An Electrochemical Sensor Based on Gold and Bismuth Bimetallic Nanoparticles Decorated L-Cysteine Functionalized Graphene Oxide Nanocomposites for Sensitive Detection of Iron Ions in Water Samples
Abstract
:1. Introduction
2. Experimental Details
2.1. Materials
2.2. Apparatus
2.3. Preparation of Au-BiNPs/SH-GO Nanomaterials
2.4. Electrode Preparation and Modification
2.5. Electrochemical Detection Process
3. Results and Discussion
3.1. Structural and Compositional Characterizations of Au-BiNPs/SH-GO/GCE
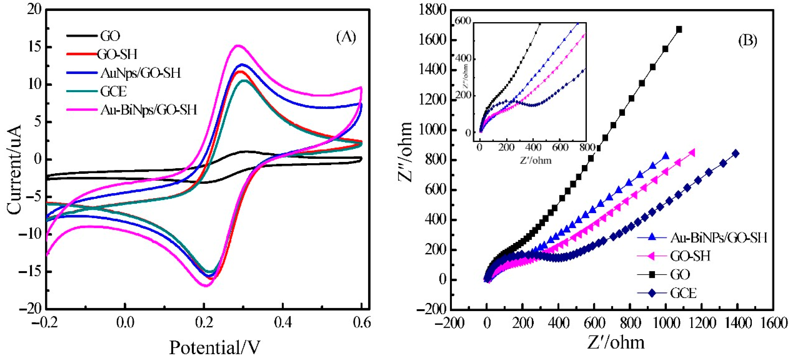
3.2. Electrochemical Characterization of the AuNPs/SH-GO/GCE
3.3. Optimization of Supporting Electrolytes
3.4. Electrochemical Sensing of Fe(III) on Au-BiNPs/SH-GO/GCE
3.5. Stability, Repeatability and Selectivity of the Sensor
4. Detection Application in Lake Water and Seawater Samples
5. Conclusions
Supplementary Materials
Author Contributions
Funding
Conflicts of Interest
References
- Wedepohl, K.H. The composition of the continental crust. Mineral. Mag. 1994, 58, 1217–1232. [Google Scholar] [CrossRef]
- Martin, J.H.; Coale, K.H.; Johnson, K.S.; Fitzwater, S.E.; Gordon, R.M.; Tanner, S.J.; Hunter, C.N.; Elrod, V.A.; Nowicki, J.L.; Coley, T.L. Testing the iron hypothesis in ecosystems of the equatorial Pacific Ocean. Nature 1994, 371, 123–129. [Google Scholar] [CrossRef]
- Lindsay, W.L.; Schwab, A.P. The chemistry of iron in soils and its availability to plants. J. Plant Nutr. 1982, 5, 821–840. [Google Scholar] [CrossRef]
- Guerinot, M.L.; Yi, Y. Iron: Nutritious, noxious, and not readily available. Plant Physiol. 1994, 104, 815. [Google Scholar] [CrossRef] [Green Version]
- Wang, B.; Yang, Q.; Guo, C.; Sun, Y.; Xie, L.H.; Li, J.R. Stable Zr(IV)-based metal-organic frameworks with predesigned functionalized ligands for highly selective detection of Fe(III) ions in water. ACS Appl. Mater. Interfaces 2017, 9, 10286–10295. [Google Scholar] [CrossRef]
- Frias-Espericueta, M.; Voltolina, D.; Osuna-Lopez, J.B. Acute toxicity of cadmium, mercury, and lead to whiteleg shrimp (Litopenaeus vannamei) postlarvae. Environ. Contam. Toxicol. 2001, 67, 580–586. [Google Scholar] [CrossRef]
- Yao, H.; Jin, L.; Sue, H.-J.; Sumi, Y.; Nishimura, R. Facile decoration of Au nanoparticles on reduced graphene oxide surfaces via a one-step chemical functionalization approach. J. Mater. Chem. A 2013, 1, 10783–10789. [Google Scholar] [CrossRef]
- Henley, W.J.; Yin, Y. Growth and photosynthesis of marine Synechococcus (Cyanophyceae) under iron stress. J. Phycol. 1998, 34, 94–103. [Google Scholar] [CrossRef]
- Oliveira, A.F.; Nobrega, J.A.; Fatibello-Filho, O. Asynchronous merging zones system: Spectrophotometric determination of Fe(II) and Fe(III) in pharmaceutical products. Talanta 1999, 49, 505–510. [Google Scholar] [CrossRef]
- Carneiro, J.M.T.; Dias, A.C.B.; Zagatto, E.A.G.; Honorato, R.S. Spectrophotometric catalytic determination of Fe(III) in estuarine waters using a flow-batch system. Anal. Chim. Acta 2002, 455, 327–333. [Google Scholar] [CrossRef]
- Safavi, A.; Abdollahi, H.; Sedaghatpour, F.; Nezhad, M.H. Indirect simultaneous kinetic determination of semicarbazide and hydrazine in micellar media by H-point standard addition method. Talanta 2003, 59, 147–153. [Google Scholar] [CrossRef]
- Zolgharnein, J.; Abdollahi, H.; Jaefarifar, D.; Azimi, G. Simultaneous determination of Fe(II) and Fe(III) by kinetic spectrophotometric H-point standard addition method. Talanta 2002, 57, 1067–1073. [Google Scholar] [CrossRef]
- Costa, R.C.d.; Araújo, A.N. Determination of Fe(III) and total Fe in wines by sequential injection analysis and flame atomic absorption spectrometry. Anal. Chim. Acta 2001, 438, 227–233. [Google Scholar] [CrossRef]
- Grotti, M.; Soggia, F.; Ardini, F.; Frache, R. Determination of sub-nanomolar levels of iron in sea-water using reaction cell inductively coupled plasma mass spectrometry after Mg(OH)2 coprecipitation. J. Anal. At. Spectrom. 2009, 24, 522–527. [Google Scholar] [CrossRef]
- Zheng, L.; Watson, D.; Tettey, J.; Clements, C. The determination of iron as its EDTA complex in Helix aspera by hydrophilic interaction liquid chromatography coupled to Fourier transform electrospray ionisation mass spectrometry. Talanta 2008, 76, 1165–1169. [Google Scholar] [CrossRef]
- Hu, X.; Pan, D.; Lin, M.; Han, H.; Li, F. Graphene oxide-assisted synthesis of bismuth nanosheets for catalytic stripping voltammetric determination of iron in coastal waters. Microchim. Acta 2016, 183, 855–861. [Google Scholar] [CrossRef]
- Caprara, S.; Laglera, L.M.; Monticelli, D. Ultrasensitive and fast voltammetric determination of iron in seawater by atmospheric oxygen catalysis in 500 μL samples. Anal. Chem. 2015, 87, 6357–6363. [Google Scholar] [CrossRef] [PubMed]
- You, G.R.; Park, G.J.; Lee, S.A.; Ryu, K.Y.; Kim, C. Chelate-type Schiff base acting as a colorimetric sensor for iron in aqueous solution. Sens. Actuat. B-Chem. 2015, 215, 188–195. [Google Scholar] [CrossRef]
- Goel, A.; Umar, S.; Nag, P.; Sharma, A.; Kumar, L.; Hossain, Z.; Gayen, J.R.; Nazir, A. A dual colorimetric-ratiometric fluorescent probe NAP-3 for selective detection and imaging of endogenous labile iron(III) pools in C. elegans. Chem. Commun. 2015, 51, 5001–5004. [Google Scholar] [CrossRef]
- Liu, J.M.; Wang, X.X.; Jiao, L.; Cui, M.L.; Lin, L.P.; Zhang, L.H.; Jiang, S.L. Ultra-sensitive non-aggregation colorimetric sensor for detection of iron based on the signal amplification effect of Fe3+ catalyzing H2O2 oxidize gold nanorods. Talanta 2013, 116, 199–204. [Google Scholar] [CrossRef]
- Singh, V.; Mishra, A.K. Green and cost-effective fluorescent carbon nanoparticles for the selective and sensitive detection of iron(III) ions in aqueous solution: Mechanistic insights and cell line imaging studies. Sens. Actuat. B-Chem. 2016, 227, 467–474. [Google Scholar] [CrossRef]
- Qu, Z.; Li, P.; Zhang, X.; Han, K. A turn-on fluorescent chemodosimeter based on detelluration for detecting ferrous iron (Fe2+) in living cells. J. Mater. Chem. B 2016, 4, 887–892. [Google Scholar] [CrossRef]
- Kumar, P.; Kumar, V.; Gupta, R. Arene-based fluorescent probes for the selective detection of iron. RSC Adv. 2015, 5, 97874–97882. [Google Scholar] [CrossRef]
- Pan, D.; Wang, Y.; Chen, Z.; Lou, T.; Qin, W. Nanomaterial/ionophore-based electrode for anodic stripping voltammetric determination of lead: An electrochemical sensing platform toward heavy metals. Anal. Chem. 2009, 81, 5088–5094. [Google Scholar] [CrossRef] [PubMed]
- Shervedani, R.K.; Hatefi-Mehrjardi, A. Sensitive determination of iron(III) by gold electrode modified with 2-mercaptosuccinic acid self-assembled monolayer. Anal. Chim. Acta 2007, 601, 164–171. [Google Scholar] [CrossRef] [PubMed]
- Son, S.U.; Jang, Y.; Park, J.; Na, H.B.; Park, H.M.; Yun, H.J.; Lee, J.; Hyeon, T. Designed synthesis of atom-economical Pd/Ni bimetallic nanoparticle-based catalysts for sonogashira coupling reactions. J. Am. Chem. Soc. 2004, 126, 5026–5027. [Google Scholar] [CrossRef]
- Wang, D.; Li, Y. Bimetallic nanocrystals: Liquid-phase synthesis and catalytic applications. Adv. Mater. 2011, 23, 1044–1060. [Google Scholar] [CrossRef]
- Wang, G.-H.; Hilgert, J.; Richter, F.H.; Wang, F.; Bongard, H.-J.; Spliethoff, B.; Weidenthaler, C.; Schüth, F. Platinum–cobalt bimetallic nanoparticles in hollow carbon nanospheres for hydrogenolysis of 5-hydroxymethylfurfural. Nat. Mater. 2014, 13, 293. [Google Scholar] [CrossRef] [PubMed]
- Kim, D.; Resasco, J.; Yu, Y.; Asiri, A.M.; Yang, P. Synergistic geometric and electronic effects for electrochemical reduction of carbon dioxide using gold–copper bimetallic nanoparticles. Nat. Commun. 2014, 5, 4948. [Google Scholar] [CrossRef] [PubMed] [Green Version]
- Chang, J.; Zhou, G.; Christensen, E.R.; Heideman, R.; Chen, J. Graphene-based sensors for detection of heavy metals in water: A review. Anal. Bioanal. Chem. 2014, 406, 3957–3975. [Google Scholar] [CrossRef]
- Molina, J.; Cases, F.; Moretto, L. Graphene-based materials for the electrochemical determination of hazardous ions. Anal. Chim. Acta 2016, 946, 9–39. [Google Scholar] [CrossRef] [PubMed]
- Ding, L.; Liu, Y.; Zhai, J.; Bond, A.M.; Zhang, J. Direct Electrodeposition of Graphene-Gold Nanocomposite Films for Ultrasensitive Voltammetric Determination of Mercury(II). Electroanalysis 2014, 26, 121–128. [Google Scholar] [CrossRef]
- Dar, R.A.; Khare, N.G.; Cole, D.P.; Karna, S.P.; Srivastava, A.K. Green synthesis of a silver nanoparticle–graphene oxide composite and its application for As(III) detection. RSC Adv. 2014, 4, 14432–14440. [Google Scholar] [CrossRef]
- Pan, F.; Chen, D.; Zhuang, X.; Wu, X.; Luan, F.; Zhang, S.; Wei, J.; Xia, S.; Li, X. Fabrication of gold nanoparticles/l-cysteine functionalized graphene oxide nanocomposites and application for nitrite detection. J. Alloys Compd. 2018, 744, 51–56. [Google Scholar] [CrossRef]
- Sitko, R.; Janik, P.; Zawisza, B.; Talik, E.; Margui, E.; Queralt, I. Green approach for ultratrace determination of divalent metal ions and arsenic species using total-reflection X-ray fluorescence spectrometry and mercapto-modified graphene oxide nanosheets as a novel adsorbent. Anal. Chem. 2015, 87, 3535–3542. [Google Scholar] [CrossRef]
- Fan, L.; Luo, C.; Sun, M.; Li, X.; Qiu, H. Highly selective adsorption of lead ions by water-dispersible magnetic chitosan/graphene oxide composites. Colloids Surf. B 2013, 103, 523–529. [Google Scholar] [CrossRef] [PubMed]
- Amin, H.M.; El-Kady, M.F.; Atta, N.F.; Galal, A. Gold Nanoparticles Decorated Graphene as a High Performance Sensor for Determination of Trace Hydrazine Levels in Water. Electroanalysis 2018, 30, 1757–1766. [Google Scholar] [CrossRef]
- Wang, H.; Bo, X.; Zhang, Y.; Guo, L. Sulfur-doped ordered mesoporous carbon with high electrocatalytic activity for oxygen reduction. Electrochim. Acta 2013, 108, 404–411. [Google Scholar] [CrossRef]
- Bas, S.Z. Gold nanoparticle functionalized graphene oxide modified platinum electrode for hydrogen peroxide and glucose sensing. Mater. Lett. 2015, 150, 20–23. [Google Scholar] [CrossRef]
- Yu, H.; Xu, P.; Lee, D.-W.; Li, X. Porous-layered stack of functionalized AuNP–rGO (gold nanoparticles–reduced graphene oxide) nanosheets as a sensing material for the micro-gravimetric detection of chemical vapor. J. Mater. Chem. A 2013, 1, 4444–4450. [Google Scholar] [CrossRef]
- Zhou, J.; Chen, M.; Diao, G. Assembling gold and platinum nanoparticles on resorcinarene modified graphene and their electrochemical applications. J. Mater. Chem. A 2013, 1, 2278–2285. [Google Scholar] [CrossRef]
- Zhou, Q.; Zhang, Y.; Peng, H.F.; Ke, C.H.; Huang, H.Q. Toxicological responses of the hard clam Meretrix meretrix exposed to excess dissolved iron or challenged by Vibrio parahaemolyticus. Aquat. Toxicol. 2014, 156, 240–247. [Google Scholar] [CrossRef] [PubMed]
- Yan, X.; Gu, Y.; Li, C.; Zheng, B.; Li, Y.; Zhang, T.; Zhang, Z.; Yang, M. Morphology-controlled synthesis of Bi2S3 nanorods-reduced graphene oxide composites with high-performance for electrochemical detection of dopamine. Sens. Actuat. B-Chem. 2018, 257, 936–943. [Google Scholar] [CrossRef]
- Kamal, A.; Kumar, S.; Kumar, V.; Mahajan, R.K. Selective sensing ability of ferrocene appended quinoline-triazole derivative toward Fe (III) ions. Sens. Actuat. B-Chem. 2015, 221, 370–378. [Google Scholar] [CrossRef]
- Ayranci1, R.; Ak, M. An electrochemical sensor platform for sensitive detection of iron (III) ions based on pyrene-substituted poly(2,5-dithienylpyrrole). J. Electrochem. Soc. 2019, 166, B291–B296. [Google Scholar] [CrossRef]
- Qian, J.; Huang, N.; Lu, Q.; Wen, C.; Xia, J. A novel D-A-D-typed rod-like fluorescent material for efficient Fe(III) and Cr(VI) detection: Synthesis, structure and properties. Sens. Actuat. B-Chem. 2020, 320, 128377. [Google Scholar] [CrossRef]
- Zhang, W.; Gan, J. Synthesis of blue-photoluminescent graphene quantum dots/polystyrenic anion-exchange resin for Fe(III) detection. Appl. Surf. Sci. 2016, 372, 145–151. [Google Scholar] [CrossRef]
- Chen, M.; An, J.; Hu, Y.; Chen, R.; Lyu, Y.; Hu, N.; Luo, M.; Yuan, M.; Liu, Y. Swelling-shrinking modified hyperstatic hydrophilic perovskite polymer fluorescent beads for Fe(III) detection. Sens. Actuat. B-Chem. 2020, 325, 128809. [Google Scholar] [CrossRef]
- Pourreza, N.; Ghomi, M. In situ synthesized and embedded silver nanoclusters into poly vinyl alcohol-borax hydrogel as a novel dual mode “on and off” fluorescence sensor for Fe (III) and thiosulfate. Talanta 2018, 179, 92–99. [Google Scholar] [CrossRef]






| Modified Nanomaterials | Linear Range (μM) | Detection Limit (μM) | Ref. |
|---|---|---|---|
| FAQT a | 5–100 | 0.23 | [1] |
| P(TPP) b | 0.1–100 | 0.173 | [2] |
| DPYBT c | 3.8–7.2 | 3.04 | [3] |
| GQD/PS-AER d | 1–7 | 0.65 | [4] |
| CPB@PSAA e | 5–150 | 2.2 | [5] |
| AgNCs-PBH f | 0.14–27 | 0.045 | [6] |
| Au-BiNPs/SH-GO | 0.5–50 | 0.07 | This work |
| Samples | Added (µM) | Detected (µM) | ICP-MS (µM) | Recovery (%, n = 5) | RSD (%) |
|---|---|---|---|---|---|
| Lake water | 0 | 4.04 ± 0.08 | 4.10 | - | 1.98 |
| 0.3 | 4.32 ± 0.12 | 4.42 | 93.3 | 2.77 | |
| 3 | 6.86 ± 0.07 | 7.01 | 94.0 | 1.02 | |
| 30 | 35.07 ± 0.20 | 35.33 | 103.4 | 0.57 | |
| Seawater | 0 | 2.15 ± 0.03 | 2.08 | - | 1.40 |
| 0.3 | 2.42 ± 0.04 | 2.37 | 90.0 | 1.65 | |
| 3 | 5.16 ± 0.11 | 5.14 | 100.3 | 2.13 | |
| 30 | 31.87 ± 0.64 | 31.85 | 98.2 | 2.01 |
Publisher’s Note: MDPI stays neutral with regard to jurisdictional claims in published maps and institutional affiliations. |
© 2021 by the authors. Licensee MDPI, Basel, Switzerland. This article is an open access article distributed under the terms and conditions of the Creative Commons Attribution (CC BY) license (https://creativecommons.org/licenses/by/4.0/).
Share and Cite
Zhou, N.; Li, J.; Wang, S.; Zhuang, X.; Ni, S.; Luan, F.; Wu, X.; Yu, S. An Electrochemical Sensor Based on Gold and Bismuth Bimetallic Nanoparticles Decorated L-Cysteine Functionalized Graphene Oxide Nanocomposites for Sensitive Detection of Iron Ions in Water Samples. Nanomaterials 2021, 11, 2386. https://doi.org/10.3390/nano11092386
Zhou N, Li J, Wang S, Zhuang X, Ni S, Luan F, Wu X, Yu S. An Electrochemical Sensor Based on Gold and Bismuth Bimetallic Nanoparticles Decorated L-Cysteine Functionalized Graphene Oxide Nanocomposites for Sensitive Detection of Iron Ions in Water Samples. Nanomaterials. 2021; 11(9):2386. https://doi.org/10.3390/nano11092386
Chicago/Turabian StyleZhou, Na, Jing Li, Shaoxia Wang, Xuming Zhuang, Shouqing Ni, Feng Luan, Xuran Wu, and Shunyang Yu. 2021. "An Electrochemical Sensor Based on Gold and Bismuth Bimetallic Nanoparticles Decorated L-Cysteine Functionalized Graphene Oxide Nanocomposites for Sensitive Detection of Iron Ions in Water Samples" Nanomaterials 11, no. 9: 2386. https://doi.org/10.3390/nano11092386
APA StyleZhou, N., Li, J., Wang, S., Zhuang, X., Ni, S., Luan, F., Wu, X., & Yu, S. (2021). An Electrochemical Sensor Based on Gold and Bismuth Bimetallic Nanoparticles Decorated L-Cysteine Functionalized Graphene Oxide Nanocomposites for Sensitive Detection of Iron Ions in Water Samples. Nanomaterials, 11(9), 2386. https://doi.org/10.3390/nano11092386

