterobacterales in conventionally kept domestic pigs and their environment across four districts in Rwanda. A total of 114 swabs (nasal, rectal, manure, dust) from 29 farms were collected and processed to isolate resistant bacteria. Thirty-two 3GC-R Enterobacterales were detected. Escherichia coli predominantly harboring blaCTX-M group 1 β-lactamase genes, alongside Klebsiella pneumoniae isolates, all displaying extended-spectrum β-lactamase (ESBL) phenotypes. Four MRSA isolates, all belonging to clonal complex 398 and SCCmec type IV, the typical livestock MRSA, were recovered from nasal and environmental samples. Multidrug resistance was frequently observed. The co-occurrence of β-lactamase genes, non-β-lactam resistance genes, and virulence factors such as fimH and loci associated with extraintestinal pathogenic and enteropathogenic E. coli. The detection of both MRSA and 3GC-R Enterobacterales in the present study indicates pigs and their farm environments as reservoirs of WHO priority pathogens in Rwanda, highlighting a potential public health risk in the context of extensive human–animal–environment interaction. These findings emphasize the urgent need for integrated One Health surveillance and comprehensive AMR control strategies addressing both animal and environmental reservoirs to support Rwanda’s National Action Plan on Antimicrobial Resistance. Full article
Show Figures

Figure 1

13 pages, 732 KB  
Article
Stewardship in Action: An Evaluation of Antibiotic De-Escalation Prescribing After Positive Pneumococcal Urinary Antigen Testing in a Safety Net Health System
by Mehak Bhatia, Katherine Davanzo, Paul Kim, Jyothik Varun Inampudi, Mazhar Shapoo, Marco Scipione, Sorabh Dhar and Lea Monday
LabMed 2026, 3(1), 1; https://doi.org/10.3390/labmed3010001 - 31 Dec 2025
Viewed by 171
Abstract
The Infectious Diseases Society of America (IDSA) guidelines for community-acquired pneumonia (CAP) recommend pneumococcal urinary antigen testing (UAT) for a subset of inpatients admitted with pneumonia. Despite this, UAT testing is frequently performed on inpatients who do not meet the official IDSA criteria, [...] Read more.
The Infectious Diseases Society of America (IDSA) guidelines for community-acquired pneumonia (CAP) recommend pneumococcal urinary antigen testing (UAT) for a subset of inpatients admitted with pneumonia. Despite this, UAT testing is frequently performed on inpatients who do not meet the official IDSA criteria, and current evidence regarding antibiotic de-escalation in UAT-positive cases remains inconclusive. To explore this further, we conducted a retrospective cohort study examining antibiotic de-escalation patterns among hospitalized CAP patients who underwent UAT over a 60-day period during peak respiratory illness season (November and December, 2023). Patients with positive UAT results were compared to those who had negative UAT; the primary outcome was whether a positive UAT impacted antibiotic de-escalation prescribing. A total of 268 patients were analyzed—235 UAT-negative and 33 UAT-positive. Both groups were comparable in terms of disease severity, underlying health conditions, and readmission rates. Empiric therapy targeting Pseudomonas aeruginosa (P. aeruginosa) and methicillin-resistant Staphylococcus aureus (MRSA) was used in 40% of patients (36% in the UAT-positive group and 46% of the UAG-negative group). The use of atypical coverage, MRSA coverage, or anti-pseudomonal β-lactams was frequently de-escalated in both cohorts (p < 0.05); however, the UAT-positive group had significantly shorter durations of anti-pseudomonal therapy (p = 0.03) and anti-MRSA therapy (p = 0.02). Despite this, the UAT-positive group was more commonly given fluoroquinolones, such as levofloxacin or moxifloxacin, over narrow-spectrum β-lactams for final antibiotic coverage (p = 0.021). Overall, positive UAT appeared to support earlier discontinuation of anti-MRSA and anti-pseudomonal antibiotics; however, it did not impact fluoroquinolone use. Future antimicrobial stewardship efforts may benefit from promoting greater use of narrow-spectrum β-lactams in these patients. Full article
Show Figures

Figure 1

12 pages, 1549 KB  
Article
Whole Genome Sequencing of Drug-Resistant Vibrio cholerae Serotype Ogawa from an Outbreak in Khyber Pakhtunkhwa
by Aftab Ali, Momin Khan, Taj Ali Khan, Sajjad Ahmad, Noor Rahman, Aiman Waheed and Taane G. Clark
Pathogens 2026, 15(1), 39; https://doi.org/10.3390/pathogens15010039 - 29 Dec 2025
Viewed by 330
Abstract
Background: Cholera, caused by Vibrio cholerae, remains endemic in many developing countries, including Pakistan. The extensive use of antibiotics has led to the emergence of antimicrobial resistance in V. cholerae, limiting available treatment options. In this study, we performed molecular characterisation [...] Read more.
Background: Cholera, caused by Vibrio cholerae, remains endemic in many developing countries, including Pakistan. The extensive use of antibiotics has led to the emergence of antimicrobial resistance in V. cholerae, limiting available treatment options. In this study, we performed molecular characterisation of antibiotic-resistant V. cholerae serotype Ogawa isolates from a recent cholera outbreak in Khyber Pakhtunkhwa, Pakistan. Methodology: Suspected cholera stool samples were collected from hospitalised patients at various district hospitals of Khyber Pakhtunkhwa Province (KPK), Pakistan. The samples were transported to the Public Health Reference Microbiology Laboratory at Khyber Medical University, Peshawar. V. cholerae were identified based on colonial morphology, Gram staining, and biochemical tests using EPI 10E. For serotype identification, monovalent antisera were used. Antibiotic susceptibility testing (AST) was performed using CLSI M45 and EUCAST guidelines. DNA was extracted from pure colonies of multidrug-resistant (MDR) V. cholerae and subjected to whole-genome sequencing (WGS) for genomic characterisation using an Illumina MiSeq platform. Results: Of the 350 active diarrheal cases investigated, 70 were confirmed as V. cholerae. The outbreak was initially reported in Dir and was subsequently followed by a high incidence of cholera in the Peshawar district of KPK. All strains belong to the Ogawa serotype, which shows high antibiotic resistance, particularly to ampicillin (n = 62, 88.57%), Sulfamethoxazole/Trimethoprim (n = 60, 85.71%), Erythromycin (n = 59, 84.29%), and Tetracycline (n = 53, 75.71%). The lowest resistance was against Meropenem (n = 1, 1.4%), followed by amikacin (n = 7, 10.0%) and levofloxacin (n = 13, 18.57%). Furthermore, 34 (48.57%) of the isolates were MDR, while 13 (18.57%) were extensively drug-resistant. Six samples were selected for whole-genome sequencing. The selection of six V. cholerae samples for WGS was based on their drug resistance pattern and origin of isolation. At the genomic level, all sequenced V. cholerae strains harboured multiple antimicrobial resistance determinants. Quinolone resistance was associated with mutations and genes in gyrA, gyrB, parC, and parE; resistance to sulfamethoxazole–trimethoprim with folA, folP, and dfr; tetracycline resistance with tetA and tet35; chloramphenicol resistance with catB and S10p; and aminoglycoside resistance with hns, S12p, and gigB. In addition, β-lactam resistance was linked to the presence of efflux and β-lactamase genes, including blaSHV and mox-3. Mutations were identified in gyrA at positions S83I, S177A, and S202A, and in parC at positions S85L and I231V. Collectively, the presence of these resistance determinants likely enables V. cholerae to survive exposure to high concentrations of multiple antibiotics. Conclusions: Our V. cholerae isolates showed close genetic relatedness to previously sequenced strains from Pakistan (2010 and 2022), as well as to recently reported international strains from the USA, Australia, and China. These findings highlight both the long-term persistence of these lineages within Pakistan and their international dissemination, likely facilitated by globalisation. Full article
Show Figures

Figure 1

Back to TopTop