Sign in to use this feature.

Years

Between: -

Subjects

remove_circle_outline
remove_circle_outline
remove_circle_outline
remove_circle_outline
remove_circle_outline

Journals

Article Types

Countries / Regions

Search Results (28)

Search Parameters:
Keywords = 1,2-dihydronaphthalene

Order results
Result details
Results per page
Select all
Export citation of selected articles as:
14385 KB  
Proceeding Paper
Kinetic Study of the Reaction Between 7-Methoxy-1-Tetralone and Glyoxylic Acid via Basic Catalysis
by Asley K. Robles, Elvia V. Cabrera, Michelle E. Herrera, Jhonny Correa-Abril and Ullrich Stahl
Chem. Proc. 2025, 18(1), 100; https://doi.org/10.3390/ecsoc-29-26702 - 11 Nov 2025
Viewed by 84
Abstract
The present study focuses on the kinetics of the Knoevenagel condensation reaction between 7-methoxy-1-tetralone (1) and glyoxylic acid (2), catalyzed by potassium tert-butoxide in tert-butanol as a solvent, using a batch-type system under nitrogen atmosphere. The objective of this study [...] Read more.
The present study focuses on the kinetics of the Knoevenagel condensation reaction between 7-methoxy-1-tetralone (1) and glyoxylic acid (2), catalyzed by potassium tert-butoxide in tert-butanol as a solvent, using a batch-type system under nitrogen atmosphere. The objective of this study was to synthesize the product (E)-2-(7-methoxy-1-oxo-3,4-dihydronaphthalen-2(1H)-ylidene) acetic acid (3). The reaction was conducted under controlled temperature conditions (65 °C, 75 °C and 85 °C), considering five specified time intervals to monitor its progress by thin layer chromatography (TLC) and high-performance liquid chromatography (HPLC). The kinetic data obtained was analyzed through three different mathematical methods: integral, differential, and nonlinear regression method, in order to determine the most suitable kinetic model. Applying the power law, the findings indicated that the pseudo-second order model, which was estimated via nonlinear regression, showed the best fit with the experimental data, characterized by minimal discrepancy between the calculated and observed values. The kinetic constants (k) obtained at temperatures of 65 °C, 75 °C and 85 °C were 0.89, 1.77 and 3.42 mL mmol−1 min−1, respectively. The pre-exponential factor (A) was calculated to be 2.194 × 1010 mL mmol−1 min−1, and the activation energy (Ea) was determined to be 67.22 kJ mol−1. The product yield at these temperatures was 17.01%, 81.40% and 72.59%, respectively. The final product was characterized by GC-MS, FTIR, and UV-Vis. In conclusion, the kinetic study of the reaction was able to determine the optimal Knoevenagel condensation reaction conditions between (3) and (2) catalyzed by potassium tert-butoxide, and to facilitate understanding of the mechanism involved. Full article
Show Figures

Figure 1

14 pages, 3635 KB  
Article
Aromatic Volatile Substances in Different Types of Guangnan Dixu Tea Based on HS-SPME-GC-MS Odor Activity Value
by Ying Feng, Di Tian, Chaoliang Wang, Yong Huang, Yang Luo, Xiuqiong Zhang and Lei Li
Metabolites 2025, 15(4), 257; https://doi.org/10.3390/metabo15040257 - 9 Apr 2025
Cited by 1 | Viewed by 1202
Abstract
Dixu tea is one of the characteristic tea germplasm resources of southeastern Yunnan, and is also a precious wild tea germplasm resource. Background: In order to further develop Dixu tea products and improve their flavor, this article studies the effects of different [...] Read more.
Dixu tea is one of the characteristic tea germplasm resources of southeastern Yunnan, and is also a precious wild tea germplasm resource. Background: In order to further develop Dixu tea products and improve their flavor, this article studies the effects of different processing methods on the aroma quality of Dixu tea. Methods: A comprehensive analysis of the aroma quality of Diwei tea was conducted using HS-SPME combined with GC-MS and multivariate statistical analysis. A principal component analysis (PCA) was applied to process the detected volatile substances and an orthogonal partial least squares-discriminant analysis (OPLS-DA) model was established. We evaluated the contribution of major compounds in the tea aroma by calculating the odor activity value (OAV). Results: The results showed that a total of 67 compounds were identified. A total of 27 major aromatic volatile compounds (OAV > 1) were screened, and 17 key differential volatile compounds were identified in different tea samples, including octanoic acid, d-citrol, laurene, hexanal, citral, β-cyclic citral, trans-2-hexenal, γ-nonanolide, β-ionone, geranylacetone, 1,1,6-trimethyl-1,2-dihydronaphthalene, geraniol, methyl salicylate, linalool, nerolidol, and 7,11-dimethyl-3-methylene-1,6,10-dodecatriene. Combined with the OAV analysis, it is shown that a floral fragrance is a common feature of Guangnan Dixu tea varieties. In addition, white tea also has a fragrant aroma, while black tea, green tea, and bamboo tube tea are all accompanied by a fruity aroma. Conclusions: In summary, processing techniques regulate the aroma characteristics of various types of tea by changing the types and contents of volatile aroma compounds. This provides a theoretical basis for exploring and utilizing tea production resources in the future. Full article
Show Figures

Figure 1

14 pages, 3041 KB  
Article
Effect of Drying Methods on Aroma Profiling of Large-Leaf Green Tea (Camellia sinensis var. Assamica) Determined by HS-SPME-GC-MS
by Zhengfei Luo, Linlong Ma, Yangtao Zhang, Yanhong Liu, Rui Yang, Xuean Dai, Tiantian Wang, Changmi Lv, Lifeng Zuo, Yanli Liu, Dan Cao, Haibo Yuan, Longfeng Yu and Xiaofang Jin
Foods 2025, 14(7), 1275; https://doi.org/10.3390/foods14071275 - 5 Apr 2025
Cited by 6 | Viewed by 1559
Abstract
Drying methods play a crucial role in the formation of green tea aromas. This study investigated the aroma characteristics and volatile component profiles of large-leaf green tea under hot-air drying, pan-fired drying, and sun drying. The results revealed significant differences in the sensory [...] Read more.
Drying methods play a crucial role in the formation of green tea aromas. This study investigated the aroma characteristics and volatile component profiles of large-leaf green tea under hot-air drying, pan-fired drying, and sun drying. The results revealed significant differences in the sensory aroma characteristics and volatile components of the large-leaf green tea among the three drying methods. The pan-fire-dried green tea (PDGT) exhibited a distinct roasted aroma, while the hot-air-dried green tea (HDGT) and sun-dried green tea (SDGT) displayed a faint scent and lasting aroma characteristics, with the SDGT additionally featuring a noticeable sun-dried odor. A total of 48 differential volatile components were identified, among which β-Ionone, (E)-β-Ionone, 2,2,6-Trimethylcyclohexanone, Dihydroactinidiolide, BenzeneacetAldehyde, 2-Pentylfuran, 1,1,6-Trimethyl-1,2-dihydronaphthalene, δ-Cadinene, β-Myrcene, Geranylacetone, o-Cymene, 6-Methyl-5-hepten-2-one, (E)-β-Ocimene, and BenzAldehyde were identified as the primary contributors to the aroma differences among the three large-leaf green teas. Additionally, 43 differential volatile compounds were found to be significantly correlated with at least one of the aroma types (floral, sweet, green, faint scent, nutty, or roasted). The findings of this study provide a theoretical foundation for understanding the formation of aroma qualities in large-leaf green tea and offer valuable insights for improving its aromatic characteristics. Full article
Show Figures

Figure 1

5 pages, 1277 KB  
Proceeding Paper
Kinetic Study of Acid-Catalyzed Knoevenagel Condensation Between 5-Methoxy-1-Tetralone and Glyoxylic Acid
by Michelle E. Herrera, Elvia V. Cabrera, Roger S. Guanoluisa and Ullrich Stahl
Chem. Proc. 2024, 16(1), 100; https://doi.org/10.3390/ecsoc-28-20255 - 15 Nov 2024
Viewed by 1099
Abstract
In this work we present, a kinetic study of the Knoevenagel condensation reaction between 5-methoxy-1-tetralone and glyoxylic acid, catalyzed by sulfuric acid, to produce (E)-2-(5-methoxy-1-oxo-3,4-dihydronaphthalen-2(1H)-ylidene)acetic acid. The reaction was carried out in a batch system at 400 rpm for [...] Read more.
In this work we present, a kinetic study of the Knoevenagel condensation reaction between 5-methoxy-1-tetralone and glyoxylic acid, catalyzed by sulfuric acid, to produce (E)-2-(5-methoxy-1-oxo-3,4-dihydronaphthalen-2(1H)-ylidene)acetic acid. The reaction was carried out in a batch system at 400 rpm for 24 h at temperatures of 75, 80 and 85 °C. The yields obtained at these temperatures were 90.30, 93.75 and 94.16%, respectively. The reaction was monitored by TLC and HPLC. For the kinetic analysis, three mathematical methods were used: integral, differential and non-linear regression. The results showed an excellent fit of the experimental data to the pseudo-first-order kinetic model. Full article
Show Figures

Figure 1

8 pages, 989 KB  
Communication
A (2-(Pyrrolidin-1-yl)ethan-1-olate)(1-oxo-3-phenyl-1,4-dihydronaphthalen-2-olate) μ-Oxo-Bridged Dicopper(II) Dimeric Complex
by Rylan Artis, Clifford W. Padgett, Kennedy Musso, Nathaniel Shank, Allison Marks and Brandon Quillian
Molbank 2024, 2024(3), M1846; https://doi.org/10.3390/M1846 - 5 Jul 2024
Cited by 1 | Viewed by 1842
Abstract
The reaction of 2-(1H-pyrrol-1-yl)ethanol with 3-hydroxyflavone in the presence of copper(II) bromide yielded a dimeric copper(II) complex, [μ-O-(κ2-O,O-flav)(κ2-N,O-2PEO)Cu]2 (1) (flav = 3-hydroxyflavonolate; 2PEO = 2-(1H-pyrrol-1-yl)ethanolate) with both the [...] Read more.
The reaction of 2-(1H-pyrrol-1-yl)ethanol with 3-hydroxyflavone in the presence of copper(II) bromide yielded a dimeric copper(II) complex, [μ-O-(κ2-O,O-flav)(κ2-N,O-2PEO)Cu]2 (1) (flav = 3-hydroxyflavonolate; 2PEO = 2-(1H-pyrrol-1-yl)ethanolate) with both the flav and 2PEO ligands bound to the copper(II) atom in a κ2-bonding mode. The dimer is held electrostatically by bridging oxygen atoms between two copper atoms. Complex 1 was characterized by single-crystal X-ray diffraction, infrared, and UV-Vis spectroscopy, elemental analysis, and melting point determination. The complex crystallizes in the monoclinic space group P21/n (14) with cell values of a = 11.85340(10) Å, b = 8.51480(10) Å, c = 23.8453(2) Å; β = 99.3920(10)°. Full article
Show Figures

Figure 1

6 pages, 1080 KB  
Short Note
1-(2,4-Dinitrophenyl)-2-((Z)-2-((E)-4-fluorobenzylidene)-3,4-dihydronaphthalen-1(2H)-ylidene)hydrazine
by Bakr F. Abdel-Wahab, Hanan A. Mohamed, Benson M. Kariuki and Gamal A. El-Hiti
Molbank 2024, 2024(1), M1789; https://doi.org/10.3390/M1789 - 11 Mar 2024
Viewed by 2141
Abstract
The reaction of (E)-2-(4-fluorobenzylidene)-3,4-dihydronaphthalen-1(2H)-one and (2,4-dinitrophenyl)hydrazine in boiling ethanol containing hydrochloric acid (0.2 mL; 37%) for 1.5 h gave 1-(2,4-dinitrophenyl)-2-(2-(4-fluorobenzylidene)-3,4-dihydronaphthalen-1(2H)-ylidene)hydrazine in a 90% yield. Various spectral analyses, including NMR, and X-ray crystallography established the structure of the newly synthesized hydrazone. Full article
Show Figures

Graphical abstract

10 pages, 5022 KB  
Article
Natural Products from Leaves of the Ancient Iranian Medicinal Plant Echium amoenum Fisch. & C. A. Mey.
by Mehdi Jafari Jamnani, Bjarte Holmelid, Anni Vedeler, Hoda Houshiar Parsian, Heidi Lie Andersen and Torgils Fossen
Molecules 2023, 28(1), 385; https://doi.org/10.3390/molecules28010385 - 2 Jan 2023
Cited by 7 | Viewed by 3551
Abstract
For several millennia, leaves of Echium amoenum Fisch. & C. A. Mey., an important Iranian medicinal plant with nutritional value as nutraceutical, have been used as tea for the treatment of several conditions, including inflammation. The nutritional value of intake of E. amoenum [...] Read more.
For several millennia, leaves of Echium amoenum Fisch. & C. A. Mey., an important Iranian medicinal plant with nutritional value as nutraceutical, have been used as tea for the treatment of several conditions, including inflammation. The nutritional value of intake of E. amoenum tea has mainly been correlated to its rich content of mainly water-soluble antioxidants. Although the entire plant is utilized, only natural products of the flowers have previously been thoroughly investigated. The rare natural products bis(3-(3,4-dihydroxyphenyl)-1-methoxy-1-oxopropan-2-yl)-1-(3,4-dihydroxyphenyl)-6,7-dihydroxy-1,2-dihydronaphthalene-2,3-dicarboxylate, 4-Oxy-(E)-caffeoyl-2,3-dihydroxybutanoic acid methyl ester and 4-Oxy-(Z)-caffeoyl-2,3-dihydroxybutanoic acid methyl ester, in addition to the widely distributed compounds rosmarinic acid methyl ester and (E)-caffeic acid, were purified and characterized from leaves of Echium amoenum. The structures were determined by a combination of several 2D NMR spectroscopic techniques, circular dichroism spectroscopy and high-resolution mass spectrometry. The fact that bis(3-(3,4-dihydroxyphenyl)-1-methoxy-1-oxopropan-2-yl)-1-(3,4-dihydroxyphenyl)-6,7-dihydroxy-1,2-dihydronaphthalene-2,3-dicarboxylate belongs to a rare group of natural products which have previously been patented for their significant anti-inflammatory activity may rationalize the traditional treatment of inflammations with E. amoenum. Full article
Show Figures

Graphical abstract

20 pages, 1665 KB  
Article
Neutrophil Immunomodulatory Activity of Nerolidol, a Major Component of Essential Oils from Populus balsamifera Buds and Propolis
by Igor A. Schepetkin, Gulmira Özek, Temel Özek, Liliya N. Kirpotina, Polina I. Kokorina, Andrei I. Khlebnikov and Mark T. Quinn
Plants 2022, 11(23), 3399; https://doi.org/10.3390/plants11233399 - 6 Dec 2022
Cited by 15 | Viewed by 3684
Abstract
Propolis is a resinous mixture of substances collected and processed from various botanical sources by honeybees. Black poplar (Populus balsamifera L.) buds are one of the primary sources of propolis. Despite their reported therapeutic properties, little is known about the innate immunomodulatory [...] Read more.
Propolis is a resinous mixture of substances collected and processed from various botanical sources by honeybees. Black poplar (Populus balsamifera L.) buds are one of the primary sources of propolis. Despite their reported therapeutic properties, little is known about the innate immunomodulatory activity of essential oils from P. balsamifera and propolis. In the present studies, essential oils were isolated from the buds of P. balsamifera and propolis collected in Montana. The main components of the essential oil from P. balsamifera were E-nerolidol (64.0%), 1,8-cineole (10.8%), benzyl benzoate (3.7%), α-terpinyl acetate (2.7%), α-pinene (1.8%), o-methyl anisol (1.8%), salicylaldehyde (1.8%), and benzyl salicylate (1.6%). Likewise, the essential oil from propolis was enriched with E-nerolidol (14.4%), cabreuva oxide-VI (7.9%), α-bisabolol (7.1%), benzyl benzoate (6.1%), β-eudesmol (3.6%), T-cadinol (3.1%), 2-methyl-3-buten-2-ol (3.1%), α-eudesmol (3.0%), fokienol (2.2%), nerolidol oxide derivative (1.9%), decanal (1.8%), 3-butenyl benzene (1.5%), 1,4-dihydronaphthalene (1.5%), selina-4,11-diene (1.5%), α-cadinol (1.5%), linalool (1.4%), γ-cadinene (1.4%), 2-phenylethyl-2-methyl butyrate (1.4%), 2-methyl-2-butenol (1.3%), octanal (1.1%), benzylacetone (1.1%), and eremoligenol (1.1%). A comparison between P. balsamifera and propolis essential oils demonstrated that 22 compounds were found in both essential oil samples. Both were enriched in E-nerolidol and its derivatives, including cabreuva oxide VI and nerolidol oxides. P. balsamifera and propolis essential oils and pure nerolidol activated Ca2+ influx in human neutrophils. Since these treatments activated neutrophils, the essential oil samples were also evaluated for their ability to down-regulate the neutrophil responses to subsequent agonist activation. Indeed, treatment with P. balsamifera and propolis essential oils inhibited subsequent activation of these cells by the N-formyl peptide receptor 1 (FPR1) agonist fMLF and the FPR2 agonist WKYMVM. Likewise, nerolidol inhibited human neutrophil activation induced by fMLF (IC50 = 4.0 μM) and WKYMVM (IC50 = 3.7 μM). Pretreatment with the essential oils and nerolidol also inhibited human neutrophil chemotaxis induced by fMLF, again suggesting that these treatments down-regulated human neutrophil responses to inflammatory chemoattractants. Finally, reverse pharmacophore mapping predicted several potential kinase targets for nerolidol. Thus, our studies have identified nerolidol as a potential anti-inflammatory modulator of human neutrophils. Full article
(This article belongs to the Collection Medicinal Chemistry of Aromatic Plants)
Show Figures

Figure 1

8 pages, 1463 KB  
Article
Isolation and Identification of Secondary Metabolites Produced by Phytopathogenic Fungus Corynespora cassiicola from Hevea brasiliensis
by Xiaoyan Yang, Zhikai Guo, Yang Yang, Ailiman Abulaizi, Zijun Xiong, Shiqing Zhang, Boxun Li and Guixiu Huang
Molecules 2022, 27(21), 7360; https://doi.org/10.3390/molecules27217360 - 29 Oct 2022
Cited by 3 | Viewed by 2395
Abstract
The secondary metabolites of the phytopathogenic fungus Corynespora cassiicola CC01 from Hevea brasiliensis were investigated. As a result, two new compounds, 5-acetyl-7-hydroxy-6- methoxybenzofuran-2(3H)-one (1) and (S)-2-(2,3-dihydrofuro [3,2-c]pyridin-2-yl)propan-2-ol (2), together with seven known compounds, [...] Read more.
The secondary metabolites of the phytopathogenic fungus Corynespora cassiicola CC01 from Hevea brasiliensis were investigated. As a result, two new compounds, 5-acetyl-7-hydroxy-6- methoxybenzofuran-2(3H)-one (1) and (S)-2-(2,3-dihydrofuro [3,2-c]pyridin-2-yl)propan-2-ol (2), together with seven known compounds, 4,6,8-trihydroxy-3,4-dihydronaphthalen-1(2H)-one (3), 3,6,8-trihydroxy-3,4-dihydronaphthalen-1(2H)-one (4), curvulin acid (5), 2-methyl-5-carboxymethyl- 7-hydroxychromone (6), tyrosol (7), p-hydroxybenzoic acid (8) and cerevisterol (9), were isolated from the fermentation extract by comprehensive silica gel, reverse phase silica gel, Sephadex-LH20 column chromatography and high-performance liquid chromatography (HPLC). The structures of these compounds were identified by using high-resolution electrospray mass spectrometry (HRESIMS), nuclear magnetic resonance spectroscopy (NMR), optical rotation, ultraviolet and infrared spectroscopy techniques and a comparison of NMR data with those reported in the literature. Compounds 1 and 2 were new compounds, and compounds 39 were discovered from this phytopathogenic fungus for the first time. Compounds 19 were tested for phytotoxicity against the fresh tender leaf of Hevea brasiliensis, and the results show that none of them were phytotoxic. Additionally, these compounds were subjected to an antimicrobial assay against three bacteria (E. coli, methicillin-resistant Staphylococcus aureus and Micrococcus luteus), but they showed no activity. Full article
(This article belongs to the Section Natural Products Chemistry)
Show Figures

Graphical abstract

8 pages, 1018 KB  
Article
A Concise Synthesis of Sacidumlignan B
by Zhiyuan Zhuang, Zhenbiao Luo, Sichen Yao, Yawen Wang and Yu Peng
Molecules 2022, 27(18), 5775; https://doi.org/10.3390/molecules27185775 - 7 Sep 2022
Cited by 4 | Viewed by 2060
Abstract
A short synthesis of racemic Sacidumlignan B was achieved for the first time. The key steps included a formal reductive coupling between the diaryl ketone and the crotyl bromide, and the subsequent Friedel–Crafts cyclization, which led to an efficient construction of dihydronaphthalene skeleton [...] Read more.
A short synthesis of racemic Sacidumlignan B was achieved for the first time. The key steps included a formal reductive coupling between the diaryl ketone and the crotyl bromide, and the subsequent Friedel–Crafts cyclization, which led to an efficient construction of dihydronaphthalene skeleton in this 2,7′-cyclolignan natural product. Full article
(This article belongs to the Special Issue Chemical Synthesis of Natural Products)
Show Figures

Graphical abstract

19 pages, 46308 KB  
Article
Demonstrating Tumor Vascular Disrupting Activity of the Small-Molecule Dihydronaphthalene Tubulin-Binding Agent OXi6196 as a Potential Therapeutic for Cancer Treatment
by Li Liu, Regan Schuetze, Jeni L. Gerberich, Ramona Lopez, Samuel O. Odutola, Rajendra P. Tanpure, Amanda K. Charlton-Sevcik, Justin K. Tidmore, Emily A.-S. Taylor, Payal Kapur, Hans Hammers, Mary Lynn Trawick, Kevin G. Pinney and Ralph P. Mason
Cancers 2022, 14(17), 4208; https://doi.org/10.3390/cancers14174208 - 30 Aug 2022
Cited by 7 | Viewed by 2772
Abstract
The vascular disrupting activity of a promising tubulin-binding agent (OXi6196) was demonstrated in mice in MDA-MB-231 human breast tumor xenografts growing orthotopically in mammary fat pad and syngeneic RENCA kidney tumors growing orthotopically in the kidney. To enhance water solubility, OXi6196, was derivatized [...] Read more.
The vascular disrupting activity of a promising tubulin-binding agent (OXi6196) was demonstrated in mice in MDA-MB-231 human breast tumor xenografts growing orthotopically in mammary fat pad and syngeneic RENCA kidney tumors growing orthotopically in the kidney. To enhance water solubility, OXi6196, was derivatized as its corresponding phosphate prodrug salt OXi6197, facilitating effective delivery. OXi6197 is stable in water, but rapidly releases OXi6196 in the presence of alkaline phosphatase. At low nanomolar concentrations OXi6196 caused G2/M cell cycle arrest and apoptosis in MDA-MB-231 breast cancer cells and monolayers of rapidly growing HUVECs underwent concentration-dependent changes in their morphology. Loss of the microtubule structure and increased bundling of filamentous actin into stress fibers followed by cell collapse, rounding and blebbing was observed. OXi6196 (100 nM) disrupted capillary-like endothelial networks pre-established with HUVECs on Matrigel®. When prodrug OXi6197 was administered to mice bearing orthotopic MDA-MB-231-luc tumors, dynamic bioluminescence imaging (BLI) revealed dose-dependent vascular shutdown with >80% signal loss within 2 h at doses ≥30 mg/kg and >90% shutdown after 6 h for doses ≥35 mg/kg, which remained depressed by at least 70% after 24 h. Twice weekly treatment with prodrug OXi6197 (20 mg/kg) caused a significant tumor growth delay, but no overall survival benefit. Similar efficacy was observed for the first time in orthotopic RENCA-luc tumors, which showed massive hemorrhage and necrosis after 24 h. Twice weekly dosing with prodrug OXi6197 (35 mg/kg) caused tumor growth delay in most orthotopic RENCA tumors. Immunohistochemistry revealed extensive necrosis, though with surviving peripheral tissues. These results demonstrate effective vascular disruption at doses comparable to the most effective vascular-disrupting agents (VDAs) suggesting opportunities for further development. Full article
(This article belongs to the Collection Oncology: State-of-the-Art Research in the USA)
Show Figures

Figure 1

12 pages, 1972 KB  
Article
Target-Guided Isolation of Progenitors of 1,1,6-Trimethyl-1,2-dihydronaphthalene (TDN) from Riesling Wine by High-Performance Countercurrent Chromatography
by Recep Gök, Pia Selhorst, Mats Kiene, Theresa Noske, Michael Ziegler, Ulrich Fischer and Peter Winterhalter
Molecules 2022, 27(17), 5378; https://doi.org/10.3390/molecules27175378 - 23 Aug 2022
Cited by 4 | Viewed by 2622
Abstract
High-performance countercurrent chromatography (HPCCC) was used for the target-guided isolation of precursors of 1,1,6-trimethyl-1,2-dihydronaphthalene (TDN) from Riesling wine. In separated HPCCC fractions of an Amberlite® XAD®-2 extract obtained from a German Riesling, TDN-generating fractions were identified by the acid-catalyzed hydrolysis [...] Read more.
High-performance countercurrent chromatography (HPCCC) was used for the target-guided isolation of precursors of 1,1,6-trimethyl-1,2-dihydronaphthalene (TDN) from Riesling wine. In separated HPCCC fractions of an Amberlite® XAD®-2 extract obtained from a German Riesling, TDN-generating fractions were identified by the acid-catalyzed hydrolysis of the progenitors at pH 3.0 and subsequent HS-GC-MS/MS analysis. The presence of multiple TDN-generating precursors in Riesling wine could be confirmed. From polar HPCCC fractions (11–13 and 14–16), 3,4-dihydroxy-7,8-dihydro-β-ionone 3-O-rutinoside and 3,4-dihydroxy-7,8-dihydro-β-ionone 3-O-β-d-glucopyranoside were isolated as major TDN-precursors at a sufficient amount for structure elucidation by NMR spectroscopic studies. In the medium polar HPCCC factions (27–35), enzymatic hydrolysis liberated the aglycones 3-hydroxy-β-ionone and 3-hydroxy-TDN in minor amounts. In further less polar TDN-generation fractions (36–44 and 45–50), glycosidic progenitors were absent; instead, a minor TDN formation most likely from non-conjugated constituents was observed. Full article
Show Figures

Graphical abstract

16 pages, 3900 KB  
Article
Effect of Cold Stabilization Duration on Organic Acids and Aroma Compounds during Vitis vinifera L. cv. Riesling Wine Bottle Storage
by Nongyu Xia, Haotian Cheng, Xuechen Yao, Qiuhong Pan, Nan Meng and Qingquan Yu
Foods 2022, 11(9), 1179; https://doi.org/10.3390/foods11091179 - 19 Apr 2022
Cited by 12 | Viewed by 3970
Abstract
During the storage of wines in bottles, especially white wines, tartrate crystallization often occurs, which reduces the commercial value of the wines and therefore needs to be avoided by performing cold stabilization treatments before bottling. However, whether different cold treatment durations impact the [...] Read more.
During the storage of wines in bottles, especially white wines, tartrate crystallization often occurs, which reduces the commercial value of the wines and therefore needs to be avoided by performing cold stabilization treatments before bottling. However, whether different cold treatment durations impact the quality of a wine’s aroma has not yet been of special concern. This research was conducted at an industrial scale to explore how cold treatments at −5.3 °C for 10 to 15 days impact the organic acids, aroma compounds, and sensory quality of Riesling dry white wines, and the variation was documented at the end of treatment, and at 6 and 12 months of bottle storage. The results showed that cold treatments significantly reduced tartaric acid concentrations and significantly affected the concentrations of most aroma components in the wines only after 12 months of bottle storage, including the main components of esters, norisoprenoids, terpenoids, and furfural. Moreover, the concentrations of some components showed an increasing trend with the bottle storage, especially 1,1,6-trimethyl-1,2-dihydronaphthalene (TDN), the characteristic volatile of Riesling wine, suggesting that an acidic condition resulting from cold treatment might facilitate the conversion of some aroma precursors into volatiles. In conclusion, cold stabilization treatments, within limits, can improve tartaric acid stability and could promote the conservation of aroma compounds during bottle storage without adversely affecting the aroma profile of the wines. Full article
(This article belongs to the Special Issue Advances in Wine Flavor Chemistry and Its Metabolic Mechanism)
Show Figures

Figure 1

19 pages, 6298 KB  
Article
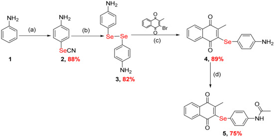
A Competition between Hydrogen, Stacking, and Halogen Bonding in N-(4-((3-Methyl-1,4-dioxo-1,4-dihydronaphthalen-2-yl)selanyl)phenyl)acetamide: Structure, Hirshfeld Surface Analysis, 3D Energy Framework Approach, and DFT Calculation
by Mohamed Gouda, Hela Ferjani, Hany M. Abd El-Lateef, Mai M. Khalaf, Saad Shaaban and Tarek A. Yousef
Int. J. Mol. Sci. 2022, 23(5), 2716; https://doi.org/10.3390/ijms23052716 - 28 Feb 2022
Cited by 12 | Viewed by 3120
Abstract
N-(4-((3-Methyl-1,4-dioxo-1,4-dihydronaphthalen-2-yl)selanyl)phenyl)acetamide (5), C19H15NO3Se, was prepared in two steps from 4,4′-diselanediyldianiline (3) via reduction and subsequent nucleophilic reaction with 2-methyl-3-bromo-1,4-naphthalenedione, followed by acetylation with acetic anhydride. The cytotoxicity was estimated against 158N and 158JP oligodendrocytes and the [...] Read more.
N-(4-((3-Methyl-1,4-dioxo-1,4-dihydronaphthalen-2-yl)selanyl)phenyl)acetamide (5), C19H15NO3Se, was prepared in two steps from 4,4′-diselanediyldianiline (3) via reduction and subsequent nucleophilic reaction with 2-methyl-3-bromo-1,4-naphthalenedione, followed by acetylation with acetic anhydride. The cytotoxicity was estimated against 158N and 158JP oligodendrocytes and the redox profile was also evaluated using different in vitro assays. The technique of single-crystal X-ray diffraction is used to confirm the structure of compound 5. The enantiopure 5 crystallizes in space group P21 with Flack parameter 0.017 (8), exhibiting a chiral layered absolute structure. Molecular structural studies showed that the crystal structure is foremost stabilized by N-H···O and relatively weak C-H···O contacts between molecules, and additionally stabilized by weak C-H···π and Se···N interactions. Hirshfeld surface analysis is used to quantitatively investigate the noncovalent interactions that stabilize crystal packing. Framework energy diagrams were used to graphically represent the stabilizing interaction energies for crystal packing. The analysis of the energy framework shows that the interactions energies of and C-H···π and C-O···π are primarily dispersive and are the crystal’s main important forces. Density functional theory (DFT) calculations were used to determine the compound’s stability, chemical reactivity, and other parameters by determining the HOMO-LUMO energy differences. The determination of its optimized surface of the molecular electrostatic potential (MEP) was also carried out. This study was conducted to demonstrate both the electron-rich and electron-poor sites. Full article
(This article belongs to the Section Molecular Biophysics)
Show Figures

Graphical abstract

27 pages, 3001 KB  
Systematic Review
Comprehensive Volatilome and Metabolome Signatures of Colorectal Cancer in Urine: A Systematic Review and Meta-Analysis
by Celia Mallafré-Muro, Maria Llambrich, Raquel Cumeras, Antonio Pardo, Jesús Brezmes, Santiago Marco and Josep Gumà
Cancers 2021, 13(11), 2534; https://doi.org/10.3390/cancers13112534 - 21 May 2021
Cited by 35 | Viewed by 6784
Abstract
To increase compliance with colorectal cancer screening programs and to reduce the recommended screening age, cheaper and easy non-invasiveness alternatives to the fecal immunochemical test should be provided. Following the PRISMA procedure of studies that evaluated the metabolome and volatilome signatures of colorectal [...] Read more.
To increase compliance with colorectal cancer screening programs and to reduce the recommended screening age, cheaper and easy non-invasiveness alternatives to the fecal immunochemical test should be provided. Following the PRISMA procedure of studies that evaluated the metabolome and volatilome signatures of colorectal cancer in human urine samples, an exhaustive search in PubMed, Web of Science, and Scopus found 28 studies that met the required criteria. There were no restrictions on the query for the type of study, leading to not only colorectal cancer samples versus control comparison but also polyps versus control and prospective studies of surgical effects, CRC staging and comparisons of CRC with other cancers. With this systematic review, we identified up to 244 compounds in urine samples (3 shared compounds between the volatilome and metabolome), and 10 of them were relevant in more than three articles. In the meta-analysis, nine studies met the criteria for inclusion, and the results combining the case-control and the pre-/post-surgery groups, eleven compounds were found to be relevant. Four upregulated metabolites were identified, 3-hydroxybutyric acid, L-dopa, L-histidinol, and N1, N12-diacetylspermine and seven downregulated compounds were identified, pyruvic acid, hydroquinone, tartaric acid, and hippuric acid as metabolites and butyraldehyde, ether, and 1,1,6-trimethyl-1,2-dihydronaphthalene as volatiles. Full article
(This article belongs to the Section Systematic Review or Meta-Analysis in Cancer Research)
Show Figures

Graphical abstract

Back to TopTop