Sign in to use this feature.

Years

Between: -

Subjects

remove_circle_outline
remove_circle_outline
remove_circle_outline
remove_circle_outline
remove_circle_outline
remove_circle_outline
remove_circle_outline
remove_circle_outline
remove_circle_outline

Journals

remove_circle_outline
remove_circle_outline
remove_circle_outline
remove_circle_outline
remove_circle_outline
remove_circle_outline
remove_circle_outline
remove_circle_outline
remove_circle_outline
remove_circle_outline
remove_circle_outline

Article Types

Countries / Regions

remove_circle_outline
remove_circle_outline
remove_circle_outline
remove_circle_outline

Search Results (665)

Search Parameters:
Keywords = ARPE-19

Order results
Result details
Results per page
Select all
Export citation of selected articles as:
21 pages, 966 KB  
Article
EPO-R76E Enhances Retinal Pigment Epithelium Viability Under Mitochondrial Oxidative Stress Induced by Paraquat
by Jemima Alam, Alekhya Ponnam, Arusmita Souvangini, Sundaramoorthy Gopi, Cristhian J. Ildefonso and Manas R. Biswal
Cells 2025, 14(22), 1794; https://doi.org/10.3390/cells14221794 - 14 Nov 2025
Abstract
Age-related macular degeneration (AMD) is a leading cause of irreversible vision loss, primarily driven by oxidative stress–induced degeneration of retinal pigment epithelium (RPE). Erythropoietin (EPO), a hematopoietic cytokine with neuroprotective properties, has been shown to reduce apoptosis and retinal degeneration. In this study, [...] Read more.
Age-related macular degeneration (AMD) is a leading cause of irreversible vision loss, primarily driven by oxidative stress–induced degeneration of retinal pigment epithelium (RPE). Erythropoietin (EPO), a hematopoietic cytokine with neuroprotective properties, has been shown to reduce apoptosis and retinal degeneration. In this study, we examined the cytoprotective role of a non-erythropoietic EPO variant, EPO-R76E, in suppressing oxidative stress and mitochondrial dysfunction related to oxidative stress in RPE cells. Stable ARPE-19 cell lines expressing EPO-R76E were generated via lentiviral transduction and exposed to paraquat to induce oxidative stress. Oxidative stress was induced using paraquat. EPO-R76E expression conferred increased cell viability and resistance to mitochondrial damage, as assessed by cytotoxicity assays. Western blot analysis revealed reduced expression of ferritin and p62/SQSTM1, diminished activation of p-AMPK and NRF2, and restoration of GPX4 levels, indicating enhanced antioxidant defenses. Moreover, intracellular iron accumulation and reactive oxygen species were significantly reduced in EPO-R76E-expressing cells exposed to paraquat. These findings suggest that EPO-R76E promotes mitochondrial homeostasis and modulates oxidative stress pathways. Our study positions EPO-R76E as a promising therapeutic candidate for halting RPE degeneration in AMD. Full article
17 pages, 21452 KB  
Article
Limosilactobacillus fermentum IOB802 Protects Against Blue Light-Induced Retinopathy via Gut Microbiota Modulation
by Chen Liu, Yuqi Zhao, Jia Li, Shiqi Gao, Jin Cao, Na Jing, Xuemei Han, Hongpeng He, Wu Liang and Nan Wang
Nutrients 2025, 17(22), 3517; https://doi.org/10.3390/nu17223517 - 11 Nov 2025
Viewed by 196
Abstract
Background: Blue light-induced retinal photodamage represents a growing public health concern globally. Lactic acid bacteria and their bioactive metabolites represent a promising therapeutic strategy for mitigating such damage. Methods: This study evaluated the protective efficacy of Limosilactobacillus fermentum IOB802 and Lactobacillus plantarum subsp. [...] Read more.
Background: Blue light-induced retinal photodamage represents a growing public health concern globally. Lactic acid bacteria and their bioactive metabolites represent a promising therapeutic strategy for mitigating such damage. Methods: This study evaluated the protective efficacy of Limosilactobacillus fermentum IOB802 and Lactobacillus plantarum subsp. plantarum IOB602 against blue light-induced retinal injury using both in vitro and in vivo models. Results: In ARPE-19 cells exposed to blue light, treatment with postbiotics from IOB802 and IOB602 significantly restored cell viability (p < 0.05), enhanced antioxidant enzyme activities (GSH-Px, SOD, and CAT, p < 0.05), and reduced inflammatory cytokine levels (IL-6, IL-1β, TNF-α, and VEGF, p < 0.05). Subsequent validation in a murine blue light-induced retinal damage model demonstrated that IOB802 notably preserved retinal architecture, upregulated antioxidant defenses, and promoted the expression of tight junction proteins. Mechanistically, IOB802 suppressed inflammation by inhibiting the phosphorylation of the IκBα/NF-κB pathway. Through 16S rDNA sequencing and short-chain fatty acid (SCFA) profiling, IOB802 was further shown to restore gut microbial diversity, increase beneficial bacteria, including Lachnospiraceae, Rikenellaceae, and Bacteroidaceae (p < 0.05), and elevate concentrations of key SCFAs (butyrate, acetate, and propionate; p < 0.05), underscoring the role of the gut–retina axis in mediating retinal protection. Conclusions: In summary, IOB802 and its postbiotics alleviate blue light-induced retinopathy through antioxidative, anti-inflammatory, and microbiota-modulating mechanisms, offering novel insights into microbiome-based interventions for retinal diseases. Full article
(This article belongs to the Special Issue Fermented Foods and Health Modulation)
Show Figures

Figure 1

16 pages, 1942 KB  
Article
Anticancer Effects and Phytochemical Profile of Lavandula stoechas
by Hatice Sevim Nalkiran and Ihsan Nalkiran
Pharmaceuticals 2025, 18(11), 1706; https://doi.org/10.3390/ph18111706 - 10 Nov 2025
Viewed by 122
Abstract
Background/Objectives: Lavandula stoechas has reported bioactivities, but its selective anticancer potential in human models remains insufficiently defined. This study aimed to compare cytotoxicity and selectivity of ethanol and methanol extracts prepared from fresh and dried L. stoechas and to profile candidate bioactive [...] Read more.
Background/Objectives: Lavandula stoechas has reported bioactivities, but its selective anticancer potential in human models remains insufficiently defined. This study aimed to compare cytotoxicity and selectivity of ethanol and methanol extracts prepared from fresh and dried L. stoechas and to profile candidate bioactive metabolites. Methods: Aerial parts Lavandula stoechas L. subsp. stoechas (L. stoechas L.) were extracted with ethanol or methanol from fresh (LsFE, LsFM) and dried (LsDE, LsDM) material. Cytotoxicity was assessed in cancer (MDA-MB-231, T98G, RT4) and non-malignant (hGF, ARPE-19) cells using Hoechst 33342-stained nuclear counts and MTS viability at 24–48 h. Metabolite identification was performed using LC–QTOF–MS in both positive and negative ESI modes, supported by database search results. Results: All extracts reduced viability in a dose- and time-dependent manner. Among them, the ethanol extract from fresh material (LsFE) displayed the highest cytotoxic potency and the most favorable selectivity profile, markedly reducing viability in breast (MDA-MB-231) and glioblastoma (T98G) cells while exerting only mild effects on non-malignant fibroblast (hGF) and retinal epithelial (ARPE-19) cells. In contrast, extracts from dried material, particularly LsDE, showed broader cytotoxicity across both cancerous and non-cancerous lines. LC–MS highlighted sesquiterpenoids (Kikkanol A; 3(4→5)-Abeo-4,11:4,12-diepoxy-3-eudesmanol), phenolics (tyrosol; 3,4-dihydroxybenzoic acid), flavonoid/ionone derivatives (luteolin 5,3′-dimethyl ether; 3-hydroxy-β-ionone), oxidized fatty acids (9(S)-HpODE, α-EpODE, 5,12-dihydroxy-eicosatetraenoic acid), and jasmonates (12-hydroxyjasmonic acid; dihydrojasmonic acid methyl ester), especially enriched in LsFE. Conclusions: Ethanol extracts of L. stoechas L., especially LsFE, demonstrated selective cytotoxicity against cancer cells while exerting relatively mild effects on non-malignant cells. The metabolite profile of L. stoechas L. extracts revealed a diverse composition, including phenolics, terpenoids, flavonoids, and oxidized lipids, which are commonly associated with biological activity. These results suggest that LsFE is a promising candidate for further studies focusing on compound isolation and mechanistic analysis. Full article
(This article belongs to the Section Natural Products)
Show Figures

Graphical abstract

16 pages, 2735 KB  
Article
From Invariance to Symmetry Breaking in FIM-Aware Cooperative Heterogeneous Agent Networks
by Jihua Dou, Kunpeng Ouyang, Zefei Wu, Zhixin Hu, Jianxin Lin and Huachuan Wang
Symmetry 2025, 17(11), 1899; https://doi.org/10.3390/sym17111899 - 7 Nov 2025
Viewed by 302
Abstract
We recast cooperative localization and scheduling in heterogeneous multi-agent systems through the lens of symmetry and symmetry breaking. On the geometric side, the Fisher Information Matrix (FIM) objective is invariant to rigid Euclidean transformations of the global frame, while its maximization admits symmetric [...] Read more.
We recast cooperative localization and scheduling in heterogeneous multi-agent systems through the lens of symmetry and symmetry breaking. On the geometric side, the Fisher Information Matrix (FIM) objective is invariant to rigid Euclidean transformations of the global frame, while its maximization admits symmetric optimal sensor formations; on the algorithmic side, heterogeneity and task constraints break permutation symmetry across agents, requiring policies that are sensitive to role asymmetries. We model communication as a random graph and quantify structural symmetry via topology metrics (average path length, clustering, betweenness) and graph automorphism-related indices, connecting these to estimation uncertainty. We then design a hybrid reward for reinforcement learning (RL) that is equivariant to agent relabeling within roles yet intentionally introduces asymmetry through distance/FIM terms to avoid degenerate symmetric configurations with poor observability. Simulations show that (i) symmetry-aware, FIM-optimized path planning reduces localization error versus symmetric but non-informative placements; and (ii) controlled symmetry breaking in policy learning improves robustness and data rate–reward trade-offs over baselines. Our results position symmetry/asymmetry as first-class design principles that unify estimation-theoretic invariances with learning-based coordination in complex heterogeneous networks. Under DDPG training, the total data rate (SDR) reaches 6.63±0.97 and the average reward per step (ARPS) is 80.70±6.94, representing improvements of approximately 11.8% over the baseline (5.93±3.51) and 11.1% over SAC (5.97±2.66), respectively. The network’s mean shortest-path length is L=1.721, and the average betweenness centrality of the coordination nodes is ≈0.098. Moreover, the FIM-optimized path-planning strategy achieves the lowest localization error among all evaluated policies. Full article
Show Figures

Figure 1

13 pages, 1481 KB  
Article
Distinct 2D p(2 × 2) Sn/Cu(111) Superstructure at Low Temperature: Experimental Characterization and DFT Calculations of Its Geometry and Electronic Structure
by Xihui Liang, Dah-An Luh and Cheng-Maw Cheng
Nanomaterials 2025, 15(21), 1684; https://doi.org/10.3390/nano15211684 - 6 Nov 2025
Viewed by 290
Abstract
Atomically precise control of metal adatoms on metal surfaces is critical for designing novel low-dimensional materials, and the Sn-Cu(111) system is of particular interest due to the potential of stanene in topological physics. However, conflicting reports on Sn-induced superstructures on Cu(111) highlight the [...] Read more.
Atomically precise control of metal adatoms on metal surfaces is critical for designing novel low-dimensional materials, and the Sn-Cu(111) system is of particular interest due to the potential of stanene in topological physics. However, conflicting reports on Sn-induced superstructures on Cu(111) highlight the need for clarifying their geometric and electronic properties at low temperatures. We employed scanning tunneling microscopy (STM), low-energy electron diffraction (LEED), angle-resolved photoemission spectroscopy (ARPES), and density functional theory (DFT) to investigate submonolayer (<0.25 ML) Sn adsorption on Cu(111) at 100 K. We confirmed a p(2 × 2) Sn/Cu(111) superstructure with one Sn atom per unit cell and found that Sn preferentially occupies three-fold hcp sites. ARPES measurements of the band structure—including a ~0.3 eV local gap between two specific bands at the Γ¯2 point in a metallic overall electronic structure—were in good agreement with the DFT results. Notably, the STM-observed p(2 × 2) morphology differs from the honeycomb-like or buckled stanene structures reported on Cu(111), which highlights the intricate interactions between adatoms and the substrate. Full article
(This article belongs to the Special Issue Surface and Interfacial Sciences of Low-Dimensional Nanomaterials)
Show Figures

Figure 1

15 pages, 933 KB  
Article
Biological Activities and Phenolic Profile of Bursera microphylla A. Gray: Study of the Magdalena Ecotype
by Heriberto Torres-Moreno, Julio César López-Romero, Max Vidal-Gutiérrez, Karen Lillian Rodríguez-Martínez, Ramón E. Robles Zepeda, Wagner Vilegas and Ailyn Oros-Morales
Plants 2025, 14(21), 3357; https://doi.org/10.3390/plants14213357 - 2 Nov 2025
Viewed by 547
Abstract
Bursera microphylla A. Gray (Burseraceae) is a medicinal plant native to Sonora, Mexico, with antioxidant, anti-inflammatory, and antiproliferative properties. However, the pharmacological potential of its ecotypes remains underexplored. This study evaluated the biological activity and chemical composition of ethanolic extracts from the fruit [...] Read more.
Bursera microphylla A. Gray (Burseraceae) is a medicinal plant native to Sonora, Mexico, with antioxidant, anti-inflammatory, and antiproliferative properties. However, the pharmacological potential of its ecotypes remains underexplored. This study evaluated the biological activity and chemical composition of ethanolic extracts from the fruit and stem of the Magdalena ecotype. Total phenolic content was quantified using the Folin–Ciocalteu method, and phenolic profiles were characterized by ESI-IT-MS. Antioxidant activity was assessed by DPPH and FRAP assays; anti-inflammatory activity was evaluated by measuring nitric oxide (NO) and tumor necrosis factor-alpha (TNF-α) levels in LPS-activated RAW 264.7 macrophages. Antiproliferative activity was tested against LS180, C-33 A, and ARPE-19 cell lines using the MTT assay. Fruit extract exhibited higher phenolic content (180.6 ± 22.0 mg GAE/g) and ferric-reducing power (FRAP = 2034.3 ± 89.7 μM Fe(II)/g), whereas the stem extract showed stronger DPPH scavenging capacity (IC50 = 52.9 ± 0.02 μg/mL). For the first time, gallic acid glucoside, kaempferol rhamnoside, quercetin rhamnoside, and isorhamentin xyloside were identified in B. microphylla fruit extract. Furthermore, the fruit extract significantly reduced NO production (93.6 ± 4.6 μg/mL) and TNF-α levels (IC50 = 101.5 ± 9.1 μg/mL). It also showed strong cytotoxicity against C-33 A (IC50 = 0.6 ± 0.07 μg/mL) and LS180 (0.7 ± 0.01 μg/mL), with lower cytotoxicity in ARPE-19 cells (77.9 ± 4.3 μg/mL). These findings highlight the therapeutic potential of the Magdalena ecotype, likely associated with its phenolic and other bioactive metabolites that require further investigation. Full article
(This article belongs to the Special Issue Advanced Research in Plant Analytical Chemistry)
Show Figures

Figure 1

17 pages, 3609 KB  
Article
Nrf2 Activated by PD-MSCs Attenuates Oxidative Stress in a Hydrogen Peroxide-Injured Retinal Pigment Epithelial Cell Line
by Se Jin Hong, Dae-Hyun Lee, Jeong Woo Choi, Hankyu Lee, Youngje Sung and Gi Jin Kim
Antioxidants 2025, 14(11), 1279; https://doi.org/10.3390/antiox14111279 - 25 Oct 2025
Viewed by 606
Abstract
Age-related macular degeneration (AMD) is a retinal degenerative disease caused by oxidative stress. Thus, we aimed to reduce oxidative stress through the use of placenta-derived mesenchymal stem cells (PD-MSCs). To induce oxidative stress in ARPE-19 cells, we treated them with 200 µM hydrogen [...] Read more.
Age-related macular degeneration (AMD) is a retinal degenerative disease caused by oxidative stress. Thus, we aimed to reduce oxidative stress through the use of placenta-derived mesenchymal stem cells (PD-MSCs). To induce oxidative stress in ARPE-19 cells, we treated them with 200 µM hydrogen peroxide (H2O2) for 2 h and then cocultured them with PD-MSCs. The dissociation of the KEAP1/Nrf2 complex, along with the expression of phosphoinositide 3-kinase (PI3K) and protein kinase B (AKT), increased in the coculture group compared with the H2O2 treatment group (* p < 0.05). The expression levels of antioxidant genes increased in the cocultured group compared with those in the H2O2 treatment group (* p < 0.05), whereas the ROS levels decreased in the cocultured group (* p < 0.05). Additionally, both the expression of mitochondrial dynamics markers and the mitochondrial membrane potential increased when the cells were cocultured with PD-MSCs (* p < 0.05). PD-MSC cocultivation decreased the expression levels of lipoproteins (* p < 0.05). Finally, we confirmed that PD-MSCs promoted the expression of RPE-specific genes in H2O2-injured ARPE-19 cells (* p < 0.05). These findings suggest a new aspect of stem cell treatment for AMD induced by oxidative stress. Full article
Show Figures

Figure 1

15 pages, 2274 KB  
Article
Structural Characterization and Antioxidant Activity of Chondroitin Sulfate Derived from Channa argus in Changbai Mountain
by Siyu An, Xu Zhang, Xiaoqin Wan, Wei Bing, Linlin Zhang, Yue Xiang, Wei An and Changhui Zhao
Foods 2025, 14(21), 3588; https://doi.org/10.3390/foods14213588 - 22 Oct 2025
Viewed by 384
Abstract
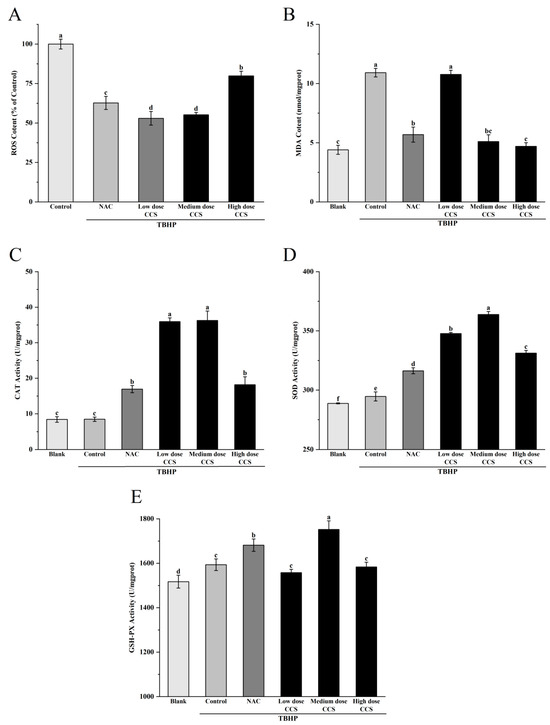
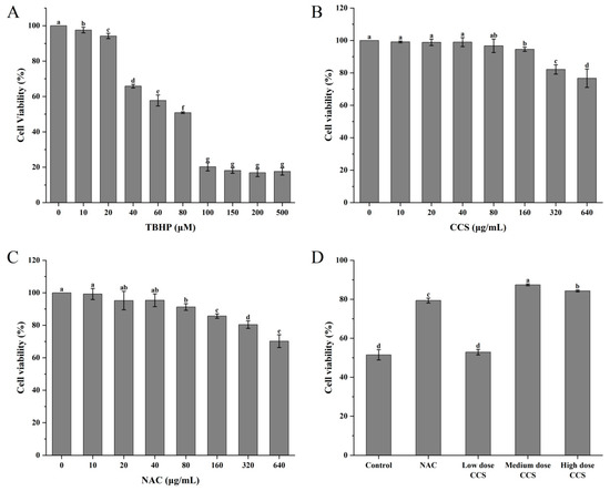
Chondroitin sulfate (CS), commonly derived from animal cartilages, is a glycosaminoglycan with various bioactivities. This study employed an alkaline-enzyme method to prepare CS derived from Channa argus (referred to as CCS), using the heads and spines, which are food processing byproducts, as raw [...] Read more.
Chondroitin sulfate (CS), commonly derived from animal cartilages, is a glycosaminoglycan with various bioactivities. This study employed an alkaline-enzyme method to prepare CS derived from Channa argus (referred to as CCS), using the heads and spines, which are food processing byproducts, as raw materials. Following this, we characterized its structure using HPLC, GPC, FTIR, and NMR and evaluated its antioxidant activity based on a TBHP-induced oxidative stress cell model. Structural analysis revealed that the CCS had a molecular weight of 5.09 kDa and was primarily composed of glucose and galactose units, featuring acetylated glucuronic acid–galactan chains with mixed α/β-glycosidic bonds. In vitro cellular antioxidant assays showed that CCS (80 μg/mL) significantly protected ARPE-19 cells against TBHP-induced oxidative damage by reducing ROS and MDA levels while enhancing the activity of typical antioxidant enzymes (CAT, SOD and GSH-Px). These findings indicate that CS derived from the byproduct of Channa argus processing has notable antioxidant properties and could serve as a promising food supplement for health applications. Full article
Show Figures

Figure 1

20 pages, 4504 KB  
Article
Comparative Transcriptomics Analyses Identify DDX43 as a Cellular Regulator Involved in Suppressing HSV-2 Replication
by Ranqing Cheng, Yuncheng Li, Yuhao Chen, Mudan Zhang, Qinxue Hu and Yalan Liu
Viruses 2025, 17(10), 1366; https://doi.org/10.3390/v17101366 - 13 Oct 2025
Viewed by 555
Abstract
HSV-2 is the main pathogen causing genital herpes, and its infection increases the infection and transmission of HIV-1. Currently, there are no vaccines to prevent HSV-2 infection or treatment that can fully cure it. Mining key host factors that regulate HSV-2 replication and [...] Read more.
HSV-2 is the main pathogen causing genital herpes, and its infection increases the infection and transmission of HIV-1. Currently, there are no vaccines to prevent HSV-2 infection or treatment that can fully cure it. Mining key host factors that regulate HSV-2 replication and elucidating their specific regulatory mechanisms are crucial for understanding virus–host interactions and discovering new antiviral targets. In the current study, we identified DDX43 as a cellular factor involved in the suppression of HSV-2 replication through comparative transcriptomic analyses of HSV-2-infected epithelial cells, followed by experimental validation. Comprehensive transcriptomic profiling revealed distinct host cellular gene expression patterns in HeLa and ARPE-19 cell lines post HSV-2 infection. Subsequent orthogonal partial least-squares discriminant analysis (OPLS-DA) pinpointed DDX43 as one of the principal mediators distinguishing the host response between HSV-2-infected HeLa and ARPE-19 cells. Furthermore, overexpression of DDX43 inhibited HSV-2 replication, whereas knockdown of endogenous DDX43 enhanced HSV-2 replication. Additional experiments revealed that human DDX43 inhibits HSV-2 replication in an interferon-independent manner. This study demonstrates that DDX43 serves as a host regulator against HSV-2 infection, underscoring the power of comparative transcriptomics in identifying novel host proteins that modulate viral replications. Full article
(This article belongs to the Special Issue Cellular Restriction Factors against Viral Infection)
Show Figures

Figure 1

12 pages, 8802 KB  
Article
Protective Effect of Curcumin in Oxidative Stress-Induced Injury on Retinal Pigment Epithelial Cells
by Hyo Seon Yu, Heeyoon Cho, Yong Un Shin, Eun Hee Hong and Seong-Ho Koh
J. Clin. Med. 2025, 14(20), 7153; https://doi.org/10.3390/jcm14207153 - 10 Oct 2025
Viewed by 552
Abstract
Background/Objectives: Oxidative stress is the major cause of retinal pigment epithelial cell death. We used oxidative stress-injured retinal pigment epithelial cells to investigate the protective effects of curcumin, a strong antioxidant, on the Nod-like receptor protein 3 (NLRP3) inflammasome pathway. Methods: [...] Read more.
Background/Objectives: Oxidative stress is the major cause of retinal pigment epithelial cell death. We used oxidative stress-injured retinal pigment epithelial cells to investigate the protective effects of curcumin, a strong antioxidant, on the Nod-like receptor protein 3 (NLRP3) inflammasome pathway. Methods: To evaluate the effect of curcumin, cell viability was measured with cell counting kit-8 and lactate dehydrogenase assays. Hydrogen peroxide (H2O2)-injured ARPE-19 cells were treated with different curcumin concentrations. We performed a wound healing assay and dichlorodihydrofluorescein diacetate staining. Western blotting and immunofluorescence staining were performed to evaluate the changes in inflammasome levels in the ARPE-19 cells. Result: H2O2 (300 μM) reduced the viability of ARPE-19 cells. However, treatment with 7.5 μM curcumin enhanced ARPE-19 cell viability and reduced cell toxicity. Curcumin also reduced reactive oxygen species (ROS) levels in the H2O2-induced damaged ARPE-19 cells and attenuated the H2O2-dependent levels of the NLRP3 inflammasome and its related signaling proteins. Conclusions: Curcumin demonstrated protective effects against oxidative stress in retinal pigment epithelial cells by attenuating the activation of the NLRP3 inflammasome pathway. These findings suggest the therapeutic potential of curcumin as an anti-inflammatory and antioxidant agent for macular degeneration. Full article
(This article belongs to the Section Ophthalmology)
Show Figures

Figure 1

18 pages, 3145 KB  
Article
CRISPR/Cas9-Mediated Targeted Mutagenesis of GmAS1/2 Genes Alters Leaf Shape in Soybean
by Juan Xu, Mengyue Pan, Yu Zhu, Peiguo Wang, Liwei Jiang, Dami Xu, Xinyang Wang, Limiao Chen, Wei Guo, Hongli Yang and Dong Cao
Int. J. Mol. Sci. 2025, 26(19), 9657; https://doi.org/10.3390/ijms26199657 - 3 Oct 2025
Viewed by 512
Abstract
ASYMMETRIC LEAVES1 (AS1) and AS2 play essential roles in regulating leaf development in plants. However, their functional roles in soybean remain poorly understood. Here, we identified two members of the soybean AS1 gene family, GmAS1a and GmAS1c, which exhibit high [...] Read more.
ASYMMETRIC LEAVES1 (AS1) and AS2 play essential roles in regulating leaf development in plants. However, their functional roles in soybean remain poorly understood. Here, we identified two members of the soybean AS1 gene family, GmAS1a and GmAS1c, which exhibit high expression levels in stem and leaf tissues. Using the CRISPR/Cas9 system, we targeted four GmAS1 and three GmAS2 genes, generating mutant lines with distinct leaf development phenotypes, including wrinkling (refers to fine lines and creases on the leaf surface, like aged skin texture), curling (describes the inward or outward rolling of leaf edges, deviating from the typical flat shape), and narrow. We found that functional redundancy exists among the four GmAS1 genes in soybean. GmAS1 and GmAS2 cooperatively regulate leaf curling, leaf crinkling phenotypes, and leaf width in soybean, with functional redundancy also observed between these two genes. Transcriptome sequencing analysis of w3 mutant (as1b as1c as1d as2a as2b as2c) identified 1801 differentially expressed genes (DEGs), including 192 transcription factors (TFs). Gene ontology enrichment analysis revealed significant enrichment of DEGs in pathways associated with plant hormone biosynthesis and signal transduction. A detailed examination of the DEGs showed several genes involved in the development of leaf lateral organs, such as KNOX (SHOOT MERISTEMLESS (STM), KNAT1, KNAT2, and KNAT6), LOB (LBD25, LBD30), and ARP5, were down-regulated in w3/WT (wild-type) comparison. CRISPR/Cas9-mediated targeted mutagenesis of the GmAS1/2 genes significantly impairs leaf development and polarity establishment in soybean, providing valuable germplasm resources and a theoretical framework for future studies on leaf morphogenesis. Full article
(This article belongs to the Special Issue Genetics and Novel Techniques for Soybean Pivotal Characters)
Show Figures

Figure 1

16 pages, 5586 KB  
Article
Biocompatibility of Biomedical Materials: Reliability of Cell Viability Tests in the Context of Retinal Prostheses
by Anna Cieślik and Joanna Raczkowska
Appl. Sci. 2025, 15(19), 10684; https://doi.org/10.3390/app151910684 - 2 Oct 2025
Viewed by 541
Abstract
The biocompatibility of materials used in biomedical applications, especially those in direct contact with human tissue, is crucial to ensuring their safety. Ensuring material biocompatibility requires a wide range of in vitro and in vivo tests, with in vitro tests using cell culture [...] Read more.
The biocompatibility of materials used in biomedical applications, especially those in direct contact with human tissue, is crucial to ensuring their safety. Ensuring material biocompatibility requires a wide range of in vitro and in vivo tests, with in vitro tests using cell culture systems being the first step in biomaterial characterization. Among the commonly used methods for assessing cell viability are colorimetric tests, such as MTT and LDH assays. While these assays provide valuable information about cell viability, their results can be affected by biochemical substances. This study focused on evaluating the reliability of MTT and LDH assays in nicotinamide-supplemented medium, which optimized culture conditions for the differentiation of ARPE-19 cells. The results were compared with a live/dead viability test based on fluorescence staining, providing insight into the effectiveness of different cell viability assessment methods in this specific context. This research is important in developing biomaterials for retinal prostheses, where maintaining high biocompatibility is essential for successful implantation. Full article
Show Figures

Figure 1

19 pages, 1061 KB  
Systematic Review
Autologous Tooth-Derived Biomaterials in Alveolar Bone Regeneration: A Systematic Review of Clinical Outcomes and Histological Evidence
by Angelo Michele Inchingolo, Grazia Marinelli, Francesco Inchingolo, Roberto Vito Giorgio, Valeria Colonna, Benito Francesco Pio Pennacchio, Massimo Del Fabbro, Gianluca Tartaglia, Andrea Palermo, Alessio Danilo Inchingolo and Gianna Dipalma
J. Funct. Biomater. 2025, 16(10), 367; https://doi.org/10.3390/jfb16100367 - 1 Oct 2025
Viewed by 1220
Abstract
Background: Autologous tooth-derived grafts have recently gained attention as an innovative alternative to conventional biomaterials for alveolar ridge preservation (ARP) and augmentation (ARA). Their structural similarity to bone and osteoinductive potential support clinical use. Methods: This systematic review was conducted according to PRISMA [...] Read more.
Background: Autologous tooth-derived grafts have recently gained attention as an innovative alternative to conventional biomaterials for alveolar ridge preservation (ARP) and augmentation (ARA). Their structural similarity to bone and osteoinductive potential support clinical use. Methods: This systematic review was conducted according to PRISMA 2020 guidelines and registered in PROSPERO (CRD420251108128). A comprehensive search was performed in PubMed, Scopus, and Web of Science (2010–2025). Randomized controlled trials (RCTs), split-mouth, and prospective clinical studies evaluating autologous dentin-derived grafts were included. Two reviewers independently extracted data and assessed risk of bias using Cochrane RoB 2.0 (for RCTs) and ROBINS-I (for non-randomized studies). Results: Nine studies involving 321 patients were included. Autologous dentin grafts effectively preserved ridge dimensions, with horizontal and vertical bone loss significantly reduced compared to controls. Histomorphometric analyses reported 42–56% new bone formation within 4–6 months, with minimal residual graft particles and favorable vascularization. Implant survival ranged from 96–100%, with stable marginal bone levels and no major complications. Conclusions: Autologous tooth-derived biomaterials represent a safe, biologically active, and cost-effective option for alveolar bone regeneration, showing comparable or superior results to xenografts and autologous bone. Further standardized, long-term RCTs are warranted to confirm their role in clinical practice. Full article
(This article belongs to the Special Issue Property, Evaluation and Development of Dentin Materials)
Show Figures

Figure 1

19 pages, 3039 KB  
Article
A Sulfated Polysaccharide from Gelidium crinale Suppresses Oxidative Stress and Epithelial–Mesenchymal Transition in Cultured Retinal Pigment Epithelial Cells
by Yurong Fang, Haiyan Zheng, Yizhu Chen, Bomi Ryu and Zhong-Ji Qian
Mar. Drugs 2025, 23(10), 381; https://doi.org/10.3390/md23100381 - 26 Sep 2025
Viewed by 523
Abstract
Age-related macular degeneration (AMD) progresses to vision-threatening dry and wet forms, with no effective dry AMD treatments available. The sulfated polysaccharide (GNP, 25.8 kDa) derived from Gelidium crinale exhibits diverse biological activities and represents a potential source of novel therapeutic agents. This study [...] Read more.
Age-related macular degeneration (AMD) progresses to vision-threatening dry and wet forms, with no effective dry AMD treatments available. The sulfated polysaccharide (GNP, 25.8 kDa) derived from Gelidium crinale exhibits diverse biological activities and represents a potential source of novel therapeutic agents. This study employed a hydrogen peroxide (H2O2)-induced oxidative stress and epithelial–mesenchymal transition (EMT) model in retinal pigment epithelial (RPE) cells to investigate GNP’s protective mechanisms against both oxidative damage and EMT. The results demonstrated that GNP effectively suppressed oxidative stress, with the 600 μg/mL dose significantly inhibiting excessive reactive oxygen species (ROS) generation to levels comparable to untreated controls. Concurrently, at concentrations of 200–600 μg/mL, GNP inhibited NF-κB signaling and increased the Bax/Bcl-2 ratio, effectively counteracting H2O2-induced oxidative damage and cell apoptosis. Furthermore, in H2O2-treated ARPE-19 cells, 600 μg/mL GNP significantly reduced the secretion of N-cadherin (N-cad), Vimentin (Vim), and α-smooth muscle actin (α-SMA), while increasing E-cadherin (E-cad) expression, consequently inhibiting cell migration. Mechanistically, GNP activated the Nrf2/HO-1 pathway, thereby mitigating oxidative stress. These findings suggest that GNP may serve as a potential therapeutic agent for dry AMD. Full article
Show Figures

Figure 1

24 pages, 1208 KB  
Review
Autophagy-Related Proteins in Triple-Negative Breast Cancer: From Molecular Insights to Therapeutic Applications
by Meng-Ke Ma and Da-Qiang Li
Int. J. Mol. Sci. 2025, 26(18), 9231; https://doi.org/10.3390/ijms26189231 - 21 Sep 2025
Viewed by 1515
Abstract
Triple-negative breast cancer (TNBC) represents the most aggressive and therapeutically recalcitrant breast cancer subtype, exhibiting dismal clinical outcomes due to its intrinsic heterogeneity and lack of molecularly targeted treatment options. Emerging evidence has established the autophagy-related proteins (ARPs) as key regulators of TNBC [...] Read more.
Triple-negative breast cancer (TNBC) represents the most aggressive and therapeutically recalcitrant breast cancer subtype, exhibiting dismal clinical outcomes due to its intrinsic heterogeneity and lack of molecularly targeted treatment options. Emerging evidence has established the autophagy-related proteins (ARPs) as key regulators of TNBC pathogenesis, functioning not only as metabolic gatekeepers but also as multifaceted modulators of malignant transformation, disease progression, and therapeutic responsiveness. These proteins exert diverse functions in TNBC through both canonical autophagy-dependent pathways and non-canonical mechanisms. In this review, we critically examine the pleiotropic functions and molecular mechanisms of ARPs in TNBC progression and therapeutic responsiveness, with special emphasis on their context-dependent roles in both fortifying therapeutic resistance and, paradoxically, creating vulnerabilities for therapeutic exploitation. Full article
(This article belongs to the Special Issue Autophagic Related Proteins in Cancer)
Show Figures

Figure 1

Back to TopTop