Titania-Based Oxide Catalysts for Removing Nitrogen Oxides
Abstract
1. Introduction
2. Materials and Methods
2.1. Synthesis
2.2. Catalytic Activity
2.3. Composition, Structural and Textural Properties
2.4. Surface Composition
3. Results and Discussion
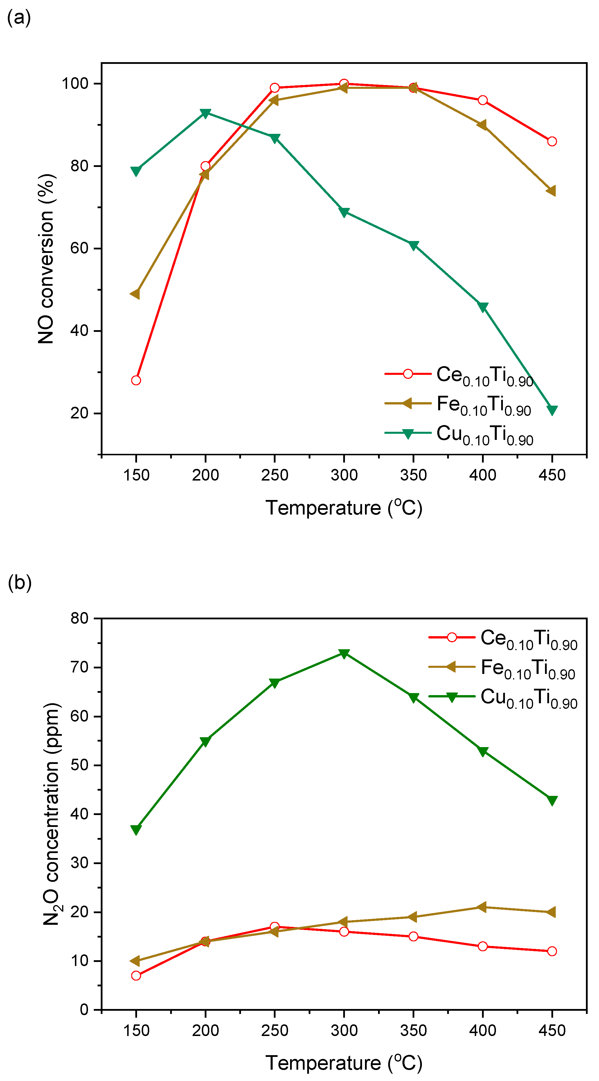
3.1. Catalytic Activity
3.2. Composition, Structural and Textural Properties
3.3. Surface Composition
- -
- Formation of surface NHx species at Lewis acidic metal centres and oxygen vacancies:
- -
- Ce4+/Ce3+, Cu2+/Cu+, Fe3+/Fe2+ redox couples:
- -
- Stabilization of dinitrosyl species at lattice oxygen vacancies:
- -
- Restoration of lattice oxygen and acidic surface sites:
- NHx = NH2*, NH* surface species;
- Ov = oxygen vacancy;
- Redox cycle: Mn+ ⇌ Mn−1+.
4. Conclusions
Supplementary Materials
Author Contributions
Funding
Data Availability Statement
Conflicts of Interest
References
- Li, J.; Chang, H.; Ma, L.; Hao, J.; Yang, R.T. Low-temperature selective catalytic reduction of NOx with NH3 over metal oxide and zeolite catalysts-A review. Catal. Today 2011, 175, 147–156. [Google Scholar] [CrossRef]
- Li, P.; Xin, Y.; Li, Q.; Wang, Z.; Zhang, Z.; Zheng, L. Ce-Ti amorphous oxides for selective catalytic reduction of NO with NH3: Confirmation of Ce-O-Ti active sites. Environ. Sci. Technol. 2012, 46, 9600–9605. [Google Scholar] [CrossRef]
- Han, L.; Cai, S.; Gao, M.; Hasegawa, J.Y.; Wang, P.; Zhang, J.; Shi, L.; Zhang, D. Selective Catalytic Reduction of NOx with NH3 by Using Novel Catalysts: State of the Art and Future Prospects. Chem. Rev. 2019, 119, 10916–10976. [Google Scholar] [CrossRef] [PubMed]
- Zhan, S.; Zhu, D.; Yang, S.; Qiu, M.; Li, Y.; Yu, H.; Shen, Z. Sol-gel preparation of mesoporous cerium-doped FeTi nanocatalysts and its SCR activity of NOx with NH3 at low temperature. J. Sol-Gel Sci. Technol. 2015, 73, 443–451. [Google Scholar] [CrossRef]
- Mosrati, J.; Atia, H.; Eckelt, R.; Huyen, T.; Rabeah, J.; Mhamdi, M.; Armbruster, U. Ta and Mo oxides supported on CeO2-TiO2 for the selective catalytic reduction of NOx with NH3 at low temperature. J. Catal. 2021, 395, 325–339. [Google Scholar] [CrossRef]
- Boningari, T.; Pappas, D.K.; Smirniotis, P.G. Metal oxide-confined interweaved titania nanotubes M/TNT (M = Mn, Cu, Ce, Fe, V, Cr, and Co) for the selective catalytic reduction of NOx in the presence of excess oxygen. J. Catal. 2018, 365, 320–333. [Google Scholar] [CrossRef]
- Guziewicz, W.; Białas, A.; Napruszewska, B.D.; Zimowska, M.; Gurgul, J. Aluminum doped titania as a support of copper catalysts for scr of nitrogen oxides. Materials 2021, 14, 6021. [Google Scholar] [CrossRef] [PubMed]
- Białas, A.; Rugała, K.; Czosnek, C.; Mordarski, G.; Gurgul, J. Copper aluminum spinels doped with cerium as catalysts for NO removal. Catalysts 2020, 10, 1388. [Google Scholar] [CrossRef]
- Sing, K.S.W.; Everett, D.H.; Haul, R.A.W.; Moscou, L.; Pierotti, R.A.; Rouquerol, J.; Siemieniewska, T. Reporting Physisorption Data for Gas/Solid Systems with Special Reference to the Determination of Surface Area and Porosity. Pure Appl. Chem. 1985, 57, 603–619. [Google Scholar] [CrossRef]
- Cychosz, K.A.; Thommes, M. Progress in the Physisorption Characterization of Nanoporous Gas Storage Materials. Engineering 2018, 4, 559–566. [Google Scholar] [CrossRef]
- Tanuma, S.; Powell, C.J.; Penn, D.R. Calculations of electron inelastic mean free paths. V. Data for 14 organic compounds over the 50–2000 eV range. Surf. Interface Anal. 1993, 21, 165. [Google Scholar] [CrossRef]
- Greczynski, G.; Hultman, L. Self-consistent modelling of X-ray photoelectron spectra from air-exposed polycrystalline TiN thin films. Appl. Surf. Sci. 2016, 387, 294–300. [Google Scholar] [CrossRef]
- Bertóti, I.; Mohai, M.; Sullivan, J.L.; Saied, S.O. Surface characterisation of plasma-nitrided titanium: An XPS study. Appl. Surf. Sci. 1995, 84, 357–371. [Google Scholar] [CrossRef]
- Barreca, F.; Acacia, N.; Barletta, E.; Spadaro, D.; Currò, G.; Neri, F. Small size TiO2 nanoparticles prepared by laser ablation in water. Appl. Surf. Sci. 2010, 256, 6408–6412. [Google Scholar] [CrossRef]
- Xu, Y.H.; Zeng, Z.X. The preparation, characterization, and photocatalytic activities of Ce-TiO2/SiO2. J. Mol. Catal. A Chem. 2008, 279, 77–81. [Google Scholar] [CrossRef]
- Hung, W.C.; Chen, Y.C.; Chu, H.; Tseng, T.K. Synthesis and characterization of TiO2 and Fe/TiO2 nanoparticles and their performance for photocatalytic degradation of 1,2-dichloroethane. Appl. Surf. Sci. 2008, 255, 2205–2213. [Google Scholar] [CrossRef]
- Nasser, S.A. X-ray photoelectron spectroscopy study on the composition and structure of BaTiO3 thin films deposited on silicon. Appl. Surf. Sci. 2000, 157, 14–22. [Google Scholar] [CrossRef]
- Lin, J.; Yu, J.C. An investigation on photocatalytic activities of mixed TiO2-rare earth oxides for the oxidation of acetone in air. J. Photochem. Photobiol. A Chem. 1998, 116, 63–67. [Google Scholar] [CrossRef]
- Liu, Y.; Wei, J.H.; Xiong, R.; Pan, C.X.; Shi, J. Enhanced visible light photocatalytic properties of Fe-doped TiO2 nanorod clusters and monodispersed nanoparticles. Appl. Surf. Sci. 2011, 257, 8121–8126. [Google Scholar] [CrossRef]
- Corneille, J.S.; He, J.W.; Goodman, D.W. Preparation and characterization of ultra-thin iron oxide films on a Mo(100) surface. Surf. Sci. 1995, 338, 211–224. [Google Scholar] [CrossRef]
- Stucky, G.S.; Carlson, T.A.; Vernon, G.A. Comprehensive Study of Satellite Structure in the Photoelectron Spectra of Transition Metal Compounds. Inorg. Chem. 1976, 15, 278–284. [Google Scholar] [CrossRef]
- Paparazzo, E. Corrigendum: Use and mis-use of x-ray photoemission Ce3d spectra of Ce2O3 and CeO2. J. Phys. Condens. Matter 2018, 30, 343003, Erratum in J. Phys. Condens. Matter 2020, 32, 099501. https://doi.org/10.1088/1361-648x/ab5763. [Google Scholar] [CrossRef] [PubMed]
- Yousefi, M.; Azimirad, R.; Amiri, M.; Moshfegh, A.Z. Effect of annealing temperature on growth of Ce-ZnO nanocomposite thin films: X-ray photoelectron spectroscopy study. Thin Solid Films 2011, 520, 721–725. [Google Scholar] [CrossRef]
- Romeo, M.; Bak, K.; El Fallah, J.; Le Normand, F.; Hilaire, L. XPS Study of the reduction of cerium dioxide. Surf. Interface Anal. 1993, 20, 508–512. [Google Scholar] [CrossRef]
- Liu, B.; Liu, J.; Ma, S.; Zhao, Z.; Chen, Y.; Gong, X.; Song, W. Mechanistic Study of Selective Catalytic Reduction of NO with NH3 on W—Doped CeO2 Catalysts: Unraveling the Catalytic Cycle and the Role of Oxygen Vacancy. J. Phys. Chem. C 2016, 120, 2271–2283. [Google Scholar] [CrossRef]







| Oxide Catalysts | Composition | Reaction Condition | Conversion | Ref. |
|---|---|---|---|---|
| Ce40/Ti100 | Ce/Ti = 0.4 | 1000 ppm NO, 1000 ppm NH3, 5 vol% O2, He balance | ~80% (T = 250–300 °C) | [5] |
| Ce(0.2)FeTi | Ce/Ti = 0.2 Fe/Ti = 0.1 | 750 ppm NO, 900 ppm NH3, 5 vol% O2, N2 balance | ~100% (T = 225–300 °C) | [4] |
| Ce(0.1)FeTi | Ce/Ti = 0.1 Fe/Ti = 0.1 | 750 ppm NO, 900 ppm NH3, 5 vol % O2, N2 balance | ~100% (T = 250–300 °C) | [4] |
| Ce/TNT | 15%Ce/TiO2 nanotubes | 900 ppm NO, 100 ppm NO2, 1000 ppm NH3, 10 vol% O2, He balance | 100% (T = 200–300 °C) | [6] |
| Cu/TNT | 15%Cu/TiO2 nanotubes | 900 ppm NO, 100 ppm NO2, 1000 ppm NH3, 10 vol% O2, He balance | 100% (T = 150–250 °C) | [6] |
| FeTi | Fe/Ti = 0.1 | 750 ppm NO, 900 ppm NH3, 5vol% O2, N2 balance | ~50%(T = 300 °C) | [4] |
| Fe/TNT | 15%Ce/TiO2 nanotubes | 900 ppm NO, 100 ppm NO2, 1000 ppm NH3, 10 vol% O2, He balance | 100% (T = 250–300 °C) | [6] |
| Sample | Measured Composition | Crystallite Size * [nm] | Specific Surface Area [m2/g] | Total Pore Volume [cm3/g] | ||
|---|---|---|---|---|---|---|
| XRF | EDS | |||||
| M [at%] | Ti [at%] | |||||
| Ce0.05Ti0.95 | Ce0.05Ti0.95 | 4.8 | 95.2 | 7.5 | 142 | 0.275 |
| Ce0.10Ti0.90 | Ce0.11Ti0.89 | 8.5 | 91.5 | 6.5 | 145 | 0.244 |
| Ce0.15Ti0.85 | Ce0.18Ti0.82 | 14.0 | 86.0 | 4.2 | 160 | 0.242 |
| Cu0.10Ti0.90 | Cu0.11Ti0.89 | 10.8 | 89.2 | 10.6 | 74 | 0.160 |
| Fe0.05Ti0.95 | Fe0.05Ti0.95 | 2.0 | 98.0 | 8.9 | 114 | 0.208 |
| Fe0.10Ti0.90 | Fe0.11Ti0.89 | 7.7 | 92.3 | 7.4 | 137 | 0.219 |
| Fe0.15Ti0.85 | Fe0.18Ti0.89 | 9.8 | 90.2 | 7.6 | 126 | 0.174 |
| Sample | Ti | Fe | Ce | O | C |
|---|---|---|---|---|---|
| Fe0.05Ti0.95 | 25.6 | 1.3 | -- | 66.2 | 6.9 |
| Fe0.05Ti0.95—SCR | 25.4 | 1.2 | -- | 65.8 | 7.6 |
| Fe0.10Ti0.90 | 23.0 | 3.6 | -- | 64.6 | 8.8 |
| Fe0.10Ti0.90—SCR | 22.1 | 3.3 | -- | 62.9 | 11.7 |
| Fe0.15Ti0.85 | 23.9 | 4.0 | -- | 64.8 | 7.3 |
| Fe0.15Ti0.85—SCR | 23.8 | 3.7 | -- | 65.4 | 7.1 |
| Ce0.05Ti0.95 | 23.5 | -- | 1.3 | 64.8 | 10.4 |
| Ce0.05Ti0.95—SCR | 25.3 | -- | 1.7 | 65.8 | 7.2 |
| Ce0.10Ti0.90 | 23.1 | -- | 2.5 | 65.0 | 9.4 |
| Ce0.10Ti0.90—SCR | 23.1 | -- | 2.4 | 64.7 | 9.8 |
| Ce0.15Ti0.85 | 20.4 | -- | 5.8 | 62.3 | 11.5 |
| Ce0.15Ti0.85—SCR | 20.7 | -- | 5.0 | 64.3 | 10.0 |
| Sample | Fe0 | Fe2+ | Fe3+ | Sat | Sat | Sat | Sat |
|---|---|---|---|---|---|---|---|
| Fe0.05Ti0.95 Fe0.05Ti0.95-SCR Fe0.10Ti0.90 Fe0.10Ti0.90-SCR Fe0.15Ti0.85 Fe0.15Ti0.85-SCR | 708.6 (7.5) 708.6 (7.2) 708.8 (7.3) 708.9 (14.0) 708.8 (7.7) 709.1 | 710.1 (73.0) 710.0 (52.7) 710.6 (62.2) 710.4 (42.7) 710.3 (66.8) 710.8 | 712.5 (19.5) 712.2 (40.1) 712.5 (30.5) 712.0 (43.3) 712.5 (25.5) 712.8 | 715.2 715.5 715.0 715.1 715.2 715.2 | 719.8 719.7 719.9 719.6 719.8 720.1 | 728.8 728.4 728.2 728.9 728.8 728.5 | 733.6 732.4 732.7 733.6 733.2 733.3 |
| (15.3) | (57.9) | (26.8) |
Disclaimer/Publisher’s Note: The statements, opinions and data contained in all publications are solely those of the individual author(s) and contributor(s) and not of MDPI and/or the editor(s). MDPI and/or the editor(s) disclaim responsibility for any injury to people or property resulting from any ideas, methods, instructions or products referred to in the content. |
© 2025 by the authors. Licensee MDPI, Basel, Switzerland. This article is an open access article distributed under the terms and conditions of the Creative Commons Attribution (CC BY) license.
Share and Cite
Białas, A.; Kowalska, N.; Zimowska, M.; Mordarski, G.; Gurgul, J. Titania-Based Oxide Catalysts for Removing Nitrogen Oxides. Materials 2026, 19, 20. https://doi.org/10.3390/ma19010020
Białas A, Kowalska N, Zimowska M, Mordarski G, Gurgul J. Titania-Based Oxide Catalysts for Removing Nitrogen Oxides. Materials. 2026; 19(1):20. https://doi.org/10.3390/ma19010020
Chicago/Turabian StyleBiałas, Anna, Natalia Kowalska, Małgorzata Zimowska, Grzegorz Mordarski, and Jacek Gurgul. 2026. "Titania-Based Oxide Catalysts for Removing Nitrogen Oxides" Materials 19, no. 1: 20. https://doi.org/10.3390/ma19010020
APA StyleBiałas, A., Kowalska, N., Zimowska, M., Mordarski, G., & Gurgul, J. (2026). Titania-Based Oxide Catalysts for Removing Nitrogen Oxides. Materials, 19(1), 20. https://doi.org/10.3390/ma19010020

