Sign in to use this feature.

Years

Between: -

Subjects

remove_circle_outline
remove_circle_outline
remove_circle_outline
remove_circle_outline
remove_circle_outline
remove_circle_outline
remove_circle_outline
remove_circle_outline
remove_circle_outline

Journals

Article Types

Countries / Regions

Search Results (123)

Search Parameters:
Keywords = CityCAT

Order results
Result details
Results per page
Select all
Export citation of selected articles as:
26 pages, 55532 KB  
Article
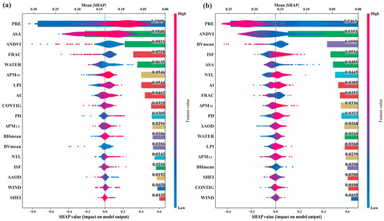
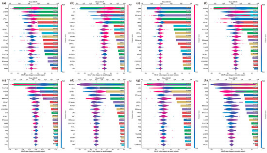
Diurnal–Seasonal Contrast of Spatiotemporal Dynamic and the Key Determinants of Surface Urban Heat Islands Across China’s Humid and Arid Regions
by Chengyu Wang, Zihao Feng and Xuhong Wang
Sustainability 2026, 18(2), 1093; https://doi.org/10.3390/su18021093 - 21 Jan 2026
Abstract
Regional management of the urban thermal environment is essential for sustainable development. However, both the surface urban heat island (SUHI) spatiotemporal patterns and driving mechanisms across humid–arid regions remain uncertain. Therefore, 329 cities from various humid–arid regions were selected to investigate the interannual, [...] Read more.
Regional management of the urban thermal environment is essential for sustainable development. However, both the surface urban heat island (SUHI) spatiotemporal patterns and driving mechanisms across humid–arid regions remain uncertain. Therefore, 329 cities from various humid–arid regions were selected to investigate the interannual, seasonal, and diurnal distribution characteristics of SUHIs across regions. By constructing six-dimensional influencing factors and using CatBoost-SHAP and SEM methods, the contributions and action pathways of these factors to SUHIs were analyzed across humid–arid regions. The influence mechanisms, differences in feature importance, and similarities and discrepancies in action pathways were thoroughly examined. The findings are as follows: 1. During the day, higher SUHII values occur in humid and semihumid regions, exceeding those in arid and semiarid regions by 1.521 and 0.921, respectively. At night, arid and semiarid regions exhibit UHI effects (SUHII > 0). The SUHI distribution across humid–arid regions demonstrates seasonal variations. 2. ΔSA and ΔNDVI are stable dominant influencing factors across all regions. The contribution rank varies along the humid–arid region: Pollution factors are more important in arid and semiarid regions, whereas surface features and 2D/3D dominate in humid and semihumid regions at night. 3. SUHI regulation by influencing factors across humid–arid regions follows both similar paths and regional variations. This study reveals the SUHI distribution across humid–arid regions and provides reference data for regional thermal environment management. Full article
Show Figures

Figure 1

11 pages, 1031 KB  
Article
The Development and Evaluation of a Loop-Mediated Isothermal Amplification (LAMP) Method for the Detection of Spirometra mansoni in Dogs
by Xiaoruo Tan, Yuke Zeng, Shiquan Lu, Asmaa M. I. Abuzeid, Qin Meng, Zhihui Zou, Kewei Fan and Wei Liu
Vet. Sci. 2026, 13(1), 66; https://doi.org/10.3390/vetsci13010066 - 9 Jan 2026
Viewed by 215
Abstract
Spirometra mansoni is a zoonotic parasite that inhabits the intestines of dogs and cats. The plerocercoids (spargana) parasitize several vertebrates, including humans, resulting in a food-borne zoonosis known as sparganosis. In this study, it has been established that a LAMP assay can detect [...] Read more.
Spirometra mansoni is a zoonotic parasite that inhabits the intestines of dogs and cats. The plerocercoids (spargana) parasitize several vertebrates, including humans, resulting in a food-borne zoonosis known as sparganosis. In this study, it has been established that a LAMP assay can detect S. mansoni eggs in dog feces. A total of 97 fecal samples were collected from Changsha City, Hunan Province. The fecal DNA was extracted before designing primers for LAMP based on the S. mansoni cox1 gene. The specificity of this method was verified by PCR using LAMP outer primers or inner primers and nested PCR with S. mansoni-specific cox1 primers. DNA samples from five control dog worms were analyzed using the LAMP assay to evaluate the specificity. The detection rate of LAMP for S. mansoni eggs was 70.21% in stray dogs. PCR and nested PCR produced specific bands on agarose gel electrophoresis consistent with the expected length. When the LAMP assay was conducted using S. mansoni-infected samples, negative samples, and genomic DNA from control worms, only the S. mansoni-infected samples showed a typical ladder pattern. The samples were stained with SYBR Green I, and only the S. mansoni-infected samples had a fluorescent signal. In addition, compared with PCR and microscope, LAMP method can detect eggs in the shortest infection days, and its detection rate was higher than that of PCR. These results suggest that the established LAMP method have many advantages in detecting Spirometra mansoni. Full article
(This article belongs to the Section Veterinary Microbiology, Parasitology and Immunology)
Show Figures

Figure 1

28 pages, 2296 KB  
Article
Interpretable Machine Learning-Based Differential Diagnosis of Hip and Knee Osteoarthritis Using Routine Preoperative Clinical and Laboratory Data
by Zhanel Baigarayeva, Baglan Imanbek, Assiya Boltaboyeva, Bibars Amangeldy, Nurdaulet Tasmurzayev, Kassymbek Ozhikenov, Daulet Baimbetov, Roza Beisembekova and Naoya Maeda-Nishino
Algorithms 2026, 19(1), 24; https://doi.org/10.3390/a19010024 - 25 Dec 2025
Viewed by 392
Abstract
Osteoarthritis (OA) of the hip (coxarthrosis) and knee (gonarthrosis) is a leading cause of disability worldwide. Differential diagnosis typically relies on imaging modalities such as X-rays and Magnetic Resonance Imaging (MRI). However, advanced imaging can be expensive and inaccessible, highlighting the need for [...] Read more.
Osteoarthritis (OA) of the hip (coxarthrosis) and knee (gonarthrosis) is a leading cause of disability worldwide. Differential diagnosis typically relies on imaging modalities such as X-rays and Magnetic Resonance Imaging (MRI). However, advanced imaging can be expensive and inaccessible, highlighting the need for non-invasive diagnostic tools. This study aimed to develop and validate an interpretable machine learning model to distinguish between hip and knee osteoarthritis using standard preoperative clinical and laboratory data. This model is designed to assist physicians in prioritizing whether to order a hip or a knee X-ray first, thereby saving time and medical resources. The study utilized retrospective data from 1792 patients treated at the City Clinical Hospital in Almaty, Kazakhstan. After applying inclusion and exclusion criteria, five machine learning algorithms were used for training and evaluation: Decision Tree, Random Forest, Logistic Regression, XGBoost, and CatBoost. SHapley Additive exPlanations (SHAP) and Local Interpretable Model-agnostic Explanations (LIME) were employed to interpret predictions and determine the contribution of each feature. The XGBoost model demonstrated the best performance, achieving an accuracy of 93.85%, a precision of 95.15%, a recall of 90.51%, and an F1-score of 92.41%. SHAP analysis revealed that age, glucose and leukocyte levels, urea, and BMI made the greatest contributions to the model’s predictions, while local analysis using LIME indicated that age, leukocyte levels, glucose, erythrocytes, and platelets were the most influential features. These findings support the use of machine learning for cost-effective early osteoarthritis triage using routine preoperative data. Full article
Show Figures

Figure 1

25 pages, 2770 KB  
Article
Analysis of the Travelling Time According to Weather Conditions Using Machine Learning Algorithms
by Gülçin Canbulut
Appl. Sci. 2026, 16(1), 6; https://doi.org/10.3390/app16010006 - 19 Dec 2025
Viewed by 266
Abstract
A large share of the global population now lives in urban areas, which creates growing challenges for city life. Local authorities are seeking ways to enhance urban livability, with transportation emerging as a major focus. Developing smart public transit systems is therefore a [...] Read more.
A large share of the global population now lives in urban areas, which creates growing challenges for city life. Local authorities are seeking ways to enhance urban livability, with transportation emerging as a major focus. Developing smart public transit systems is therefore a key priority. Accurately estimating travel times is essential for managing transport operations and supporting strategic decisions. Previous studies have used statistical, mathematical, or machine learning models to predict travel time, but most examined these approaches separately. This study introduces a hybrid framework that combines statistical regression models and machine learning algorithms to predict public bus travel times. The analysis is based on 1410 bus trips recorded between November 2021 and July 2022 in Kayseri, Turkey, including detailed meteorological and operational data. A distinctive aspect of this research is the inclusion of weather variables—temperature, humidity, precipitation, air pressure, and wind speed—which are often neglected in the literature. Additionally, sensitivity analyses are conducted by varying k values in the K-nearest neighbors (KNN) algorithm and threshold values for outlier detection to test model robustness. Among the tested models, CatBoost achieved the best performance with a mean squared error (MSE) of approximately 18.4, outperforming random forest (MSE = 25.3) and XGBoost (MSE = 23.9). The empirical results show that the CatBoost algorithm consistently achieves the lowest mean squared error across different preprocessing and parameter settings. Overall, this study presents a comprehensive and environmentally aware approach to travel time prediction, contributing to the advancement of intelligent and adaptive urban transportation systems. Full article
Show Figures

Figure 1

18 pages, 2276 KB  
Article
Emerging Risk of Flea-Borne Bartonella in Tropical Cities: Evidence from Stray Cats in the Klang Valley, Malaysia
by Justin Titti Alison, Auni Atikah AbdulHalim, Muhammad Rasul Abdullah Halim, Hasmawati Yahaya, Muhamad Afiq Aziz, Sazaly AbuBakar and Zubaidah Ya’cob
Insects 2025, 16(12), 1282; https://doi.org/10.3390/insects16121282 - 18 Dec 2025
Viewed by 498
Abstract
Urban stray cats are often associated with ectoparasites and zoonotic pathogens due to their unsanitary living conditions and lack of veterinary care. Fleas, especially Ctenocephalides spp., are competent vectors of Bartonella spp., a genus of emerging bacterial pathogens with both public health and [...] Read more.
Urban stray cats are often associated with ectoparasites and zoonotic pathogens due to their unsanitary living conditions and lack of veterinary care. Fleas, especially Ctenocephalides spp., are competent vectors of Bartonella spp., a genus of emerging bacterial pathogens with both public health and veterinary relevance. This study investigated the presence of Bartonella DNA in ectoparasitic fleas infesting stray cats in various urban habitats within the Klang Valley, Malaysia. A total of 204 fleas were collected from 89 stray cats. Fleas were identified morphologically using established taxonomic keys under a light microscope and further validated through PCR amplification of the mitochondrial cytochrome c oxidase subunit I (cox1) gene. Detection of Bartonella spp. was conducted by targeting the citrate synthase (gltA) gene. All fleas were confirmed as Ctenocephalides felis, with an infestation prevalence of 39.33% among the cats sampled. Of 118 C. felis specimens tested, 86.44% were positive for Bartonella DNA, one of the highest worldwide and significantly surpassing previous Malaysian reports. Sequencing of 12 positive samples showed identities with B. claridgeiae (58.3%), B. henselae (25.0%), an uncultured Bartonella species (8.3%) and a Bartonella isolate from a dog in Chile (8.3%). These results highlight the significant presence of Bartonella, causative agent of cat-scratch disease in stray cats, emphasizing their potential role as urban reservoirs and vectors. The findings underscore the need for ectoparasite surveillance and zoonotic pathogen control as integral components of stray animal management in Malaysia’s urban settings. Full article
(This article belongs to the Special Issue Surveillance and Control of Arthropod-Borne Diseases)
Show Figures

Figure 1

34 pages, 1898 KB  
Article
New Reports of Orchidaceae Family in Southern Calabria (Italy): Distribution and Conservation
by Valentina Lucia Astrid Laface and Luigi Torino
Conservation 2025, 5(4), 85; https://doi.org/10.3390/conservation5040085 - 16 Dec 2025
Viewed by 767
Abstract
The Orchidaceae family in Calabria has been scarcely investigated during the 21st century, and available knowledge remains fragmentary, particularly for the rarer taxa. The last comprehensive study dates back to 2002, whereas subsequent checklists, limited to restricted areas of the region, provide incomplete [...] Read more.
The Orchidaceae family in Calabria has been scarcely investigated during the 21st century, and available knowledge remains fragmentary, particularly for the rarer taxa. The last comprehensive study dates back to 2002, whereas subsequent checklists, limited to restricted areas of the region, provide incomplete or taxonomically uncertain data. Considering that the family is protected at global (CITES, Bern Convention, IUCN) and national (Italian Red List) levels, broader and more systematic attention is required. In this work, focused on the southern sector of the Metropolitan City of Reggio Calabria, with special reference to the mountain and foothill areas of the Aspromonte massif and in the adjacent districts, we describe four new hybrids for science, each assessed as Critically Endangered (CR), and report four previously unrecorded taxa for the region, evaluated as VU/CR. In addition, two hybrids, newly recorded for the Calabrian flora, were likewise assigned a CR conservation status. The study also provides confirmation of historical records of Ophrys speculum and identifies the southernmost stations in continental Italy for both O. speculum and Orchis branciforti Standardized floral and labellar morphometric traits were measured on representative individuals from each population, including the parental species in the case of hybrids. Conservation status was evaluated following IUCN criteria and GeoCAT-derived AOO values, complemented by field observations on population size, habitat conditions, and site-specific threats. Hybrid names comply with ICN provisions. These findings enhance understanding of orchid biodiversity in Southern Italy and provide new insights for regional conservation efforts. Full article
(This article belongs to the Special Issue Plant Species Diversity and Conservation)
Show Figures

Figure 1

30 pages, 11447 KB  
Article
Model Modeling the Spatiotemporal Vitality of a Historic Urban Area: The CatBoost-SHAP Analysis of Built Environment Effects in Kaifeng
by Junfeng Zhang and Yaxin Shen
Buildings 2025, 15(24), 4499; https://doi.org/10.3390/buildings15244499 - 12 Dec 2025
Viewed by 559
Abstract
Analyzing the spatial patterns of vitality in historic urban areas and their influencing elements is essential for improving the vitality of historic and cultural cities and fostering sustainable urban development. This research investigated the historic urban area of Kaifeng City. Employing Baidu Huiyan [...] Read more.
Analyzing the spatial patterns of vitality in historic urban areas and their influencing elements is essential for improving the vitality of historic and cultural cities and fostering sustainable urban development. This research investigated the historic urban area of Kaifeng City. Employing Baidu Huiyan population location data, it assessed the spatial distribution of vitality on weekdays and weekends. A built environment indicator system was developed using multi-source data, and the CatBoost-SHAP model was applied to examine the nonlinear relationship between the built environment and the vitality of a historic urban area, along with the interactions among different factors. The study systematically explored the spatiotemporal dynamics of vitality and the influence mechanisms of the built environment. The results showed the following: (1) The vitality of Kaifeng’s historic urban area demonstrated significant spatiotemporal heterogeneity, exhibiting an “inner-hot, outer-cold” spatial pattern. Overall vitality levels were higher on weekends than on weekdays, with a progressive decline from morning to night. (2) Built environment factors dynamically influenced vitality across time periods. The impacts of POIM and BD shifted markedly, indicating temporal variations in vitality-driving mechanisms. (3) Synergistic interactions among built environment factors exerted nonlinear effects on urban vitality. Within reasonable threshold ranges, BSD, POID, and BD promoted vitality but exhibited diminishing marginal returns under high-density conditions. Notably, BSD played a core moderating role in multi-factor interactions. These findings reveal the complex and dynamic relationship between the built environment and historic urban vitality. They indicate that spatial governance should prioritize the synergistic integration of transportation, functions, ecology, and culture to achieve dual improvements in urban vitality and environmental quality, thereby providing important theoretical support and practical guidance for planning and spatial optimization in historic urban areas. Full article
(This article belongs to the Special Issue Sustainable Urban Development and Real Estate Analysis)
Show Figures

Figure 1

12 pages, 1068 KB  
Article
Year-Round Activity Patterns of Badgers (Meles meles) and Mesocarnivore Communities in Urban and Sub-Urban Areas
by Francesco Bisi, Pietro Grespan, Claudia Tranquillo, Adriano Martinoli, Lucas Armand Wauters and Damiano Giovanni Preatoni
Urban Sci. 2025, 9(11), 453; https://doi.org/10.3390/urbansci9110453 - 1 Nov 2025
Cited by 1 | Viewed by 610
Abstract
Urbanisation exerts profound effects on biodiversity, driving species extinctions while promoting behavioural adaptations in generalist taxa. The European badger (Meles meles) exemplifies such adaptability, exploiting anthropogenic resources and modifying activity rhythms. This study assessed badger activity within the Varese province in [...] Read more.
Urbanisation exerts profound effects on biodiversity, driving species extinctions while promoting behavioural adaptations in generalist taxa. The European badger (Meles meles) exemplifies such adaptability, exploiting anthropogenic resources and modifying activity rhythms. This study assessed badger activity within the Varese province in northern Italy, comparing an urban park and a sub-urban landscape. From August 2023 to August 2024, camera traps recorded badgers and sympatric mesocarnivores, including red foxes (Vulpes vulpes), domestic cats (Felis catus), and beech martens (Martes foina). Despite high activity overlap between sites (∆ = 0.87), the Mardia–Watson–Wheeler test revealed significant differences. Urban badgers displayed heightened nocturnality relative to sub-urban individuals, consistent with comparisons to nearby protected natural areas. This pattern indicates anthropogenic disturbance as a driver of temporal adjustment. Urban badgers are active from 18:00 to 07:00, whereas sub-urban badgers are active from 17:00 to 08:00. The later onset and earlier termination of urban activity suggest behavioural avoidance of human presence. Red foxes exhibited even greater nocturnality in urban settings, while domestic cats were primarily crepuscular and less frequently detected, particularly in sub-urban areas. Results underline the ecological plasticity of badgers, highlighting their capacity to accommodate urban pressures and providing city administrations with information to improve park management planning. Full article
Show Figures

Graphical abstract

23 pages, 15077 KB  
Article
Landscape Patterns and Carbon Emissions in the Yangtze River Basin: Insights from Ensemble Models and Nighttime Light Data
by Banglong Pan, Qi Wang, Zhuo Diao, Jiayi Li, Wuyiming Liu, Qianfeng Gao, Ying Shu and Juan Du
Atmosphere 2025, 16(10), 1173; https://doi.org/10.3390/atmos16101173 - 9 Oct 2025
Cited by 1 | Viewed by 612
Abstract
Land use patterns are a critical driver of changes in carbon emissions, making it essential to elucidate the relationship between regional carbon emissions and land use types. As a nationally designated economic strategic zone, the Yangtze River Basin encompasses megacities, rapidly developing medium-sized [...] Read more.
Land use patterns are a critical driver of changes in carbon emissions, making it essential to elucidate the relationship between regional carbon emissions and land use types. As a nationally designated economic strategic zone, the Yangtze River Basin encompasses megacities, rapidly developing medium-sized cities, and relatively underdeveloped regions. However, the mechanism underlying the interaction between landscape patterns and carbon emissions across such gradients remains inadequately understood. This study utilizes nighttime light, land use and carbon emissions datasets, employing XGBoost, CatBoost, LightGBM and a stacking ensemble model to analyze the impacts and driving factors of land use changes on carbon emissions in the Yangtze River Basin from 2002 to 2022. The results showed: (1) The stacking ensemble learning model demonstrated the best predictive performance, with a coefficient of determination (R2) of 0.80, a residual prediction deviation (RPD) of 2.22, and a root mean square error (RMSE) of 4.46. Compared with the next-best models, these performance metrics represent improvements of 19.40% in R2 and 28.32% in RPD, and a 22.16% reduction in RMSE. (2) Based on SHAP feature importance and Pearson correlation analysis, the primary drivers influencing CO2 net emissions in the Yangtze River Basin are GDP per capita (GDPpc), population density (POD), Tertiary industry share (TI), land use degree comprehensive index (LUI), dynamic degree of water-body land use (Kwater), Largest patch index (LPI), and number of patches (NP). These findings indicate that changes in regional landscape patterns exert a significant effect on carbon emissions in strategic economic regions, and that stacked ensemble models can effectively simulate and interpret this relationship with high predictive accuracy, thereby providing decision support for regional low-carbon development planning. Full article
(This article belongs to the Special Issue Urban Carbon Emissions: Measurement and Modeling)
Show Figures

Figure 1

35 pages, 7791 KB  
Article
Data-Driven Spatial Optimization of Elderly Care Facilities: A Study on Nonlinear Threshold Effects Based on XGBoost and SHAP—A Case Study of Xi’an, China
by Linggui Liu, Han Lyu, Jinghua Dai, Yuheng Tu and Taotao Gao
ISPRS Int. J. Geo-Inf. 2025, 14(10), 371; https://doi.org/10.3390/ijgi14100371 - 24 Sep 2025
Cited by 1 | Viewed by 1206
Abstract
Under the accelerating demographic aging trend, the rational allocation of elderly care facilities has emerged as a critical challenge. Although existing studies have investigated elderly care facilities planning using conventional methods, they frequently overlook the nonlinear interactions between built environment factors and heterogeneous [...] Read more.
Under the accelerating demographic aging trend, the rational allocation of elderly care facilities has emerged as a critical challenge. Although existing studies have investigated elderly care facilities planning using conventional methods, they frequently overlook the nonlinear interactions between built environment factors and heterogeneous demands across different elderly care facility types. This study addresses these gaps by proposing a data-driven framework that integrates machine learning with spatial analysis to optimize elderly care facility distribution in Xi’an City central area, Shaanxi Province, China. Leveraging multi-source datasets encompassing points of interest (POIs), road networks, and demographic statistics, we classify facilities into three categories (service-oriented, activity-oriented, and care-oriented) and employ an XGBoost model with SHAP interpretability to evaluate spatial distributions and influencing factors. The results demonstrate that the XGBoost model outperforms comparative algorithms (Random Forest, CatBoost, LightGBM) with superior performance metrics (accuracy rate of 97%, precision of 95%, and F1-score of 90%), effectively capturing nonlinear thresholds effects. Key findings reveal the following: (1) Accessibility and road density exert threshold effects on care-oriented facilities, with facility attractiveness saturating when these values exceed 6; (2) Land use intensity and medical resources positively correlate with activity-oriented facilities, while excessive retail density inhibits their distribution; (3) Service-oriented facilities thrive in areas with balanced accessibility and moderate commercial diversity. Spatial analysis identifies clustered distribution patterns in urban core areas contrasted with peripheral deficiencies, indicating need for targeted interventions. This research contributes a scalable methodology for equitable facility planning, emphasizing the integration of dynamic built environment variations with model interpretability. The framework provides significant implications for formulating age-friendly urban policies applicable to global cities undergoing rapid urbanization and population aging. Full article
Show Figures

Figure 1

9 pages, 1385 KB  
Article
Prevalence and Genetic Diversity of Torque teno felis virus (FcTTV) in Domestic Cats from Kazakhstan
by Gulzhan Yessembekova, Bolat Abdigulov, Alexandr Shevtsov, Asylulan Amirgazin, Sarsenbay Abdrakhmanov, Elena Shevtsova, Symbat Bolysbekkyzy, Salima Baduanova and Alexandr Shustov
Viruses 2025, 17(9), 1265; https://doi.org/10.3390/v17091265 - 19 Sep 2025
Viewed by 748
Abstract
Anelloviruses have a broad mammalian host range, including Torque teno felis virus (FcTTV), a felid-associated member that remains undercharacterized. This is the first comprehensive study of FcTTV in domestic cats in Central Asia. We analyzed blood samples from 206 domestic cats from the [...] Read more.
Anelloviruses have a broad mammalian host range, including Torque teno felis virus (FcTTV), a felid-associated member that remains undercharacterized. This is the first comprehensive study of FcTTV in domestic cats in Central Asia. We analyzed blood samples from 206 domestic cats from the large city of Astana, Kazakhstan, collected in 2023–2024. Using nested PCR we identified 63 FcTTV-positive samples (30.6% prevalence), and the sequences were compared to global reference strains. Potential demographic associations (sex and age) were assessed. The study revealed an overall FcTTV prevalence of 30.6%. Infection rates showed no significant sex-related differences: ages varied 4–168 months. ORF1 sequencing revealed multiple FcTTV variants in 27% of samples, with no demographic links. Phylogenetic analysis revealed distinct patterns at both nucleotide and amino acid levels: 3 groups of nucleotide sequences (max divergence 21.68%; intra-cluster 5.15–6.8%), and 3 clusters of amino acid sequences (max divergence 16.81%; intra-cluster 2.82–6.68%). Deletions were found in ORF1 in some variants. Global phylogeny aligned clusters with Asian/European strains (90–98% identity), confirming FcTTV1 affiliation and inter-regional transmission. Our study of FcTTV in Kazakhstan reveals moderate virus prevalence with considerable genetic diversity across viral strains and frequent co-infections with multiple variants. Full article
(This article belongs to the Section Animal Viruses)
Show Figures

Figure 1

12 pages, 4724 KB  
Article
Helminths of Cats (Felis catus Linnaeus, 1758) and Their Larval Stages in Reptiles in Dubai, United Arab Emirates
by Rolf K. Schuster and Saritha Sivakumar
Diversity 2025, 17(8), 578; https://doi.org/10.3390/d17080578 - 16 Aug 2025
Viewed by 1271
Abstract
An examination of 360 feral cats originating from three major habitats in the Dubai Emirate between 2002 and 2024 revealed the presence of 14 helminths, as follows: Joyeuxiella pasqualei, Joyeuxiella gervaisi, Diplopylidium nölleri, Diplopylidium acanthotetra, Hydatigera taeniaeformis, Taenia [...] Read more.
An examination of 360 feral cats originating from three major habitats in the Dubai Emirate between 2002 and 2024 revealed the presence of 14 helminths, as follows: Joyeuxiella pasqualei, Joyeuxiella gervaisi, Diplopylidium nölleri, Diplopylidium acanthotetra, Hydatigera taeniaeformis, Taenia hydatigena, Ancylostoma braziliense, Ancylostoma ceylanicum, Ollulanus tricuspis, Toxocara cati, Toxascaris leonina, Pterygodermatites cahirensis, Centrorhynchus aluconis and Macracanthorhynchus catulinus. During the same period, a total of 66 snakes (eight species) and 68 lizards (four species) from different locations in the Dubai Emirate were examined for parasites. The larval stages of the cestode genera Joyeuxiella and Diplopylidium, as well as cystacanths of Centrorhynchus sp. and Macracanthorhynchus sp. and the larval stages of two nematodes were detected. All of the snake species except sand boas, as well as two gecko species, harbored the larval stages of cestodes of the Dipylidiidae family. The high prevalence of Joyeuxiella and Diplopylidium in the cats that originated from the city center of Dubai, where the presence of reptiles can be excluded, suggests that certain arthropods might be involved in the life cycle of these cestodes as first intermediate hosts and that reptiles are paratenic hosts. Full article
Show Figures

Figure 1

31 pages, 16809 KB  
Article
Exploring Spatial Differences in Habitat Quality and Their Response to Urban Spatial Form, Using Shanghai as an Example
by Rongxiang Chen, Zhiyuan Chen, Mingjing Xie, Rongrong Shi, Xin Lin, Kaida Chen and Shunhe Chen
Forests 2025, 16(8), 1323; https://doi.org/10.3390/f16081323 - 14 Aug 2025
Viewed by 1020
Abstract
Rapid urbanisation has exacerbated habitat fragmentation and degradation, necessitating urgent improvements to urban habitat quality. However, most current studies lack an analysis of spatial differences in local ecological quality, particularly a systematic exploration of how different urban spatial characteristics drive such differences. Based [...] Read more.
Rapid urbanisation has exacerbated habitat fragmentation and degradation, necessitating urgent improvements to urban habitat quality. However, most current studies lack an analysis of spatial differences in local ecological quality, particularly a systematic exploration of how different urban spatial characteristics drive such differences. Based on this, we use Shanghai as an example, employing the InVEST model to assess habitat quality, and utilise CatBoost machine learning models and the SHAP model to reveal the specific spatial distribution characteristics of the habitat quality spatial differences from a morphological perspective, as well as its response to changes in urban spatial form factors. The results indicate that (1) urban habitat quality exhibits significant spatial differences, with quality differences persisting even within regions of the same habitat grade, demonstrating complex spatial characteristics; (2) density-related indicators such as building density and population density have a significant negative impact on the habitat quality spatial difference value, while configuration-related indicators such as the water ratio and Normalised Difference Vegetation Index have a significant positive effect, with Population Density contributing the most among all variables (20.74%); and (3) the variables exhibit significant nonlinearity and threshold effects. For example, when building density exceeds 0.05, the positive impact becomes a negative impact. The interactions between variables further reveal the multi-dimensional coupling mechanisms underlying habitat quality performance. This study contributes to a deeper understanding of the spatial differences of urban habitat quality, providing scientific support for urban ecological zoning management, the optimised allocation of green space resources, and differentiated spatial governance while offering methodological and decision-making references for the construction of high-quality ecological cities. Full article
(This article belongs to the Special Issue Forest and Urban Green Space Ecosystem Services and Management)
Show Figures

Figure 1

14 pages, 649 KB  
Article
Investigating the Moderating Effect of Attitudes Toward One’s Own Aging on the Association Between Body Mass Index and Executive Function in Older Adults
by Akihiko Iwahara, Taketoshi Hatta, Reiko Nakayama, Takashi Miyawaki, Seiji Sakate, Junko Hatta and Takeshi Hatta
Geriatrics 2025, 10(4), 105; https://doi.org/10.3390/geriatrics10040105 - 6 Aug 2025
Viewed by 967
Abstract
Background: This cross-sectional study examined the association between body mass index (BMI) and executive function (EF) in older adults, with a focus on the moderating role of attitudes toward own aging (ATOA). Method: A total of 431 community-dwelling elderly individuals from Yakumo Town [...] Read more.
Background: This cross-sectional study examined the association between body mass index (BMI) and executive function (EF) in older adults, with a focus on the moderating role of attitudes toward own aging (ATOA). Method: A total of 431 community-dwelling elderly individuals from Yakumo Town and Kyoto City, Japan, participated between 2023 and 2024. EF was assessed using the Digit Cancellation Test (D-CAT), and ATOA was measured via a validated subscale of the Philadelphia Geriatric Center Morale Scale. Results: Multiple linear regression analyses adjusted for demographic and health covariates revealed a significant interaction between BMI and ATOA in the younger-old cohort. Specifically, higher BMI was associated with lower executive function only in individuals with lower ATOA scores. No such association was observed in those with more positive views on aging. Conclusions: These results indicate that positive psychological constructs, particularly favorable self-perceptions of aging, may serve as protective factors against the detrimental cognitive consequences of increased body mass index in younger-old populations. Full article
Show Figures

Figure 1

24 pages, 2993 KB  
Article
Multi-Output Machine-Learning Prediction of Volatile Organic Compounds (VOCs): Learning from Co-Emitted VOCs
by Abdelrahman Eid, Shehdeh Jodeh, Ghadir Hanbali, Mohammad Hawawreh, Abdelkhaleq Chakir and Estelle Roth
Environments 2025, 12(7), 216; https://doi.org/10.3390/environments12070216 - 26 Jun 2025
Cited by 2 | Viewed by 1780
Abstract
Volatile Organic Compounds (VOCs) are important contributors to indoor and occupational air pollution, such as environments involving the extensive use of paints and solvents. The routine measurement of VOCs is often limited by resource constraints, creating a need for indirect estimation techniques. This [...] Read more.
Volatile Organic Compounds (VOCs) are important contributors to indoor and occupational air pollution, such as environments involving the extensive use of paints and solvents. The routine measurement of VOCs is often limited by resource constraints, creating a need for indirect estimation techniques. This work presents the need for a predictive framework that offers a practical, interpretable alternative to a full-spectrum chemical analysis and supports early exposure detection in resource-limited settings, contributing to environmental health monitoring and occupational risk assessment. This study explores the capability of machine learning to simultaneously predict the concentrations of five paint-related VOCs using other co-emitted VOCs along with demographic variables. Three models—Multi-Output Gaussian Process Regression (MOGP), CatBoost Multi-Output Regressor, and Multi-Output Neural Networks—were calibrated and each achieved a high predictive performance. Further, a feature importance analysis is conducted and showed that certain VOCs and some demographic variables consistently influenced the predictions across all models, pointing to common exposure determinants for individuals, regardless of their specific exposure setting. Additionally, a subgroup analysis identified the exposure disparities across demographic groups, supporting targeted risk mitigation efforts. Full article
Show Figures

Figure 1

Back to TopTop