Sign in to use this feature.

Years

Between: -

Subjects

remove_circle_outline
remove_circle_outline
remove_circle_outline
remove_circle_outline
remove_circle_outline

Journals

Article Types

Countries / Regions

Search Results (37)

Search Parameters:
Keywords = DC insulation monitoring

Order results
Result details
Results per page
Select all
Export citation of selected articles as:
21 pages, 1587 KB  
Article
Low-Complexity Monitoring of DC Motor Speed Sensor Additive Faults Using a Discrete Kalman Filter Observer
by Rossy Uscamaita-Quispetupa, Erwin J. Sacoto-Cabrera, Roger Jesus Coaquira-Castillo, L. Walter Utrilla Mego, Julio Cesar Herrera-Levano, Yesenia Concha-Ramos and Edison Moreno-Cardenas
Energies 2026, 19(6), 1485; https://doi.org/10.3390/en19061485 - 16 Mar 2026
Viewed by 454
Abstract
This article presents an online additive fault-detection system for the speed sensor of a 200 W shunt-type direct current (DC) motor, integrated into a power module controlled by an Insulated Gate Bipolar Transistor (IGBT). The system is designed to trigger an alarm signal [...] Read more.
This article presents an online additive fault-detection system for the speed sensor of a 200 W shunt-type direct current (DC) motor, integrated into a power module controlled by an Insulated Gate Bipolar Transistor (IGBT). The system is designed to trigger an alarm signal when an additive fault occurs by comparing the Kalman Filter (KF) residual against a predefined detection threshold. Three specific fault types in the speed sensor were analyzed: offset, disconnection, and sinusoidal noise. Experimental results demonstrate effective fault detection across a speed range of 80 to 690 rpm under no-load conditions. However, when a constant torque of 0.5 Nm is applied, both the detection threshold and the subset of reliably identifiable faults must be adjusted. The main contribution of this study is the development of a customized real-time fault detection framework and the characterization of residual variations caused by unmodeled load disturbances in actual hardware. This approach improves the monitoring and fault-diagnosis capabilities of sensor systems in DC motors by quantifying the stochastic behavior of residuals under different operating constraints. Full article
Show Figures

Figure 1

29 pages, 6257 KB  
Article
Analysis and Adaptive Separation of IGBT Switching Noise in PD Monitoring of Flexible HVDC Valves: An Evolutionary Perspective
by Jiangfeng Si, Maoqun Shen, Bing Yu, Yongtao Jin, Guangsheng Cai, Qifeng Bian, Tong Bai, Huanmin Yao and Haibao Mu
Electronics 2026, 15(4), 751; https://doi.org/10.3390/electronics15040751 - 10 Feb 2026
Viewed by 458
Abstract
The high-frequency switching noise of insulated-gate bipolar transistors (IGBTs) limits the sensitivity of online partial discharge (PD) monitoring in ultra-high-voltage flexible DC (VSC-HVDC) transmission systems. To address this challenge, this study investigates the underlying mechanisms and evolution of this interference and develops an [...] Read more.
The high-frequency switching noise of insulated-gate bipolar transistors (IGBTs) limits the sensitivity of online partial discharge (PD) monitoring in ultra-high-voltage flexible DC (VSC-HVDC) transmission systems. To address this challenge, this study investigates the underlying mechanisms and evolution of this interference and develops an anti-interference signal separation method. Simulation and experimental results indicate that the energy of IGBT switching noise is concentrated in the 30–180 MHz range, which significantly overlaps with the ultra-high-frequency (UHF) band used for PD detection. This research further reveals the pronounced modulation effect of device aging on the interference spectrum: bond wire aging triggers “spectral reconstruction” via altered parasitic parameters, where severe collector aging leads to an abnormal surge in turn-off interference amplitude. In contrast, gate oxide layer degradation manifests as characteristic “global spectrum attenuation” and a shift in peak frequency toward lower bands. Confronted with the challenges of strong interference and spectrum drift induced by aging, this paper proposes an adaptive signal separation method based on feature optimization of the time–frequency cumulative energy function. This method constructs novel characteristic parameters—namely, oblique intercept width and morphological gradient steepness—to effectively capture the fundamental differences in the energy accumulation process of the signals. Experimental verification demonstrates that even under conditions of varying interference characteristics, the proposed method achieves high-precision separation of PD signals from IGBT noise, outperforming traditional equivalent time–frequency and wavelet principal component analysis methods. This research provides crucial theoretical and technical support for insulation condition monitoring and device aging diagnosis in VSC-HVDC converter valves. Full article
(This article belongs to the Section Semiconductor Devices)
Show Figures

Figure 1

19 pages, 2415 KB  
Article
Thermal–Electrical Fusion for Real-Time Condition Monitoring of IGBT Modules in Transportation Systems
by Man Cui, Yun Liu, Zhen Hu and Tao Shi
Micromachines 2026, 17(2), 154; https://doi.org/10.3390/mi17020154 - 25 Jan 2026
Cited by 1 | Viewed by 676
Abstract
The operational reliability of Insulated Gate Bipolar Transistor (IGBT) modules in demanding transportation applications, such as traction systems, is critically challenged by solder layer and bond wire failures under cyclic thermal stress. To address this, this paper proposes a novel health monitoring framework [...] Read more.
The operational reliability of Insulated Gate Bipolar Transistor (IGBT) modules in demanding transportation applications, such as traction systems, is critically challenged by solder layer and bond wire failures under cyclic thermal stress. To address this, this paper proposes a novel health monitoring framework that innovatively synergizes micro-scale spatial thermal analysis with microsecond electrical dynamics inversion. The method requires only non-invasive temperature measurements on the module baseplate and utilizes standard electrical signals (load current, duty cycle, switching frequency, DC-link voltage) readily available from the converter’s controller, enabling simultaneous diagnosis without dedicated voltage or high-bandwidth current sensors. First, a non-invasive assessment of solder layer fatigue is achieved by correlating the normalized thermal gradient (TP) on the baseplate with the underlying thermal impedance (ZJC). Second, for bond wire aging, a cost-effective inversion algorithm estimates the on-state voltage (Vce,on) by calculating the total power loss from temperature, isolating the conduction loss (Pcond) with the aid of a Foster-model-based junction temperature (TJ) estimate, and finally computing Vce,on at a unique current inflection point (IC,inf) to nullify TJ dependency. Third, the health states from both failure modes are fused for comprehensive condition evaluation. Experimental validation confirms the method’s accuracy in tracking both degradation modes. This work provides a practical and economical solution for online IGBT condition monitoring, enhancing the predictive maintenance and operational safety of transportation electrification systems. Full article
(This article belongs to the Special Issue Insulated Gate Bipolar Transistor (IGBT) Modules, 2nd Edition)
Show Figures

Figure 1

16 pages, 2761 KB  
Article
A Non-Contact Electrostatic Potential Sensor Based on Cantilever Micro-Vibration for Surface Potential Measurement of Insulating Components
by Chen Chen, Ruitong Zhou, Yutong Zhang, Yang Li, Qingyu Wang, Peng Liu and Zongren Peng
Sensors 2026, 26(2), 362; https://doi.org/10.3390/s26020362 - 6 Jan 2026
Viewed by 558
Abstract
With the rapid development of high-voltage DC (HVDC) power systems, accurate measurement of surface electrostatic potential on insulating components has become critical for electric field assessment and insulation reliability. This paper proposes an electrostatic potential sensor based on cantilever micro-vibration modulation, which employs [...] Read more.
With the rapid development of high-voltage DC (HVDC) power systems, accurate measurement of surface electrostatic potential on insulating components has become critical for electric field assessment and insulation reliability. This paper proposes an electrostatic potential sensor based on cantilever micro-vibration modulation, which employs piezoelectric actuators to drive high-frequency micro-vibration of cantilever-type shielding electrodes, converting the static electrostatic potential into an alternating induced charge signal. An electrostatic induction model is established to describe the sensing principle, and the influence of structural and operating parameters on sensitivity is analyzed. Multi-physics coupled simulations are conducted to optimize the cantilever geometry and modulation frequency, aiming to enhance modulation efficiency while maintaining a compact sensor structure. To validate the effectiveness of the proposed sensor, an electrostatic potential measurement platform for insulating components is constructed, obtaining response curves of the sensor at different potentials and establishing a compensation model for the working distance correction coefficient. The experimental results demonstrate that the sensor achieves a maximum measurement error of 0.92% and a linearity of 0.47% within the 1–10 kV range. Surface potential distribution measurements of a post insulator under DC voltage agreed well with simulation results, demonstrating the effectiveness and applicability of the proposed sensor for HVDC insulation monitoring. Full article
(This article belongs to the Special Issue Advanced Sensing and Diagnostic Techniques for HVDC Transmission)
Show Figures

Figure 1

45 pages, 4110 KB  
Review
Overview of Monitoring, Diagnostics, Aging Analysis, and Maintenance Strategies in High-Voltage AC/DC XLPE Cable Systems
by Kazem Emdadi, Majid Gandomkar, Ali Aranizadeh, Behrooz Vahidi and Mirpouya Mirmozaffari
Sensors 2025, 25(22), 7096; https://doi.org/10.3390/s25227096 - 20 Nov 2025
Cited by 7 | Viewed by 2037
Abstract
High-voltage (HV) cable systems—particularly those insulated with cross-linked polyethylene (XLPE)—are increasingly deployed in both AC and DC applications due to their excellent electrical and mechanical performance. However, their long-term reliability is challenged by partial discharges (PD), insulation aging, space charge accumulation, and thermal [...] Read more.
High-voltage (HV) cable systems—particularly those insulated with cross-linked polyethylene (XLPE)—are increasingly deployed in both AC and DC applications due to their excellent electrical and mechanical performance. However, their long-term reliability is challenged by partial discharges (PD), insulation aging, space charge accumulation, and thermal and electrical stresses. This review provides a comprehensive survey of the state-of-the-art technologies and methodologies across several domains critical to the assessment and enhancement of cable reliability. It covers advanced condition monitoring (CM) techniques, including sensor-based PD detection, signal acquisition, and denoising methods. Aging mechanisms under various stressors and lifetime estimation approaches are analyzed, along with fault detection and localization strategies using time-domain, frequency-domain, and hybrid methods. Physics-based and data-driven models for PD behavior and space charge dynamics are discussed, particularly under DC conditions. The article also reviews the application of numerical tools such as FEM for thermal and field stress analysis. A dedicated focus is given to machine learning (ML) and deep learning (DL) models for fault classification and predictive maintenance. Furthermore, standards, testing protocols, and practical issues in sensor deployment and calibration are summarized. The review concludes by evaluating intelligent maintenance approaches—including condition-based and predictive strategies—framed within real-world asset management contexts. The paper aims to bridge theoretical developments with field-level implementation challenges, offering a roadmap for future research and practical deployment in resilient and smart power grids. This review highlights a clear gap in fully integrated AC/DC diagnostic and aging analyses for XLPE cables. We emphasize the need for unified physics-based and ML-driven frameworks to address HVDC space-charge effects and multi-stress degradation. These insights provide concise guidance for advancing reliable and scalable cable assessment. Full article
(This article belongs to the Special Issue Feature Review Papers in Fault Diagnosis & Sensors)
Show Figures

Figure 1

17 pages, 1354 KB  
Article
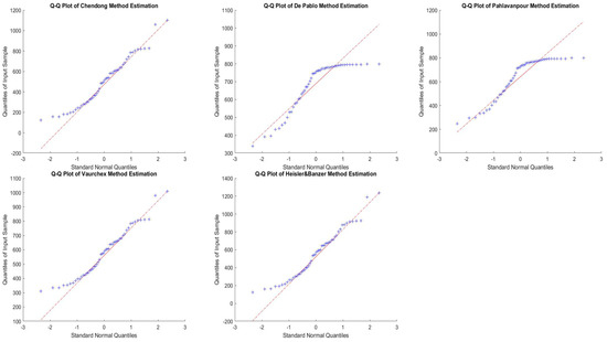
Assessing Polymerization-Based Diagnostics for Transformer Insulation via Comparative Statistics
by Mohd Syukri Ali, Lilik Jamilatul Awalin, Syahirah Abd Halim, Amirul Syafiq Abdul Jaafar, Ab Halim Abu Bakar, Issam A. Smadi and Saher Albatran
Energies 2025, 18(22), 5990; https://doi.org/10.3390/en18225990 - 14 Nov 2025
Viewed by 795
Abstract
Power transformers are essential for grid stability and efficient energy transfer, but their reliability declines due to aging insulation systems made of paper and mineral oil. Monitoring techniques such as oil testing, dissolved gas analysis (DGA), and furan compound analysis help assess degradation, [...] Read more.
Power transformers are essential for grid stability and efficient energy transfer, but their reliability declines due to aging insulation systems made of paper and mineral oil. Monitoring techniques such as oil testing, dissolved gas analysis (DGA), and furan compound analysis help assess degradation, with the degree of polymerization (DP) serving as a key indicator of insulation health. This study evaluates five DP estimation methods, namely Chendong, Heisler & Banzer, Vaurchex, Pahlavanpour, and De Pablo, using six statistical metrics consisting of average, standard deviation, determination coefficient (DC), correlation coefficient (CC), t-test, and p-value. The Chendong method proved most robust, achieving DC = 0.677, CC = 0.878, and the lowest standard deviation (0.81), meeting all criteria. Heisler & Banzer followed with DC = 0.529 and CC = 0.878, though its higher deviation (1.04) affected consistency. Vaurchex and Pahlavanpour showed moderate performance (DC = 0.674 and 0.435) but failed to meet t-test and p-value thresholds. De Pablo ranked lowest (DC = 0.071), meeting only one criterion. By quantifying each method’s strengths and limitations, this paper offers a benchmarking framework to improve insulation diagnostics and guide maintenance decisions which ultimately enhance transformer reliability, asset management, and power system efficiency. Full article
Show Figures

Figure 1

19 pages, 17884 KB  
Article
Mechanism and Simulation Analysis of Acoustic Wave Excitation by Partial Discharge
by Ziqi Li, Xianmei Wu, Tao Leng, Bingwen An and Wei Dong
Appl. Sci. 2025, 15(21), 11611; https://doi.org/10.3390/app152111611 - 30 Oct 2025
Viewed by 724
Abstract
Partial discharge serves as a typical indicator of insulation defects in high-voltage electrical equipment and is often accompanied by acoustic emission. The online monitoring of partial discharge via acoustic signals makes it essential to investigate the underlying mechanism of acoustic wave excitation by [...] Read more.
Partial discharge serves as a typical indicator of insulation defects in high-voltage electrical equipment and is often accompanied by acoustic emission. The online monitoring of partial discharge via acoustic signals makes it essential to investigate the underlying mechanism of acoustic wave excitation by partial discharge. However, experimental investigation is often prohibitively expensive and struggles to capture key discharge parameters. Numerical simulation thus provides a valuable alternative for microscopic analysis. In this study, a typical needle-plane corona discharge model is employed. Based on the theory that acoustic waves are generated by gas disturbances caused by collisions between charged and neutral particles in weakly ionized gases, a numerical model for acoustic wave excitation by positive corona discharge is developed. Simulations and analyses are performed on the acoustic source characteristics and the acoustic field distribution. The results demonstrate that the spatiotemporal evolution of electron density plays a dominant role in the generation of acoustic waves during positive DC corona discharge. The characteristics of the simulated acoustic field agree well with experimental results from relevant studies, validating the effectiveness of the proposed electroacoustic coupling numerical model and providing a new tool for further research into the acoustic features of partial discharge. Full article
(This article belongs to the Section Applied Physics General)
Show Figures

Figure 1

17 pages, 5272 KB  
Article
Enhanced Clustering of DC Partial Discharge Pulses Using Multi-Level Wavelet Decomposition and Principal Component Analysis
by Sung-Ho Yoon, Ik-Su Kwon, Jin-Seok Lim, Byung-Bae Park, Seung-Won Lee and Hae-Jong Kim
Energies 2025, 18(18), 4835; https://doi.org/10.3390/en18184835 - 11 Sep 2025
Cited by 1 | Viewed by 793
Abstract
Partial discharge (PD) is a critical indicator of insulation degradation in high-voltage DC systems, necessitating accurate diagnosis to ensure long-term reliability. Conventional AC-based diagnostic methods, such as phase-resolved partial discharge analysis (PRPDA), are ineffective under DC conditions, emphasizing the need for waveform-based analysis. [...] Read more.
Partial discharge (PD) is a critical indicator of insulation degradation in high-voltage DC systems, necessitating accurate diagnosis to ensure long-term reliability. Conventional AC-based diagnostic methods, such as phase-resolved partial discharge analysis (PRPDA), are ineffective under DC conditions, emphasizing the need for waveform-based analysis. This study presents a novel clustering framework for DC PD pulses, leveraging multi-level wavelet decomposition and statistical feature extraction. Each signal is decomposed into multiple frequency bands, and 70 distinctive waveform features are extracted from each pulse. To mitigate feature redundancy and enhance clustering performance, principal component analysis (PCA) is employed for dimensionality reduction. Experimental data were obtained from multiple defect types and measurement distances using a 22.9 kV cross-linked polyethylene (XLPE) cable system. The proposed method significantly outperformed conventional time-frequency (T-F) mapping techniques, particularly in scenarios involving signal attenuation and mixed noise. Propagation-induced distortion was effectively addressed through multi-resolution analysis. In addition, field noise sources such as HVDC converter switching transients and fluorescent lamp emissions were included to assess robustness. The results confirmed the framework’s capability to distinguish between multiple PD types and noise sources, even in challenging environments. Furthermore, optimal mother wavelet selection and correlation-based feature analysis contributed to improved clustering resolution. This framework supports robust PD classification in practical HVDC diagnostics. The framework can contribute to the development of real-time autonomous monitoring systems for HVDC infrastructure. Future research will explore incorporating temporal deep learning architectures for automated PD-type recognition based on clustered data. Full article
Show Figures

Figure 1

21 pages, 1634 KB  
Review
A Comprehensive Review of Condition Monitoring Technologies for Modular Multilevel Converter (MMC) HVDC Systems
by Zhoufei Yao, Xing Lei and Xizhou Du
Electronics 2025, 14(17), 3462; https://doi.org/10.3390/electronics14173462 - 29 Aug 2025
Cited by 4 | Viewed by 3234
Abstract
This paper provides an in-depth review of degradation mechanisms and condition monitoring methods for critical components in modular multilevel converter (MMC) high-voltage direct current (HVDC) systems, including insulated gate bipolar transistors (IGBTs), metallized film capacitors, and cross-linked polyethylene (XLPE) DC cables. This study [...] Read more.
This paper provides an in-depth review of degradation mechanisms and condition monitoring methods for critical components in modular multilevel converter (MMC) high-voltage direct current (HVDC) systems, including insulated gate bipolar transistors (IGBTs), metallized film capacitors, and cross-linked polyethylene (XLPE) DC cables. This study systematically evaluates the strengths and limitations of existing technologies, while also projecting future trends in technological advancements. By exploring the multi-fields-coupled degradation processes of these components, the mechanisms of switching oscillations, and the flexible and controllable applications of MMC, this review offers valuable insights for improving the accuracy, real-time performance, and reliability of component condition monitoring. The findings aim to contribute to the advancement and broader application of MMC HVDC systems in modern power networks. Full article
Show Figures

Figure 1

16 pages, 1859 KB  
Article
Simulation of Effect on Charge Accumulation Distribution in Laminar Oil Flow with Bubbles in Oil Passage of Converter Transformer
by Wen Si, Haibo Li, Hongshun Liu and Xiaotian Gu
Energies 2025, 18(15), 3992; https://doi.org/10.3390/en18153992 - 26 Jul 2025
Viewed by 777
Abstract
The converter transformer is subjected to AC/DC composite voltage during operation, and the sealed and time-varying internal state makes its electric field distribution and charge accumulation unable to be monitored in real-time experiments. In this paper, aiming at the influence of bubbles in [...] Read more.
The converter transformer is subjected to AC/DC composite voltage during operation, and the sealed and time-varying internal state makes its electric field distribution and charge accumulation unable to be monitored in real-time experiments. In this paper, aiming at the influence of bubbles in the oil passage of the converter transformer on charge accumulation before discharge, a simulation model in a laminar flow environment is established, and four different calculation conditions are set to simulate the charge accumulation in 1 s. It is found that under laminar flow conditions, the trapped bubbles on the insulation paper wall play an obvious role in intensifying the charge accumulation in transformer oil, and the extreme range of charge density will increase by about 104 times. Bubbles aggravate the electric field distortion, and the insulation strength of bubbles is lower, which becomes the weak link of insulation. In the laminar flow environment, the oil flow will take away part of the accumulated charge in the oil, but in the case of trapped bubbles, the charge accumulation in the insulating paper will increase from the order of 10−2 to 10−1. In the case of no bubbles, the transformer oil layer flow will increase the charge accumulation in the insulation paper by 4–5 orders of magnitude. Therefore, it can be seen that the flow of transformer oil will increase the deterioration level of insulation paper. And when the transformer oil is already in the laminar flow state, the influence of laminar flow velocity on charge accumulation is not obvious. The research results in this paper provide a time-varying simulation reference state for the charge accumulation problem that cannot be measured experimentally under normal charged operation conditions, and we obtain quantitative numerical results, which can provide a valuable reference for the study of transformer operation and insulation discharge characteristics. Full article
Show Figures

Figure 1

23 pages, 3011 KB  
Article
Comprehensive Diagnostic Assessment of Inverter Failures in a Utility-Scale Solar Power Plant: A Case Study Based on Field and Laboratory Validation
by Karl Kull, Bilal Asad, Muhammad Usman Naseer, Ants Kallaste and Toomas Vaimann
Sensors 2025, 25(12), 3717; https://doi.org/10.3390/s25123717 - 13 Jun 2025
Cited by 1 | Viewed by 2224
Abstract
Recurrent catastrophic inverter failures significantly undermine the reliability and economic viability of utility-scale photovoltaic (PV) power plants. This paper presents a comprehensive investigation of severe inverter destruction incidents at the Kopli Solar Power Plant, Estonia, by integrating controlled laboratory simulations with extensive field [...] Read more.
Recurrent catastrophic inverter failures significantly undermine the reliability and economic viability of utility-scale photovoltaic (PV) power plants. This paper presents a comprehensive investigation of severe inverter destruction incidents at the Kopli Solar Power Plant, Estonia, by integrating controlled laboratory simulations with extensive field monitoring. Initially, detailed laboratory experiments were conducted to replicate critical DC-side short-circuit scenarios, particularly focusing on negative DC input terminal faults. The results consistently showed these faults rapidly escalating into multi-phase short-circuits and sustained ground-fault arcs due to inadequate internal protection mechanisms, semiconductor breakdown, and delayed relay response. Subsequently, extensive field-based waveform analyses of multiple inverter failure events captured identical fault signatures, thereby conclusively validating laboratory-identified failure mechanisms. Critical vulnerabilities were explicitly identified, including insufficient isolation relay responsiveness, inadequate semiconductor transient ratings, and ineffective internal insulation leading to prolonged arc conditions. Based on the validated findings, the paper proposes targeted inverter design enhancements—particularly advanced DC-side protective schemes, rapid fault-isolation mechanisms, and improved internal insulation practices. Additionally, robust operational and monitoring guidelines are recommended for industry-wide adoption to proactively mitigate future inverter failures. The presented integrated methodological framework and actionable recommendations significantly contribute toward enhancing inverter reliability standards and operational stability within grid-connected photovoltaic installations. Full article
Show Figures

Figure 1

14 pages, 3075 KB  
Article
Protection Criteria of Cathodically Protected Pipelines Under AC Interference
by Luca Paterlini, Andrea Marinelli, Andrea Brenna and Marco Ormellese
Corros. Mater. Degrad. 2025, 6(1), 7; https://doi.org/10.3390/cmd6010007 - 8 Feb 2025
Cited by 1 | Viewed by 3609
Abstract
Carbon steel structures employed to convey hydrocarbons and other dangerous fluids, such as oil or flammable liquids, are equipped with degradation prevention systems, which typically consist of a cathodic protection (CP) system combined with an external insulating coating, both designed to reduce the [...] Read more.
Carbon steel structures employed to convey hydrocarbons and other dangerous fluids, such as oil or flammable liquids, are equipped with degradation prevention systems, which typically consist of a cathodic protection (CP) system combined with an external insulating coating, both designed to reduce the corrosion rate below 10 µm/year. The presence of electrical interference, both AC and DC, can cause significant corrosion damage to metallic structures, even when CP is applied. DC interference is determined by the presence of a third-party CP system or public transportation system. AC interference may occur through conduction or induction mechanisms, caused by high-voltage powerlines or high-speed trains, powered by AC. Both interferences may lead to localized corrosion at coating defects, despite compliance with the −0.850 V saturated Cu/CuSO4 reference electrode (CSE) protection criterion. Considering AC-induced corrosion, both field failures and laboratory investigations have demonstrated that corrosion can occur at industrial frequencies, and when CP is applied following the standards. Even though AC-induced degradation is generally not as severe as DC interference, uncertainties remain regarding the protection potential range necessary to achieve acceptable corrosion prevention under AC interference. To formulate a CP criterion under AC interference, weight loss measurements were conducted on carbon steel samples under cathodic protection in solutions that simulate real soil conditions. Carbon steel coupons protected by CP were interfered with AC densities ranging from 1 A/m2 to 800 A/m2 for four months. During this time interval, polarization potential, protection current density and AC density were monitored. Based on the experimental data gathered during this study, a proposal for a risk map is also suggested. The results indicate that overprotection (potentials < −1.2 V CSE) represents the most dangerous scenario when AC interference is involved. Full article
Show Figures

Figure 1

25 pages, 6816 KB  
Article
Online High Frequency Impedance Identification Method of Inverter-Fed Electrical Machines for Stator Health Monitoring
by Jérémy Creux, Najla Haje Obeid, Thierry Boileau and Farid Meibody-Tabar
Appl. Sci. 2024, 14(23), 10911; https://doi.org/10.3390/app142310911 - 25 Nov 2024
Cited by 5 | Viewed by 2004
Abstract
In electric powertrain traction applications, the adopted trend to improve the performance and efficiency of electromechanical power conversion systems is to increase supply voltages and inverter switching frequencies. As a result, electrical machine conductors are subjected to ever-increasing electrical stresses, leading to premature [...] Read more.
In electric powertrain traction applications, the adopted trend to improve the performance and efficiency of electromechanical power conversion systems is to increase supply voltages and inverter switching frequencies. As a result, electrical machine conductors are subjected to ever-increasing electrical stresses, leading to premature insulation degradation and eventual short-circuits. Winding condition monitoring is crucial to prevent such critical failures. Based on the scientific literature, several methods can be used for early identification of aging. A first solution is to monitor partial discharges. This method requires the use of a specific measurement device and an undisturbed test environment. A second solution is to monitor the inter-turn winding capacitance, which is directly related to the condition of the insulation and can cause a change in the stator impedance behavior. Several approaches can be used to estimate or characterize this impedance behavior. They must be performed on a machine at standstill, which limits their application. In this paper, a new characterization method is proposed to monitor the high-frequency stator impedance evolution of voltage source inverter-fed machines. This method can be applied at any time without removing the machine from its operating environment. The range and accuracy of the proposed frequency characterization depend in particular on the supply voltage level and the bandwidth of the measurement probes. The effects of parameters such as temperature, switching frequency, and DC voltage amplitude on the impedance characteristic were also studied and will be presented. Tests carried out on an automotive traction machine have shown that the first two series and parallel resonances of the high-frequency impedance can be accurately identified using the proposed technique. Therefore, by monitoring these resonances, it is possible to predict the aging rate of the conductor. Full article
Show Figures

Figure 1

14 pages, 1251 KB  
Article
Localization Method for Insulation Degradation Area of the Metro Rail-to-Ground Based on Monitor Information
by Aimin Wang, Yu Li, Wenxuan Yang and Guangxu Pan
Electronics 2024, 13(18), 3678; https://doi.org/10.3390/electronics13183678 - 16 Sep 2024
Cited by 3 | Viewed by 1504
Abstract
Since rail-to-ground insulation decreases, large-level direct currents (DCs) leak from railways and form metro stray currents, corroding the buried metal. To locate the rail-to-ground insulation deterioration area, a location method is proposed based on parameter identification methods and the monitored information including the [...] Read more.
Since rail-to-ground insulation decreases, large-level direct currents (DCs) leak from railways and form metro stray currents, corroding the buried metal. To locate the rail-to-ground insulation deterioration area, a location method is proposed based on parameter identification methods and the monitored information including the station rail potentials, currents at the traction power substations (TPSs), and train traction currents and train positions. According to the monitoring information of two adjacent TPSs, the section location model of the metro line is proposed, in which the rail-to-ground conductances of the test section are equivalent to the lumped parameters. Using the rail resistivity and traction currents as the known information, the rail-to-ground conductances are calculated with the least square method (LSM). The rail-to-ground insulation deterioration sections are identified by comparing the calculated conductances with thresholds determined by the standard requirements and section lengths. Then, according to the section location results, a detailed location model of the degradation section is proposed, considering the location distance accuracy. Using the genetic algorithm (GA) to calculate the rail-to-ground conductances, degradation positions are located by comparing the threshold calculated with the standard requirements and location distance accuracy. The location method is verified by comparing the calculation results under different degradation conditions. Moreover, the applications of the proposed method to different degradation lengths and different numbers of degradation sections are analyzed. The results show that the proposed method can locate rail-to-ground insulation deterioration areas. Full article
(This article belongs to the Section Circuit and Signal Processing)
Show Figures

Figure 1

16 pages, 6303 KB  
Article
Spatial-Temporal Kinetic Behaviors of Micron-Nano Dust Adsorption along Epoxy Resin Insulator Surfaces and the Physical Mechanism of Induced Surface Flashover
by Naifan Xue, Bei Li, Yuan Wang, Ning Yang, Ruicheng Yang, Feichen Zhang and Qingmin Li
Polymers 2024, 16(4), 485; https://doi.org/10.3390/polym16040485 - 9 Feb 2024
Cited by 5 | Viewed by 1998
Abstract
The advanced Gas Insulated Switchgear/Gas Insulated Lines (GIS/GIL) transmission equipment serves as an essential physical infrastructure for establishing a new energy power system. An analysis spanning nearly a decade on faults arising from extra/ultra-high voltage discharges reveals that over 60% of such faults [...] Read more.
The advanced Gas Insulated Switchgear/Gas Insulated Lines (GIS/GIL) transmission equipment serves as an essential physical infrastructure for establishing a new energy power system. An analysis spanning nearly a decade on faults arising from extra/ultra-high voltage discharges reveals that over 60% of such faults are attributed to the discharge of metal particles and dust. While existing technical means, such as ultra-high frequency and ultrasonic sensing, exhibit effectiveness in online monitoring of particles larger than sub-millimeter dimensions, the inherent randomness and elusive nature of micron-nano dust pose challenges for effective characterization through current technology. This elusive micron-nano dust, likely concealed as a latent threat, necessitates special attention due to its potential as a “safety killer”. To address the challenges associated with detecting micron-nano dust and comprehending its intricate mechanisms, this paper introduces a micron-nano dust adsorption experimental platform tailored for observation and practical application in GIS/GIL operations. The findings highlight that micron-nano dust’s adsorption state in the electric field predominantly involves agglomerative adsorption along the insulator surface and diffusive adsorption along the direction of the ground electrode. The pivotal factors influencing dust movement include the micron-nano dust’s initial position, mass, material composition, and applied voltage. Further elucidation emphasizes the potential of micron-nano dust as a concealed safety hazard. The study reveals specific physical phenomena during the adsorption process. Agglomerative adsorption results in micron-nano dust speckles forming on the epoxy resin insulator’s surface. With increasing voltage, these speckles undergo an “explosion”, forming an annular dust halo with deepening contours. This phenomenon, distinct from the initial adsorption, is considered a contributing factor to flashovers along the insulator’s surface. The physical mechanism behind flashovers triggered by micron-nano dust is uncovered, highlighting the formation of a localized short circuit area and intense electric field distortion constituted by dust speckles. These findings establish a theoretical foundation and technical support for enhancing the safe operational performance of AC and DC transmission pipelines’ insulation. Full article
(This article belongs to the Special Issue New Studies of Polymer Surfaces and Interfaces)
Show Figures

Figure 1

Back to TopTop