Sign in to use this feature.

Years

Between: -

Subjects

remove_circle_outline
remove_circle_outline
remove_circle_outline
remove_circle_outline
remove_circle_outline
remove_circle_outline
remove_circle_outline
remove_circle_outline
remove_circle_outline

Journals

remove_circle_outline
remove_circle_outline
remove_circle_outline
remove_circle_outline
remove_circle_outline
remove_circle_outline
remove_circle_outline
remove_circle_outline
remove_circle_outline
remove_circle_outline
remove_circle_outline
remove_circle_outline

Article Types

Countries / Regions

remove_circle_outline
remove_circle_outline
remove_circle_outline
remove_circle_outline
remove_circle_outline
remove_circle_outline

Search Results (2,345)

Search Parameters:
Keywords = Fe-catalyst

Order results
Result details
Results per page
Select all
Export citation of selected articles as:
23 pages, 7325 KB  
Article
3D Multilayered DDM-Modified Nickel Foam Electrode for Advanced Alkaline Water Electrolysis
by Elitsa Petkucheva, Galin Borisov, Jordan Iliev, Elefteria Lefterova and Evelina Slavcheva
Molecules 2026, 31(1), 69; https://doi.org/10.3390/molecules31010069 - 24 Dec 2025
Abstract
Advanced alkaline water electrolysis (AWE) in “zero-gap” configuration is a promising approach for low-temperature hydrogen production, but its efficiency strongly depends on the design and surface chemistry of nickel-based electrodes. Here, we present a simple dip-and-drying method (DDM) to modify commercial nickel foam [...] Read more.
Advanced alkaline water electrolysis (AWE) in “zero-gap” configuration is a promising approach for low-temperature hydrogen production, but its efficiency strongly depends on the design and surface chemistry of nickel-based electrodes. Here, we present a simple dip-and-drying method (DDM) to modify commercial nickel foam with a Ni–FeOOH/PTFE microporous catalytic layer and evaluate its electrochemical performance in 1 M KOH and in a laboratory zero-gap cell with a Zirfon® Perl 500 UTP diaphragm, through circulating 25 wt.% KOH. The FeSO4-assisted DDM treatment generates mixed Ni–Fe oxyhydroxide surface species, while PTFE imparts control hydrophobicity, enhancing both catalytic activity and gas-release behavior. Annealing the electrode (DDM-NF-CAT-A) results in a cell voltage of 2.45 V at 1 A·cm−2 and 80 °C, demonstrating moderate performance comparable to other Ni-based electrodes prepared via low-complexity methods, though below that of optimized state-of-the-art zero-gap systems. Short-term durability tests (80 h at 0.5 A·cm−2) indicate stable operation, but long-term industrial performance was not assessed. These findings illustrate the potential of the DDM approach as a simple, low-cost route to structured nickel foam electrodes and provide a foundation for further optimization of catalyst loading, microstructure, and long-term stability for practical AWE applications. Full article
(This article belongs to the Special Issue 30th Anniversary of Molecules—Recent Advances in Electrochemistry)
Show Figures

Figure 1

21 pages, 4054 KB  
Article
Application of Recombinant [NiFe]-Hydrogenase for Sustainable Coenzyme Regeneration
by Renata Vičević, Zrinka Karačić, Maja Milunić, Anita Šalić, Ana Jurinjak Tušek and Bruno Zelić
Catalysts 2026, 16(1), 10; https://doi.org/10.3390/catal16010010 - 23 Dec 2025
Abstract
Hydrogenases are key enzymes in microbial energy metabolism, catalyzing the reversible conversion between molecular hydrogen and protons. Among them, [NiFe]-hydrogenases are particularly attractive for biocatalytic applications due to the oxygen tolerance of several members of this class and their ability to couple hydrogen [...] Read more.
Hydrogenases are key enzymes in microbial energy metabolism, catalyzing the reversible conversion between molecular hydrogen and protons. Among them, [NiFe]-hydrogenases are particularly attractive for biocatalytic applications due to the oxygen tolerance of several members of this class and their ability to couple hydrogen oxidation with redox cofactor regeneration. In this study, a recombinant soluble [NiFe]-hydrogenase from Cupriavidus necator H16 was successfully expressed in Escherichia coli BL21 (DE3), purified, and characterised with a focus on its applicability for NAD+ regeneration. Unlike previous studies that primarily used native C. necator extracts or complex maturation systems, this work provides the first quantitative demonstration that an aerobically purified recombinant soluble [NiFe]-hydrogenase expressed in E. coli can function effectively as an NAD+ regeneration catalyst and operate within multi-enzymatic cascade reactions under application-relevant conditions. The crude recombinant enzyme displayed a volumetric activity of 0.273 ± 0.024 U/mL and a specific activity of 0.018 ± 0.002 U/mgcells in the hydrogen oxidation assay, while purification yielded a specific activity of 0.114 ± 0.001 U/mg with an overall recovery of 79.2%. The enzyme exhibited an optimal temperature of 35 °C and a pH optimum of 7.00. Thermal stability analysis revealed rapid deactivation at 40 °C (kd = 0.4186 ± 0.0788 h−1, t1/2 ≈ 1.7 h) and substantially slower deactivation at 4 °C (kd = 0.1141 ± 0.0139 h−1, t1/2 ≈ 6.1 h). Batch NADH oxidation experiments confirmed efficient cofactor turnover and high specificity towards NADH over NADPH. Finally, integration of the hydrogenase into a one-pot two-enzyme glucose oxidation system demonstrated its capacity for in situ NAD+ regeneration, although the reaction stopped after approximately 5 min due to acidification from gluconic acid formation, highlighting pH control as a key requirement for future process optimization. Full article
Show Figures

Graphical abstract

11 pages, 1954 KB  
Communication
Scalable Electro-Oxidation Engineering of Raney Nickel Toward Enhanced Oxygen Evolution Reaction
by Yutian Ma, Xu Zhang, Li Tong, Quanbin Huang, Junhu Ma, Hongfu Gao, Juan Zhang, Hailong Xi, Yipu Liu and Shiwei Lin
Catalysts 2026, 16(1), 8; https://doi.org/10.3390/catal16010008 - 23 Dec 2025
Abstract
The efficiency and durability of oxygen evolution reaction (OER) catalysts at industrially relevant current high densities are critical determinants of energy consumption and operating cost of alkaline electrolyzers. However, Raney nickel, widely adopted as a commercial electrode, still lacks sufficient intrinsic activity, leading [...] Read more.
The efficiency and durability of oxygen evolution reaction (OER) catalysts at industrially relevant current high densities are critical determinants of energy consumption and operating cost of alkaline electrolyzers. However, Raney nickel, widely adopted as a commercial electrode, still lacks sufficient intrinsic activity, leading to excessive energy consumption. Herein, a facile electro-oxidation engineering strategy with strong industrial compatibility is developed, and constructs a high-performance OER electrode Raney Ni–Fe3+ without compromising the inherent stability and scalability. The optimized electrode achieves 100 mA/cm2 at a small overpotential of 265.1 mV with a Tafel slope of 36.17 mV/dec. It further demonstrates exceptional durability, remaining stable for at least 100 h at 300 mA/cm2. By in situ constructing Fe3+-doped NiOOH phases on the Raney Ni framework, the proposed strategy effectively realizes the precise synthesis of high-performance active layers and greatly enhances the intrinsic catalytic activity. This work provides a new perspective for improving alkaline electrolyzer efficiency and contributing to the large-scale advancement of green hydrogen technology. Full article
Show Figures

Figure 1

20 pages, 4371 KB  
Article
Construction and Performance of Novel Oil Catalytic Materials from Electric Arc Furnace Dust
by Yi-Tong Wang, Kai-Li Dong, Rui Ji, Ya-Jun Wang, Jun-Guo Li, Hang Zhao, Liang-Yi Zhang, Shu-Hao Zhang, Zi-Han Tang and Jie Yang
Molecules 2026, 31(1), 35; https://doi.org/10.3390/molecules31010035 - 22 Dec 2025
Viewed by 16
Abstract
As a widely sourced solid waste rich in metallic elements such as Fe, Zn, Mn and Ca, electric furnace dust serves as a crucial raw material for preparing catalytic materials. This study employed a three-step process—“acid/alkali modification–impregnation–calcination”—to synthesise an electric furnace dust-based magnetic [...] Read more.
As a widely sourced solid waste rich in metallic elements such as Fe, Zn, Mn and Ca, electric furnace dust serves as a crucial raw material for preparing catalytic materials. This study employed a three-step process—“acid/alkali modification–impregnation–calcination”—to synthesise an electric furnace dust-based magnetic heterogeneous catalyst for biodiesel production. The catalyst prepared via CH3ONa modification combined with Na2CO3 impregnation achieved stable cycling performance at low temperatures, with 14 cycles yielding a consistent conversion exceeding 93.44 wt%, demonstrating exceptional catalytic activity. The CH3ONa modification generates abundant reactive oxygen species on the furnace dust surface, facilitating the binding of hydroxyl oxygen from the active component (Na+) to the modified surface (EFD/CH3ONa) and thereby anchoring the active species. However, the decline in catalytic performance of the Na2CO3&(EFD/CH3ONa) catalyst after calcination at 600 °C (yield decreasing to 69.77 wt% after 11 stable cycles) was attributed to the detachment and agglomeration of the active component sodium at elevated temperatures. This paper employed electric furnace dust as feedstock to synthesise highly active and stable magnetic multiphase catalysts, thereby not only providing an environmentally sound pathway for industrial solid waste recycling but also offering novel insights for the industrial-scale production of biodiesel. Full article
Show Figures

Figure 1

15 pages, 2709 KB  
Article
Titania-Based Oxide Catalysts for Removing Nitrogen Oxides
by Anna Białas, Natalia Kowalska, Małgorzata Zimowska, Grzegorz Mordarski and Jacek Gurgul
Materials 2026, 19(1), 20; https://doi.org/10.3390/ma19010020 - 20 Dec 2025
Viewed by 82
Abstract
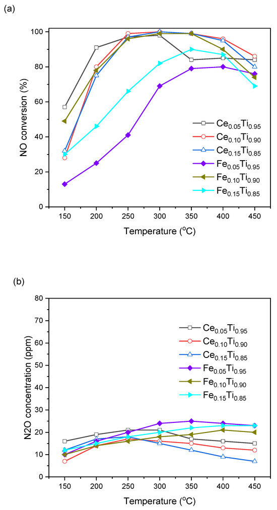
Titania catalysts containing cerium, copper, or iron were obtained using the sol–gel method and tested in the selective reduction of nitrogen oxide. Samples with cerium and iron showed high activity at temperatures ranging from 200 to 400 °C, without the formation of N [...] Read more.
Titania catalysts containing cerium, copper, or iron were obtained using the sol–gel method and tested in the selective reduction of nitrogen oxide. Samples with cerium and iron showed high activity at temperatures ranging from 200 to 400 °C, without the formation of N2O. The materials crystallized in anatase structure, and only a small amount of ceria was detected by XRD. Their crystallites were nanometric in size. The solids were mesoporous, with a specific surface area between 74 and 160 m2/g, determined based on nitrogen sorption at low temperature. The optimum Ce/Ti and Fe/Ti atomic ratio was 0.1 to 0.9, and such catalysts were composed of small anatase crystallites, although the presence of ceria also resulted in high catalytic activity. This activity was due to the presence of Fe3+ or Ce3+ ions on the surface of the material. Full article
(This article belongs to the Special Issue Advanced Nanoporous and Mesoporous Materials)
Show Figures

Figure 1

15 pages, 1628 KB  
Communication
Magnetic Catalyzed Fenton Oxidation by CuO/ns-Fe3O4 for Modification of Humic Acids
by Tianbo Li, Xudong Zheng, Xinyue Hu and Guangzhou Hu
Catalysts 2025, 15(12), 1175; https://doi.org/10.3390/catal15121175 - 18 Dec 2025
Viewed by 138
Abstract
Humic acids (HAs) are widely used as adsorbents or carriers, yet they still lack oxygenic functional groups under certain conditions. Modification via catalytic oxidation under mild conditions is an ideal method to increase the oxygenic functional groups in HAs—if simple catalyst separation could [...] Read more.
Humic acids (HAs) are widely used as adsorbents or carriers, yet they still lack oxygenic functional groups under certain conditions. Modification via catalytic oxidation under mild conditions is an ideal method to increase the oxygenic functional groups in HAs—if simple catalyst separation could be realized. Here, we report the use of CuO nanoparticles supported by Fe3O4 magnetic nanospheres as magnetic catalytic systems (MCSs) that could catalyze HA modification via Fenton oxidation. These MCSs can be easily magnetically separated from the products. The content of carboxyl groups increased from 2.45% to 10.47% after reaction, while the yield of modified HAs remained approximately 100%. These results indicate that oxidation with MCSs could be a potential method for HA modification. Full article
(This article belongs to the Special Issue Heterogeneous Catalysis in China: New Horizons and Recent Advances)
Show Figures

Graphical abstract

22 pages, 4757 KB  
Article
Feasibility Analysis of Tetracycline Degradation in Water by O3/PMS/FeMoBC Process
by Xuemei Li, Qingpo Li, Jian Wang, Zheng Wu, Shengnan Li and Hai Lu
Molecules 2025, 30(24), 4810; https://doi.org/10.3390/molecules30244810 - 17 Dec 2025
Viewed by 150
Abstract
In this study, the feasibility of tetracycline (TC) degradation in water using Fe–Mo co–supported biochar (FeMoBC) as catalyst combined with ozone and peroxymonosulfate (O3/PMS) system is discussed. The experiment showed that the mineralization rate of TC by O3/PMS/FeMoBC process [...] Read more.
In this study, the feasibility of tetracycline (TC) degradation in water using Fe–Mo co–supported biochar (FeMoBC) as catalyst combined with ozone and peroxymonosulfate (O3/PMS) system is discussed. The experiment showed that the mineralization rate of TC by O3/PMS/FeMoBC process reached 60.1% within 60 min, which was significantly higher than the treatment effect of O3 or O3/PMS system alone. Meanwhile, this process showed higher degradation efficiency under the background of raw water, and the loss of FeMoBC cycle attenuation performance was small. Twelve intermediates in the degradation of TC were identified by ultra-high performance liquid chromatography–tandem mass spectrometry (UPLC–MS/MS), and the possible degradation paths were inferred by quantum chemical calculation. In addition, the toxicity of intermediate products was evaluated by ecological structure–activity relationships (ECOSAR) and toxicity estimation software tool (T.E.S.T.) software, and the results showed that with the degradation of TC, its toxicity showed a downward trend as a whole. Therefore, this study confirmed that O3/PMS/FeMoBC had high efficiency in degrading TC in actual water, which provided a new idea for the treatment of high concentration organic wastewater. Full article
Show Figures

Graphical abstract

16 pages, 10448 KB  
Article
Combined Centrifugal Casting–Self-Propagating High-Temperature Synthesis Process of High-Entropy Alloys FeCoNiCu(Me)Al (Me = Cr, Cr + Mn, Cr + La, and Cr + Ce) as Precursors for Preparation of Deep Oxidation Catalysts
by Elena Pugacheva, Denis Ikornikov, Alina Sivakova, Ksenia Romazeva, Dmitrii Andreev, Olga Golosova, Vyacheslav Borshch and Vladimir Sanin
Metals 2025, 15(12), 1381; https://doi.org/10.3390/met15121381 - 16 Dec 2025
Viewed by 221
Abstract
FeCoNiCu(Cr, Mn, La, Ce)-Al high-entropy alloys (HEAs) were prepared via a combined centrifugal casting–self-propagating high-temperature synthesis process to serve as multifunctional catalyst precursors. The findings indicated that even with aluminum content reaching 50 wt %, the typical bcc structure inherent to HEAs was [...] Read more.
FeCoNiCu(Cr, Mn, La, Ce)-Al high-entropy alloys (HEAs) were prepared via a combined centrifugal casting–self-propagating high-temperature synthesis process to serve as multifunctional catalyst precursors. The findings indicated that even with aluminum content reaching 50 wt %, the typical bcc structure inherent to HEAs was preserved. Doping additions (Cr, Mn, La, and Ce) led to pronounced microstructural changes, including alterations in morphology, porosity, and elemental distribution, while the primary phase constituents of the FeCoNiCuAl-based alloys remained consistent. It was found that La and Ce exhibited poor bulk incorporation into the HEAs, evidenced by a low surface content. Aluminum leaching and hydrogen peroxide stabilization converted these precursors into catalysts. These catalysts demonstrated high activity in the deep oxidation of propane and CO. The FeCoNiCu catalyst achieved the best results for CO oxidation, reaching 100% CO conversion at 250 °C. For propane oxidation, the FeCoNiCuCrMn catalyst was the most active, yielding 100% CO conversion at 300 °C and 97% propane conversion at 400 °C. Full article
Show Figures

Figure 1

13 pages, 1652 KB  
Article
Influence of Counterions and Cyclopentadienyl Substituents on the Catalytic Activity of Ferrocenium Cations in Propargylic Substitution Reactions
by Alyssa B. Williams and Eike B. Bauer
Inorganics 2025, 13(12), 407; https://doi.org/10.3390/inorganics13120407 - 14 Dec 2025
Viewed by 310
Abstract
Ferrocenium catalysis is a growing field of research. This study investigates the catalytic activity of different ferrocenium salts in propargylic substitution reactions to afford propargylic ethers. Four different ferrocenium catalysts were employed in the title reaction, which was monitored over time. The rate [...] Read more.
Ferrocenium catalysis is a growing field of research. This study investigates the catalytic activity of different ferrocenium salts in propargylic substitution reactions to afford propargylic ethers. Four different ferrocenium catalysts were employed in the title reaction, which was monitored over time. The rate of the disappearance of the starting material can be fitted to a first order rate law and observed rate constants were determined. The catalyzed propargylic substitution reactions display a moderate but discernible dependence on the ferrocenium counterion. The lack of an induction period for the reaction indicates that the ferrocenium cation itself is catalytically active, and not just a decomposition product thereof, which would result in an induction period. The presence of a carboxylic acid substituent on one of the cyclopentadienyl rings enhances catalytic activity. The Meyer–Schuster rearrangement of the propargylic alcohol to the corresponding conjugated enone played only a minor role in the ferrocenium-catalyzed reactions. Catalyst decomposition moderately retards the reaction but does not suppress product formation, as demonstrated by experiments with aged FcBF4. In contrast, the presence of TEMPO as a radical scavenger completely inhibits product formation, while not causing detectable catalyst decomposition at room temperature. In turn, FeCl3 catalyzes both the propargylic substitution and the Meyer–Schuster rearrangement equally and decomposes the catalysis product over time. These findings reinforce the notion that strong Lewis acids readily promote the rearrangement of propargylic alcohols and that Lewis acidity plays a crucial role in finding a balance between the substitution reactions of propargylic alcohols and their rearrangement to unsaturated aldehydes. Full article
(This article belongs to the Section Organometallic Chemistry)
Show Figures

Figure 1

26 pages, 9347 KB  
Article
Micron Aluminum Concurrently Encapsulated with Metallic Copper, Cobalt, and Iron Nanoparticles and Its Catalysis on Thermolysis and Combustion of Ammonium Perchlorate and Hexogen
by Xiaolan Song, Hangchen Liu, Wenhu Yan and Yi Wang
Catalysts 2025, 15(12), 1166; https://doi.org/10.3390/catal15121166 - 12 Dec 2025
Viewed by 276
Abstract
In the realm of composite solid propellant research, the enhancement of energy performance without altering the underlying formulation holds paramount significance. This investigation employed an in situ displacement technique to establish a highly reactive interface, successfully synthesizing the [nCu+nCo+nFe]/μAl composite material, which considerably [...] Read more.
In the realm of composite solid propellant research, the enhancement of energy performance without altering the underlying formulation holds paramount significance. This investigation employed an in situ displacement technique to establish a highly reactive interface, successfully synthesizing the [nCu+nCo+nFe]/μAl composite material, which considerably augmented the energy performance of RDX/AP. The decomposition pathways of ammonium perchlorate (AP) and RDX were optimized, resulting in a reduction in their thermal decomposition temperatures by 1.3 °C and 22.4 °C, respectively. Simultaneously, the highly reactive interface promoted efficient oxygen transport, thereby facilitating more rapid and complete reactions of aluminum. Moreover, the distinct dual-catalyst efficacy of the composite significantly enhanced the combustion efficiency of the composite energy micro-unit. Consequently, the [nCu+nCo+nFe]/μAl+RDX/AP composite energetic micro-units exhibited a notable decrease in combustion duration (from 1.58 s to 1.07 s) and elevated combustion flame temperatures (ranging from 1712.8 °C to 2205.6 °C) alongside an expanded combustion area, thus underscoring its potential for advanced propulsion applications. Full article
Show Figures

Graphical abstract

9 pages, 2016 KB  
Article
Electron Interaction-Enhanced Photocatalytic Degradation of Tetracycline over Fe/UIO-66
by Junjie Xu, Bingyan Wang, Yuhao Wang, Jinyu Yang and Changxin Li
Chemistry 2025, 7(6), 197; https://doi.org/10.3390/chemistry7060197 - 11 Dec 2025
Viewed by 175
Abstract
The excessive use of tetracycline (TC) poses a severe threat to the health of humans and ecosystems. Environmentally friendly photocatalytic technology can be effectively used to degrade TC. In this study, an Fe-modified UIO-66 (Fe/UIO-66) catalyst was prepared via a solvothermal method. The [...] Read more.
The excessive use of tetracycline (TC) poses a severe threat to the health of humans and ecosystems. Environmentally friendly photocatalytic technology can be effectively used to degrade TC. In this study, an Fe-modified UIO-66 (Fe/UIO-66) catalyst was prepared via a solvothermal method. The structural and optical properties were investigated to elucidate how the electronic interaction between Fe and UIO-66 influenced the light absorption capacity of Fe/UIO-66. A xenon lamp was used to simulate sunlight, and TC was taken as the target pollutant. The results of photocatalytic experiments showed that the degradation efficiency of Fe/UIO-66 for TC reached 80% within 120 min, superior to that of UIO-66. In addition, the experiment also investigated the influence of inorganic salt ions on the catalytic performance, proving that Fe/UIO-66 could be applied for the efficient removal of TC in complex water bodies. Full article
(This article belongs to the Special Issue Modern Photochemistry and Molecular Photonics)
Show Figures

Figure 1

13 pages, 2213 KB  
Article
Performance and Mechanism of Fe80P13C7 Metal Glass in Catalytic Degradation of Methylene Blue
by Li Ma, Kun Zhang, Feilong Guo and Tiejun Kuang
Catalysts 2025, 15(12), 1158; https://doi.org/10.3390/catal15121158 - 10 Dec 2025
Viewed by 346
Abstract
This study systematically investigates the catalytic degradation performance and reaction mechanism of Fe80P13C7 Metal Glass (MG) in a Fenton-like system for the removal of Methylene Blue (MB). Kinetic experiments on degradation reveal that under acidic conditions (pH = [...] Read more.
This study systematically investigates the catalytic degradation performance and reaction mechanism of Fe80P13C7 Metal Glass (MG) in a Fenton-like system for the removal of Methylene Blue (MB). Kinetic experiments on degradation reveal that under acidic conditions (pH = 3), Fe80P13C7 MG exhibits exceptional catalytic activity, achieving complete degradation of a 50 mg/L MB solution within 12 min. Its degradation rate significantly surpasses that of Fe78Si9B13 MG and commercially available ZVI powder. Key parameters such as catalyst dosage, H2O2 concentration, solution pH, and initial dye concentration were systematically examined to determine the optimal reaction conditions. The characterization results indicate that Fe80P13C7 MG maintains high activity even after multiple cycles of use, attributed to surface selective corrosion and crack formation during the reaction process. This “self-renewal” mechanism continuously exposes fresh active sites. Mechanistic studies confirm that the degradation process is driven by an efficient redox cycle between Fe2+/Fe3+ within the material, ensuring sustained and stable generation of •OH, which ultimately leads to the complete mineralization of MB molecules. This research provides solid experimental and theoretical foundations for the application of Fe80P13C7 MG in dye wastewater treatment. Full article
Show Figures

Graphical abstract

28 pages, 1252 KB  
Review
Heterogeneous Catalytic Ozonation for Degradation of Pharmaceutically Active Compounds (PHACs) in Wastewater: A Review
by Yifeng Yang, Jianbiao Peng and Xin Zhang
Water 2025, 17(24), 3490; https://doi.org/10.3390/w17243490 - 10 Dec 2025
Viewed by 285
Abstract
Catalytic ozonation has been widely utilized in environmental applications, such as the removal of pharmaceutical active compounds (PHACs) from wastewater, due to its outstanding catalytic efficiency. To further enhance its performance and expand its practical application, ozone-based hybrid processes have been investigated, including [...] Read more.
Catalytic ozonation has been widely utilized in environmental applications, such as the removal of pharmaceutical active compounds (PHACs) from wastewater, due to its outstanding catalytic efficiency. To further enhance its performance and expand its practical application, ozone-based hybrid processes have been investigated, including ultraviolet radiation/ozonation, hydrogen peroxide/ozonation, ultrasonication/ozonation, and biological treatment/ozonation. Ozone degrades pollutants via two primary pathways: direct oxidation (via molecular ozone) and indirect oxidation (via reactive intermediates). Enhancing ozone decomposition into various reactive oxygen species (ROS), predominantly hydroxyl radicals, can significantly augment the degradation efficiency of pollutants. The surface adsorption and electron transfer processes of catalysts can promote ozone activation and decomposition into ROS to achieve the efficient degradation and mineralization of pollutants. Among catalysts, Mn-based catalysts have been extensively studied in past research. They have demonstrated exceptional performance when combined with other metals, such as Mn/Ce, Mn/Fe, and Mn/Co, etc., due to synergistic effects arising from bimetallic interactions. The inherent characteristics of catalyst supports may also influence the generation process of ROS. Choosing an appropriate support is conducive to promoting the uniform distribution of catalytic active sites on the catalyst surface and avoiding the agglomeration of metal particles, and it is also beneficial for the recovery and reuse of the catalyst. Furthermore, coupling catalytic ozonation processes with techniques like high-gravity technology, jet reactor systems, and micro–nano-bubbles can improve the utilization efficiency of ozone by exploiting gas cavitation effects. In this paper, we summarize the research progress in the degradation of PHACs using catalytic ozonation and discuss strategies for improving the mass transfer efficiency of ozone in water. Finally, the challenges and opportunities associated with applying catalytic ozonation in practical applications are also discussed. Full article
(This article belongs to the Special Issue Advances in Control Technologies for Emerging Contaminants in Water)
Show Figures

Figure 1

17 pages, 2690 KB  
Article
Directional Transformation of Native Holocellulose into Long-Chain Ether Fuel Precursors over Metal Oxides
by Yuan Liu, Jialong Chen, Li Yang, Fang Liu and Feiqiang Guo
Energies 2025, 18(24), 6425; https://doi.org/10.3390/en18246425 - 9 Dec 2025
Viewed by 151
Abstract
Incomplete diesel combustion emits soot and CO. The use of biomass-derived, oxygen-containing diesel additives has been proposed as an effective mitigation strategy. Among these, long-chain ethers have been widely regarded as one of the most promising additive classes. Guided by this, carbonyl compounds [...] Read more.
Incomplete diesel combustion emits soot and CO. The use of biomass-derived, oxygen-containing diesel additives has been proposed as an effective mitigation strategy. Among these, long-chain ethers have been widely regarded as one of the most promising additive classes. Guided by this, carbonyl compounds were targeted as intermediates for the synthesis of long-chain ethers. Py-GC/MS was used to assess eight oxides (CaO, ZrO2, NiO, CeO2, TiO2 (rutile), TiO2 (anatase), Fe2O3, CuO) during fast pyrolysis of native holocellulose. Relative content of carbonyl compounds was increased by all catalysts, with CaO exhibiting the highest value (69.47%). CaO raised the content of linear ketones from 18.25% to 27.61%, while it sharply reduced the relative content of acetic acid (from 11.56% to 3.19%). TiO2 (rutile) increased cyclic ketones from 11.09% to 15.01%. CuO boosted furans and acids to 17.48% and 17.91%, respectively. Levoglucosan dropped from 11.24% to 4.83% over CuO, which also increased furfural content from 3.25% to 5.63%. Full article
Show Figures

Figure 1

26 pages, 9810 KB  
Article
The Use of the Gliding Arc Plasma Technique to Deposit Fe or Mn Oxides on Fibrous Ceramic Supports for Reactions of Environmental Interest
by Sabrina Antonela Leonardi, Maximiliano Rodriguez, Eduardo Ernesto Miró, Eric M. Gaigneaux and Viviana Guadalupe Milt
Materials 2025, 18(24), 5479; https://doi.org/10.3390/ma18245479 - 5 Dec 2025
Viewed by 228
Abstract
The gliding arc plasma technique (glidarc) was used for the precipitation and deposition of Mn or Fe oxides on zirconia fibers. Two types of fibers were used: commercial (Fib Zr(C)) and biomorphic (Fib Zr(B)) ZrO2 fibers, the latter produced using cotton as [...] Read more.
The gliding arc plasma technique (glidarc) was used for the precipitation and deposition of Mn or Fe oxides on zirconia fibers. Two types of fibers were used: commercial (Fib Zr(C)) and biomorphic (Fib Zr(B)) ZrO2 fibers, the latter produced using cotton as a biotemplate. Both series of supported catalysts were characterized physicochemically and morphologically. Scanning Electron Microscopy (SEM) analyses showed that Fib Zr(B) largely retained the morphology of cotton. Fib Zr(B) presented the tetragonal phase (t-ZrO2), while Fib Zr(C) exhibited the monoclinic phase (m-ZrO2). Using X-ray Diffraction (XRD), the cryptomelane phase (KxMn8O16) was identified only for Mn-Fib Zr(B). In the case of Fe-supported samples, the α-Fe2O3 phase appeared clearly in both biomorphic and commercial fibers. SEM and Transmission Electron Microscopy (TEM) images revealed that the precipitated iron oxides appeared to be better distributed than the manganese oxides, covering the outer surface of the fibrous supports more homogeneously. X-ray Photoelectron Spectroscopy (XPS) confirmed that Mn has an average oxidation state between 3+ and 4+, consistent with the cryptomelane phase detected by XRD. The synthesized supported systems were tested as catalysts in soot and CO oxidation, with the Mn-supported fibers proving to be more active than their Fe-containing counterparts in both reactions. Full article
(This article belongs to the Special Issue Advancements in Thin Film Deposition Technologies)
Show Figures

Graphical abstract

Back to TopTop