Sign in to use this feature.

Years

Between: -

Subjects

remove_circle_outline
remove_circle_outline
remove_circle_outline
remove_circle_outline
remove_circle_outline
remove_circle_outline
remove_circle_outline
remove_circle_outline
remove_circle_outline

Journals

Article Types

Countries / Regions

remove_circle_outline
remove_circle_outline
remove_circle_outline
remove_circle_outline

Search Results (233)

Search Parameters:
Keywords = Carbon Capture, Utilization, and Storage (CCUS)

Order results
Result details
Results per page
Select all
Export citation of selected articles as:
13 pages, 925 KB  
Article
Analysis of Exergy Flow and CCUS Carbon Reduction Potential in Coal Gasification Hydrogen Production Technology in China
by Lixing Zheng, Xuhui Jiang, Song Wang, Jiajun He, Yuhao Wang, Linbin Hu, Kaiji Xie and Peng Wang
Energies 2025, 18(22), 5906; https://doi.org/10.3390/en18225906 - 10 Nov 2025
Viewed by 251
Abstract
Coal constitutes China’s most significant resource endowment at present. Utilizing coal resources for hydrogen production represents an early-stage pathway for China’s hydrogen production industry. The analysis of energy quality and carbon emissions in coal gasification-based hydrogen production holds practical significance. This paper integrates [...] Read more.
Coal constitutes China’s most significant resource endowment at present. Utilizing coal resources for hydrogen production represents an early-stage pathway for China’s hydrogen production industry. The analysis of energy quality and carbon emissions in coal gasification-based hydrogen production holds practical significance. This paper integrates the exergy analysis methodology into the traditional LCA framework to evaluate the exergy and carbon emission scales of coal gasification-based hydrogen production in China, considering the technical conditions of CCUS. This paper found that the life cycle exergic efficiency of the whole chain of gasification-based hydrogen production in China is accounted to be 38.8%. By analyzing the causes of exergic loss and energy varieties, it was found that the temperature difference between the reaction of coal gasification and CO conversion unit and the pressure difference due to the compressor driven by the electricity consumption of the compression process in the variable pressure adsorption unit are the main causes of exergic loss. Corresponding countermeasures were suggested. Regarding decarbonization strategies, the CCUS process can reduce CO2 emissions across the life cycle of coal gasification-based hydrogen production by 48%. This study provides an academic basis for medium-to-long-term forecasting and roadmap design of China’s hydrogen production structure. Full article
(This article belongs to the Topic Advances in Hydrogen Energy)
Show Figures

Figure 1

45 pages, 2852 KB  
Review
The Role of Carbon Capture, Utilization, and Storage (CCUS) Technologies and Artificial Intelligence (AI) in Achieving Net-Zero Carbon Footprint: Advances, Implementation Challenges, and Future Perspectives
by Ife Fortunate Elegbeleye, Olusegun Aanuoluwapo Oguntona and Femi Abiodun Elegbeleye
Technologies 2025, 13(11), 509; https://doi.org/10.3390/technologies13110509 - 8 Nov 2025
Viewed by 573
Abstract
Carbon dioxide (CO2), the primary anthropogenic greenhouse gas, drives significant and potentially irreversible impacts on ecosystems, biodiversity, and human health. Achieving the Paris Agreement target of limiting global warming to well below 2 °C, ideally 1.5 °C, requires rapid and substantial [...] Read more.
Carbon dioxide (CO2), the primary anthropogenic greenhouse gas, drives significant and potentially irreversible impacts on ecosystems, biodiversity, and human health. Achieving the Paris Agreement target of limiting global warming to well below 2 °C, ideally 1.5 °C, requires rapid and substantial global emission reductions. While recent decades have seen advances in clean energy technologies, carbon capture, utilization, and storage (CCUS) remain essential for deep decarbonization. Despite proven technical readiness, large-scale carbon capture and storage (CCS) deployment has lagged initial targets. This review evaluates CCS technologies and their contributions to net-zero objectives, with emphasis on sector-specific applications. We found that, in the iron and steel industry, post-combustion CCS and oxy-combustion demonstrate potential to achieve the highest CO2 capture efficiencies, whereas cement decarbonization is best supported by oxy-fuel combustion, calcium looping, and emerging direct capture methods. For petrochemical and refining operations, oxy-combustion, post-combustion, and chemical looping offer effective process integration and energy efficiency gains. Direct air capture (DAC) stands out for its siting flexibility, low land-use conflict, and ability to remove atmospheric CO2, but it’s hindered by high costs (~$100–1000/t CO2). Conversely, post-combustion capture is more cost-effective (~$47–76/t CO2) and compatible with existing infrastructure. CCUS could deliver ~8% of required emission reductions for net-zero by 2050, equivalent to ~6 Gt CO2 annually. Scaling deployment will require overcoming challenges through material innovations aided by artificial intelligence (AI) and machine learning, improving capture efficiency, integrating CCS with renewable hybrid systems, and establishing strong, coordinated policy frameworks. Full article
(This article belongs to the Section Environmental Technology)
Show Figures

Figure 1

77 pages, 3899 KB  
Article
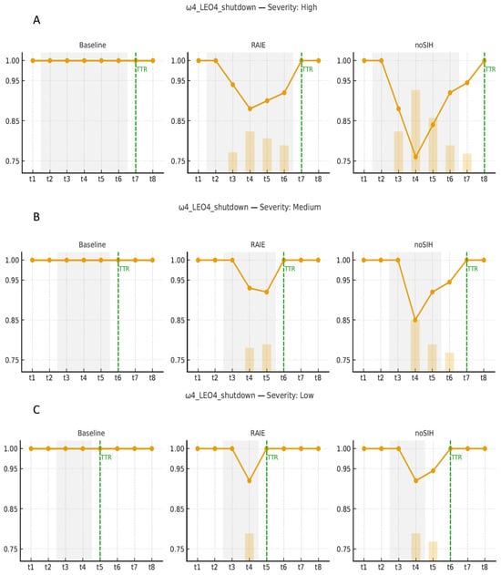
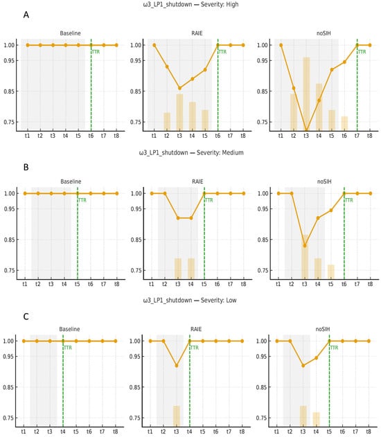
An Immune-Structural Adaptive Response for Viability of Carbon Capture, Use, and Storage Supply Chains
by Andrés Polo, Daniel Morillo-Torres and John Willmer Escobar
Sustainability 2025, 17(21), 9838; https://doi.org/10.3390/su17219838 - 4 Nov 2025
Viewed by 227
Abstract
The viability of supply chains is a central challenge in environments marked by frequent disruptions, extreme uncertainty, and rising sustainability requirements. While literature has advanced in integrating resilience and sustainability, predominant methods—mainly robust or stochastic optimization—focus on predefined scenarios and offer only a [...] Read more.
The viability of supply chains is a central challenge in environments marked by frequent disruptions, extreme uncertainty, and rising sustainability requirements. While literature has advanced in integrating resilience and sustainability, predominant methods—mainly robust or stochastic optimization—focus on predefined scenarios and offer only a partial view of adaptive capacity. This emphasis on known–unknowns leaves unresolved how to ensure continuity, efficient recovery, and organizational learning under unexpected or unknown–unknown events. A methodological gap therefore persists in evaluating and designing supply chains that not only withstand disruptions but also retain essential goals, autonomously activate responses, and reorganize with acceptable costs and times. This study introduces the Immune-Structural Adaptive Response (RAIE) methodology, inspired by the human immune system. RAIE provides an evaluation framework combining properties such as early detection, minimal redundancy, adaptive memory, and structural reconfiguration, operationalized through dynamic metrics: goal retention, autonomous activation, adaptation cost, recovery time, and service loss. Applied to Carbon Capture, Utilization, and Storage (CCUS) supply chains, RAIE reduced service-loss area (Rₐᵣₑₐ) by 40–65% and recovery time (TTR) by 30–45%, while keeping adaptation costs below 2% of total expenditures. Unlike traditional stochastic or robust models, RAIE explicitly embeds endogenous responses and post-shock reorganization, producing more viable configurations that balance efficiency and resilience. The results deliver actionable guidance for strategic and tactical decision-making in highly uncertain environments. Full article
Show Figures

Figure 1

19 pages, 4085 KB  
Article
Enhancing In Situ Carbonation of Fresh Paste via Cal-Al Layered Double Oxide and Mixing Parameter Optimization
by Lin Chi, Xulu Wang, Xuhui Liang, Vahiddin Alperen Baki, Jiacheng Zhang, Qiong Liu, Bin Peng, Shuang Lu, Songmao Yang and Min You
Materials 2025, 18(21), 4943; https://doi.org/10.3390/ma18214943 - 29 Oct 2025
Viewed by 241
Abstract
CO2 mixing is one of the implementation techniques of carbon capture utilization and storage (CCUS) in concrete to tailor the performance of cementitious materials and reduce the carbon footprint. Therefore, increasing the total amount of carbon capture capacity of cement-based materials has [...] Read more.
CO2 mixing is one of the implementation techniques of carbon capture utilization and storage (CCUS) in concrete to tailor the performance of cementitious materials and reduce the carbon footprint. Therefore, increasing the total amount of carbon capture capacity of cement-based materials has become the key point of recent research. This study investigates the influence of Cal-Al layered double oxide (LDO) and mixing parameters on key properties of cement pastes under CO2 mixing, including mechanical performance, microstructure, phase assemblages, and carbon capture capacity. A particular emphasis was placed on evaluating a novel bubble mixing technique, which was developed to enhance the conventional atmospheric mixing process. The results indicate that, compared to the traditional method, bubble mixing reduced the mixing intensity by 10% but increased the effective carbon sequestration capacity by 0.68%. The observed strength reduction after bubble mixing was consistent with higher water adsorption, indicating the formation of a more porous structure. A higher carbon capture efficiency was achieved with bubble mixing compared to atmospheric mixing, as revealed by further investigation. Crucially, the introduction of LDO significantly enhanced the carbon capture capacity, with improvements of up to 34% compared to the groups without LDO. This highlights the substantial potential of LDO in reducing the carbon footprint of cementitious materials and offers a novel insight for enhancing CO2 mixing in cement. Full article
Show Figures

Figure 1

38 pages, 1247 KB  
Review
Carbon Capture, Utilization and Storage: Technology, Application, and Policy
by Zicheng Wang, Peng Yuan, Hui Yu, Qizhao Ma, Baoshen Xu and Dongya Zhao
Processes 2025, 13(11), 3414; https://doi.org/10.3390/pr13113414 - 24 Oct 2025
Viewed by 1039
Abstract
Global warming has become a major challenge facing human society, with carbon dioxide (CO2) emissions being its primary driver. Carbon capture, utilization, and storage (CCUS) represents a promising technology for mitigating CO2 emissions from industrial and energy sectors. However, challenges [...] Read more.
Global warming has become a major challenge facing human society, with carbon dioxide (CO2) emissions being its primary driver. Carbon capture, utilization, and storage (CCUS) represents a promising technology for mitigating CO2 emissions from industrial and energy sectors. However, challenges such as high energy consumption, lengthy construction cycles, significant costs, and inadequate policy and market mechanisms hinder the widespread adoption of CCUS technology. This paper reviews the potential, applications, and related policies of CCUS technology, highlighting current research progress and obstacles. First, it provides a comprehensive overview of the CCUS technology framework, detailing developments and engineering applications in capture, transport, enhanced oil recovery, and storage technologies. Through global case studies and analysis, the review also examines advancements in CCUS infrastructure and technology strategies, along with operational experiences from major global projects. Second, it delves into the mechanisms, applications, and challenges of CCUS-related technologies, which are crucial for advancing their industrial deployment. It also outlines policy measures adopted by different countries to support CCUS technology development and large-scale deployment. Finally, it projects future directions for CCUS technology and policy development. Full article
(This article belongs to the Special Issue Advances in Enhancing Unconventional Oil/Gas Recovery, 3rd Edition)
Show Figures

Figure 1

23 pages, 4498 KB  
Article
Experimental and Numerical Evaluation of CO2-Induced Wettability Alteration in Carbonate Reservoir CCUS
by Mohammad Al-Ghnemi, Erdal Ozkan and Hossein Kazemi
Energies 2025, 18(20), 5529; https://doi.org/10.3390/en18205529 - 20 Oct 2025
Viewed by 371
Abstract
This study presents both laboratory measurements and numerical modeling of wettability alterations following carbon dioxide (CO2) injection in limestone carbonate reservoirs. Both synthetic and crude oil systems were evaluated using a Drop Shape Analyzer (DSA-100) to quantitatively measure the contact angle [...] Read more.
This study presents both laboratory measurements and numerical modeling of wettability alterations following carbon dioxide (CO2) injection in limestone carbonate reservoirs. Both synthetic and crude oil systems were evaluated using a Drop Shape Analyzer (DSA-100) to quantitatively measure the contact angle and interfacial tension (IFT) on limestone core samples under ambient and reservoir conditions. The results demonstrated that carbonated brine significantly reduced the IFT (2.0–4.1 dynes/cm) and contact angle (11.9–16.0°), indicating a shift toward more water-wet conditions, compared with the modest reductions in contact angle achieved with standard brine (1.6–6.7°). Synthetic fluid systems containing naphthenic acid initially exhibited stronger oil-wet behavior but also experienced wettability alterations when exposed to CO2. A previously developed compositional reservoir simulation model, which was based on assumed relative permeability endpoints, was revised to incorporate the experimental findings of this study as a supporting tool. Incorporating the experimental wettability alteration effect of CO2 in the numerical model by a 5.2% reduction in the residual oil saturation (the relative permeability endpoint) caused 2% increase in the oil recovery factor and 12% improvement in the CO2 utilization efficiency (9780 standard cubic feet per stock tank barrel (SCF/STB) vs. 8620 SCF/STB). Overall, this work provides critical laboratory validation and supports by numerical simulation that CO2-induced wettability alteration is a key mechanism underpinning CO2-based enhanced oil recovery (EOR) and carbon capture, utilization, and storage (CCUS) deployment in limestone carbonate formations. Full article
Show Figures

Figure 1

22 pages, 1894 KB  
Article
Strategic Decision-Making for Carbon Capture, Utilization, and Storage in Coal-Fired Power Plants: The Roles of Pollution Right Trading and Environmental Benefits
by Xinping Wang, Xue Xiao, Chang Su and Boying Li
Systems 2025, 13(10), 919; https://doi.org/10.3390/systems13100919 - 19 Oct 2025
Viewed by 384
Abstract
Promoting investment in Carbon Capture, Utilization, and Storage (CCUS) is essential for mitigating carbon emissions and combating climate change. This paper explores the uncertainties and environmental benefits associated with CCUS, integrating the frameworks of pollution right trading and carbon trading. A model for [...] Read more.
Promoting investment in Carbon Capture, Utilization, and Storage (CCUS) is essential for mitigating carbon emissions and combating climate change. This paper explores the uncertainties and environmental benefits associated with CCUS, integrating the frameworks of pollution right trading and carbon trading. A model for coal-fired power plant investment decisions on CCUS is developed and solved using the Least Squares Monte Carlo method, with results being robust beyond approximately 6000 simulation paths. Applied to a 600 MW ultra-supercritical coal-fired power plant in Shaanxi, China, our findings indicate that investment leads to a loss of CNY 1200.4 million in the absence of both environmental benefits and market trading mechanisms. A positive investment value of CNY 462 million with an optimal timing in the 10th year is achieved only when both environmental benefits and trading mechanisms are present. Furthermore, with only carbon trading, the option value is marginal (CNY 64.8 million), and investment remains unprofitable without government subsidies. Sensitivity analysis highlights that government subsidies significantly impact investment motivation. An initial carbon price of approximately CNY 95 per ton triggers immediate investment, while higher capture proportions and utilization levels positively affect decision-making. This study provides analytical tools for investment decisions in CCUS across multiple scenarios, serving as a reference for policymakers in designing emission reduction strategies. Full article
Show Figures

Figure 1

21 pages, 2192 KB  
Review
A Critical Review on the Opportunities and Challenges of Offshore Carbon Capture, Utilization, and Storage
by Trong Vinh Bui, Hong Hai Dao, Huynh Thong Nguyen, Quoc Dung Ta, Hai Nam Nguyen Le, Phuc Kieu, Cao Lan Mai, Trung Dung Tran, Huu Son Nguyen, Hoang Dung Nguyen and Trung Tin Huynh
Sustainability 2025, 17(20), 9250; https://doi.org/10.3390/su17209250 - 18 Oct 2025
Viewed by 916
Abstract
Offshore Carbon Capture, Utilization, and Storage (CCUS) is emerging as a critical strategy for achieving net-zero emissions, offering significant storage potential in depleted hydrocarbon reservoirs and deep saline aquifers while leveraging existing offshore infrastructure. This review summarizes recent advances in capture, transport, utilization, [...] Read more.
Offshore Carbon Capture, Utilization, and Storage (CCUS) is emerging as a critical strategy for achieving net-zero emissions, offering significant storage potential in depleted hydrocarbon reservoirs and deep saline aquifers while leveraging existing offshore infrastructure. This review summarizes recent advances in capture, transport, utilization, and storage technologies in the offshore industry. Case studies including Sleipner, Gorgon, and Northern Lights illustrate both the technical feasibility and the operational, economic, and regulatory challenges associated with large-scale deployment. While post-combustion capture and pipeline transport remain the most technologically mature approaches, significant uncertainties continue to exist regarding the logistics of marine transportation, reservoir integrity, and the robustness of monitoring frameworks. Policy and regulatory complexity, coupled with high capital costs and public acceptance issues, continue to constrain commercial viability. This review highlights that offshore CCUS holds significant promise but requires advances in monitoring technologies, cost reduction strategies, and harmonized international governance. Future research should focus on integrating CCUS with hydrogen production and renewable energy systems to accelerate large-scale deployment. Full article
(This article belongs to the Special Issue Carbon Capture, Utilization, and Storage (CCUS) for Clean Energy)
Show Figures

Figure 1

28 pages, 3042 KB  
Review
Experimental and Molecular Dynamics Simulation of Interfacial Tension Measurements in CO2–Brine/Oil Systems: A Literature Review
by Nadieh Salehi, Mohammad Kazemi, Mohammad Amin Esmaeilbeig, Abbas Helalizadeh and Mehdi Bahari Moghaddam
Gases 2025, 5(4), 23; https://doi.org/10.3390/gases5040023 - 16 Oct 2025
Viewed by 914
Abstract
Carbon dioxide (CO2), a major greenhouse gas, contributes significantly to global warming and environmental degradation. Carbon Capture, Utilization, and Storage (CCUS) is a promising strategy to mitigate atmospheric CO2 levels. One widely applied utilization approach involves injecting captured CO2 [...] Read more.
Carbon dioxide (CO2), a major greenhouse gas, contributes significantly to global warming and environmental degradation. Carbon Capture, Utilization, and Storage (CCUS) is a promising strategy to mitigate atmospheric CO2 levels. One widely applied utilization approach involves injecting captured CO2 into depleted oil reservoirs to enhance oil recovery—a technique known as CO2-Enhanced Oil Recovery (CO2-EOR). The effectiveness of CO2-EOR largely depends on complex rock–fluid interactions, including mass transfer, wettability alteration, capillary pressure, and interfacial tension (IFT). Various factors, such as the presence of asphaltenes, salinity, pressure, temperature, and rock type, influence these interactions. This review explores the impact of these parameters on the IFT between CO2 and oil/water systems, drawing on findings from both experimental studies and molecular dynamics (MD) simulations. The literature indicates that increased temperature, reduced pressure, lower salinity, and the presence of asphaltenes tend to reduce IFT at the oil–water interface. Similarly, elevated temperature and pressure, along with asphaltene content, also lower the surface tension between CO2 and oil. Most MD simulations employ synthetic oil mixtures of various alkanes and use tools such as LAMMPS and GROMACS. Experimentally, the pendant drop method is most commonly used with crude oil and brine samples. Future research employing actual reservoir fluids and alternative measurement techniques may yield more accurate and representative IFT data, further advancing the application of CO2-EOR. Full article
Show Figures

Figure 1

21 pages, 9352 KB  
Review
Advances in Synergistic Corrosion Mechanisms of and Management Strategies for Impurity Gases During Supercritical CO2 Pipeline Transportation
by Yutong Yan, Weifeng Lyu, Hongwei Yu, Wenfeng Lv, Keqiang Wei and Lichan Jiang
Molecules 2025, 30(20), 4094; https://doi.org/10.3390/molecules30204094 - 15 Oct 2025
Viewed by 591
Abstract
Supercritical CO2 (sCO2) pipeline transport is a critical link for the large-scale implementation of Carbon Capture, Utilization, and Storage (CCUS) technology, yet its safety is severely challenged by residual impurity gases (e.g., H2O, O2, SO2 [...] Read more.
Supercritical CO2 (sCO2) pipeline transport is a critical link for the large-scale implementation of Carbon Capture, Utilization, and Storage (CCUS) technology, yet its safety is severely challenged by residual impurity gases (e.g., H2O, O2, SO2, H2S, and NO2) from the capture process. This review systematically consolidates recent research advances, with the key findings being the following. Firstly, it reveals that the nonlinear synergistic effects among impurities are the primary cause of uncontrolled corrosion, whose destructive impact far exceeds the simple sum of individual effects. Secondly, it delineates the specific roles and critical thresholds of different impurities within the corrosion chain reaction, providing a theoretical basis for targeted control. Consequently, engineering management must enforce strict impurity concentration thresholds integrated with material upgrades and dynamic operational optimization. Future research should focus on developing multi-impurity reaction kinetic models, elucidating long-term corrosion product layer evolution, and establishing standardized experimental systems. This review provides crucial theoretical support for establishing impurity control standards and optimizing anti-corrosion strategies for the safe transport of CO2 in supercritical CCUS pipelines. Full article
Show Figures

Figure 1

30 pages, 1769 KB  
Review
Decarbonizing the Cement Industry: Technological, Economic, and Policy Barriers to CO2 Mitigation Adoption
by Oluwafemi Ezekiel Ige and Musasa Kabeya
Clean Technol. 2025, 7(4), 85; https://doi.org/10.3390/cleantechnol7040085 - 9 Oct 2025
Viewed by 2414
Abstract
The cement industry accounts for approximately 7–8% of global CO2 emissions, primarily due to energy-intensive clinker production and limestone calcination. With cement demand continuing to rise, particularly in emerging economies, decarbonization has become an urgent global challenge. The objective of this study [...] Read more.
The cement industry accounts for approximately 7–8% of global CO2 emissions, primarily due to energy-intensive clinker production and limestone calcination. With cement demand continuing to rise, particularly in emerging economies, decarbonization has become an urgent global challenge. The objective of this study is to systematically map and synthesize existing evidence on technological pathways, policy measures, and economic barriers to four core decarbonization strategies: clinker substitution, energy efficiency, alternative fuels, as well as carbon capture, utilization, and storage (CCUS) in the cement sector, with the goal of identifying practical strategies that can align industry practice with long-term climate goals. A scoping review methodology was adopted, drawing on peer-reviewed journal articles, technical reports, and policy documents to ensure a comprehensive perspective. The results demonstrate that each mitigation pathway is technically feasible but faces substantial real-world constraints. Clinker substitution delivers immediate reduction but is limited by SCM availability/quality, durability qualification, and conservative codes; LC3 is promising where clay logistics allow. Energy-efficiency measures like waste-heat recovery and advanced controls reduce fuel use but face high capital expenditure, downtime, and diminishing returns in modern plants. Alternative fuels can reduce combustion-related emissions but face challenges of supply chains, technical integration challenges, quality, weak waste-management systems, and regulatory acceptance. CCUS, the most considerable long-term potential, addresses process CO2 and enables deep reductions, but remains commercially unviable due to current economics, high costs, limited policy support, lack of large-scale deployment, and access to transport and storage. Cross-cutting economic challenges, regulatory gaps, skill shortages, and social resistance including NIMBYism further slow adoption, particularly in low-income regions. This study concludes that a single pathway is insufficient. An integrated portfolio supported by modernized standards, targeted policy incentives, expanded access to SCMs and waste fuels, scaled CCUS investment, and international collaboration is essential to bridge the gap between climate ambition and industrial implementation. Key recommendations include modernizing cement standards to support higher clinker replacement, providing incentives for energy-efficient upgrades, scaling CCUS through joint investment and carbon pricing and expanding access to biomass and waste-derived fuels. Full article
Show Figures

Figure 1

21 pages, 2145 KB  
Article
Optimized Chemical Absorption Process for CO2 Removal in a Steel Plant
by Valentina Schiattarella and Stefania Moioli
Energies 2025, 18(18), 5026; https://doi.org/10.3390/en18185026 - 22 Sep 2025
Viewed by 504
Abstract
The steel industry is a significant contributor to global CO2 emissions due to the highly energy-intensive nature of its production processes. Specifically, steel production involves the conversion of iron ore into steel through processes such as the blast furnace method, which result [...] Read more.
The steel industry is a significant contributor to global CO2 emissions due to the highly energy-intensive nature of its production processes. Specifically, steel production involves the conversion of iron ore into steel through processes such as the blast furnace method, which result in significant greenhouse gas emissions due to the combustion of fossil fuels and the chemical reactions involved. To address this challenge, Carbon Capture Utilization and Storage (CCUS) technologies are essential for reducing emissions by capturing CO2 at its source, preventing its release into the atmosphere. This study focuses on a French steel plant with an annual production capacity of 6.6 million tons of steel and seeks to optimize the chemical absorption process by using a 30 wt.% MonoEthanolAmine (MEA) aqueous solution. To the authors’ knowledge, studies on this solvent, widely used for treating other types of flue gases, are still not present in the literature for the application to this gaseous stream. The goal is to minimize the thermal energy required for solvent regeneration by optimizing some key parameters. Additionally, an economic analysis is carried out, with a particular focus on different achievable CO2 recovery ratios, with costs quantified as 102.48, 104.47, and 224.36 [$/t CO2 removed] for 90%, 95%, and 99% CO2 recovery, respectively. Full article
(This article belongs to the Section B3: Carbon Emission and Utilization)
Show Figures

Figure 1

19 pages, 5279 KB  
Article
Research on Carbon Dioxide Pipeline Leakage Localization Based on Gaussian Plume Model
by Xinze Li, Fengming Li, Jiajia Chen, Zixu Wang, Dezhong Wang and Yanqi Ran
Processes 2025, 13(9), 2994; https://doi.org/10.3390/pr13092994 - 19 Sep 2025
Viewed by 534
Abstract
Carbon dioxide (CO2) is a non-toxic asphyxiant gas that, once released, can pose severe risks, including suffocation, poisoning, frostbite, and even death. As a critical component of carbon capture, utilization, and storage (CCUS) technology, CO2 pipeline transportation requires reliable leakage [...] Read more.
Carbon dioxide (CO2) is a non-toxic asphyxiant gas that, once released, can pose severe risks, including suffocation, poisoning, frostbite, and even death. As a critical component of carbon capture, utilization, and storage (CCUS) technology, CO2 pipeline transportation requires reliable leakage detection and precise localization to safeguard the environment, ensure pipeline operational safety, and support emergency response strategies. This study proposes an inversion model that integrates wireless sensor networks (WSNs) with the Gaussian plume model for CO2 pipeline leakage monitoring. The WSN is employed to collect real-time CO2 concentration data and environmental parameters around the pipeline, while the Gaussian plume model is used to simulate and invert the dispersion process, enabling both leak source localization and emission rate estimation. Simulation results demonstrate that the proposed model achieves a source localization error of 12.5% and an emission rate error of 3.5%. Field experiments further confirm the model’s applicability, with predicted concentrations closely matching the measurements, yielding an error range of 3.5–14.7%. These findings indicate that the model satisfies engineering accuracy requirements and provides a technical foundation for emergency response following CO2 pipeline leakage. Full article
(This article belongs to the Topic Oil and Gas Pipeline Network for Industrial Applications)
Show Figures

Figure 1

26 pages, 4044 KB  
Article
Decoding the Developmental Trajectory of the New Power System in China via Bibliometric and Visual Analysis
by Yinan Wang, Heng Chen, Minghong Liu, Mingyuan Zhou, Lingshuang Liu and Yan Zhang
Energies 2025, 18(18), 4809; https://doi.org/10.3390/en18184809 - 10 Sep 2025
Viewed by 524
Abstract
Under the twin imperatives of climate change mitigation and sustainable development, achieving a low-carbon transformation of power systems has become a national priority. To clarify this objective, China issued the Blue Book on the Development of New Power System, which comprehensively defines [...] Read more.
Under the twin imperatives of climate change mitigation and sustainable development, achieving a low-carbon transformation of power systems has become a national priority. To clarify this objective, China issued the Blue Book on the Development of New Power System, which comprehensively defines the guiding concepts and characteristic features of a new power system. In this study, natural language processing-based keyword extraction techniques were applied to the document, employing both the TF-IDF and TextRank algorithms to identify its high-frequency terms as characteristic keywords. These keywords were then used as topic queries in the Web of Science Core Collection, yielding 1568 relevant publications. CiteSpace was employed to perform a bibliometric analysis of these records, extracting research hotspots in the new power system domain and tracing their evolutionary trajectories. The analysis revealed that “renewable energy” appeared 247 times as the core high-frequency term, while “energy storage” exhibited both high frequency and high centrality, acting as a bridge across multiple subfields. This pattern suggests that research in the new power system field has evolved from a foundation in renewable energy and storage toward smart grids, market mechanisms, carbon capture, and artificial intelligence applications. Taken together, these results indicate that early research was primarily grounded in renewable energy and storage technologies, which provided the technical basis for subsequent exploration of smart grids and market mechanisms. In the more recent stage, under the dual-carbon policy and digital intelligence imperatives, research hotspots have further expanded toward carbon capture, utilization, and storage (CCUS) and artificial intelligence applications. Looking ahead, interdisciplinary studies focusing on intelligent dispatch and low-carbon transition are poised to emerge as the next major research frontier. Full article
Show Figures

Figure 1

23 pages, 10932 KB  
Article
Dynamic CO2 Leakage Risk Assessment of the First Chinese CCUS-EGR Pilot Project in the Maokou Carbonate Gas Reservoir in the Wolonghe Gas Field
by Jingwen Xiao, Chengtao Wei, Dong Lin, Xiao Wu, Zexing Zhang and Danqing Liu
Energies 2025, 18(17), 4478; https://doi.org/10.3390/en18174478 - 22 Aug 2025
Viewed by 878
Abstract
Existing CO2 leakage risk assessment frameworks for CO2 capture, geological storage and utilization (CCUS) projects face limitations due to subjective biases and poor adaptability to long-term scale sequestration. This study proposed a dynamic risk assessment method for CO2 leakage based [...] Read more.
Existing CO2 leakage risk assessment frameworks for CO2 capture, geological storage and utilization (CCUS) projects face limitations due to subjective biases and poor adaptability to long-term scale sequestration. This study proposed a dynamic risk assessment method for CO2 leakage based on a timeliness analysis of different leakage paths and accurate time-dependent numerical simulations, and it was applied to the first CO2 enhanced gas recovery (CCUS-EGR) pilot project of China in the Maokou carbonate gas reservoir in the Wolonghe gas field. A 3D geological model of the Maokou gas reservoir was first developed and validated. The CO2 leakage risk under different scenarios including wellbore failure, caprock fracturing, and new fracture activation were evaluated. The dynamic CO2 leakage risk of the CCUS-EGR project was then quantified using the developed method and numerical simulations. The results revealed that the CO2 leakage risk was observed to be the most pronounced when the caprock integrity was damaged by faults or geologic activities. This was followed by leakage caused by wellbore failures. However, fracture activation in the reservoir plays a neglected role in CO2 leakage. The CO2 leakage risk and critical risk factors dynamically change with time. In the short term (at 5 years), the project has a low risk of CO2 leakage, and well stability and existing faults are the major risk factors. In the long term (at 30 years), special attention should be paid to the high permeable area due to its high CO2 leakage risk. Factors affecting the spatial distribution of CO2, such as the reservoir permeability and porosity, alternately dominate the leakage risk. This study established a method bridging gaps in the ability to accurately predict long-term CO2 leakage risks and provides a valuable reference for the security implementation of other similar CCUS-EGR projects. Full article
Show Figures

Figure 1

Back to TopTop