Sign in to use this feature.

Years

Between: -

Subjects

remove_circle_outline
remove_circle_outline
remove_circle_outline
remove_circle_outline
remove_circle_outline
remove_circle_outline
remove_circle_outline
remove_circle_outline

Journals

Article Types

Countries / Regions

remove_circle_outline
remove_circle_outline
remove_circle_outline

Search Results (243)

Search Parameters:
Keywords = Charpy impact strength

Order results
Result details
Results per page
Select all
Export citation of selected articles as:
23 pages, 6909 KB  
Article
Experimental and Numerical Assessment of Fiber Orientation Effects in Biaxial Glass/Vinyl Ester Laminates
by Sultan Ullah, Arvydas Palevicius, Almontas Vilutis, Raul Fangueiro and Giedrius Janusas
Polymers 2026, 18(2), 265; https://doi.org/10.3390/polym18020265 - 19 Jan 2026
Abstract
This study analyzes the mechanical behavior of a quasi-isotropic biaxial glass fiber–vinyl ester composite in a multiaxial stress condition and the effect of the orientation of the fibers. A ply structure was created through the process of vacuum infusion using six layers of [...] Read more.
This study analyzes the mechanical behavior of a quasi-isotropic biaxial glass fiber–vinyl ester composite in a multiaxial stress condition and the effect of the orientation of the fibers. A ply structure was created through the process of vacuum infusion using six layers of biaxial fabric that were oriented to 15°. Tensile samples were isolated at 0, 15, 30, 45 and 90 degrees relative to the warp direction. It was found that strength and stiffness strongly depend on orientation, with maximum tensile strengths of 157.2 MPa at 90° and 125 MPa at 0°, and minimum tensile strengths 59.6 MPa at 15°, showing fiber and shear failures, respectively. MAT_124 underwent finite element analysis in LS-DYNA, and the results were excellent, with a difference of less than 1.5%. Three-point bending and Charpy impact tests indicated that flexural properties were lower at 15° and 90°, whereas off-axis orientations were generally better at impact energy absorption, although at 45°, binding sites were few and far between. The results have important implications for the design of laminates subjected to complicated loads. Full article
Show Figures

Figure 1

11 pages, 2119 KB  
Proceeding Paper
The Influence of Printing Parameters on the Impact Strength of FDM 3D-Printed Polylactic Acid
by Tsvetomir Gechev, Veselin Tsonev, Petar Ivanov, Ivan Kralov and Krasimir Nedelchev
Eng. Proc. 2026, 121(1), 14; https://doi.org/10.3390/engproc2025121014 - 13 Jan 2026
Viewed by 114
Abstract
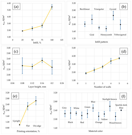
The paper investigates experimentally the influence of infill density, infill pattern, layer height, wall number, printing orientation, and material color on the impact strength of 3D-printed PLA (polylactic acid) samples by using the Charpy test method. The used printing method is FDM (Fused [...] Read more.
The paper investigates experimentally the influence of infill density, infill pattern, layer height, wall number, printing orientation, and material color on the impact strength of 3D-printed PLA (polylactic acid) samples by using the Charpy test method. The used printing method is FDM (Fused Deposition Modeling) performed on a desktop printer. For each parameter changed in the study, five separate unnotched specimens were produced and tested, and the average impact strength value was taken into account. The filament rolls went through a drying process before printing and were then stored in a low-humidity environment filled with desiccant in order to minimize the effect of absorbed humidity in the filament during the experiments. The conditioning and testing of samples were performed according to the EN ISO 179-1 standard. Dimensional accuracy, print times, and filament consumption were also estimated in the study. The results revealed that the infill density, infill pattern, and wall number have a larger influence on the impact energy absorbed by the samples in comparison to the layer height, printing orientation, and the PLA filament color. The best optimization of the studied mechanical property was obtained by increasing the infill percentage and the number of walls. Applying different PLA colors has a slight effect on the impact strength, yet it should be taken into consideration when designing 3D-printed products that are intended to withstand impact. Moreover, it was found out that the studied parameters have an insignificant effect on the dimensional accuracy of the produced samples. Full article
Show Figures

Figure 1

16 pages, 3036 KB  
Article
Exploring Additive Manufacturing for Sports Mouthguards: A Pilot Study
by Diogo Gomes, Manuel Sampaio-Fernandes, Margarida Sampaio-Fernandes, Mário Augusto Pires Vaz, Bruno Areias, Maria Helena Figueiral and Susana João Oliveira
Appl. Sci. 2026, 16(2), 752; https://doi.org/10.3390/app16020752 - 11 Jan 2026
Viewed by 136
Abstract
Sports mouthguards play a crucial role in preventing orofacial injuries. Vacuum thermoforming with ethylene-vinyl acetate is the most common fabrication method; however, digital workflows and 3D printing have introduced promising alternatives. This in vitro study aimed to compare mouthguards produced by vacuum thermoforming [...] Read more.
Sports mouthguards play a crucial role in preventing orofacial injuries. Vacuum thermoforming with ethylene-vinyl acetate is the most common fabrication method; however, digital workflows and 3D printing have introduced promising alternatives. This in vitro study aimed to compare mouthguards produced by vacuum thermoforming and 3D printing in terms of precision, trueness and impact resistance. A maxillary plaster model was used to fabricate two groups: thermoformed mouthguards (GTherm, n = 3; Playsafe Triple Light, Erkodent™) and 3D-printed mouthguards (GPrint, n = 3; high-impact polystyrene via fused deposition modeling). The internal surfaces were scanned with a Medit T500, and precision and trueness were assessed by superimposing STL files using Geomagic software. Ten specimens of each material underwent Charpy impact testing. Data were analyzed with GraphPad Prism. The GPrint group exhibited higher precision (median RMS = 57.8 µm) than GTherm (median RMS = 812 µm), although the difference was not statistically significant (p = 0.10). Trueness in GPrint was within acceptable limits (median RMS = 118 µm). In the Charpy test, impact strength was significantly higher in thermoformable-based specimens than in printed ones (mean 17.33 ± 1.96 vs. 14.33 ± 0.65 kJ/m2, respectively). Within the study’s limitations, 3D-printed HIPS mouthguards showed superior precision and acceptable trueness, whereas thermoformed mouthguards demonstrated significantly greater impact resistance. Full article
Show Figures

Figure 1

25 pages, 9154 KB  
Article
Optimization of Silicon Nitride Nanopowder Content in Polyamide 12 (PA12) in Extrusion-Based Additive Manufacturing
by Markos Petousis, Apostolos Korlos, Nikolaos Michailidis, Vassilis M. Papadakis, Apostolos Argyros, Nikolaos Mountakis, Maria Spyridaki, Athena Maniadi, Amalia Moutsopoulou and Nectarios Vidakis
Nanomaterials 2026, 16(1), 47; https://doi.org/10.3390/nano16010047 - 29 Dec 2025
Viewed by 410
Abstract
The use of polyamide-12 (PA12) thermoplastics in additive manufacturing (AM) is promising owing to their mechanical properties and printability. However, in load-bearing applications, improvements in mechanical strength and stiffness are sought after. Herein, the reinforcement efficiency of silicon nitride (Si3N4 [...] Read more.
The use of polyamide-12 (PA12) thermoplastics in additive manufacturing (AM) is promising owing to their mechanical properties and printability. However, in load-bearing applications, improvements in mechanical strength and stiffness are sought after. Herein, the reinforcement efficiency of silicon nitride (Si3N4) nanoparticles in the PA12 matrix was explored. The filler loading varied between 2.0 wt. % and 10.0 wt. %. The nanocomposites were extruded into filament using melt compounding for subsequent material extrusion (MEX) 3D printing. PA12/Si3N4 nanocomposites were examined for their thermal, rheological, morphological, and structural characteristics. For mechanical characterization, flexural, tensile, microhardness, and Charpy impact data were obtained. For structural examination, porosity and dimensional deviation were assessed. Scanning electron microscopy (SEM) was used to investigate morphology and chemical composition. The results indicate that Si3N4 nanopowder significantly improved all mechanical properties, with a greater than 20% increase in tensile strength and elastic modulus when compared to neat PA12. The structural characteristics were also improved. These findings indicate that Si3N4 nanoparticles provide a viable reinforcement filler for PA12 for use in lightweight, robust structural components fabricated using MEX AM. Furthermore, it can be stated that ceramic–polymer nanocomposites further improve the applicability of PA12, where high mechanical performance is required. Full article
(This article belongs to the Section Nanofabrication and Nanomanufacturing)
Show Figures

Graphical abstract

18 pages, 8050 KB  
Article
Cracking Failure Analysis of Drill Pipe Joint with Hardbanding
by Jinlan Zhao, Dejun Li, Feng Cao and Li Wang
Coatings 2026, 16(1), 25; https://doi.org/10.3390/coatings16010025 - 25 Dec 2025
Viewed by 349
Abstract
A batch of drill pipe joints in a well cracked and failed due to hardbanding. In this study, various experiments were conducted to analyze the reasons for cracking failure, including data verification, macroscopic morphology analysis, mechanical properties, microstructure analysis, and micro-Vickers hardness of [...] Read more.
A batch of drill pipe joints in a well cracked and failed due to hardbanding. In this study, various experiments were conducted to analyze the reasons for cracking failure, including data verification, macroscopic morphology analysis, mechanical properties, microstructure analysis, and micro-Vickers hardness of cracked areas, as well as macroscopic, metallographic, and energy spectrum analysis of the fracture surface after opening the cracked area. The results indicated that (1) the chemical composition, tensile strength, Charpy impact test, and Brinell hardness results of the joint met the requirements of the order technical conditions. (2) The hardbanding in the cracked area had multiple pores and cracks on its outer surface and inside. The maximum diameter of the internal porosity was about 3.4 mm, and the length of the internal crack was about 1 mm. (3) The main reason for the cracking of a batch of drill pipe joints due to hardbanding is a quality problem of the secondary repair welding of the hardbanding. The cracks in the failed drill pipe originated from the porosity and cracks in the hardbanding of the drill pipe box joint. Under the influence of alternating stress and high-pressure mud erosion underground, the cracks rapidly extended to the inner wall, and the porosity in the hardbanding accelerated crack propagation, ultimately causing the drill pipe to crack and fail. Full article
Show Figures

Figure 1

16 pages, 4428 KB  
Article
Strength and Impact Toughness of Multilayered 7075/1060 Aluminum Alloy Composite Laminates Prepared by Hot Rolling and Subsequent Heat Treatment
by Hui Zhang, Shida Liu, Siqi He, Qunjiao Wang, Fuguan Cong, Yunlong Zhang and Yu Cao
Materials 2026, 19(1), 62; https://doi.org/10.3390/ma19010062 - 23 Dec 2025
Viewed by 376
Abstract
The roll bonding of 7075/1060 composite laminates offers a promising approach toward the increase in toughness of aluminum layered composites. In this paper, 7075 and 1060 aluminum alloy plates were hot roll bonded to fabricate multilayered composite laminates. Solid solution at 470 °C [...] Read more.
The roll bonding of 7075/1060 composite laminates offers a promising approach toward the increase in toughness of aluminum layered composites. In this paper, 7075 and 1060 aluminum alloy plates were hot roll bonded to fabricate multilayered composite laminates. Solid solution at 470 °C for different holding times and subsequent aging were carried out for all the laminates. This study investigated the effect of holding times on the interfacial microstructure and interfacial bonding strength of the laminates. The interfacial shear strength was found to increase with longer holding times, which was attributed to the solid solution strengthening of the 1060 layer resulting from element diffusion. The findings also reveal that both tensile strength and toughness are positively correlated with the holding time of the solid solution, and there is a simultaneous improvement of tensile strength and toughness as the holding time increases. Microstructural characterization of the crack path profile of the Charpy impact and bending test indicates that interfacial delamination and main crack deflection become pronounced with the increase in holding time, and these lead to an increase in the fracture resistance in the crack-arrester orientation. Full article
Show Figures

Graphical abstract

24 pages, 9478 KB  
Article
Relationship Between Hardness and Impact Strength of Epoxy–Glass Composites Modified with Carbonisate from MDF Pyrolysis
by Agata Wieczorska and Sebastian Drewing
Materials 2026, 19(1), 42; https://doi.org/10.3390/ma19010042 - 22 Dec 2025
Viewed by 398
Abstract
The study analysed epoxy–glass laminates containing carbonisate produced during medium-density fibreboard (MDF) waste pyrolysis were evaluated with respect to their hardness and their ability to withstand impact loads. All composite samples were prepared manually using a hand-laying method, using two resin–reinforcement ratios (60/40 [...] Read more.
The study analysed epoxy–glass laminates containing carbonisate produced during medium-density fibreboard (MDF) waste pyrolysis were evaluated with respect to their hardness and their ability to withstand impact loads. All composite samples were prepared manually using a hand-laying method, using two resin–reinforcement ratios (60/40 and 65/35) and carbonisate additives in amounts of 5% and 7.5% by weight (with particle sizes < 500 µm). The mechanical properties were assessed on the basis of hardness tests using the Barcol method and impact tests using the Charpy method. To analyse the results, a normality assessment (Shapiro–Wilk) was performed, followed by a non-parametric analysis of variance based on ranks (Kruskal–Wallis). It was found that an increase in carbonisate content increases the surface hardness of composites while reducing their impact resistance, which confirms the existence of a typical trade-off between stiffness and energy absorption capacity. The most favourable mechanical properties were obtained for a composite containing 7.5% carbonisate material and a resin–reinforcement ratio of 60/40, which was characterised by the highest hardness (35.19 HBa), a moderate impact strength (43.56 kJ/m2) and the lowest variability of results. The statistical analysis confirmed significant differences between the tested samples and a quantitative relationship between hardness and impact strength. The results of the study indicate that carbonisate (MDF) using waste material as a filler provides a sustainable means of improving the stiffness and consistency of epoxy–glass composites, with only a negligible effect on their ability to resist fracture. Full article
(This article belongs to the Section Advanced Composites)
Show Figures

Figure 1

25 pages, 5342 KB  
Article
Evaluation of Jute–Glass Ratio Effects on the Mechanical, Thermal, and Morphological Properties of PP Hybrid Composites for Sustainable Automotive Applications
by Tunahan Özyer and Emre Demirci
Polymers 2025, 17(24), 3335; https://doi.org/10.3390/polym17243335 - 17 Dec 2025
Viewed by 451
Abstract
This study investigates polypropylene (PP)–based biocomposites reinforced with systematically varied jute and glass fiber ratios as sustainable, lightweight alternatives for semi-structural automotive parts. Four formulations (J20/G0, J15/G5, J10/G10, J5/G15) with a constant 20 wt% total fiber were produced by injection molding and characterized [...] Read more.
This study investigates polypropylene (PP)–based biocomposites reinforced with systematically varied jute and glass fiber ratios as sustainable, lightweight alternatives for semi-structural automotive parts. Four formulations (J20/G0, J15/G5, J10/G10, J5/G15) with a constant 20 wt% total fiber were produced by injection molding and characterized through mechanical, thermal, and morphological analyses. Tensile, flexural, and Charpy impact tests showed progressive improvements in strength, stiffness, and energy absorption with increasing glass fiber content, while ductility was maintained or slightly enhanced. SEM revealed a transition from fiber pull-out in jute-rich systems to fiber rupture and stronger matrix adhesion in glass-rich hybrids. Thermal analyses confirmed the benefits of hybridization: heat deflection temperature increased from 75 °C (J20/G0) to 103 °C (J5/G15), and thermogravimetry indicated improved stability and higher char residue. DSC showed negligible changes in crystallization and melting, confirming that fiber partitioning does not significantly affect PP crystallinity. Benchmarking demonstrated mechanical and thermal performance comparable to acrylonitrile–butadiene–styrene (ABS) and acrylonitrile–styrene–acrylate (ASA), widely used in automotive components. Finally, successful molding of a prototype exterior mirror cap from J20/G0 validated industrial processability. These findings highlight jute–glass hybrid PP composites as promising, sustainable alternatives to conventional engineering plastics for automotive engineering applications. Full article
(This article belongs to the Special Issue Advances in Composite Materials: Polymers and Fibers Inclusion)
Show Figures

Figure 1

20 pages, 3454 KB  
Article
The Use of Sheep Wool Collected from Sheep Bred in the Kyrgyz Republic as a Component of Biodegradable Composite Material
by Piotr Szatkowski, Jakub Barwinek, Alykeev Ishenbek Zhakypbekovich, Julita Szczecina, Marcin Niemiec, Kinga Pielichowska and Edyta Molik
Appl. Sci. 2025, 15(24), 13054; https://doi.org/10.3390/app152413054 - 11 Dec 2025
Viewed by 293
Abstract
Biocomposites based on natural fibres represent a promising solution for the circular economy. The aim of this study was to develop and characterise a biodegradable composite based on sheep wool from herds raised in the Kyrgyz Republic and polylactide (PLA 4032D). Composite samples [...] Read more.
Biocomposites based on natural fibres represent a promising solution for the circular economy. The aim of this study was to develop and characterise a biodegradable composite based on sheep wool from herds raised in the Kyrgyz Republic and polylactide (PLA 4032D). Composite samples with a wool–PLA ratio of 50:50 were fabricated by thermoforming at a temperature of 168 °C for 30 s (n = 10). Mechanical properties tests were performed (PN-EN ISO 604—compression tests), for impact resistance (Charpy method), differential scanning calorimetry (DSC), and measurements of density and thermal conductivity. Biodegradation samples were subjected to enriched soil conditions for 6 weeks in two variants (with and without irrigation). The results showed that the addition of sheep wool to the PLA matrix significantly increased compressive strength (23.56 ± 5.23 MPa) and impact energy absorption (226.2 ± 23.8 kJ/m2) compared to neat PLA. After biodegradation, a 59% reduction in compressive strength was observed while maintaining an increase in fracture energy, suggesting a change in the failure mechanism. The density (0.27 ± 0.02 g/cm3) and the thermal conductivity (0.127 W/m·K) comparable to polymer foams indicate potential for thermal insulation applications. Microscopy and DSC analysis confirmed complete biodegradation under soil conditions. The developed biocomposite from Kyrgyz sheep wool demonstrates the potential for valorisation of local fibrous waste for biodegradable materials with functional insulation properties. Full article
(This article belongs to the Special Issue Design, Characterization, and Applications of Biodegradable Polymers)
Show Figures

Figure 1

20 pages, 4254 KB  
Article
Increasing Cathode Potential of Homogeneous Low Voltage Electron Beam Irradiation (HLEBI) to Increase Impact Strength of Carbon Fiber Reinforced Polycarbonate and Characterization by XPS C1s and O1s Peaks
by Fumiya Sato, Kouhei Sagawa, Helmut Takahiro Uchida, Hirotaka Irie, Michael C. Faudree, Michelle Salvia, Akira Tonegawa, Satoru Kaneko, Hideki Kimura and Yoshitake Nishi
Materials 2025, 18(23), 5471; https://doi.org/10.3390/ma18235471 - 4 Dec 2025
Viewed by 358
Abstract
In an interlayered carbon fiber reinforced polycarbonate (CFRPC) composite constructed of nine CF plies alternating between ten PC sheets, designated [PC]10[CF]9, applying homogeneous low voltage electron beam irradiation (HLEBI) at 200 kV cathode potential, with Vc setting at [...] Read more.
In an interlayered carbon fiber reinforced polycarbonate (CFRPC) composite constructed of nine CF plies alternating between ten PC sheets, designated [PC]10[CF]9, applying homogeneous low voltage electron beam irradiation (HLEBI) at 200 kV cathode potential, with Vc setting at a 43.2 kGy dose, to both finished sample surfaces resulted in a 47% increase in Charpy impact strength and auc at median fracture probability (Pf) of 0.50 over that of untreated, from 118 kJm−2 to 173 kJm−2. Increasingly higher Vc settings of 150, 175, and 200 kV successively increased auc at median-Pf of 0.50 to 128, 155, and 173 kJm−2, respectively. Strengthening is attributed to increasing the HLEBI penetration depth, Dth, into the sample thickness. Since the [PC]10[CF]9 has an inhomogeneous structure, Dth is calculated for each ply successively into the thickness. Scanning electron microscopy (SEM) photos showed a hierarchy of fracture mechanisms from poor PC/CF adhesion in untreated; to sporadic PC adhesion with aggregated CF at 150 kV; to high consolidation of CFs by PC at 200 kV. X-ray photoelectron spectroscopy (XPS) examination of the CF surface in the fracture area showed C1s carbonate O–(C=O)–O and ester O–(C=O)–R peak generation at 289 to 292 eV to be non-existent in untreated; well-defined at 150 kV; and increased in intensity at 200 kV, after which a reduction was observed at 225 kV. Moreover, the 200 kV yielded the largest area sp3 peak at 49.5%, signifying an increase in graphitic edge planes in the CF, apparently as dangling bonds, for increased adhesion sites to PC. For O1s scan, 200 kV yielded the largest area O–(C=O)–O peak at 34%, indicating maximum PC adhesion to CF. At the higher 225 kV, increase in auc at Pf of 0.50 was less, to 149 kJm−2, and XPS indicated a lower amount of O–(C=O)–O groups, apparently by excess bond severing by the higher Vc setting. Full article
Show Figures

Figure 1

25 pages, 4000 KB  
Article
Printability Metrics and Strain Rate Sensitivity of Multirole PVDF in Extrusion-Based Additive Manufacturing
by Nectarios Vidakis, Nektarios K. Nasikas, Nikolaos Michailidis, Maria Spyridaki, Nikolaos Mountakis, Apostolos Argyros, Vassilis M. Papadakis, Amalia Moutsopoulou and Markos Petousis
Polymers 2025, 17(22), 3085; https://doi.org/10.3390/polym17223085 - 20 Nov 2025
Cited by 1 | Viewed by 576
Abstract
Recently, significant attention has been paid to the use of multirole materials in additive manufacturing (AM). Polyvinylidene fluoride (PVDF) is an ideal candidate material that has been selected for examination because of its unique characteristics. This study establishes a correlation between the macroscopic [...] Read more.
Recently, significant attention has been paid to the use of multirole materials in additive manufacturing (AM). Polyvinylidene fluoride (PVDF) is an ideal candidate material that has been selected for examination because of its unique characteristics. This study establishes a correlation between the macroscopic mechanical behavior and microscopic structural mechanisms, enabling the utilization of the deformation rate in tailoring the mechanical response of printed PVDF components. This research focuses on testing AM PVDF samples under different strain rates (10–300 mm/min), aiming to report their behavior under loading conditions compatible with the stochastic nature of real-life applications. The thermal (thermogravimetric analysis and differential scanning calorimetry) and rheological (viscosity and melt flow rate) properties were investigated along with their morphological characteristics (scanning electron microscopy). The response under combined dynamic and thermal loading was investigated through dynamic mechanical analysis, and the structural characteristics were investigated using spectroscopic techniques (Raman and energy-dispersive spectroscopy). The properties examined were the ultimate and yield strengths, modulus of elasticity, and toughness. Sensitivity index data are also provided. For completeness, the flexural strength, Charpy impact strength, and Vickers hardness were also evaluated, suggesting that the AM PVDF samples exhibit a resilient nature even when subjected to extremes regarding their strain rate versus their overall mechanical characteristics. PVDF exhibited a strain-hardening response with an increase in its strength of up to ~25% (300 mm/min) and a stiffness of ~15% (100 mm/min) as the loading speed of testing increased. Full article
(This article belongs to the Section Polymer Processing and Engineering)
Show Figures

Graphical abstract

20 pages, 5540 KB  
Article
Processing Stability of Carbon Nanofiber-Reinforced Glass Fiber/Polypropylene Composites Under Repeated Extrusion for Mechanical Recycling
by Tetsuo Takayama, Daisuke Shimizu and Shunsuke Kobayashi
Materials 2025, 18(20), 4777; https://doi.org/10.3390/ma18204777 - 19 Oct 2025
Viewed by 770
Abstract
Glass fiber-reinforced polypropylene (PP/GF) is used widely in lightweight automotive applications, but it is affected adversely by fiber breakage and matrix degradation during recycling. This study investigates the effects of carbon nanofiber (CBNF) addition on the recyclability of PP/GF composites subjected to repeated [...] Read more.
Glass fiber-reinforced polypropylene (PP/GF) is used widely in lightweight automotive applications, but it is affected adversely by fiber breakage and matrix degradation during recycling. This study investigates the effects of carbon nanofiber (CBNF) addition on the recyclability of PP/GF composites subjected to repeated extrusion. Homo-type PP was compounded with GF and CBNFs and was processed for up to nine extrusion cycles. Melt viscosity, fiber morphology, flexural properties, interfacial shear strength, and notched Charpy impact strength were evaluated. Neat PP showed a pronounced increase in the melt volume-flow rate (MVR) with cumulative cycles, indicating molecular degradation. By contrast, CBNF-containing composites exhibited superior viscosity stability, with MVR increasing only 2.9-fold after nine cycles compared with 5.4-fold for GF-only systems. Fiber length was well maintained (96–98% retention). The flexural strength and modulus were preserved, respectively, as greater than 92% and 95%. The interfacial shear strength remained stable, whereas the impact strength decreased moderately but retained 84% of its initial value. These results underscore that a slight addition of CBNFs (5 wt%) suppresses viscosity loss effectively and stabilizes mechanical performance, offering a viable strategy for sustainable recycling of PP/GF composites in transportation applications. Full article
(This article belongs to the Section Polymeric Materials)
Show Figures

Figure 1

18 pages, 3056 KB  
Article
Impact of Autoclaving on the Material Properties of Vat-Photopolymerization-Produced Components Intended for Bioprocess Engineering
by Lauri Hoffmann, Bruno Gallace, Clara Herr, Kai Scherer, Adrian Huwer, Percy Kampeis, Roland Ulber and Michael Wahl
Materials 2025, 18(20), 4720; https://doi.org/10.3390/ma18204720 - 15 Oct 2025
Viewed by 592
Abstract
Due to a lack of investigated materials for the additive manufacturing of multi-use functional parts in bioprocess engineering, this study aimed to evaluate the influence of multiple autoclaving cycles on the properties of a heat-resistant material (xPeek147) printed with vat photopolymerization. Sample bodies [...] Read more.
Due to a lack of investigated materials for the additive manufacturing of multi-use functional parts in bioprocess engineering, this study aimed to evaluate the influence of multiple autoclaving cycles on the properties of a heat-resistant material (xPeek147) printed with vat photopolymerization. Sample bodies were tested regarding their mechanical properties of tensile strength, elongation at break, and Charpy impact, as well as surface properties of roughness and wettability after up to 50 autoclaving cycles (121 °C, 2 bars, 15 min). The tightness was checked after up to 20 cycles, and accuracy was inspected for manufactured benchmark bodies after up to 10 autoclaving cycles. The reported results showed no significant changes in tensile strength, elongation at break and Charpy impact after 20 cycles, but a significant decrease after 50 autoclaving cycles, accompanied by microcracks in the structure. Regarding the surface properties the material retained its hydrophilicity, and the surface roughness was not affected significantly. No changes in tightness occurred, and the benchmark bodies for dimensional changes showed no process-relevant deviations. Through the investigations, a material for the additive manufacturing of multi-use functional parts for bioprocess engineering was identified. Additionally, a testing method for materials with the same intended application was provided. Full article
(This article belongs to the Special Issue Advanced Additive Manufacturing and Its Application—2nd Edition)
Show Figures

Figure 1

20 pages, 19644 KB  
Article
Preliminary Study on the Heat Treatment Optimization of ZnAl15Cu1Mg (ZEP1510) for Enhanced Mechanical Performance
by Marie Zöller, Abdulkerim Karaman, Melanie Frieling and Michael Marré
Processes 2025, 13(10), 3138; https://doi.org/10.3390/pr13103138 - 30 Sep 2025
Viewed by 611
Abstract
This preliminary study investigates the optimization of the mechanical properties of the zinc wrought alloy ZEP1510 with the objective of assessing its potential to approach the hardness, strength, and toughness of the brass alloy, CuZn21Si3P. Enhancing both toughness and hardness was targeted to [...] Read more.
This preliminary study investigates the optimization of the mechanical properties of the zinc wrought alloy ZEP1510 with the objective of assessing its potential to approach the hardness, strength, and toughness of the brass alloy, CuZn21Si3P. Enhancing both toughness and hardness was targeted to improve the durability of potential replacement components. Heat treatment was the primary method, applying annealing, air cooling, water quenching, and artificial aging to modify material properties. Mechanical characterization was performed through Brinell hardness, as well as tensile and Charpy impact testing, complemented by metallographic analysis. Air cooling from temperatures near the transformation point at 275 °C produced a visually refined and homogeneous microstructure (qualitative assessment by OM/SEM), resulting in simultaneous increases in hardness and toughness. Water quenching from this range yielded a metastable state with high toughness but low hardness, while subsequent natural aging significantly increased strength and reduced toughness. Artificial aging indicated precipitation hardening behavior similar to that of aluminum alloys. Although property improvements were achieved, the targeted combination of high toughness and high strength was not fully realized. The findings suggest that controlled artificial aging, alternative quenching media and grain refinement strategies could further enhance performance, providing a basis for tailoring ZEP1510 for demanding engineering applications. Full article
(This article belongs to the Section Chemical Processes and Systems)
Show Figures

Figure 1

41 pages, 8109 KB  
Article
Mechanical Properties of Raffia Fiber Fabric (Raphia vinifera)-Reinforced Epoxy Matrix Composites
by Douglas Santos Silva, Leticia dos Santos Aguilera, Raí Felipe Pereira Junio, Sergio Neves Monteiro and Marcelo Henrique Prado da Silva
J. Compos. Sci. 2025, 9(9), 504; https://doi.org/10.3390/jcs9090504 - 18 Sep 2025
Cited by 2 | Viewed by 1121
Abstract
The demand for lightweight materials with high mechanical performance has driven the development of polymer matrix composites reinforced with natural lignocellulosic fibers (NLFs). This study evaluates epoxy composites reinforced with raffia fabric (Raphia vinifera) at volumetric contents of 10% (ER10), 20% [...] Read more.
The demand for lightweight materials with high mechanical performance has driven the development of polymer matrix composites reinforced with natural lignocellulosic fibers (NLFs). This study evaluates epoxy composites reinforced with raffia fabric (Raphia vinifera) at volumetric contents of 10% (ER10), 20% (ER20), and 30% (ER30). Mechanical characterization included tensile, flexural, and Charpy impact tests. Tensile results showed that ER10 and ER30 reached similar strengths (29.96 ± 3.77 MPa and 29.84 ± 4.00 MPa), while ER20 had lower values (23.54 ± 7.94 MPa). However, ER30 exhibited a significantly higher tensile force (2024.54 ± 136.75 N). ER10 displayed the highest tensile modulus (5.64 ± 2.31 GPa), indicating greater stiffness. Flexural tests revealed that ER10 achieved the best flexural strength (36.28 ± 8.87 MPa) and modulus (3.10 ± 0.96 GPa), while ER20 reached the highest maximum force (28.88 ± 10.40 N). Impact tests demonstrated improved energy absorption with increasing fiber content: ER10 (2.08 ± 0.22 J), ER20 (3.57 ± 0.36 J), and ER30 absorbed the full impact energy (5.387 J) without failure. Morphological analysis identified fiber pull-out and delamination as key failure mechanisms. The results demonstrate the viability of raffia fabric as a sustainable reinforcement for epoxy composites with enhanced impact resistance. Full article
Show Figures

Figure 1

Back to TopTop