Sign in to use this feature.

Years

Between: -

Subjects

remove_circle_outline
remove_circle_outline
remove_circle_outline
remove_circle_outline
remove_circle_outline
remove_circle_outline
remove_circle_outline

Journals

Article Types

Countries / Regions

Search Results (33)

Search Parameters:
Keywords = Bi/Sn electrode

Order results
Result details
Results per page
Select all
Export citation of selected articles as:
16 pages, 3002 KB  
Article
Tracking Cadmium Transfer from Soil to Cup: An Electrochemical Sensing Strategy Based on Bi3+-Rich MOFs for Tea Safety Monitoring
by Jiaoling Wang, Zhengyin Ding, Xinxin Wu, Xindong Wang, Hao Li, Minchen Zhu and Xinai Zhang
Foods 2025, 14(21), 3779; https://doi.org/10.3390/foods14213779 - 4 Nov 2025
Cited by 1 | Viewed by 805
Abstract
Tea is one of the most widely consumed beverages worldwide, yet increasing environmental cadmium (Cd2+) contamination poses a serious threat to consumer safety. Understanding the migration pathway of Cd2+ from contaminated soils through tea plants into brewed infusions is essential [...] Read more.
Tea is one of the most widely consumed beverages worldwide, yet increasing environmental cadmium (Cd2+) contamination poses a serious threat to consumer safety. Understanding the migration pathway of Cd2+ from contaminated soils through tea plants into brewed infusions is essential for comprehensive risk assessment across the entire tea supply chain. However, conventional analytical methods for Cd2+ detection are often time-consuming, labor-intensive, and unsuitable for rapid or on-site monitoring. In this study, we developed a facile, sensitive, and selective electrochemical sensing platform based on a Bi3+-rich metal–organic framework (MOF(Bi)) for reliable Cd2+ quantification in various tea-related matrices. The MOF(Bi) was synthesized via a solvothermal method and directly immobilized onto a glassy carbon electrode (GCE) in a one-step modification process. To enhance Cd2+ preconcentration, cysteine was introduced as a complexing agent, while Nafion was employed to stabilize the sensing interface and improve reproducibility. The resulting Nafion/cys/MOF(Bi)/GCE sensor exhibited excellent sensitivity with a wide linear range from 0.2 and 25 μg/L, a low detection limit of 0.18 μg/L (S/N = 3), high selectivity against common interfering ions, and good stability. This platform enabled accurate tracking of Cd2+ transfer from polluted garden soil to raw tea leaves and finally into tea infusions, showing strong correlation with ICP-MS results. Our strategy not only offers a practical tool for on-site food safety monitoring but also provides new insights into heavy metal transfer behavior during tea production and consumption. Full article
(This article belongs to the Section Food Toxicology)
Show Figures

Figure 1

16 pages, 7234 KB  
Article
SnBi Catalytic Grown on Copper Foam by Co-Electrodeposition for Efficient Electrochemical Reduction of CO2 to Formate
by Zhuoqi Liu, Hangxin Xie, Li Lv, Jialin Xu, Xinbo Li, Chunlai Wang and Aijing Ma
Catalysts 2025, 15(8), 698; https://doi.org/10.3390/catal15080698 - 22 Jul 2025
Viewed by 1274
Abstract
The efficient electrochemical reduction of carbon dioxide to formate under mild conditions is a promising approach to mitigate the energy crisis, but requires the use of high-performance catalysts. The selectivity and activity of catalysts can be enhanced through multi-metal doping, further advancing the [...] Read more.
The efficient electrochemical reduction of carbon dioxide to formate under mild conditions is a promising approach to mitigate the energy crisis, but requires the use of high-performance catalysts. The selectivity and activity of catalysts can be enhanced through multi-metal doping, further advancing the electrochemical reduction of CO2 to formate. This study demonstrates a co-electrodeposition strategy for synthesizing SnBi electrocatalysts on pretreated copper foam substrates, systematically evaluating how the Sn2+/Bi3+ molar ratio in the electrodeposition solution and the applied current density affect the catalytic performance for CO2-to-formate conversion. Optimal performance was achieved with a molar ratio of Sn2+ to Bi3+ of 1:0.5 and a deposition current density of 3 mA cm−2, resulting in a formate Faradaic efficiency (FEformate) of 97.80% at −1.12 V (vs. RHE) and a formate current density of 26.9 mA·cm−2. Furthermore, the Sn1Bi0.50-3 mA·cm−2 electrode demonstrated stable operation at the specified potential for 9 h, maintaining a FEformate above 90%. Compared to previously reported metal catalysts, the SnBi catalytic electrode exhibits superior performance for the electrochemical reduction of CO2 to HCOOH. The study highlights the significant impact of the metal ion molar ratio and deposition current density in the electrodeposition process on the characteristics and catalytic performance of the electrode. Full article
(This article belongs to the Section Electrocatalysis)
Show Figures

Figure 1

18 pages, 9174 KB  
Article
Influence of Bi3+ Doping on Electrochemical Properties of Ti/Sb-SnO2/PbO2 Electrode for Zinc Electrowinning
by Jia Wu, Xuanqi Kang, Shuangwen Xu, Zhen Wei, Shangyuan Xu, Kang Liu, Qing Feng, Bo Jia and Yunhai Wang
Molecules 2024, 29(17), 4062; https://doi.org/10.3390/molecules29174062 - 27 Aug 2024
Cited by 3 | Viewed by 1880
Abstract
Bi3+ doped Ti/Sb-SnO2/PbO2 electrode materials were fabricated by electrodeposition to improve their electrochemical performance in zinc electrowinning. The surface morphology, chemical composition, and hydrophilicity of the as-prepared electrodes were characterized using scanning electron microscopy (SEM), energy dispersive X-ray spectroscopy [...] Read more.
Bi3+ doped Ti/Sb-SnO2/PbO2 electrode materials were fabricated by electrodeposition to improve their electrochemical performance in zinc electrowinning. The surface morphology, chemical composition, and hydrophilicity of the as-prepared electrodes were characterized using scanning electron microscopy (SEM), energy dispersive X-ray spectroscopy (EDS), X-ray diffraction (XRD), X-ray photoelectron spectroscopy (XPS), and contact angle. An electrochemical measurement and an accelerated lifetime experiment were also conducted to investigate the electrocatalytic performance and stability of the electrodes. The results show that the Bi3+ modification electrode has an important effect on the coating morphology, the crystal structure, the surface hydrophilicity, the electrocatalytic activity, and the stability. The electrode prepared from the solution containing 2 mmol·L−1 Bi(NO3)3 (marked as the Ti/Sb-SnO2/2Bi-PbO2 electrode) exhibits the best hydrophilicity performance (θ = 21.6°) and the longest service life (1196 h). During the electrochemical characterization analysis, the Ti/Sb-SnO2/2Bi-PbO2 electrode showed the highest oxygen evolution activity, which can be attributed to it having the highest electroactive surface (qT* = 21.20 C·cm−2) and the best charge-transfer efficiency. The DFT calculation demonstrated that the doping of Bi3+ leads to a decrease in the OER reaction barrier and an increase in the DOS of the electrode, which further enhances the catalytic activity and the conductivity of the electrode. Moreover, the simulated zinc electrowinning experiment demonstrated that the Ti/Sb-SnO2/2Bi-PbO2 electrode consumes less energy than other electrodes. Therefore, it is expected that the Bi3+ modified electrode will become a very promising electrode material for zinc electrowinning in the future. Full article
(This article belongs to the Special Issue Electroanalysis of Biochemistry and Material Chemistry—2nd Edition)
Show Figures

Figure 1

15 pages, 5829 KB  
Article
CuSnBi Catalyst Grown on Copper Foam by Co-Electrodeposition for Efficient Electrochemical Reduction of CO2 to Formate
by Hangxin Xie, Li Lv, Yuan Sun, Chunlai Wang, Jialin Xu and Min Tang
Catalysts 2024, 14(3), 191; https://doi.org/10.3390/catal14030191 - 11 Mar 2024
Cited by 3 | Viewed by 3073
Abstract
Effective electrochemical reduction of carbon dioxide to formate under mild conditions helps mitigate the energy crisis but requires the use of high-performance catalysts. The addition of a third metal to the binary metal catalyst may further promote the electrochemical reduction of carbon dioxide [...] Read more.
Effective electrochemical reduction of carbon dioxide to formate under mild conditions helps mitigate the energy crisis but requires the use of high-performance catalysts. The addition of a third metal to the binary metal catalyst may further promote the electrochemical reduction of carbon dioxide to formate. Herein, we provided a co-electrodeposition method to grow CuSnBi catalysts on pretreated copper foam and discussed the effects of both pH value and molar ratio of metal ions (Cu2+, Sn2+, and Bi3+) in the electrodeposition solution on the electrocatalytic performance of CO2 to HCOO. When the pH value of the electrodeposition solution was 8.5 and the molar ratio of Cu2+, Sn2+, and Bi3+ was 1:1:1, the electrode showed the highest FEHCOO of 91.79% and the formate partial current density of 36.6 mA·cm−2 at −1.12 VRHE. Furthermore, the electrode kept stable for 20 h at −1.12 VRHE, and FEHCOO was always beyond 85% during the electrolysis process, which is excellent compared to the previously reported ternary metal catalytic electrodes. This work highlights the vital impact of changes (pH value and molar ratio of metal ions) in electrodeposition liquid on catalytic electrodes and their catalytic performance, and refreshing the electrolyte is essential to maintain the activity and selectivity during the electrochemical reduction of CO2 to HCOO. Full article
(This article belongs to the Section Electrocatalysis)
Show Figures

Figure 1

18 pages, 4276 KB  
Article
The Effect of Bismuth and Tin on Methane and Acetate Production in a Microbial Electrosynthesis Cell Fed with Carbon Dioxide
by Rihab Gharbi, Sasha Omanovic, Sabahudin Hrapovic, Emmanuel Nwanebu and Boris Tartakovsky
Molecules 2024, 29(2), 462; https://doi.org/10.3390/molecules29020462 - 17 Jan 2024
Cited by 7 | Viewed by 2453
Abstract
This study investigates the impacts of bismuth and tin on the production of CH4 and volatile fatty acids in a microbial electrosynthesis cell with a continuous CO2 supply. First, the impact of several transition metal ions (Ni2+, Fe2+ [...] Read more.
This study investigates the impacts of bismuth and tin on the production of CH4 and volatile fatty acids in a microbial electrosynthesis cell with a continuous CO2 supply. First, the impact of several transition metal ions (Ni2+, Fe2+, Cu2+, Sn2+, Mn2+, MoO42−, and Bi3+) on hydrogenotrophic and acetoclastic methanogenic microbial activity was evaluated in a series of batch bottle tests incubated with anaerobic sludge and a pre-defined concentration of dissolved transition metals. While Cu is considered a promising catalyst for the electrocatalytic conversion of CO2 to short chain fatty acids such as acetate, its presence as a Cu2+ ion was demonstrated to significantly inhibit the microbial production of CH4 and acetate. At the same time, CH4 production increased in the presence of Bi3+ (0.1 g L−1) and remained unchanged at the same concentration of Sn2+. Since Sn is of interest due to its catalytic properties in the electrochemical CO2 conversion, Bi and Sn were added to the cathode compartment of a laboratory-scale microbial electrosynthesis cell (MESC) to achieve an initial concentration of 0.1 g L−1. While an initial increase in CH4 (and acetate for Sn2+) production was observed after the first injection of the metal ions, after the second injection, CH4 production declined. Acetate accumulation was indicative of the reduced activity of acetoclastic methanogens, likely due to the high partial pressure of H2. The modification of a carbon-felt electrode by the electrodeposition of Sn metal on its surface prior to cathode inoculation with anaerobic sludge showed a doubling of CH4 production in the MESC and a lower concentration of acetate, while the electrodeposition of Bi resulted in a decreased CH4 production. Full article
(This article belongs to the Section Electrochemistry)
Show Figures

Figure 1

12 pages, 4974 KB  
Article
Regulation of Bimetallic Coordination Centers in MOF Catalyst for Electrochemical CO2 Reduction to Formate
by Rui Yang, Qun Huang, Xuelan Sha, Beibei Gao and Juan Peng
Int. J. Mol. Sci. 2023, 24(18), 13838; https://doi.org/10.3390/ijms241813838 - 8 Sep 2023
Cited by 20 | Viewed by 3966
Abstract
Electrocatalytic reduction of CO2 to valuable chemicals can alleviate the energy crisis, and solve the greenhouse effect. The key is to develop non-noble metal electrocatalysts with high activity, selectivity, and stability. Herein, bimetallic metal organic frameworks (MOFs) materials (BiZn-MOF, BiSn-MOF, and BiIn-MOF) [...] Read more.
Electrocatalytic reduction of CO2 to valuable chemicals can alleviate the energy crisis, and solve the greenhouse effect. The key is to develop non-noble metal electrocatalysts with high activity, selectivity, and stability. Herein, bimetallic metal organic frameworks (MOFs) materials (BiZn-MOF, BiSn-MOF, and BiIn-MOF) were constructed by coordinating the metals Zn, In, Sn, and Bi with the organic ligand 3-amino-1H-1,2,4-triazole-5-carboxylic acid (H2atzc) through a rapid microwave synthesis approach. The coordination centers in bimetallic MOF catalyst were regulated to optimize the catalytic performance for electrochemical CO2 reduction reaction (CO2RR). The optimized catalyst BiZn-MOF exhibited higher catalytic activity than those of Bi-MOF, BiSn-MOF, and BiIn-MOF. BiZn-MOF exhibited a higher selectivity for formate production with a Faradic efficiency (FE = 92%) at a potential of −0.9 V (vs. RHE, reversible hydrogen electrode) with a current density of 13 mA cm−2. The current density maintained continuous electrolysis for 13 h. The electrochemical conversion of CO2 to formate mainly follows the *OCHO pathway. The good catalytic performance of BiZn-MOF may be attributed to the Bi-Zn bimetallic coordination centers in the MOF, which can reduce the binding energies of the reaction intermediates by tuning the electronic structure and atomic arrangement. This study provides a feasible strategy for performance optimization of bismuth-based catalysts. Full article
Show Figures

Figure 1

16 pages, 8773 KB  
Article
Comparison of Electrochemically Deposited Bi and Sn Catalysts onto Gas Diffusion Electrodes for the Electrochemical CO2 Reduction Reaction to Formate
by Mila Manolova, Joachim Hildebrand, Sebastian Hertle, Şeniz Sörgel, Holger Kassner and Elias Klemm
Appl. Sci. 2023, 13(13), 7471; https://doi.org/10.3390/app13137471 - 24 Jun 2023
Cited by 2 | Viewed by 2843
Abstract
In this publication, we report about the selectivity and stability of bismuth (Bi)- and tin (Sn)-based electrocatalysts for the electrochemical CO2 reduction reaction (eCO2RR) for formate production. Bismuth and tin were successfully electrodeposited using the pulse plating technique on top [...] Read more.
In this publication, we report about the selectivity and stability of bismuth (Bi)- and tin (Sn)-based electrocatalysts for the electrochemical CO2 reduction reaction (eCO2RR) for formate production. Bismuth and tin were successfully electrodeposited using the pulse plating technique on top of and inside of the gas diffusion layers (GDLs). The distribution of the catalyst throughout the thickness of the gas diffusion electrodes (GDEs) was investigated by using scanning electron microscopy and computer tomography; it was found that the catalyst morphology determines the performance of the electrode. Inhomogeneous deposits, with their enlarged catalyst surface area, provide more active centres for the eCO2RR, resulting in increased Faraday efficiency (FE) for formate. The initial electrochemical characterisation tests of the bismuth- and tin-loaded GDEs were carried out under laboratory operating conditions at an industrially relevant current density of 200 mA·cm−2; complete Sn dissolution with a subsequent deformation of the GDL was observed. In contrast to these results, no leaching of the electrodeposited Bi catalyst was observed. An FE of 94.2% towards formate was achieved on these electrodes. Electrodes based on an electrodeposited Bi catalyst on an in-house prepared GDL are stable after 23 h time-on-stream at 200 mA·cm−2 and have very good selectivity for formate. Full article
(This article belongs to the Section Chemical and Molecular Sciences)
Show Figures

Figure 1

13 pages, 3927 KB  
Article
Electrolyte Solvation Structure Manipulation and Synthetic Optimization for Enhanced Potassium Storage of Tin Phosphide/Carbon Alloy-Based Electrode
by Zhen Feng, Ruoxuan Chen, Rui Huang, Fangli Zhang, Weizhen Liu and Sailin Liu
Metals 2023, 13(4), 658; https://doi.org/10.3390/met13040658 - 26 Mar 2023
Cited by 6 | Viewed by 2672
Abstract
Phosphorus-based materials are considered to be reliable anode materials for potassium ion batteries (PIBs) due to their high theoretical capacity but suffer from inferior cycling stability and an unstable Solid Electrolyte Interface (SEI) layer. Herein, optimized ball-milled parameters and concentrated electrolytes are introduced [...] Read more.
Phosphorus-based materials are considered to be reliable anode materials for potassium ion batteries (PIBs) due to their high theoretical capacity but suffer from inferior cycling stability and an unstable Solid Electrolyte Interface (SEI) layer. Herein, optimized ball-milled parameters and concentrated electrolytes are introduced to enhance the electrochemical performance of Sn4P3/C anodes. Consequently, the electrodes synthesized under optimized ball milling parameters could deliver a reversible capacity of 307.8 mA h g−1 in diluted Potassium hexafluorophosphate (KPF6) electrolyte. Moreover, compared with diluted bis(fluorosulfonyl)imide (KFSI) electrolyte, a robust inorganic KF-rich SEI layer can be formed on the electrode’s surface by employing concentrated KFSI electrolyte and provides more rapid K ion conduction rates. Meanwhile, a large proportion of the FSI anions participated in the K+ solvation shell when the KFSI concentration increased. As a result, high specific capacities (225.1 mA h g−1 at 50 mA g−1 after 200 cycles) and excellent Coulombic efficiency (97.24% at 500 mA g−1 after 200 cycles) can be achieved. This work may deepen our understanding of synthetic optimization in electrode material design and the role of concentrated electrolyte in tunning the solvation structure, and also offer an insightful clue to the design of high-capacity phosphorus-based anodes. Full article
(This article belongs to the Special Issue Developments on Sustainable Hydrometallurgical Methods)
Show Figures

Figure 1

21 pages, 2583 KB  
Review
Recent Progress in Perovskite Solar Cells: Status and Future
by Ying Chen, Man Zhang, Fuqiang Li and Zhenyuan Yang
Coatings 2023, 13(3), 644; https://doi.org/10.3390/coatings13030644 - 18 Mar 2023
Cited by 46 | Viewed by 17102
Abstract
The power conversion efficiency (PCE) of perovskite solar cells (PSCs) has seen effective performance upgrades, showing remarkable academic research and commercial application value. Compared with commercial silicon cells, the PCE gap is narrowing. However, the stability, cost, and large-scale production are still far [...] Read more.
The power conversion efficiency (PCE) of perovskite solar cells (PSCs) has seen effective performance upgrades, showing remarkable academic research and commercial application value. Compared with commercial silicon cells, the PCE gap is narrowing. However, the stability, cost, and large-scale production are still far behind. For scale-up preparing high-efficiency and stable PSCs, there is a variety of related research from each functional layer of perovskite solar cells. This review systematically summarizes the recent research on the functional layers, including the electron transport layer, perovskite layer, hole transport layer, and electrode. The common ETL materials, such as TiO2, SnO2, and ZnO, need doping and a bi-layer ETL to promote their property. Large-scale and low-cost production of perovskite layers with excellent performance and stability has always been the focus. The expensive and instability problems of Spiro-OMeTAD and electrode materials remain to be solved. The main problems and future development direction of them are also discussed. Full article
(This article belongs to the Special Issue Optical Thin Film and Photovoltaic (PV) Related Technologies)
Show Figures

Figure 1

13 pages, 7617 KB  
Article
Room Temperature Nanographene Production via CO2 Electrochemical Reduction on the Electrodeposited Bi on Sn Substrate
by Piriya Pinthong, Sarita Phupaichitkun, Suthasinee Watmanee, Rungkiat Nganglumpoon, Duangamol N. Tungasmita, Sukkaneste Tungasmita, Yuttanant Boonyongmaneerat, Nadtinan Promphet, Nadnudda Rodthongkum and Joongjai Panpranot
Nanomaterials 2022, 12(19), 3389; https://doi.org/10.3390/nano12193389 - 28 Sep 2022
Cited by 8 | Viewed by 3020
Abstract
Electrochemical reduction of carbon dioxide (CO2RR) to crystalline solid carbon at room temperature is challenging, but it is a providential CO2 utilization route due to its indefinite storage and potential applications of its products in many advanced technologies. Here, room-temperature [...] Read more.
Electrochemical reduction of carbon dioxide (CO2RR) to crystalline solid carbon at room temperature is challenging, but it is a providential CO2 utilization route due to its indefinite storage and potential applications of its products in many advanced technologies. Here, room-temperature synthesis of polycrystalline nanographene was achieved by CO2RR over the electrodeposited Bi on Sn substrate prepared with various bismuth concentrations (0.01 M, 0.05 M, and 0.1 M). The solid carbon products were solely produced on all the prepared electrodes at the applied potential −1.1 V vs. Ag/AgCl and were characterized as polycrystalline nanographene with an average domain size of ca. 3–4 nm. The morphology of the electrodeposited Bi/Sn electrocatalysts did not have much effect on the final structure of the solid carbon products formed but rather affected the CO2 electroreduction activity. The optimized negative potential for the formation of nanographene products on the 0.05Bi/Sn was ca. −1.5 V vs. Ag/AgCl. Increasing the negative value of the applied potential accelerated the agglomeration of the highly reactive nascent Bi clusters in situ formed under the reaction conditions, which, as a consequence, resulted in a slight deviation of the product selectivity toward gaseous CO and H2 evolution reaction. The Bi–graphene composites produced by this method show high potential as an additive for working electrode modification in electrochemical sensor-related applications. Full article
Show Figures

Graphical abstract

23 pages, 8578 KB  
Article
Electrochemical Corrosion of Titanium and Titanium Alloys Anodized in H2SO4 and H3PO4 Solutions
by Jesús Manuel Jáquez-Muñoz, Citlalli Gaona-Tiburcio, José Chacón-Nava, Jose Cabral-Miramontes, Demetrio Nieves-Mendoza, Erick Maldonado-Bandala, Anabel D. Delgado, Juan Pablo Flores-De los Rios, Patrizia Bocchetta and Facundo Almeraya-Calderón
Coatings 2022, 12(3), 325; https://doi.org/10.3390/coatings12030325 - 1 Mar 2022
Cited by 43 | Viewed by 8309
Abstract
Titanium and its alloys have superior electrochemical properties compared to other alloy systems due to the formation of a protective TiO2 film on metal surfaces. The ability to generate the protective oxide layer will depend upon the type of alloy to be [...] Read more.
Titanium and its alloys have superior electrochemical properties compared to other alloy systems due to the formation of a protective TiO2 film on metal surfaces. The ability to generate the protective oxide layer will depend upon the type of alloy to be used. The aim of this work was to characterize the electrochemical corrosion behavior of titanium Ti-CP2 and alloys Ti-6Al-2Sn-4Zr-2Mo, Ti-6Al-4V, and Ti Beta-C. Samples were anodized in 1 M H2SO4 and H3PO4 solutions with a current density of 0.025 A/cm2. Electrochemical tests on anodized alloys were carried out using a three-electrode cell and exposed in two electrolytes, i.e., 3.5 wt % NaCl and 3.5 wt % H2SO4 solutions at room temperature. Scanning electron microscopy (SEM) was used to observe the morphology of anodized surfaces. The electrochemical techniques used were cyclic potentiodynamic polarization (CPP) and electrochemical noise (EN), based on the ASTM-G61 and G199 standards. Regarding EN, two methods of data analysis were used: the frequency domain (power spectral density, PSD) and time-frequency domain (discrete wavelet transform). For non-anodized alloys, the results by CCP and EN indicate icorr values of ×10−6 A/cm2. However, under anodizing conditions, the icorr values vary from ×10−7 to ×10−9 A/cm2. The PSD Ψ0 values are higher for non-anodized alloys, while in anodized conditions, the values range from −138/−122 dBi (A2·Hz−1)1/2 to −131/−180 dBi (A2·Hz−1)1/2. Furthermore, the results indicated that the alloys anodized in the H3PO4 bath showed an electrochemical behavior that can be associated with a more homogeneous passive layer when exposed to the 3.5 wt % NaCl electrolyte. Alloys containing more beta-phase stabilizers formed a less homogeneous anodized layer. These alloys are widely used in aeronautical applications; thus, it is essential that these alloys have excellent corrosion performance in chloride and acid rain environments. Full article
(This article belongs to the Special Issue Advances in Corrosion Resistant Coatings)
Show Figures

Graphical abstract

9 pages, 2680 KB  
Article
An All-Solid-State Lithium Metal Battery Based on Electrodes-Compatible Plastic Crystal Electrolyte
by Bin Zhao, Qi Wang, Boheng Yuan, Yafei Lu and Xiaogang Han
Energies 2021, 14(21), 6946; https://doi.org/10.3390/en14216946 - 22 Oct 2021
Cited by 3 | Viewed by 2993
Abstract
Solid-state plastic crystal electrolytes (SPCEs) have attracted much attention due to their high ionic conductivity at room temperature and polymer-like plasticity. Herein, we made a LiFePO4||Li solid state battery based on SPCEs. A SPCE film is made up of glass fiber, [...] Read more.
Solid-state plastic crystal electrolytes (SPCEs) have attracted much attention due to their high ionic conductivity at room temperature and polymer-like plasticity. Herein, we made a LiFePO4||Li solid state battery based on SPCEs. A SPCE film is made up of glass fiber, succinonitrile (SN), lithium bis (triflu-romethanesulphonyl) imid (LiTFSI), and LiNO3. Glass fiber is introduced to improve the mechanical property, and LiNO3 served as an additive to stabilize electrolyte/Li interface. The SPCE film delivers a high ionic conductivity of 7.3 × 10−4 S cm−1 at room temperature and has excellent stability with Li-metal anode. SPCE is also infused into cathode electrode and used as the interface with cathode particles, which can access a large interface contact area and deform reversibly with volume change. The LiFePO4||Li solid state battery based on SPCE can work well at ambient temperature, which shows a high initial specific capacity of 121.4 mAh g−1 and has 86.9% retention after 90 cycles at 0.5 C. Full article
Show Figures

Figure 1

11 pages, 2271 KB  
Article
An Electrochemical Sensor Based on Gold and Bismuth Bimetallic Nanoparticles Decorated L-Cysteine Functionalized Graphene Oxide Nanocomposites for Sensitive Detection of Iron Ions in Water Samples
by Na Zhou, Jing Li, Shaoxia Wang, Xuming Zhuang, Shouqing Ni, Feng Luan, Xuran Wu and Shunyang Yu
Nanomaterials 2021, 11(9), 2386; https://doi.org/10.3390/nano11092386 - 14 Sep 2021
Cited by 19 | Viewed by 4085
Abstract
In this work, gold and bismuth bimetallic nanoparticles decorated L-cysteine functionalized graphene oxide nanocomposites (Au-BiNPs/SH-GO) were prepared and applied to selective detection of Fe(III) in lake and seawater samples by modifying onto glassy carbon electrodes. Bimetallic nanoparticles have various excellent properties and better [...] Read more.
In this work, gold and bismuth bimetallic nanoparticles decorated L-cysteine functionalized graphene oxide nanocomposites (Au-BiNPs/SH-GO) were prepared and applied to selective detection of Fe(III) in lake and seawater samples by modifying onto glassy carbon electrodes. Bimetallic nanoparticles have various excellent properties and better catalytic properties because of the unique synergistic effect between metals. The modified electrode was characterized by scanning electron microscopy, energy dispersive X-ray spectroscopy, X-ray diffraction, X-ray photoelectron spectroscopy, Fourier transform infrared spectroscopy, and Raman spectroscopy. Under optimized conditions, current peak intensity increased linearly with increasing Fe(III) concentration over the range of 0.2–50 μM and a detection limit of 0.07 μM (S/N = 3). The Au-BiNPs/SH-GO/GCE was used for the determination of Fe(III) in lake and seawater samples with recoveries ranged from 90 to 103%. Those satisfactory results revealed the potential application of the Au-BiNPs/SH-GO electrochemical sensor for heavy metals detection in environmental monitoring. Full article
Show Figures

Figure 1

19 pages, 5762 KB  
Article
Multi-Wire Interconnection of Busbarless Solar Cells with Embedded Electrode Sheet
by Jeong Eun Park, Won Seok Choi and Dong Gun Lim
Energies 2021, 14(13), 4035; https://doi.org/10.3390/en14134035 - 4 Jul 2021
Cited by 3 | Viewed by 5077
Abstract
The module technology proposed in this paper is used to fabricate a wire embedded ethyl vinyl acetate (EVA) sheet module by applying a cell/module integrated process in which the cell and wire are bonded during the lamination process. A wire-embedded EVA sheet module [...] Read more.
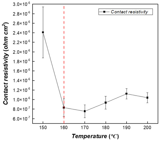
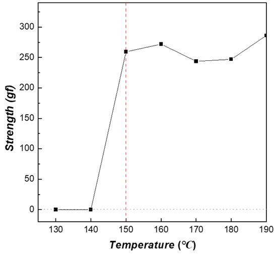
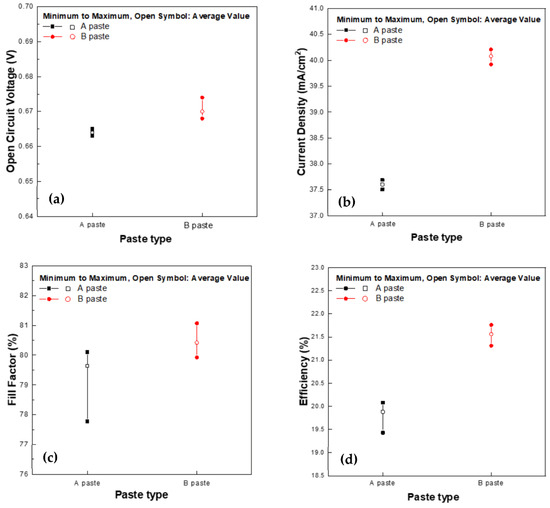
The module technology proposed in this paper is used to fabricate a wire embedded ethyl vinyl acetate (EVA) sheet module by applying a cell/module integrated process in which the cell and wire are bonded during the lamination process. A wire-embedded EVA sheet module was fabricated using a busbarless cell and SnBiAg wire. As a result of the module characteristics corresponding to the lamination process temperature, the highest efficiency of 19.55% was observed at 170 °C. The lowest contact resistivity between the wire and the finger electrode was shown under a temperature condition of 170 °C, which was confirmed to increase the efficiency owing to an improvement of the fill factor with an excellent electrical contact. Full article
Show Figures

Graphical abstract

1 pages, 189 KB  
Abstract
Detection of Biogenic Amines in Canned Tuna Using a Voltammetric Electronic Tongue
by Marta Bonet-San-Emeterio, Maria Bruguera-Jané, Xavier Cetó and Manel del Valle
Eng. Proc. 2021, 6(1), 41; https://doi.org/10.3390/I3S2021Dresden-10169 - 21 May 2021
Viewed by 1495
Abstract
Biogenic amines (BAs), which are produced naturally due to the decomposition of amino acids, are crucial for the food industry because its formation is directly related to improper storage and the presence of bacteria. High concentrations of BAs can be easily related with [...] Read more.
Biogenic amines (BAs), which are produced naturally due to the decomposition of amino acids, are crucial for the food industry because its formation is directly related to improper storage and the presence of bacteria. High concentrations of BAs can be easily related with the quality and spoilage of the products of this sector. The necessity to quickly and efficiently quantify these targets makes mandatory the use of alternatives to conventional analytical methods used up to now. For example, the combination of sensors with chemometric tools (known as electronic tongue) are a promising alternative for quick and informative analysis in the food sector. Chemometric tools allow us to develop models for the quantification of specific compounds in a complex matrix, making it a feasible tool for the development of more user-friendly methods than the traditional ones. In this context, the work presents an electronic tongue created for the detection of histamine, cadaverine and tyramine using a set of five modified GEC (graphite epoxy composite) electrodes: ZnO NPs, CuO NPs, SnO2 NPs, Bi2O3 NPs, and polypyrrole, as the voltammetric multisensor array. The chemometric model was obtained with an Artificial Neural Network (ANN) with 51 input neurons, five neurons in the hidden layer and three neurons in the output layer. The functions used for the hidden and output layers were tansig and purelin, respectively. The results show slopes near to 1 and intercepts close to 0, indicating the feasibility of the model. Full article
(This article belongs to the Proceedings of The 8th International Symposium on Sensor Science)
Back to TopTop