Two Comprehensive Liquid Chromatography High-Resolution Mass Spectrometry (UPLC-MS/MS) Multi-Methods for Real-Time Therapeutic Drug Monitoring (TDM) of Five Novel Beta-Lactams and of Fosfomycin Administered by Continuous Infusion
Abstract
1. Introduction
2. Materials and Methods
2.1. Reagents and Chemicals
2.2. Preparation of Stock Solution, Calibrators, and Quality Control Samples
2.3. Sample Pre-Treatment
2.4. LC-MS/MS Instrumentation and Analysis
2.5. Validation Procedures
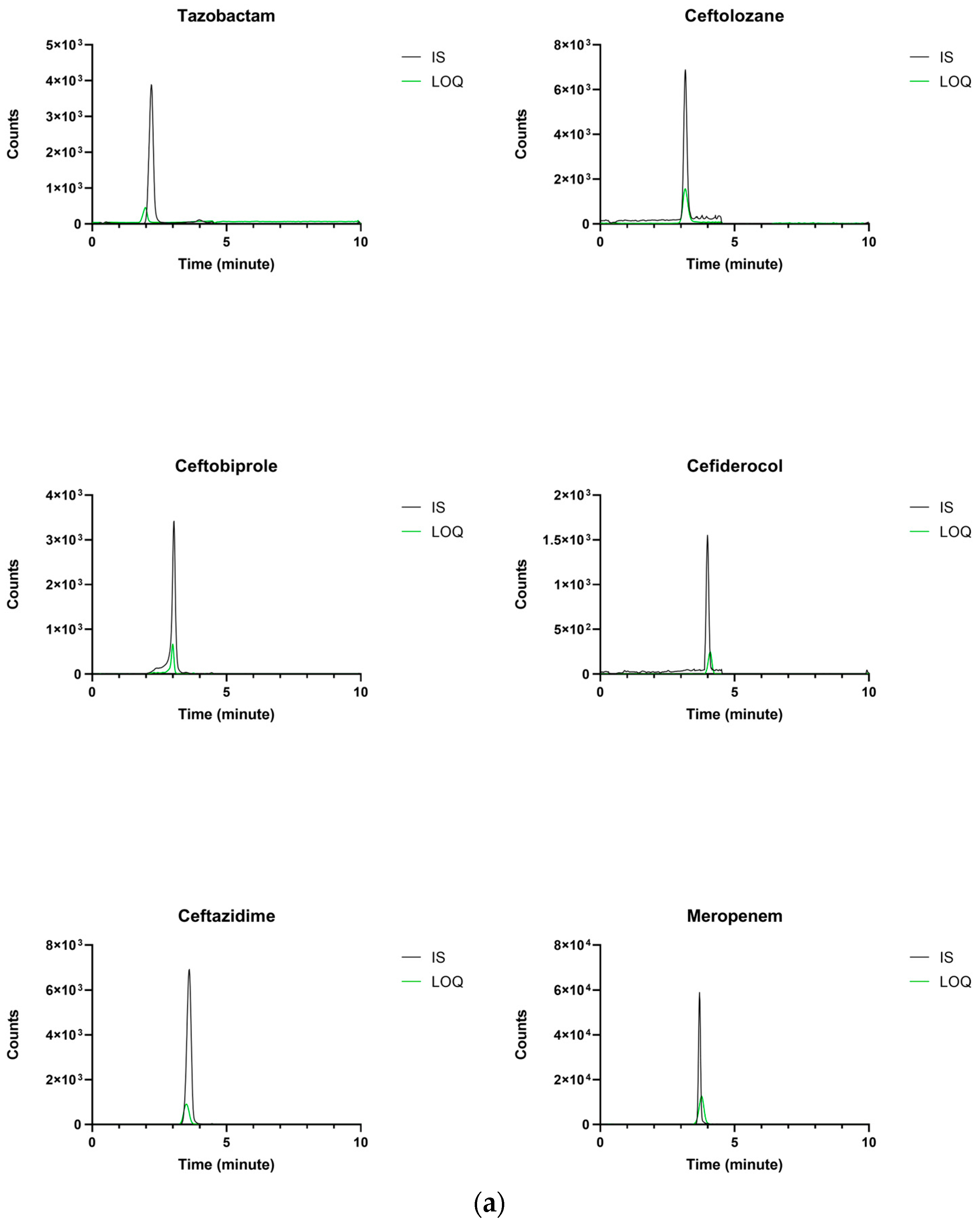
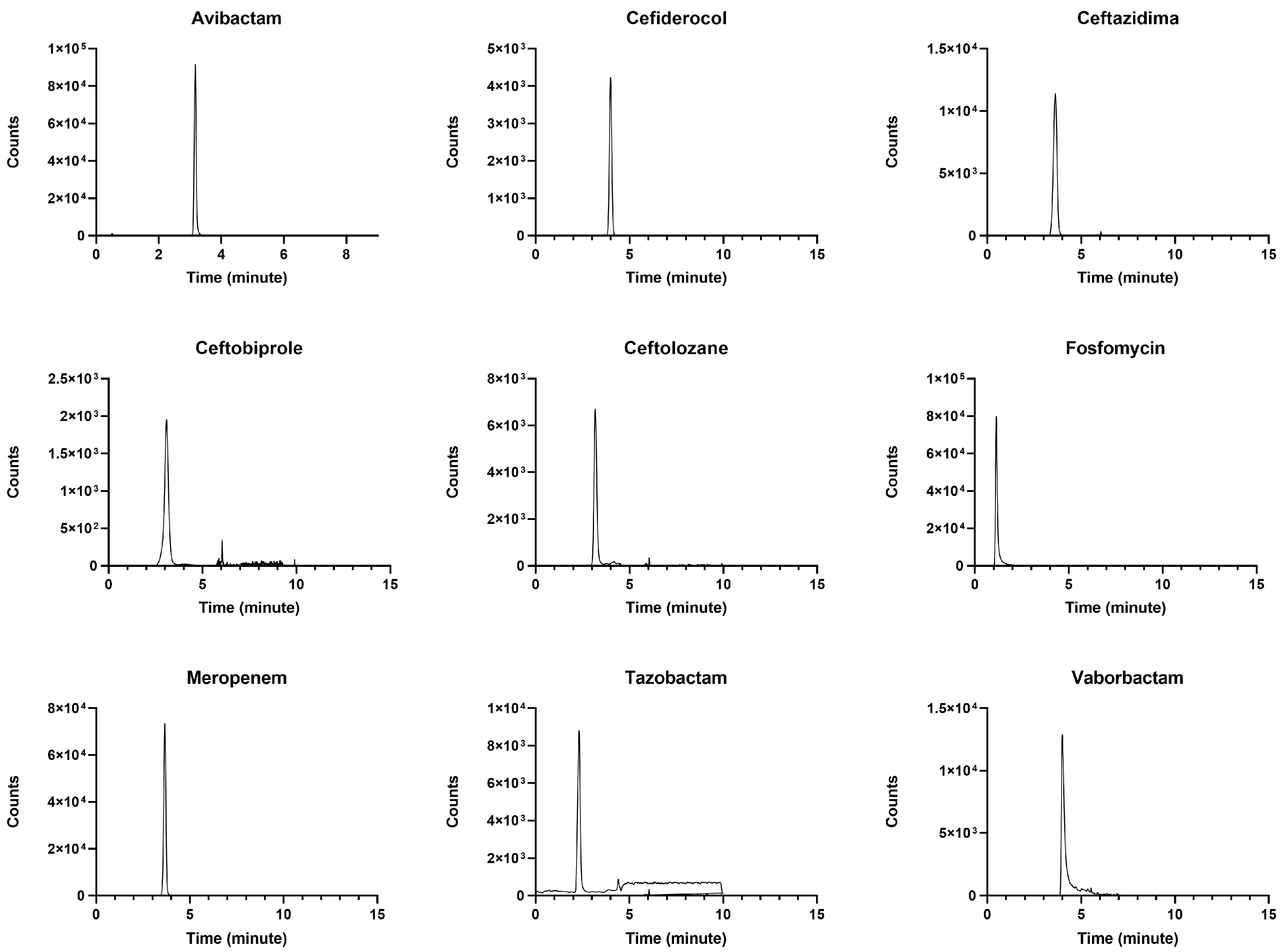
2.5.1. Selectivity and Carry-Over
2.5.2. Linearity and Limit of Quantification (LOQ)
2.5.3. Precision and Accuracy
2.5.4. Matrix Effect and Extraction Recovery Percent
2.5.5. Stability
- Extracts kept at 4 °C over 24 h, for 5 d;
- Extracts after three complete freeze and thaw cycles from −80 °C to 25 °C.
2.6. Application to Clinical Samples
3. Results
3.1. Analytical Performance
3.2. Method Validation
3.3. Stability
3.4. Clinical Validation
4. Discussion
5. Conclusions
Author Contributions
Funding
Institutional Review Board Statement
Informed Consent Statement
Data Availability Statement
Conflicts of Interest
Abbreviations
| TDM | Therapeutic drug monitoring |
| UPLC-qTOF-MS/MS | Ultraperformance Liquid Chromatography-quadrupole-Time-of-Flight-Mass Spectrometry |
| LC | Liquid chromatography |
| MRM | Multiple Reaction Monitoring |
| IS | Internal standard |
| EMA | European Medicine Agency |
| MRSA | Methicillin-resistant staphylococcus aureus |
| CE | Collision energy |
| DP | Declustering potential |
| QC | Quality control |
| LOQ | Limit of quantification |
| LQC | Low-quality control |
| MQC | Medium-quality control |
| HQC | High-quality control |
| CONC | Concentration |
| AVG | Average |
| S/N | Signal-to-noise ratio |
| CV | Coefficient of variation |
| ER | Extraction recovery |
| ME | Matrix effect |
| CI | Continuous infusion |
References
- Fleischmann-Struzek, C.; Mellhammar, L.; Rose, N.; Cassini, A.; Rudd, K.E.; Schlattmann, P.; Allegranzi, B.; Reinhart, K. Incidence and Mortality of Hospital- and ICU-Treated Sepsis: Results from an Updated and Expanded Systematic Review and Meta-Analysis. Intensive Care Med. 2020, 46, 1552–1562. [Google Scholar] [CrossRef]
- Tamma, P.D.; Heil, E.L.; Justo, J.A.; Mathers, A.J.; Satlin, M.J.; Bonomo, R.A. Infectious Diseases Society of America 2024 Guidance on the Treatment of Antimicrobial-Resistant Gram-Negative Infections. Clin. Infect. Dis. 2024, ciae403. [Google Scholar] [CrossRef]
- Tängdén, T.; Pulcini, C.; Aagaard, H.; Balasegaram, M.; Hara, G.L.; Nathwani, D.; Sharland, M.; Theuretzbacher, U.; Cars, O. Unavailability of Old Antibiotics Threatens Effective Treatment for Common Bacterial Infections. Lancet Infect. Dis. 2018, 18, 242–244. [Google Scholar] [CrossRef]
- Yahav, D.; Giske, C.G.; Grāmatniece, A.; Abodakpi, H.; Tam, V.H.; Leibovici, L. New β-Lactam–β-Lactamase Inhibitor Combinations. Clin. Microbiol. Rev. 2020, 34, e00115-20. [Google Scholar] [CrossRef]
- Hsu, W.-H.; Hsu, C.-K.; Lai, C.-C. Ceftobiprole Medocaril for the Treatment of Pneumonia. Expert. Rev. Anti Infect. Ther. 2023, 21, 551–563. [Google Scholar] [CrossRef]
- Marx, K.; Malmström, N.; Quast, M.; Glas, A.; Wendt, R.; Kinzig, M.; Sörgel, F.; Fedders, M.; Bertsche, T.; Lübbert, C. Monitoring Plasma Concentrations of Intravenously Administered Fosfomycin to Prevent Drug-Related Adverse Events: A Retrospective Observational Study. Antibiotics 2025, 14, 548. [Google Scholar] [CrossRef]
- Roberts, J.A.; Abdul-Aziz, M.-H.; Davis, J.S.; Dulhunty, J.M.; Cotta, M.O.; Myburgh, J.; Bellomo, R.; Lipman, J. Continuous versus Intermittent β-Lactam Infusion in Severe Sepsis. A Meta-Analysis of Individual Patient Data from Randomized Trials. Am. J. Respir. Crit. Care Med. 2016, 194, 681–691. [Google Scholar] [CrossRef] [PubMed]
- Pilmis, B.; Petitjean, G.; Lesprit, P.; Lafaurie, M.; El Helali, N.; Le Monnier, A.; on behalf the ATB PK/PD Study Group. Continuous Infusion of Ceftolozane/Tazobactam Is Associated with a Higher Probability of Target Attainment in Patients Infected with Pseudomonas aeruginosa. Eur. J. Clin. Microbiol. Infect. Dis. 2019, 38, 1457–1461. [Google Scholar] [CrossRef] [PubMed]
- Feasibility of Continuous Infusion of Cefiderocol in Conjunction with the Establishment of Therapeutic Drug Monitoring in Patients with Extensively Drug-Resistant Gram-Negative Bacteria—PMC. Available online: https://pmc.ncbi.nlm.nih.gov/articles/PMC10075148/?utm_source=chatgpt.com (accessed on 24 November 2025).
- Berry, A.V.; Kuti, J.L. Pharmacodynamic Thresholds for Beta-Lactam Antibiotics: A Story of Mouse Versus Man. Front. Pharmacol. 2022, 13, 833189. [Google Scholar] [CrossRef] [PubMed]
- Farooq, A.; Martens, M.; Kroemer, N.; Pfaffendorf, C.; Decousser, J.-W.; Nordmann, P.; Wicha, S.G. Pharmacokinetic/Pharmacodynamic Analysis of Meropenem and Fosfomycin Combinations in in Vitro Time-Kill and Hollow-Fibre Infection Models against Multidrug-Resistant and Carbapenemase-Producing Klebsiella Pneumoniae. J. Antimicrob. Chemother. 2025, 80, 701–712. [Google Scholar] [CrossRef]
- Esteve-Pitarch, E.; Padullés-Zamora, A.; Maisterra-Santos, K.; Colom-Codina, H.; Cobo-Sacristán, S. OTAC: Optimization of Antibiotic Therapy in Critically Ill Patients. Using Beta-Lactam Antibiotics by Continuous Infusion. Farm. Hosp. 2019, 43, 151–157. [Google Scholar] [CrossRef]
- Fresan, D.; Luque, S.; Benítez-Cano, A.; Sorlí, L.; Milagro Montero, M.; De-Antonio, M.; Prim, N.; Vega, V.; Horcajada, J.P.; Grau, S. Pharmacokinetics/Pharmacodynamics and Therapeutic Drug Monitoring of Ceftazidime/Avibactam Administered by Continuous Infusion in Patients with MDR Gram-Negative Bacterial Infections. J. Antimicrob. Chemother. 2023, 78, 678–683. [Google Scholar] [CrossRef]
- Dhaese, S.; Heffernan, A.; Liu, D.; Abdul-Aziz, M.H.; Stove, V.; Tam, V.H.; Lipman, J.; Roberts, J.A.; De Waele, J.J. Prolonged Versus Intermittent Infusion of β-Lactam Antibiotics: A Systematic Review and Meta-Regression of Bacterial Killing in Preclinical Infection Models. Clin. Pharmacokinet. 2020, 59, 1237–1250. [Google Scholar] [CrossRef] [PubMed]
- Gandéga, H.; Poujol, H.; Mezzarobba, M.; Muller, L.; Boyer, J.C.; Lefrant, J.Y.; Leguelinel, G.; Roger, C. Determinants of Beta-Lactam PK/PD Target Attainment in Critically Ill Patients: A Single Center Retrospective Study. J. Crit. Care 2024, 83, 154828. [Google Scholar] [CrossRef]
- Olivet, J.D.; Amerson-Brown, M.; Calix, J.J.; Graffice, E.; Kilpatrick, T.; Roenfanz, H.F.; Nicolau, D.P.; Kuti, J.L.; Brown, M.L. Pharmacokinetics of Continuous Infusion Ceftolozane/Tazobactam in Two Patients with Extensive Total Body Surface Area Burns. Pharmacotherapy 2025, 45, 386–392. [Google Scholar] [CrossRef]
- Abdul-Aziz, M.H.; Hammond, N.E.; Brett, S.J.; Cotta, M.O.; De Waele, J.J.; Devaux, A.; Di Tanna, G.L.; Dulhunty, J.M.; Elkady, H.; Eriksson, L.; et al. Prolonged vs Intermittent Infusions of β-Lactam Antibiotics in Adults With Sepsis or Septic Shock: A Systematic Review and Meta-Analysis. JAMA 2024, 332, 638–648. [Google Scholar] [CrossRef]
- Abdul-Aziz, M.H.; Portunato, F.; Roberts, J.A. Prolonged Infusion of Beta-Lactam Antibiotics for Gram-Negative Infections: Rationale and Evidence Base. Curr. Opin. Infect. Dis. 2020, 33, 501–510. [Google Scholar] [CrossRef]
- Guilhaumou, R.; Benaboud, S.; Bennis, Y.; Dahyot-Fizelier, C.; Dailly, E.; Gandia, P.; Goutelle, S.; Lefeuvre, S.; Mongardon, N.; Roger, C.; et al. Optimization of the Treatment with Beta-Lactam Antibiotics in Critically Ill Patients-Guidelines from the French Society of Pharmacology and Therapeutics (Société Française de Pharmacologie et Thérapeutique-SFPT) and the French Society of Anaesthesia and Intensive Care Medicine (Société Française d’Anesthésie et Réanimation-SFAR). Crit. Care 2019, 23, 104. [Google Scholar] [CrossRef] [PubMed]
- Barone, R.; Conti, M.; Cojutti, P.G.; Gatti, M.; Viale, P.; Pea, F. Fast and Sensitive Analysis of Cefiderocol in Human Plasma Microsamples by Liquid Chromatography-Isotope Dilution Tandem Mass Spectrometry for Therapeutic Drug Monitoring. Antibiotics 2023, 12, 213. [Google Scholar] [CrossRef]
- Barone, R.; Conti, M.; Giorgi, B.; Gatti, M.; Cojutti, P.G.; Viale, P.; Pea, F. Fast and Sensitive Analysis of Fosfomycin in Human Plasma Microsamples Using Liquid Chromatography–Tandem Mass Spectrometry for Therapeutic Drug Monitoring. Ther. Drug Monit. 2023, 46, 384–390. [Google Scholar] [CrossRef] [PubMed]
- Barone, R.; Conti, M.; Giorgi, B.; Gatti, M.; Cojutti, P.G.; Viale, P.; Pea, F. Fast and Sensitive Method for Simultaneous Quantification of Meropenem and Vaborbactam in Human Plasma Microsamples by Liquid Chromatography-Tandem Mass Spectrometry for Therapeutic Drug Monitoring. Antibiotics 2023, 12, 719. [Google Scholar] [CrossRef]
- Magréault, S.; Jaureguy, F.; Zahar, J.-R.; Méchaï, F.; Toinon, D.; Cohen, Y.; Carbonnelle, E.; Jullien, V. Automated HPLC-MS/MS Assay for the Simultaneous Determination of Ten Plasma Antibiotic Concentrations. J. Chromatogr. B 2022, 1211, 123496. [Google Scholar] [CrossRef]
- Radovanovic, M.; Day, R.O.; Jones, G.D.R.; Galettis, P.; Norris, R.L.G. LC–MS/MS Method for Simultaneous Quantification of Ten Antibiotics in Human Plasma for Routine Therapeutic Drug Monitoring. J. Mass Spectrom. Adv. Clin. Lab 2022, 26, 48–59. [Google Scholar] [CrossRef]
- Van Vooren, S.; Verstraete, A.G. A Sensitive and High-Throughput Quantitative Liquid Chromatography High-Resolution Mass Spectrometry Method for Therapeutic Drug Monitoring of 10 β-Lactam Antibiotics, Linezolid and Two β-Lactamase Inhibitors in Human Plasma. Biomed. Chromatogr. 2021, 35, e5092. [Google Scholar] [CrossRef]
- Bjergum, M.W.; Barreto, E.F.; Scheetz, M.H.; Rule, A.D.; Jannetto, P.J. Stability and Validation of a High-Throughput LC-MS/MS Method for the Quantification of Cefepime, Meropenem, and Piperacillin and Tazobactam in Serum. J. Appl. Lab. Med. 2021, 6, 1202–1212. [Google Scholar] [CrossRef] [PubMed]
- Töltl, L.; Oberacher, H. High-Resolution Mass Spectrometry for Therapeutic Drug Monitoring of Antibiotics. Bioanalysis 2020, 12, 77–92. [Google Scholar] [CrossRef]
- Mekking, X.M.; Velthoven-Graafland, K.; Teulen, M.J.A.; Brüggemann, R.J.M.; te Brake, L.H.M.; Jager, N.G.L. Development and Validation of an UPLC–MS/MS Assay for the Simultaneous Quantification of Seven Commonly Used Antibiotics in Human Plasma and Its Application in Therapeutic Drug Monitoring. J. Antimicrob. Chemother. 2024, 79, 883–890. [Google Scholar] [CrossRef]
- EMA Bioanalytical Method Validation. Available online: https://www.ema.europa.eu/en/bioanalytical-method-validation (accessed on 28 September 2025).
- Putnam, W.C.; Kallem, R.R.; Edpuganti, V.; Subramaniyan, I.; Hall, R.G. Development and Validation of a Quantitative LC-MS/MS Method for the Simultaneous Determination of Ceftolozane and Tazobactam in Human Plasma and Urine. J. Chromatogr. B Anal. Technol. Biomed. Life Sci. 2020, 1159, 122354. [Google Scholar] [CrossRef]
- Llopis, B.; Bleibtreu, A.; Schlemmer, D.; Robidou, P.; Paccoud, O.; Tissot, N.; Noé, G.; Junot, H.; Luyt, C.-É.; Funck-Brentano, C.; et al. Simple and Accurate Quantitative Analysis of Cefiderocol and Ceftobiprole in Human Plasma Using Liquid Chromatography-Isotope Dilution Tandem Mass Spectrometry: Interest for Their Therapeutic Drug Monitoring and Pharmacokinetic Studies. Clin. Chem. Lab. Med. 2021, 59, 1800–1810. [Google Scholar] [CrossRef] [PubMed]
- Sillén, H.; Mitchell, R.; Sleigh, R.; Mainwaring, G.; Catton, K.; Houghton, R.; Glendining, K. Determination of Avibactam and Ceftazidime in Human Plasma Samples by LC-MS. Bioanalysis 2015, 7, 1423–1434. [Google Scholar] [CrossRef] [PubMed]
- Roberts, J.A.; Abdul-Aziz, M.H.; Lipman, J.; Mouton, J.W.; Vinks, A.A.; Felton, T.W.; Hope, W.W.; Farkas, A.; Neely, M.N.; Schentag, J.J.; et al. Individualised Antibiotic Dosing for Patients Who Are Critically Ill: Challenges and Potential Solutions. Lancet Infect. Dis. 2014, 14, 498–509. [Google Scholar] [CrossRef]
- Ulldemolins, M.; Roberts, J.A.; Lipman, J.; Rello, J. Antibiotic Dosing in Multiple Organ Dysfunction Syndrome. Chest 2011, 139, 1210–1220. [Google Scholar] [CrossRef] [PubMed]
- Ferrari, D.; Ripa, M.; Premaschi, S.; Banfi, G.; Castagna, A.; Locatelli, M. LC-MS/MS Method for Simultaneous Determination of Linezolid, Meropenem, Piperacillin and Teicoplanin in Human Plasma Samples. J. Pharm. Biomed. Anal. 2019, 169, 11–18. [Google Scholar] [CrossRef]
- Pinder, N.; Brenner, T.; Swoboda, S.; Weigand, M.A.; Hoppe-Tichy, T. Therapeutic Drug Monitoring of Beta-Lactam Antibiotics—Influence of Sample Stability on the Analysis of Piperacillin, Meropenem, Ceftazidime and Flucloxacillin by HPLC-UV. J. Pharm. Biomed. Anal. 2017, 143, 86–93. [Google Scholar] [CrossRef] [PubMed]
- Barbier, F.; Hraiech, S.; Kernéis, S.; Veluppillai, N.; Pajot, O.; Poissy, J.; Roux, D.; Zahar, J.-R.; on behalf of the French Intensive Care Society. Rationale and Evidence for the Use of New Beta-Lactam/Beta-Lactamase Inhibitor Combinations and Cefiderocol in Critically Ill Patients. Ann. Intensive Care 2023, 13, 65. [Google Scholar] [CrossRef]
- Gatti, M.; Cojutti, P.G.; Rinaldi, M.; Ambretti, S.; Giannella, M.; Viale, P.; Pea, F. Utility of a TDM-Guided Expert Clinical Pharmacological Advice Program for Optimizing the Use of Novel Beta-Lactam/Beta-Lactamase Inhibitor Combinations and Cefiderocol in a Tertiary University Hospital: An Interim Analysis. Ther. Drug Monit. 2025, 47, 809. [Google Scholar] [CrossRef] [PubMed]
- Abdul-Aziz, M.H.; Alffenaar, J.-W.C.; Bassetti, M.; Bracht, H.; Dimopoulos, G.; Marriott, D.; Neely, M.N.; Paiva, J.-A.; Pea, F.; Sjovall, F.; et al. Antimicrobial Therapeutic Drug Monitoring in Critically Ill Adult Patients: A Position Paper. Intensive Care Med. 2020, 46, 1127–1153. [Google Scholar] [CrossRef]
- Pai Mangalore, R.; Ashok, A.; Lee, S.J.; Romero, L.; Peel, T.N.; Udy, A.A.; Peleg, A.Y. Beta-Lactam Antibiotic Therapeutic Drug Monitoring in Critically Ill Patients: A Systematic Review and Meta-Analysis. Clin. Infect. Dis. 2022, 75, 1848–1860. [Google Scholar] [CrossRef]
- Gatti, M.; Rinaldi, M.; Cojutti, P.G.; Bonazzetti, C.; Siniscalchi, A.; Tonetti, T.; Ambretti, S.; Tedeschi, S.; Giannella, M.; Viale, P.; et al. A Pre-Post Quasi-Experimental Study of Antimicrobial Stewardship Exploring the Impact of a Multidisciplinary Approach Aimed at Attaining an Aggressive Joint Pharmacokinetic/Pharmacodynamic Target with Ceftazidime/Avibactam on Treatment Outcome of KPC-Producing Klebsiella Pneumoniae Infections and on Ceftazidime/Avibactam Resistance Development. Antimicrob. Agents Chemother. 2025, 69, e0048825. [Google Scholar] [CrossRef]




| Analyte | Calibrator 1 (μg/mL) | Calibrator 2 (μg/mL) | Calibrator 3 (μg/mL) | Calibrator 4 (μg/mL) | Calibrator 5 (μg/mL) | Calibrator 6 (μg/mL) |
|---|---|---|---|---|---|---|
| Meropenem | 6.25 | 12.5 | 25 | 50 | 100 | 200 |
| Ceftazidime | 6.25 | 12.5 | 25 | 50 | 100 | 200 |
| Ceftolozane | 6.25 | 12.5 | 25 | 50 | 100 | 200 |
| Tazobactam | 3.13 | 6.25 | 12.5 | 25 | 50 | 100 |
| Cefiderocol | 6.25 | 12.5 | 25 | 50 | 100 | 200 |
| Ceftobiprole | 3.13 | 6.25 | 12.5 | 25 | 50 | 100 |
| Avibactam | 1.56 | 3.13 | 6.25 | 12.5 | 25 | 50 |
| Fosfomycin | 15.62 | 31.25 | 62.5 | 125 | 250 | 500 |
| Vaborbactam | 6.25 | 12.5 | 25 | 50 | 100 | 200 |
| Analyte | LOQ (Limit of Quantification) | LQC (Low QC) | MQC (Medium QC) | HQC (High QC) |
|---|---|---|---|---|
| Meropenem | 6.25 | 10 | 25 | 50 |
| Ceftazidime | 6.25 | 10 | 25 | 50 |
| Ceftolozane | 6.25 | 10 | 25 | 50 |
| Tazobactam | 3.13 | 5 | 12.5 | 25 |
| Cefiderocol | 6.25 | 10 | 25 | 50 |
| Ceftobiprole | 3.13 | 5 | 12.5 | 25 |
| Avibactam | 1.56 | 2 | 6.25 | 12.5 |
| Fosfomycin | 15.62 | 20 | 62.5 | 125 |
| Vaborbactam | 6.25 | 10 | 25 | 50 |
| (a) | |||
| Time (min.) | A (%) | B (%) | Flow (mL/min.) |
| 0.00 | 98 | 2 | 0.5 |
| 0.20 | 98 | 2 | 0.5 |
| 4.00 | 40 | 60 | 0.5 |
| 4.10 | 2 | 98 | 0.5 |
| 5.50 | 2 | 98 | 0.5 |
| 5.60 | 98 | 2 | 0.5 |
| 10.0 | 98 | 2 | 0.5 |
| (b) | |||
| Time (min.) | A (%) | B (%) | Flow (mL/min.) |
| 0.00 | 98 | 2 | 0.5 |
| 0.10 | 98 | 2 | 0.5 |
| 5.00 | 0 | 100 | 0.5 |
| 7.00 | 0 | 100 | 0.5 |
| 7.10 | 98 | 2 | 0.5 |
| 12.0 | 98 | 2 | 0.5 |
| (a) | ||||||
| Ion source gas 1 pressure | Ion source gas 1 Pressure | Curtain gas pressure | CAD gas | Gas temperature | Polarity | Spray voltage |
| 45 psi | 55 psi | 35 psi | 7 | 550 °C | Positive | 5500 V |
| TOF start-stop mass | Accumulation time | Declustering potential | DP spread | Collision energy (CE) | CE spread | |
| 250–850 Da | 0.25 s | 40 V | 0 V | 5 V | 0 V | |
| (b) | ||||||
| Ion source gas 1 pressure | Ion source gas 1 Pressure | Curtain gas pressure | CAD gas | Gas temperature | Polarity | Spray voltage |
| 40 psi | 45 psi | 35 psi | 7 | 450 °C | Negative | −4500 V |
| TOF start-stop mass | Accumulation time | Declustering potential | DP spread | Collision energy (CE) | CE spread | |
| 100–400 Da | 0.1 s | −40 V | 0 V | −5 V | 0 V | |
| Analyte | Retention Time (min.) | Precursor Ion—Quantifier (m/z) | Product Ion—Qualifier (m/z) | Accumulation Time (ms) | DP (V) | CE (V) |
|---|---|---|---|---|---|---|
| Meropenem | 3.7 | 384.00000 | 141.10260 | 50 | 27 | 20 |
| [2H6]-Meropenem | 3.7 | 390.00000 | 147.14010 | 50 | 27 | 20 |
| Ceftazidime | 3.6 | 547.50000 | 167.02770 | 50 | 40 | 35 |
| [2H6]-Ceftazidime | 3.6 | 553.50000 | 167.02820 | 50 | 40 | 35 |
| Ceftolozane | 3.2 | 334.50000 | 139.06190 | 50 | 20 | 30 |
| [2H4-15N2]-Ceftolozane | 3.2 | 337.50000 | 139.06240 | 50 | 20 | 30 |
| Tazobactam | 1.9 | 301.28900 | 122.06100 | 50 | 20 | 25 |
| [13C2-15N3]-Tazobactam | 1.9 | 306.28900 | 122.06040 | 50 | 20 | 25 |
| Cefiderocol | 3.9 | 752.20000 | 285.10040 | 50 | 20 | 30 |
| [2H8]-Cefiderocol | 3.9 | 760.20000 | 293.15040 | 50 | 20 | 30 |
| Ceftobiprole | 3.1 | 535.10000 | 203.11860 | 50 | 40 | 40 |
| [15N-2H4]-Ceftobiprole | 3.1 | 540.10000 | 208.14060 | 50 | 40 | 40 |
| Avibactam | 2.7 | 264.03080 | 95.95280 | 50 | −40 | −30 |
| [13C5]-Avibactam | 2.7 | 269.04730 | 95.95260 | 50 | −40 | −30 |
| Fosfomycin | 1.02 | 137.00160 | 78.95970 | 50 | −40 | −20 |
| [13C3]-Fosfomycin | 1.02 | 301.0000 | 78.95960 | 50 | −40 | −20 |
| Vaborbactam | 3.86 | 296.07790 | 234.07730 | 50 | −40 | −25 |
| [13C2-2H3]-Vaborbactam | 3.86 | 301.10090 | 239.10050 | 50 | −40 | −25 |
| Analyte | Dynamic Range (µg/mL) | Regression Equation | R2 |
|---|---|---|---|
| Meropenem | 6.25–200 | y = 0.041 (± 0.006)x + 0.424 (± 0.003) | 0.998 |
| Ceftazidime | 6.25–200 | y = 0.040 (± 0.004)x − 0.381 (± 0.003) | 0.999 |
| Ceftolozane | 6.25–200 | y = 0.031 (± 0.003)x + 0.232 (± 0.002) | 0.998 |
| Tazobactam | 3.13–100 | y = 0.249 (± 0.005)x + 0.669 (± 0.002) | 0.999 |
| Cefiderocol | 6.25–200 | y = 0.046 (± 0.005)x − 0.142 (± 0.003) | 0.999 |
| Ceftobiprole | 3.13–100 | y = 0.062 (± 0.007)x + 0.045 (± 0.004) | 0.999 |
| Avibactam | 1.56–50 | y = 0.043 (± 0.002)x + 0.011 (± 0.002) | 0.999 |
| Fosfomycin | 15.62–500 | y = 0.125 (± 0.003)x + 1.493 (± 0.004) | 0.998 |
| Vaborbactam | 6.25–200 | y = 0.089 (± 0.004)x + 0.047 (± 0.002) | 0.999 |
| QC Levels | Intraday (n = 5) | Inter—Day | ||||||
|---|---|---|---|---|---|---|---|---|
| Sample | Analyte | Nominal Conc. (μg/mL) | Avg Conc. (μg/mL) | Avg Precision (CV%) | Avg Accuracy (Bias %) | Avg Conc. (μg/mL) | Avg Precision (CV%) | Avg Accuracy (Bias %) |
| LOQ | Meropenem | 6.25 | 5.78 | 7.28 | −7.52 | 6.00 | 7.26 | −4.00 |
| Ceftazidime | 6.25 | 6.72 | 11.90 | 7.53 | 6.73 | 10.11 | 7.73 | |
| Ceftolozane | 6.25 | 5.76 | 11.00 | −7.84 | 6.00 | 7.64 | −4.00 | |
| Tazobactam | 3.13 | 2.94 | 13.10 | −5.92 | 3.03 | 13.70 | −2.93 | |
| Cefiderocol | 6.25 | 6.56 | 6.52 | 4.96 | 6.60 | 6.06 | 5.60 | |
| Ceftobiprole | 3.13 | 2.78 | 9.98 | −11.00 | 2.93 | 8.58 | −6.13 | |
| Avibactam | 1.56 | 1.52 | 15.70 | −2.56 | 1.40 | 14.30 | −10.30 | |
| Fosfomycin | 15.62 | 15.48 | 5.54 | −0.93 | 14.30 | 10.20 | −8.27 | |
| Vaborbactam | 6.25 | 6.14 | 7.15 | −1.76 | 6.13 | 9.96 | −1.87 | |
| LQC | Meropenem | 10.00 | 10.08 | 0.68 | 0.80 | 10.30 | 6.37 | 3.00 |
| Ceftazidime | 10.00 | 9.90 | 0.59 | −1.00 | 10.13 | 6.42 | 1.33 | |
| Ceftolozane | 10.00 | 10.12 | 0.67 | 1.20 | 10.33 | 6.44 | 3.33 | |
| Tazobactam | 5.00 | 4.90 | 0.64 | −2.00 | 5.03 | 13.95 | 0.67 | |
| Cefiderocol | 10.00 | 9.96 | 0.49 | −0.40 | 9.97 | 4.18 | −0.33 | |
| Ceftobiprole | 5.00 | 5.08 | 0.58 | 1.60 | 5.33 | 9.62 | 6.67 | |
| Avibactam | 2.00 | 2.02 | 0.26 | 1.00 | 2.03 | 10.24 | 1.67 | |
| Fosfomycin | 20.00 | 19.94 | 0.88 | −0.30 | 20.07 | 5.67 | 0.33 | |
| Vaborbactam | 10.00 | 10.06 | 0.79 | 0.60 | 10.33 | 5.83 | 3.33 | |
| MQC | Meropenem | 25.00 | 24.62 | 2.56 | −1.52 | 24.87 | 2.68 | −0.53 |
| Ceftazidime | 25.00 | 25.36 | 2.68 | 1.44 | 25.23 | 3.23 | 0.93 | |
| Ceftolozane | 25.00 | 24.50 | 2.72 | −2.00 | 24.87 | 2.68 | −0.53 | |
| Tazobactam | 12.50 | 12.38 | 4.36 | −0.96 | 12.70 | 3.43 | 1.60 | |
| Cefiderocol | 25.00 | 24.98 | 3.60 | −0.08 | 25.40 | 3.80 | 1.60 | |
| Ceftobiprole | 12.50 | 11.94 | 6.74 | −4.48 | 12.27 | 7.70 | −1.87 | |
| Avibactam | 6.25 | 5.96 | 6.77 | −4.64 | 6.03 | 9.99 | −3.47 | |
| Fosfomycin | 62.50 | 61.96 | 1.59 | −0.86 | 62.17 | 1.39 | −0.53 | |
| Vaborbactam | 25.00 | 24.78 | 3.36 | −0.88 | 24.77 | 3.66 | −0.93 | |
| HQC | Meropenem | 50.00 | 49.60 | 1.20 | −0.80 | 49.50 | 1.65 | −1.00 |
| Ceftazidime | 50.00 | 50.52 | 0.91 | 1.04 | 50.37 | 1.29 | 0.73 | |
| Ceftolozane | 50.00 | 49.42 | 1.43 | −1.16 | 49.70 | 1.61 | −0.60 | |
| Tazobactam | 25.00 | 24.54 | 1.95 | −1.84 | 24.97 | 2.84 | −0.13 | |
| Cefiderocol | 50.00 | 50.40 | 0.92 | 0.80 | 50.37 | 1.19 | 0.73 | |
| Ceftobiprole | 25.00 | 24.50 | 2.48 | −2.00 | 25.03 | 2.94 | 0.13 | |
| Avibactam | 12.50 | 12.38 | 4.62 | −0.96 | 12.53 | 5.88 | 0.27 | |
| Fosfomycin | 125.00 | 125.60 | 1.03 | 0.48 | 126.00 | 1.31 | 0.80 | |
| Vaborbactam | 50.00 | 49.60 | 1.31 | −0.08 | 49.70 | 1.41 | −0.6 | |
| Quality Control Levels | Analyte | N° Replicates | Avg Matrix Effect (%) | Avg IS-Normalized Matrix Effect (%) | Avg Extraction Recovery (%) |
|---|---|---|---|---|---|
| LQC | Meropenem | 30 | −1.68 | 0.42 | 93.34 |
| Ceftazidime | 30 | 45.30 | −0.26 | 99.89 | |
| Ceftolozane | 30 | 8.72 | 3.06 | 95.97 | |
| Tazobactam | 30 | 38.9 | 0.48 | 98.72 | |
| Cefiderocol | 30 | 7.37 | −0.56 | 99.96 | |
| Ceftobiprole | 30 | −18.40 | −0.32 | 97.60 | |
| Avibactam | 30 | 27.98 | 0.96 | 96.02 | |
| Fosfomycin | 30 | −14.40 | −0.23 | 98.78 | |
| Vaborbactam | 30 | −18.11 | −4.31 | 98.20 | |
| MQC | Meropenem | 30 | −5.24 | 1.75 | 99.00 |
| Ceftazidime | 30 | 44.62 | −0.25 | 97.62 | |
| Ceftolozane | 30 | 8.82 | 3.64 | 97.72 | |
| Tazobactam | 30 | 37.78 | 0.47 | 96.28 | |
| Cefiderocol | 30 | 10.22 | −0.41 | 98.77 | |
| Ceftobiprole | 30 | −14.33 | −0.24 | 98.06 | |
| Avibactam | 30 | 23.85 | −0.99 | 97.51 | |
| Fosfomycin | 30 | −17.33 | −0.27 | 92.94 | |
| Vaborbactam | 30 | −19.03 | −3.44 | 95.86 | |
| HQC | Meropenem | 30 | −3.96 | −0.71 | 92.75 |
| Ceftazidime | 30 | 40.41 | −0.21 | 97.22 | |
| Ceftolozane | 30 | 2.03 | −1.04 | 98.51 | |
| Tazobactam | 30 | 28.31 | 0.35 | 96.68 | |
| Cefiderocol | 30 | 10.95 | −1.60 | 95.08 | |
| Ceftobiprole | 30 | −38.22 | −0.63 | 99.45 | |
| Avibactam | 30 | 14.63 | −0.79 | 97.52 | |
| Fosfomycin | 30 | −30.12 | −0.46 | 96.19 | |
| Vaborbactam | 30 | −20.68 | −4.01 | 98.54 |
| Quality Control Levels | Analyte | Sample | Tested Conditions | Average Accuracy (Bias%) |
|---|---|---|---|---|
| LQC | Meropenem | extract | Autosampler, day 1 | 13.00 |
| Autosampler, day 5 | −2.00 | |||
| plasma | Freeze–thaw stability 1 cycle | −15.70 | ||
| Freeze–thaw stability 2 cycle | −36.10 | |||
| Freeze–thaw stability 3 cycle | −65.40 | |||
| Ceftazidime | extract | Autosampler, day 1 | 10.00 | |
| Autosampler, day 5 | 7.00 | |||
| plasma | Freeze–thaw stability 1 cycle | −4.30 | ||
| Freeze–thaw stability 2 cycle | −7.80 | |||
| Freeze–thaw stability 3 cycle | −15.30 | |||
| Ceftolozane | extract | Autosampler, day 1 | 10.60 | |
| Autosampler, day 5 | 9.00 | |||
| plasma | Freeze–thaw stability 1 cycle | −2.10 | ||
| Freeze–thaw stability 2 cycle | −6.80 | |||
| Freeze–thaw stability 3 cycle | −15.50 | |||
| Tazobactam | extract | Autosampler, day 1 | 5.50 | |
| Autosampler, day 5 | 8.00 | |||
| plasma | Freeze–thaw stability 1 cycle | −1.20 | ||
| Freeze–thaw stability 2 cycle | −6.20 | |||
| Freeze–thaw stability 3 cycle | −14.60 | |||
| Cefiderocol | extract | Autosampler, day 1 | 7.00 | |
| Autosampler, day 5 | 8.00 | |||
| plasma | Freeze–thaw stability 1 cycle | −14.90 | ||
| Freeze–thaw stability 2 cycle | −35.30 | |||
| Freeze–thaw stability 3 cycle | −71.50 | |||
| Ceftobiprole | extract | Autosampler, day 1 | 2.00 | |
| Autosampler, day 5 | 8.00 | |||
| plasma | Freeze–thaw stability 1 cycle | −5.10 | ||
| Freeze–thaw stability 2 cycle | −8.60 | |||
| Freeze–thaw stability 3 cycle | −14.80 | |||
| Avibactam | extract | Autosampler, day 1 | −5.00 | |
| Autosampler, day 5 | 10.00 | |||
| plasma | Freeze–thaw stability 1 cycle | −1.80 | ||
| Freeze–thaw stability 2 cycle | −3.80 | |||
| Freeze–thaw stability 3 cycle | −8.10 | |||
| Fosfomycin | extract | Autosampler, day 1 | −3.50 | |
| Autosampler, day 5 | −2.50 | |||
| plasma | Freeze–thaw stability 1 cycle | −3.10 | ||
| Freeze–thaw stability 2 cycle | −3.40 | |||
| Freeze–thaw stability 3 cycle | −2.97 | |||
| Vaborbactam | extract | Autosampler, day 1 | −3.00 | |
| Autosampler, day 5 | 1.99 | |||
| plasma | Freeze–thaw stability 1 cycle | −9.10 | ||
| Freeze–thaw stability 2 cycle | −15.80 | |||
| Freeze–thaw stability 3 cycle | −2.70 | |||
| MQC | Meropenem | extract | Autosampler, day 1 | 2.00 |
| Autosampler, day 5 | 5.20 | |||
| plasma | Freeze–thaw stability 1 cycle | −16.10 | ||
| Freeze–thaw stability 2 cycle | −32.00 | |||
| Freeze–thaw stability 3 cycle | −61.90 | |||
| Ceftazidime | extract | Autosampler, day 1 | −8.00 | |
| Autosampler, day 5 | 4.40 | |||
| plasma | Freeze–thaw stability 1 cycle | −4.80 | ||
| Freeze–thaw stability 2 cycle | −8.20 | |||
| Freeze–thaw stability 3 cycle | −16.50 | |||
| Ceftolozane | extract | Autosampler, day 1 | −1.60 | |
| Autosampler, day 5 | −1.20 | |||
| plasma | Freeze–thaw stability 1 cycle | −1.80 | ||
| Freeze–thaw stability 2 cycle | −7.80 | |||
| Freeze–thaw stability 3 cycle | −15.70 | |||
| Tazobactam | extract | Autosampler, day 1 | 0.80 | |
| Autosampler, day 5 | −0.80 | |||
| plasma | Freeze–thaw stability 1 cycle | −2.40 | ||
| Freeze–thaw stability 2 cycle | −5.80 | |||
| Freeze–thaw stability 3 cycle | −10.90 | |||
| Cefiderocol | extract | Autosampler, day 1 | −6.00 | |
| Autosampler, day 5 | −4.00 | |||
| plasma | Freeze–thaw stability 1 cycle | −14.50 | ||
| Freeze–thaw stability 2 cycle | −37.00 | |||
| Freeze–thaw stability 3 cycle | −74.10 | |||
| Ceftobiprole | extract | Autosampler, day 1 | −4.00 | |
| Autosampler, day 5 | 0.80 | |||
| plasma | Freeze–thaw stability 1 cycle | −4.80 | ||
| Freeze–thaw stability 2 cycle | −7.60 | |||
| Freeze–thaw stability 3 cycle | −15.40 | |||
| Avibactam | extract | Autosampler, day 1 | 4.00 | |
| Autosampler, day 5 | 2.40 | |||
| plasma | Freeze–thaw stability 1 cycle | −2.20 | ||
| Freeze–thaw stability 2 cycle | −4.70 | |||
| Freeze–thaw stability 3 cycle | −8.50 | |||
| Fosfomycin | extract | Autosampler, day 1 | 3.36 | |
| Autosampler, day 5 | 4.32 | |||
| plasma | Freeze–thaw stability 1 cycle | −4.20 | ||
| Freeze–thaw stability 2 cycle | −3.98 | |||
| Freeze–thaw stability 3 cycle | −3.65 | |||
| Vaborbactam | extract | Autosampler, day 1 | 6.00 | |
| Autosampler, day 5 | 5.20 | |||
| plasma | Freeze–thaw stability 1 cycle | −9.50 | ||
| Freeze–thaw stability 2 cycle | −20.10 | |||
| Freeze–thaw stability 3 cycle | −26.00 | |||
| HQC | Meropenem | extract | Autosampler, day 1 | 8.60 |
| Autosampler, day 5 | −3.40 | |||
| plasma | Freeze–thaw stability 1 cycle | −16.40 | ||
| Freeze–thaw stability 2 cycle | −24.30 | |||
| Freeze–thaw stability 3 cycle | −60.20 | |||
| Ceftazidime | extract | Autosampler, day 1 | −7.80 | |
| Autosampler, day 5 | −12.40 | |||
| plasma | Freeze–thaw stability 1 cycle | −4.50 | ||
| Freeze–thaw stability 2 cycle | −7.90 | |||
| Freeze–thaw stability 3 cycle | −15.70 | |||
| Ceftolozane | extract | Autosampler, day 1 | 0.40 | |
| Autosampler, day 5 | −3.20 | |||
| plasma | Freeze–thaw stability 1 cycle | −1.40 | ||
| Freeze–thaw stability 2 cycle | −8.20 | |||
| Freeze–thaw stability 3 cycle | −16.30 | |||
| Tazobactam | extract | Autosampler, day 1 | 0.40 | |
| Autosampler, day 5 | −3.20 | |||
| plasma | Freeze–thaw stability 1 cycle | −1.50 | ||
| Freeze–thaw stability 2 cycle | −4.80 | |||
| Freeze–thaw stability 3 cycle | −12.90 | |||
| Cefiderocol | extract | Autosampler, day 1 | −5.40 | |
| Autosampler, day 5 | −12.40 | |||
| plasma | Freeze–thaw stability 1 cycle | −14.30 | ||
| Freeze–thaw stability 2 cycle | −33.20 | |||
| Freeze–thaw stability 3 cycle | −73.60 | |||
| Ceftobiprole | extract | Autosampler, day 1 | −5.60 | |
| Autosampler, day 5 | −8.40 | |||
| plasma | Freeze–thaw stability 1 cycle | −4.60 | ||
| Freeze–thaw stability 2 cycle | −7.30 | |||
| Freeze–thaw stability 3 cycle | −14.90 | |||
| Avibactam | extract | Autosampler, day 1 | 4.00 | |
| Autosampler, day 5 | 4.80 | |||
| plasma | Freeze–thaw stability 1 cycle | −2.70 | ||
| Freeze–thaw stability 2 cycle | −4.20 | |||
| Freeze–thaw stability 3 cycle | −8.50 | |||
| Fosfomycin | extract | Autosampler, day 1 | 8.32 | |
| Autosampler, day 5 | 5.20 | |||
| plasma | Freeze–thaw stability 1 cycle | −5.30 | ||
| Freeze–thaw stability 2 cycle | −4.90 | |||
| Freeze–thaw stability 3 cycle | −4.60 | |||
| Vaborbactam | extract | Autosampler, day 1 | 4.80 | |
| Autosampler, day 5 | −0.2 | |||
| plasma | Freeze–thaw stability 1 cycle | −9.80 | ||
| Freeze–thaw stability 2 cycle | −16.20 | |||
| Freeze–thaw stability 3 cycle | −26.70 |
Disclaimer/Publisher’s Note: The statements, opinions and data contained in all publications are solely those of the individual author(s) and contributor(s) and not of MDPI and/or the editor(s). MDPI and/or the editor(s) disclaim responsibility for any injury to people or property resulting from any ideas, methods, instructions or products referred to in the content. |
© 2026 by the authors. Licensee MDPI, Basel, Switzerland. This article is an open access article distributed under the terms and conditions of the Creative Commons Attribution (CC BY) license.
Share and Cite
Trozzi, I.; Giorgi, B.; De Paola, R.; Gatti, M.; Pea, F. Two Comprehensive Liquid Chromatography High-Resolution Mass Spectrometry (UPLC-MS/MS) Multi-Methods for Real-Time Therapeutic Drug Monitoring (TDM) of Five Novel Beta-Lactams and of Fosfomycin Administered by Continuous Infusion. Pharmaceutics 2026, 18, 91. https://doi.org/10.3390/pharmaceutics18010091
Trozzi I, Giorgi B, De Paola R, Gatti M, Pea F. Two Comprehensive Liquid Chromatography High-Resolution Mass Spectrometry (UPLC-MS/MS) Multi-Methods for Real-Time Therapeutic Drug Monitoring (TDM) of Five Novel Beta-Lactams and of Fosfomycin Administered by Continuous Infusion. Pharmaceutics. 2026; 18(1):91. https://doi.org/10.3390/pharmaceutics18010091
Chicago/Turabian StyleTrozzi, Ilaria, Beatrice Giorgi, Riccardo De Paola, Milo Gatti, and Federico Pea. 2026. "Two Comprehensive Liquid Chromatography High-Resolution Mass Spectrometry (UPLC-MS/MS) Multi-Methods for Real-Time Therapeutic Drug Monitoring (TDM) of Five Novel Beta-Lactams and of Fosfomycin Administered by Continuous Infusion" Pharmaceutics 18, no. 1: 91. https://doi.org/10.3390/pharmaceutics18010091
APA StyleTrozzi, I., Giorgi, B., De Paola, R., Gatti, M., & Pea, F. (2026). Two Comprehensive Liquid Chromatography High-Resolution Mass Spectrometry (UPLC-MS/MS) Multi-Methods for Real-Time Therapeutic Drug Monitoring (TDM) of Five Novel Beta-Lactams and of Fosfomycin Administered by Continuous Infusion. Pharmaceutics, 18(1), 91. https://doi.org/10.3390/pharmaceutics18010091

