Sign in to use this feature.

Years

Between: -

Subjects

remove_circle_outline
remove_circle_outline
remove_circle_outline
remove_circle_outline

Journals

Article Types

Countries / Regions

Search Results (14)

Search Parameters:
Keywords = JEDEC

Order results
Result details
Results per page
Select all
Export citation of selected articles as:
15 pages, 2631 KB  
Article
A Physics-Consistent Framework for Semiconductor Device Reliability Including Multiple Degradation Mechanisms
by Joseph B. Bernstein, Tsuriel Avraham and Bin Wang
Micromachines 2026, 17(3), 320; https://doi.org/10.3390/mi17030320 - 4 Mar 2026
Viewed by 292
Abstract
Reliability assessment of semiconductor devices increasingly requires the consideration of multiple degradation mechanisms acting simultaneously over long stress durations. Conventional lifetime qualification and prediction approaches rely on simplified assumptions that can obscure the interpretation of measured degradation data and lead to large uncertainty [...] Read more.
Reliability assessment of semiconductor devices increasingly requires the consideration of multiple degradation mechanisms acting simultaneously over long stress durations. Conventional lifetime qualification and prediction approaches rely on simplified assumptions that can obscure the interpretation of measured degradation data and lead to large uncertainty when extrapolated over many orders of magnitude in time. A consistent analytical framework is therefore required to relate measured degradation behavior to meaningful reliability metrics. This work presents a general framework for semiconductor device reliability that is consistent with established reliability theory and explicitly accommodates multiple competing degradation mechanisms, consistent with modern JEDEC reliability standards. The framework presented here separates physical degradation processes from analytical representations used to interpret experimental data, allowing the effect of independent mechanisms to be combined without imposing an implied physical model. Degradation behaviors exhibiting sublinear time dependence, which are commonly observed across device technologies, are discussed within this context. We show that common data interpretation practices can introduce systematic errors when ssublinearkinetics are present, particularly regarding lifetime extrapolation. A reformulated analytical representation is introduced that improves clarity and robustness in lifetime extraction while remaining fully compatible with standard reliability theory. This framework supports more consistent reliability assessment and more credible lifetime prediction across materials, devices, and operating conditions. Full article
Show Figures

Figure 1

17 pages, 9736 KB  
Article
Development and Optimization of Fine-Pitch RDL for RDL Interposer and Embedded Bridge Die Interposer Fabrication Using Fan-Out Wafer-Level Packaging Technology
by Jung Won Lee, Sung Hyuk Lee, Jay Kim, Lewis Kang, Han Ju Yu, Min Ji Lee, Seong Hwan Han, Jae Kyung Lee, Hailey Hwang, Jung Gi Kim, Chan Young Hong, Jade Park, Su Hyun Kim, Myeung Jin Kim and Moon Jung Kim
Microelectronics 2026, 2(1), 3; https://doi.org/10.3390/microelectronics2010003 - 11 Feb 2026
Viewed by 398
Abstract
Fine-pitch redistribution layers (RDLs) are key enabling technologies for fan-out wafer-level packaging (FOWLP)-based interposers used in chiplet and high-bandwidth memory (HBM) integration. In this study, a CAR-based photolithography process optimized for fine-pitch RDL fabrication was evaluated to realize 2 μm/2 μm line/space (L/S) [...] Read more.
Fine-pitch redistribution layers (RDLs) are key enabling technologies for fan-out wafer-level packaging (FOWLP)-based interposers used in chiplet and high-bandwidth memory (HBM) integration. In this study, a CAR-based photolithography process optimized for fine-pitch RDL fabrication was evaluated to realize 2 μm/2 μm line/space (L/S) RDL structures in an FOWLP environment. Key lithographic parameters, including exposure energy, focus offset, and thermal processing conditions, were systematically optimized to establish a stable and reproducible process window. Cross-sectional analysis confirmed the structural integrity of the electroplated RDL features formed under the optimized conditions. To assess functional feasibility, channel-level electrical simulations were performed using JEDEC-defined HBM3 signal assignments. Simulated eye diagrams indicate that the fabricated fine-pitch RDL interconnects are capable of supporting HBM3-class signal transmission with a moderate level of signal integrity. The presence of jitter and noise suggests that further optimization of RDL transmission line impedance is required. Rather than presenting a fully optimized interposer solution, this work provides an engineering-level assessment of lithographic and process constraints associated with implementing 2 μm class RDLs in FOWLP-based interposers, offering practical insight into fine-pitch RDL process window definition for advanced packaging applications. This work uniquely combines systematic CAR-based lithography optimization with cross-sectional structural validation and HBM3-class channel-level simulations to define a practical process window for 2 μm/2 μm RDLs in an FOWLP environment. Full article
Show Figures

Figure 1

19 pages, 8651 KB  
Article
Comparison of the Reliability of SAC305 and Innolot-Based Solder Alloy in a Board-Level BGA Package Considering Harmonic and Random Vibration Environment
by Sima Besharat Ferdowsi, Sushil Doranga and Yueqing Li
Electronics 2025, 14(2), 292; https://doi.org/10.3390/electronics14020292 - 13 Jan 2025
Cited by 7 | Viewed by 3749
Abstract
This paper presents a comparative study of the fatigue life of solder joints in a board-level Ball Grid Array (BGA) assembly. It specifically contrasts the commonly used SAC305 alloy with the advanced Innolot-based solder alloy, recognized for its superior tensile strength. Through Finite [...] Read more.
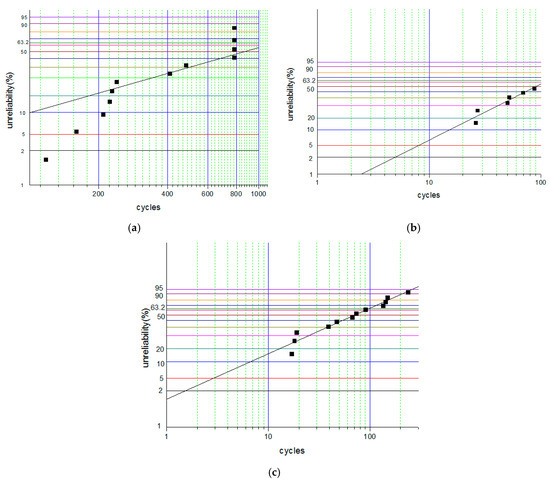
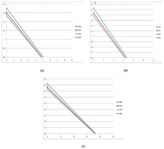
This paper presents a comparative study of the fatigue life of solder joints in a board-level Ball Grid Array (BGA) assembly. It specifically contrasts the commonly used SAC305 alloy with the advanced Innolot-based solder alloy, recognized for its superior tensile strength. Through Finite Element Analysis (FEA), we simulate and predict the reliability of these solder joints under harmonic and random vibration conditions. Following the JEDEC (Joint Electronic Device Engineering Council) standards, two different board-level BGA assemblies are used for the analysis. In both assemblies, the dimensions of the substrate, molding compound, and solder balls remain identical; only the board dimensions are changed to observe how they affect stress in the solder joints. The results indicate that using Innolot raises the volume-averaged stress levels by more than 25% on larger boards and about 5% on smaller boards compared to SAC305. This increase in stress levels is due to the Innolot alloy having a less significant stiffening effect than SAC305, which results in higher stress levels under the same excitation conditions. While the stress in the Innolot-based solder joint is greater than that in the SAC305 joint under identical excitation conditions, the fatigue life of the Innolot joint is significantly higher than that of the SAC305 joint. The results show that the Innolot-based alloy exceeds the performance of SAC305, and that it is suitable for use as a solder alloy in extreme vibration conditions. Full article
Show Figures

Figure 1

13 pages, 7797 KB  
Article
Reliability Evaluation of Board-Level Flip-Chip Package under Coupled Mechanical Compression and Thermal Cycling Test Conditions
by Meng-Kai Shih, Yu-Hao Liu, Calvin Lee and C. P. Hung
Materials 2023, 16(12), 4291; https://doi.org/10.3390/ma16124291 - 9 Jun 2023
Cited by 7 | Viewed by 6195
Abstract
Flip Chip Ball Grid Array (FCBGA) packages, together with many other heterogeneous integration packages, are widely used in high I/O (Input/Output) density and high-performance computing applications. The thermal dissipation efficiency of such packages is often improved through the use of an external heat [...] Read more.
Flip Chip Ball Grid Array (FCBGA) packages, together with many other heterogeneous integration packages, are widely used in high I/O (Input/Output) density and high-performance computing applications. The thermal dissipation efficiency of such packages is often improved through the use of an external heat sink. However, the heat sink increases the solder joint inelastic strain energy density, and thus reduces the board-level thermal cycling test reliability. The present study constructs a three-dimensional (3D) numerical model to investigate the solder joint reliability of a lidless on-board FCBGA package with heat sink effects under thermal cycling testing, in accordance with JEDEC standard test condition G (a thermal range of −40 to 125 °C and a dwell/ramp time of 15/15 min). The validity of the numerical model is confirmed by comparing the predicted warpage of the FCBGA package with the experimental measurements obtained using a shadow moiré system. The effects of the heat sink and loading distance on the solder joint reliability performance are then examined. It is shown that the addition of the heat sink and a longer loading distance increase the solder ball creep strain energy density (CSED) and degrade the package reliability performance accordingly. Full article
Show Figures

Figure 1

8 pages, 1714 KB  
Article
Optimization of the Field Plate Design of a 1200 V p-GaN Power High-Electron-Mobility Transistor
by Chia-Hao Liu, Chong-Rong Huang, Hsiang-Chun Wang, Yi-Jie Kang, Hsien-Chin Chiu, Hsuan-Ling Kao, Kuo-Hsiung Chu, Hao-Chung Kuo, Chih-Tien Chen and Kuo-Jen Chang
Micromachines 2022, 13(9), 1554; https://doi.org/10.3390/mi13091554 - 19 Sep 2022
Cited by 3 | Viewed by 4671
Abstract
This study optimized the field plate (FP) design (i.e., the number and positions of FP layers) of p-GaN power high-electron-mobility transistors (HEMTs) on the basic of simulations conducted using the technology computer-aided design software of Silvaco. Devices with zero, two, and three FP [...] Read more.
This study optimized the field plate (FP) design (i.e., the number and positions of FP layers) of p-GaN power high-electron-mobility transistors (HEMTs) on the basic of simulations conducted using the technology computer-aided design software of Silvaco. Devices with zero, two, and three FP layers were designed. The FP layers of the HEMTs dispersed the electric field between the gate and drain regions. The device with two FP layers exhibited a high off-state breakdown voltage of 1549 V because of the long distance between its first FP layer and the channel. The devices were subjected to high-temperature reverse bias and high-temperature gate bias measurements to examine their characteristics, which satisfied the reliability specifications of JEDEC. Full article
(This article belongs to the Special Issue Novel Electronics Devices Integrated with 2D Quantum Materials)
Show Figures

Figure 1

16 pages, 7896 KB  
Article
Tin Whiskers’ Behavior under Stress Load and the Mitigation Method for Immersion Tin Surface Finish
by Nor Akmal Fadil, Siti Zahira Yusof, Tuty Asma Abu Bakar, Habibah Ghazali, Muhamad Azizi Mat Yajid, Saliza Azlina Osman and Ali Ourdjini
Materials 2021, 14(22), 6817; https://doi.org/10.3390/ma14226817 - 11 Nov 2021
Cited by 6 | Viewed by 4343
Abstract
Since the use of the most stable Pb-based materials in the electronic industry has been banned due to human health concerns, numerous research studies have focused on Pb-free materials such as pure tin and its alloys for electronic applications. Pure tin, however, suffers [...] Read more.
Since the use of the most stable Pb-based materials in the electronic industry has been banned due to human health concerns, numerous research studies have focused on Pb-free materials such as pure tin and its alloys for electronic applications. Pure tin, however, suffers from tin whiskers’ formation, which tends to endanger the efficiency of electronic circuits, and even worse, may cause short circuits to the electronic components. This research aims to investigate the effects of stress on tin whiskers’ formation and growth and the mitigation method for the immersion of the tin surface’s finish deposited on a copper substrate. The coated surface was subjected to external stress by micro-hardness indenters with a 2N load in order to simulate external stress applied to the coating layer, prior to storage in the humidity chamber with environmental conditions of 30 °C/60% RH up to 52 weeks. A nickel underlayer was deposited between the tin surface finish and copper substrate to mitigate the formation and growth of tin whiskers. FESEM was used to observe the whiskers and EDX was used for measuring the chemical composition of the surface finish, tin whiskers, and oxides formed after a certain period of storage. An image analyzer was used to measure the whiskers’ length using the JEDEC Standard (JESD22-A121A). The results showed that the tin whiskers increased directly proportional to the storage time, and they formed and grew longer on the thicker tin coating (2.3 μm) than the thin coating (1.5 μm). This is due to greater internal stress being generated by the thicker intermetallic compounds identified as the Cu5Sn6 phase, formed on a thicker tin coating. In addition, the formation and growth of CuO flowers on the 1.5 μm-thick tin coating suppressed the growth of tin whiskers. However, the addition of external stress by an indentation on the tin coating surface showed that the tin whiskers’ growth discontinued after week 4 in the indented area. Instead, the whiskers that formed were greater and longer at a distance farther from the indented area due to Sn atom migration from a high stress concentration to a lower stress concentration. Nonetheless, the length of the whisker for the indented surface was shorter than the non-indented surface because the whiskers’ growth was suppressed by the formation of CuO flowers. On the other hand, a nickel underlayer successfully mitigated the formation of tin whiskers upon the immersion of a tin surface finish. Full article
(This article belongs to the Topic Metallurgical and Materials Engineering)
Show Figures

Graphical abstract

15 pages, 712 KB  
Article
Accelerated Tests on Si and SiC Power Transistors with Thermal, Fast and Ultra-Fast Neutrons
by Fabio Principato, Saverio Altieri, Leonardo Abbene and Francesco Pintacuda
Sensors 2020, 20(11), 3021; https://doi.org/10.3390/s20113021 - 26 May 2020
Cited by 24 | Viewed by 3578
Abstract
Neutron test campaigns on silicon (Si) and silicon carbide (SiC) power MOSFETs and IGBTs were conducted at the TRIGA (Training, Research, Isotopes, General Atomics) Mark II (Pavia, Italy) nuclear reactor and ChipIr-ISIS Neutron and Muon Source (Didcot, U.K.) facility. About 2000 power transistors [...] Read more.
Neutron test campaigns on silicon (Si) and silicon carbide (SiC) power MOSFETs and IGBTs were conducted at the TRIGA (Training, Research, Isotopes, General Atomics) Mark II (Pavia, Italy) nuclear reactor and ChipIr-ISIS Neutron and Muon Source (Didcot, U.K.) facility. About 2000 power transistors made by STMicroelectronics were tested in all the experiments. Tests with thermal and fast neutrons (up to about 10 MeV) at the TRIGA Mark II reactor showed that single-event burnout (SEB) failures only occurred at voltages close to the rated drain-source voltage. Thermal neutrons did not induce SEB, nor degradation in the electrical parameters of the devices. SEB failures during testing at ChipIr with ultra-fast neutrons (1-800 MeV) were evaluated in terms of failure in time (FIT) versus derating voltage curves according to the JEP151 procedure of the Joint Electron Device Engineering Council (JEDEC). These curves, even if scaled with die size and avalanche voltage, were strongly linked to the technological processes of the devices, although a common trend was observed that highlighted commonalities among the failures of different types of MOSFETs. In both experiments, we observed only SEB failures without single-event gate rupture (SEGR) during the tests. None of the power devices that survived the neutron tests were degraded in their electrical performances. A study of the worst-case bias condition (gate and/or drain) during irradiation was performed. Full article
(This article belongs to the Section Sensor Materials)
Show Figures

Figure 1

16 pages, 4449 KB  
Article
TRIC: A Thermal Resistance and Impedance Calculator for Electronic Packages
by Lorenzo Codecasa, Francesca De Viti, Vincenzo d’Alessandro, Donata Gualandris, Arianna Morelli and Claudio Maria Villa
Energies 2020, 13(9), 2252; https://doi.org/10.3390/en13092252 - 4 May 2020
Cited by 5 | Viewed by 3560
Abstract
This paper presents the Thermal Resistance and Impedance Calculator (TRIC) tool devised for the automatic extraction of thermal metrics of package families of electronic components in both static and transient conditions. TRIC relies on a solution algorithm based on a novel projection-based approach, [...] Read more.
This paper presents the Thermal Resistance and Impedance Calculator (TRIC) tool devised for the automatic extraction of thermal metrics of package families of electronic components in both static and transient conditions. TRIC relies on a solution algorithm based on a novel projection-based approach, which—unlike previous techniques—allows (i) dealing with parametric detailed thermal models (pDTMs) of package families that exhibit generic non-Manhattan variations of geometries and meshes, and (ii) transforming such pDTMs into compact thermal models that can be solved in short times. Thermal models of several package families are available, and dies with multiple active areas can be handled. It is shown that transient thermal responses of chosen packages can be obtained in a CPU (central processing unit) time much shorter than that required by a widely used software relying on the finite-volume method without sacrificing accuracy. Full article
(This article belongs to the Special Issue Thermal and Electro-thermal System Simulation 2020)
Show Figures

Graphical abstract

16 pages, 3788 KB  
Article
Random Voids Generation and Effect of Thermal Shock Load on Mechanical Reliability of Light-Emitting Diode Flip Chip Solder Joints
by Jiajie Fan, Jie Wu, Changzhen Jiang, Hao Zhang, Mesfin Ibrahim and Liang Deng
Materials 2020, 13(1), 94; https://doi.org/10.3390/ma13010094 - 23 Dec 2019
Cited by 13 | Viewed by 4354
Abstract
To make the light-emitting diode (LED) more compact and effective, the flip chip solder joint is recommended in LED chip-scale packaging (CSP) with critical functions in mechanical support, heat dissipation, and electrical conductivity. However, the generation of voids always challenges the mechanical strength, [...] Read more.
To make the light-emitting diode (LED) more compact and effective, the flip chip solder joint is recommended in LED chip-scale packaging (CSP) with critical functions in mechanical support, heat dissipation, and electrical conductivity. However, the generation of voids always challenges the mechanical strength, thermal stability, and reliability of solder joints. This paper models the 3D random voids generation in the LED flip chip Sn96.5–Ag3.0–Cu0.5 (SAC305) solder joint, and investigates the effect of thermal shock load on its mechanical reliability with both simulations and experiments referring to the JEDEC thermal shock test standard (JESD22-A106B). The results reveal the following: (1) the void rate of the solder joint increases after thermal shock ageing, and its shear strength exponentially degrades; (2) the first principal stress of the solder joint is not obviously increased, however, if the through-hole voids emerged in the corner of solder joints, it will dramatically increase; (3) modelling of the fatigue failure of solder joint with randomly distributed voids utilizes the approximate model to estimate the lifetime, and the experimental results confirm that the absolute prediction error can be controlled around 2.84%. Full article
(This article belongs to the Special Issue Photonic Materials and Devices)
Show Figures

Figure 1

19 pages, 2062 KB  
Article
Measurement and Analysis of SSD Reliability Data Based on Accelerated Endurance Test
by Yufei Wang, Xiaoshe Dong, Xingjun Zhang and Longxiang Wang
Electronics 2019, 8(11), 1357; https://doi.org/10.3390/electronics8111357 - 16 Nov 2019
Cited by 12 | Viewed by 12549
Abstract
In recent years, NAND Flash-based solid-state drives (SSDs) have become more widely used in data centers and consumer markets. Data centers generally choose to provide high-quality storage services by deploying a large number of SSDs, but there are no effective preventive measures to [...] Read more.
In recent years, NAND Flash-based solid-state drives (SSDs) have become more widely used in data centers and consumer markets. Data centers generally choose to provide high-quality storage services by deploying a large number of SSDs, but there are no effective preventive measures to reduce the impact of SSD failures currently. Some existing studies have analyzed the relevant factors related to SSD failures from different angles, but the characteristics of reliability changes exhibited by SSD throughout the life cycle have not been explored in depth. On the other hand, although the 3D manufacturing process has increased the storage density of the SSD, the mutual influence between the flash units has also increased, resulting in severe degradation of the performance and lifetime of the SSD. Therefore, in order to fully understand the reliability varying process of SSD throughout the life cycle, we first designed an SSD lifetime endurance test method, then conducted the endurance test and collected the reliability data for the entire life cycle of the 3D TLC SSD in the laboratory environment with reference to the JEDEC standard. Through the analysis of experimental data and its statistical correlation, it is found that SSD will produce a large number of uncorrectable errors before reaching the endurance limit, and there will be a phenomenon of continuous high operating temperature, as well as showing some intrinsic relationships about SSD reliability data. The findings in this paper are valuable for identifying whether an SSD is going to fail. Full article
(This article belongs to the Section Semiconductor Devices)
Show Figures

Figure 1

11 pages, 3698 KB  
Article
Impact of Energy Dependence on Ground Level and Avionic SEE Rate Prediction When Applying Standard Test Procedures
by Matteo Cecchetto, Rubén García Alía and Frédéric Wrobel
Aerospace 2019, 6(11), 119; https://doi.org/10.3390/aerospace6110119 - 1 Nov 2019
Cited by 8 | Viewed by 6835
Abstract
Single event effects (SEEs) in ground level and avionic applications are mainly induced by neutrons and protons, of which the relative contribution of the latter is larger with increasing altitude. Currently, there are two main applicable standards—JEDEC JESD89A for ground level and IEC [...] Read more.
Single event effects (SEEs) in ground level and avionic applications are mainly induced by neutrons and protons, of which the relative contribution of the latter is larger with increasing altitude. Currently, there are two main applicable standards—JEDEC JESD89A for ground level and IEC 62396 for avionics—that address the procedure for testing and qualifying electronics for these environments. In this work, we extracted terrestrial spectra at different altitudes from simulations and compared them with data available from the standards. Second, we computed the SEE rate using different approaches for three static random access memory (SRAM) types, which present a strong SEE response dependence with energy. Due to the presence of tungsten, a fissile material when interacting with high energy hadrons, the neutron and proton SEE cross sections do not saturate after 200 MeV, but still increase up to several GeV. For these memories, we found standard procedures could underestimate the SEE rate by a factor of up to 4-even in ground level applications—and up to 12 times at 12 km. Moreover, for such memories, the contribution from high energy protons is able to play a significant role, comparable to that of neutrons, even at commercial flight altitudes, and greater at higher altitudes. Full article
(This article belongs to the Special Issue Single Event Effect Prediction in Avionics)
Show Figures

Figure 1

21 pages, 9614 KB  
Article
Analysis and Experimental Test of Electrical Characteristics on Bonding Wire
by Wenchao Tian, Hao Cui and Wenbo Yu
Electronics 2019, 8(3), 365; https://doi.org/10.3390/electronics8030365 - 26 Mar 2019
Cited by 22 | Viewed by 9957
Abstract
In this paper, electrical characteristic analysis and corresponding experimental tests on gold bonding wire are presented. Firstly, according to EIA (Electronic Industries Association)/JEDEC97 standards, this paper establishes the electromagnetic structure model of gold bonding wire. The parameters, including flat length ratio, diameter, span [...] Read more.
In this paper, electrical characteristic analysis and corresponding experimental tests on gold bonding wire are presented. Firstly, according to EIA (Electronic Industries Association)/JEDEC97 standards, this paper establishes the electromagnetic structure model of gold bonding wire. The parameters, including flat length ratio, diameter, span and bonding height, were analyzed. In addition, the influence of three kinds of loops of bonding wire is discussed in relation to the S parameters. An equivalent circuit model of bonding wire is proposed. The effect of bonding wire on signal transmission was analyzed by eye diagram as well. Secondly, gold bonding wire design and measurement experiments were implemented based on radio frequency (RF) circuit theory analysis and test methods. Meanwhile, the original measurement data was compared with the simulation model data and the error was analyzed. At last, the data of five frequency points were processed to eliminate the fixture error as much as possible based on port embedding theory. The measurement results using port extension method were compared with the original measurement data and electromagnetic field simulation data, which proved the correctness of the simulation results and design rules. Full article
(This article belongs to the Special Issue Applications of Electromagnetic Waves)
Show Figures

Figure 1

10 pages, 1417 KB  
Article
TRAC: A Thermal Resistance Advanced Calculator for Electronic Packages
by Lorenzo Codecasa, Salvatore Race, Vincenzo d’Alessandro, Donata Gualandris, Arianna Morelli and Claudio Maria Villa
Energies 2019, 12(6), 1050; https://doi.org/10.3390/en12061050 - 19 Mar 2019
Cited by 12 | Viewed by 3439
Abstract
This paper presents a novel simulation tool named thermal resistance advanced calculator (TRAC). Such a tool allows the straightforward definition of a parametric detailed thermal model of electronic packages with Manhattan geometry, in which the key geometrical details and thermal properties can vary [...] Read more.
This paper presents a novel simulation tool named thermal resistance advanced calculator (TRAC). Such a tool allows the straightforward definition of a parametric detailed thermal model of electronic packages with Manhattan geometry, in which the key geometrical details and thermal properties can vary in a chosen set. Additionally, it can apply a novel model-order reduction-based approach for the automatic and fast extraction of a parametric compact thermal model of such packages. Furthermore, it is suited to automatically determine the joint electron device engineering council (JEDEC) thermal metrics for any choice of parameters in a negligible amount of time. The tool was validated through the analysis of two families of quad flat packages. Full article
(This article belongs to the Special Issue Thermal and Electro-thermal System Simulation)
Show Figures

Figure 1

14 pages, 3540 KB  
Article
Experimental Study on the Reliability of PBGA Electronic Packaging under Shock Loading
by Jiang Shao, Hongjian Zhang and Bo Chen
Electronics 2019, 8(3), 279; https://doi.org/10.3390/electronics8030279 - 2 Mar 2019
Cited by 15 | Viewed by 4389
Abstract
Plastic Ball Grid Array (PBGA) one of the most important electronic packaging methods, is widely used in aeronautical industry field. According to the JEDEC standard, shock tests of PBGA assemblies are conducted under different loading conditions. Several important parameters, such as the fatigue [...] Read more.
Plastic Ball Grid Array (PBGA) one of the most important electronic packaging methods, is widely used in aeronautical industry field. According to the JEDEC standard, shock tests of PBGA assemblies are conducted under different loading conditions. Several important parameters, such as the fatigue life of PBGA assemblies, the relationship between solder joint positions and fatigue life, the relationship between strain energy density and fatigue life, are analyzed based on experiment results. The failure modes of PBGA assemblies are studied by optical microscope (OM). The results show that during the shock tests, the strains of the solder joints near the center of the specimen are larger than other positions, and these solder joints are prone to form micro cracks. With the increase of the shock times, these micro cracks extend rapidly which will eventually cause the failure of the PBGA electronic packaging. Full article
(This article belongs to the Section Systems & Control Engineering)
Show Figures

Figure 1

Back to TopTop