Sign in to use this feature.

Years

Between: -

Article Types

Countries / Regions

remove_circle_outline
remove_circle_outline
remove_circle_outline
remove_circle_outline
remove_circle_outline
remove_circle_outline
remove_circle_outline
remove_circle_outline
remove_circle_outline
remove_circle_outline

Search Results (22,031)

Search Parameters:
Journal = Nanomaterials

Order results
Result details
Results per page
Select all
Export citation of selected articles as:
17 pages, 10549 KB  
Article
Parametric Reconstruction and Pore-Scale Transport Analysis of Microporous Layers in PEM Fuel Cells
by Shengbo Sun, Lingquan Li, Hao Wang and Guogang Yang
Nanomaterials 2026, 16(9), 529; https://doi.org/10.3390/nano16090529 (registering DOI) - 27 Apr 2026
Abstract
The microporous layer (MPL) is a key functional component in proton exchange membrane fuel cells (PEMFCs), and clarifying the quantitative relationship between its microstructure and mass transport properties is essential for improving cell performance. In this study, a three-dimensional MPL model was developed [...] Read more.
The microporous layer (MPL) is a key functional component in proton exchange membrane fuel cells (PEMFCs), and clarifying the quantitative relationship between its microstructure and mass transport properties is essential for improving cell performance. In this study, a three-dimensional MPL model was developed using a stochastic reconstruction method, and, together with a random walk algorithm, was employed to systematically investigate the effects of porosity, carbon sphere radius, maximum overlap ratio, seed ratio, and polytetrafluoroethylene (PTFE) content on permeability, effective diffusivity, and tortuosity. The results reveal that increasing porosity reduces tortuosity from 1.7 to 1.3, while permeability and effective diffusivity increase by factors of approximately 6.5 and 1.8, respectively. As the carbon sphere radius increases, tortuosity decreases from 1.55 to 1.35, accompanied by an increase in permeability from 2 × 10−16 m2 to 20 × 10−16 m2. Moreover, increasing the PTFE content raises permeability from 5 × 10−16 m2 to 22.5 × 10−16 m2, corresponding to an enhancement by a factor of approximately 4.5. The high-accuracy fitting equations obtained from the simulation results provide theoretical guidance for the microstructural design and optimization of MPLs, which can enhance oxygen transport and water management, reduce mass transport losses, and thereby benefit high-power-density operation and the overall efficiency of PEM fuel cells. Full article
(This article belongs to the Section Energy and Catalysis)
Show Figures

Figure 1

21 pages, 3938 KB  
Article
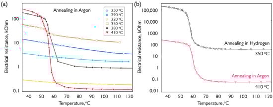
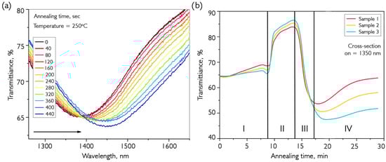
Reduction Processes in Thin-Film Vanadium Oxides for Application in Optoelectronic Devices
by Dmitriy P. Sudas, Vasily O. Yapaskurt, Valery A. Luzanov, Galina G. Yakushcheva, Kirill Kuznetsov and Petr I. Kuznetsov
Nanomaterials 2026, 16(9), 528; https://doi.org/10.3390/nano16090528 (registering DOI) - 27 Apr 2026
Abstract
This article describes a study on the synthesis and annealing processes of thin-film coatings of vanadium oxide on flat, parallel substrates made of quartz glass, sapphire, and silicon, as well as optical fibers using an organometallic precursor, triisopropoxy vanadium (V) oxide. For the [...] Read more.
This article describes a study on the synthesis and annealing processes of thin-film coatings of vanadium oxide on flat, parallel substrates made of quartz glass, sapphire, and silicon, as well as optical fibers using an organometallic precursor, triisopropoxy vanadium (V) oxide. For the first time, optical constants of nanomaterials were estimated in real time during synthesis and subsequent annealed using the lossy-mode resonance effect. The coatings produced in an inert atmosphere after deposition were amorphous, comprising a mixture of VO2, V2O5, V6O13, and V3O5. This method allowed for accurate determination of the threshold temperature for the transformation of oxide mixtures into a monocomponent phase. Optimal conditions for synthesis and annealing were determined for the production of vanadium dioxide (VO2) and pentoxide (V2O5). Morphological changes in coated surfaces were observed as a result of heat treatment. The composition and properties of these samples were studied using optical, terahertz and Raman spectroscopy, as well as temperature-dependent analysis of electrical resistance. The morphology of the coating surface was determined using a scanning electron microscope and an atomic force microscope. The reduction of VOx to VO2 was studied in an atmosphere of hydrogen and argon during annealing after deposition, with its effectiveness being compared. It was shown for the first time that the reduction of higher vanadium oxides is due to the presence of elemental carbon in the volume of the material formed from a metalorganic precursor during growth of vanadium oxide. Coatings obtained by annealing in hydrogen had a smaller hysteresis loop width (~5 °C) during phase transition compared to coatings obtained by argon annealing (~9 °C). Both types of coatings demonstrated a 50–60% increase in transmission at 1 THz frequency and in the IR region, accompanied by a 103–104-fold change in electrical resistance. Full article
(This article belongs to the Section Synthesis, Interfaces and Nanostructures)
Show Figures

Figure 1

14 pages, 1813 KB  
Article
Carbon-Nanotube-Enabled Low-Threshold Laser Lift-Off for Ultra-Thin Polyimide Films
by Junwei Fu, Yachong Xu, Run Bai, Zhenzhen Sun, Yili Zhang, Rui Yang, Zijuan Han, Fanfan Wang and Boyuan Cai
Nanomaterials 2026, 16(9), 527; https://doi.org/10.3390/nano16090527 (registering DOI) - 27 Apr 2026
Abstract
Laser lift-off (LLO) is a critical process for separating ultra-thin polyimide (PI) films in flexible electronics manufacturing, yet traditional methods often induce thermal and mechanical damage due to high laser energy processing. To address this, we propose a low-threshold LLO method by integrating [...] Read more.
Laser lift-off (LLO) is a critical process for separating ultra-thin polyimide (PI) films in flexible electronics manufacturing, yet traditional methods often induce thermal and mechanical damage due to high laser energy processing. To address this, we propose a low-threshold LLO method by integrating carbon nanotubes (CNTs) at the interface between a 500 nm PI film and a glass substrate. The interfacial thermal dynamics and separation quality were evaluated through finite element simulations and experimental validations using a 355 nm ultraviolet nanosecond laser. Results demonstrate that CNTs significantly enhance interfacial ultraviolet absorption and promote lateral heat diffusion due to their high axial thermal conductivity. This mechanism broadens the thermal decomposition zone and suppresses vertical heat transfer, thereby reducing the required LLO threshold from 180 mJ/cm2 to 120 mJ/cm2. Furthermore, the integration of CNTs reduces interfacial adhesion and alters the separation dynamics, resulting in the formation of smoother blisters with increased diameters and reduced heights compared to conventional LLO. These effects effectively minimize thermal and mechanical damage to the ultra-thin PI film and its integrated devices. This CNT-assisted LLO approach provides an efficient, low-damage solution for ultra-thin film separation, showing strong potential for advancing high-performance flexible electronics. Full article
(This article belongs to the Special Issue Low-Dimensional Nanomaterials for Optical and Laser Applications)
18 pages, 2116 KB  
Review
Self-Powered Sensors for Environmental Monitoring
by Xiali Yang, Min Dai, Man Zhang, Shunyi Chen, Peng Zhang, Hancong Liu, Qitao Zhou and Jing Pan
Nanomaterials 2026, 16(9), 526; https://doi.org/10.3390/nano16090526 (registering DOI) - 27 Apr 2026
Abstract
The development of self-powered environmental sensors is of great practical significance for addressing the power supply dilemma of traditional sensors in remote areas and avoiding environmental pollution from waste batteries. Given that the majority of the self-powered environmental sensors are based on the [...] Read more.
The development of self-powered environmental sensors is of great practical significance for addressing the power supply dilemma of traditional sensors in remote areas and avoiding environmental pollution from waste batteries. Given that the majority of the self-powered environmental sensors are based on the TENG principle, especially the active self-powered sensors, this paper reviews recent advances in triboelectric nanogenerator (TENG)-based self-powered environmental sensors. What distinguishes this review from the previous ones published on TENG is that it systematically discusses the application of TENG-based self-powered sensors for environmental monitoring. TENG-based self-powered sensors are classified into two types: TENG as a power supply for professional biochemical sensors and active self-powered sensors where TENG acts as both power source and sensing unit. This paper illustrates the applications of these devices in detecting targets in the environment, such as heavy metal ions, toxic gases, bacterial DNA, and bacteria, and summarizes the relevant performance parameters. It also analyzes key challenges including efficient mechanical energy harvesting, material durability and sensing specificity. Finally, the outlook notes that TENG-based sensors will expand detection ranges and integrate with other technologies, providing valuable guidance for their environmental monitoring applications. Full article
(This article belongs to the Special Issue Power Management for Triboelectric Nanogenerators)
Show Figures

Figure 1

19 pages, 4261 KB  
Article
Natural Killer Cell-Derived Extracellular Vesicles Exhibit Cytotoxicity Against Bulk Tumor Cells and Cancer Stem Cells in Triple-Negative Breast Cancer
by Melanie Kirkby, Frederic St-Denis-Bissonnette, Marena D. Diab, Karan Mediratta, Anna Korobkow, James Humber, Peter Han, Gauri Muradia, Michele Ardolino, Seung-Hwan Lee, Derrick J. Gibbings, Dylan Burger, Lisheng Wang and Jessie R. Lavoie
Nanomaterials 2026, 16(9), 525; https://doi.org/10.3390/nano16090525 (registering DOI) - 27 Apr 2026
Abstract
Triple-negative breast cancer (TNBC) remains a significant challenge in oncology, contributing to a significant portion of cancer-related deaths among women. Current therapeutic options, including chemotherapy, surgery, radiation, and hormonal targeting therapies, exhibit limited efficacy, necessitating the exploration of innovative treatment modalities. The emergence [...] Read more.
Triple-negative breast cancer (TNBC) remains a significant challenge in oncology, contributing to a significant portion of cancer-related deaths among women. Current therapeutic options, including chemotherapy, surgery, radiation, and hormonal targeting therapies, exhibit limited efficacy, necessitating the exploration of innovative treatment modalities. The emergence of drug resistance and the persistence of cancer stem cells (CSCs) further emphasize the urgent need for novel therapeutic strategies. In this context, natural killer cell-derived extracellular vesicles (NK-EVs) have emerged as a promising cell-free therapeutic approach that exhibits high tumor infiltration and cytotoxicity against cancer cells and CSCs. This study aims to investigate the efficacy of NK-EVs as a therapeutic strategy for TNBC using various clinically relevant models, including patient-derived xenografts. Pathway analysis suggests strong activation of apoptosis via canonical caspase activation, as well as necrosis, thereby confirming the important cytotoxic effect of NK-EVs. Interestingly, NK-EVs were also found to suppress TNBC CSCs by disrupting their functionality and viability, and NK-EV treatment increased the expression of apoptosis markers in both CSCs and non-CSCs. By elucidating the therapeutic efficacy and translational potential of NK-EV-based interventions in TNBC, these findings offer critical insights for the development of future immunotherapeutic strategies against this aggressive subtype of breast cancer. Full article
(This article belongs to the Special Issue Nanomedicine in Cancers (Second Edition))
Show Figures

Figure 1

31 pages, 1686 KB  
Review
Sustainable Energy Storage Systems: The Promise of Biomass-Derived Carbon Materials for High-Performance Supercapacitors
by Aigerim R. Seitkazinova, Muhammad Hashami, Meruyert Nazhipkyzy, Roza G. Abdulkarimova, Zhanar B. Kudyarova, Aigerim G. Zhaxybayeva, Saltanat S. Kaliyeva, Balken T. Kuderina and Bakhytzhan T. Lesbayev
Nanomaterials 2026, 16(9), 524; https://doi.org/10.3390/nano16090524 (registering DOI) - 26 Apr 2026
Abstract
The rapid demand for sustainable and efficient energy storage solutions has prompted the pursuit of eco-friendly electrode materials. Biomass-derived carbons from food waste offer a promising pathway to meet this need by combining waste valorization, environmental benefits, and high electrochemical performance. This review [...] Read more.
The rapid demand for sustainable and efficient energy storage solutions has prompted the pursuit of eco-friendly electrode materials. Biomass-derived carbons from food waste offer a promising pathway to meet this need by combining waste valorization, environmental benefits, and high electrochemical performance. This review highlights that food waste biomass is an effective and inexpensive source of precursors for producing high-performance carbon materials for supercapacitors. Food waste, which includes fruit peels and vegetable residues, cereal husks, and oilseed residues, is a good source of lignocellulosic components, heteroatoms, and structural features that determine the electrochemical characteristics of the derived carbons. These wastes produce hierarchically porous carbons with high surface areas (>1500 m2 g−1) on pyrolysis and activation that provide superior ion transport, wettability and pseudocapacitive behaviour. Their electrochemical performance includes capacitances up to 520 F g−1 and energy densities of 35–70 Wh kg−1 in optimized systems, particularly under extended voltage windows or in hybrid supercapacitor configurations, and high cycling stability is equal to or even better than traditional carbons such as activated carbon and graphene. Additionally, biomass valorization contributes to a high level of greenhouse gas capture, decreases landfill, and correlates with the idea of a circular economy. The commercialization potential of biomass-based supercapacitors is supported by recent developments in AI-based optimization, combined with scalable synthesis methods, which would support ecologically, economically, and technologically sustainable energy storage on a large scale. Full article
(This article belongs to the Section Energy and Catalysis)
28 pages, 3117 KB  
Review
Nanotechnology for Drought Mitigation and Water Conservation: Opportunities and Limitations
by Hassan El-Ramady, Daniella Sári, Tamer Elsakhawy, Neama Abdalla, Howaida I. Abd-Alla and József Prokisch
Nanomaterials 2026, 16(9), 523; https://doi.org/10.3390/nano16090523 (registering DOI) - 26 Apr 2026
Abstract
Water scarcity is becoming an increasingly critical global challenge, driven by climate change, rapid population growth, pollution, and unsustainable water use. Drought further intensifies this crisis by reducing water availability across agricultural, environmental, and socio-economic systems. In this context, nanotechnology has emerged as [...] Read more.
Water scarcity is becoming an increasingly critical global challenge, driven by climate change, rapid population growth, pollution, and unsustainable water use. Drought further intensifies this crisis by reducing water availability across agricultural, environmental, and socio-economic systems. In this context, nanotechnology has emerged as a promising tool for improving water management and enhancing drought resilience. This review examines the role of nanotechnology in drought mitigation and water conservation through multiple pathways, including the enhancement of plant drought tolerance, improvement in soil water retention, the development of smart irrigation and nano-sensing systems, and the expansion of water resources through purification, desalination, and wastewater reuse. In addition, the broader drought–water nexus is discussed to position nano-enabled approaches within existing water management strategies. While numerous studies report improvements in water-use efficiency, stress tolerance, and treatment performance under controlled conditions, significant limitations remain. These include concerns related to environmental safety, nanotoxicity, scalability, cost, and the gap between laboratory findings and field-level applications. Overall, nanotechnology should be considered a complementary approach rather than a stand-alone solution for addressing water scarcity under drought conditions. Future research should focus on long-term environmental impacts, techno-economic feasibility, and large-scale field validation to support the safe and effective integration of nanotechnology into sustainable water management systems. Full article
Show Figures

Figure 1

26 pages, 1768 KB  
Article
High-Accuracy Characterization of a Single Thin Film on a Substrate from One Transmittance Spectrum by an Advanced Envelope Method Addressing Voids, Tail Electron Transitions, and Deep-Level Electron Transitions in a-Si Films
by Dorian Minkov, George Angelov, Dimitar Nikolov, Rostislav Rusev, Manuel Ballester, Susana Fernandez and Emilio Marquez
Nanomaterials 2026, 16(9), 522; https://doi.org/10.3390/nano16090522 (registering DOI) - 26 Apr 2026
Abstract
In most amorphous materials, the concentration of Urbach tail states is larger than the concentration of dangling bond states. However, absorption accounting for the Urbach tail while disregarding the dangling bonds is commonly used or derived by spectroscopic characterizations of amorphous films from [...] Read more.
In most amorphous materials, the concentration of Urbach tail states is larger than the concentration of dangling bond states. However, absorption accounting for the Urbach tail while disregarding the dangling bonds is commonly used or derived by spectroscopic characterizations of amorphous films from a single spectrum, mostly due to the insufficient accuracy of such characterizations. This paper proposes an advanced envelope method (AEM) for transmittance spectrum T(λ), aiming to resolve this problem. The novelties in AEM are: improved preprocessing of T(λ), extending the envelopes deeper into the region of strong absorption (RSA), enhanced determination of the refractive index n(λ) in the region of weak absorption, optimization of both n(λ) and the extinction coefficient k(λ) in RSA, as well as analysis of the types of electron transitions and calculation of their energy gaps. Three single magnetron sputtered a-Si films deposited on glass substrates are characterized by AEM, and three other relevant methods that disregard deep-levels. The best accuracy is achieved when these films are characterized by AEM. It is demonstrated that the absorption coefficient α(λ) of each of these films distinguishes electron transitions via dangling bond states from those via tails states, and the DOS corresponds to the Mott–Davis model of amorphous materials. Full article
(This article belongs to the Section Theory and Simulation of Nanostructures)
Show Figures

Figure 1

15 pages, 2703 KB  
Article
Interpulse-Interval-Controlled Nanoparticle Formation in Gas-Phase Burst-Mode Femtosecond Laser Ablation
by Bowen Fan, Tao Lü, Jiang Wang, Guodong Zhang, Zhongyin Zhang, Wei Zhang and Guanghua Cheng
Nanomaterials 2026, 16(9), 519; https://doi.org/10.3390/nano16090519 (registering DOI) - 25 Apr 2026
Abstract
The formation and size evolution of gas-phase nanoparticles (NPs) in laser ablation inductively coupled plasma mass spectrometry critically influence aerosol transport, plasma ionization efficiency, and ultimately analytical accuracy. Nevertheless, burst-mode laser ablation, as an efficient and versatile strategy for controlling gas-phase NP size, [...] Read more.
The formation and size evolution of gas-phase nanoparticles (NPs) in laser ablation inductively coupled plasma mass spectrometry critically influence aerosol transport, plasma ionization efficiency, and ultimately analytical accuracy. Nevertheless, burst-mode laser ablation, as an efficient and versatile strategy for controlling gas-phase NP size, remains insufficiently explored. Here, we combine experimental investigations and theoretical analysis to elucidate the mechanisms of gas-phase nanoparticle formation and size control by tuning the interpulse interval in burst-mode femtosecond (fs) laser ablation. The mean nanoparticle size exhibits a non-monotonic dependence on interpulse spacing, decreasing with a narrowing size distribution as the interval increases from 0 to 300 ps, and then increasing with distribution broadening at longer delays up to 1000 ps, closely correlating with ablation-crater depth. A characteristic transition at ~300 ps is identified, where both nanoparticle size and crater depth reach a minimum, revealing a critical timescale in pulse–plume–surface interactions. Simulations show that the interpulse interval governs the redistribution of laser energy between the surface and plume, driving a transition from surface-dominated ablation to plume-dominated absorption and partial recovery of surface coupling. This delay-dependent framework provides a unified explanation for nanoparticle formation, where particle size is determined by the competition between plume-mediated fragmentation and surface-driven material supply, and offers a basis for tailoring NP size distributions via temporal pulse shaping. Full article
(This article belongs to the Section Physical Chemistry at Nanoscale)
Show Figures

Figure 1

30 pages, 4777 KB  
Article
Economic Design of a Novel Magnetic ZnO-Doped Biocomposite: An Integrated Advanced Ionic Theory and Statistical Physics Approach for Cr(VI) and Hg(II) Remediation
by Ahmed A. Bhran, Abdelrahman G. Gadallah, Raid Alrowais, Ahmed S. Aadli and Ahmed S. Elshimy
Nanomaterials 2026, 16(9), 521; https://doi.org/10.3390/nano16090521 (registering DOI) - 25 Apr 2026
Abstract
A previously unexplored magnetic biocomposite (CMC-HSDs/Fe3O4) was developed through the valorization of hydrophobic scleroprotein discards (HSDs). The synthesized material was evaluated for its efficacy in the adsorption of Cr(VI) and Hg(II) ions from contaminated aqueous systems. The physicochemical properties [...] Read more.
A previously unexplored magnetic biocomposite (CMC-HSDs/Fe3O4) was developed through the valorization of hydrophobic scleroprotein discards (HSDs). The synthesized material was evaluated for its efficacy in the adsorption of Cr(VI) and Hg(II) ions from contaminated aqueous systems. The physicochemical properties of the synthesized CMC-HSDs/Fe3O4 nanocomposite were characterized using XRD, FTIR, BET, TG/DTG, FESEM, EDX, and elemental mapping. Subsequently, a Box–Behnken experimental design was employed to model and optimize the adsorption process for Cr(VI) and Hg(II), focusing on the critical parameters of solution pH, adsorbent dosage, and interaction time. Kinetic data were best fitted to the pseudo-first-order (PFO) model. Equilibrium isotherm analysis revealed that Cr(VI) adsorption followed the Langmuir model, while Hg(II) adsorption was better fitted by the Freundlich model. Advanced ionic calculations elucidated a consistent multimolecular adsorption mechanism for both ions, characterized by temperature invariance and a preferential vertical geometry of the adsorbed species. Through a production cost of 25.56 USD/kg, the biosorbent demonstrates excellent reusability, retaining 88.60% efficiency for Cr(VI) and 85.69% for Hg(II) after five adsorption–desorption cycles. Based on a 50 mg/L influent concentration, projected treatment costs are ~$3.50/100 L for Cr(VI) and ~$1.22/100 L for Hg(II), underscoring the nanocomposite’s economic feasibility for industrial deployment in advanced tertiary wastewater remediation. Full article
Show Figures

Figure 1

13 pages, 791 KB  
Article
Dynamic Modeling and Structural Optimization of a Partially Laminated Piezoelectric–Metal–Piezoelectric Actuator
by Xingen Kuang, Cuiying Fan, Zhi Li, Guoshuai Qin, Minghao Zhao and Chunsheng Lu
Nanomaterials 2026, 16(9), 517; https://doi.org/10.3390/nano16090517 (registering DOI) - 25 Apr 2026
Abstract
:Piezoelectric actuators are core components in precision motion control due to their unique electromechanical coupling properties. This paper establishes a dynamic model for a partially laminated piezoelectric–metal–piezoelectric beam actuator based on the Euler–Bernoulli beam theory. The model comprises symmetrically bonded piezoelectric layers [...] Read more.
:Piezoelectric actuators are core components in precision motion control due to their unique electromechanical coupling properties. This paper establishes a dynamic model for a partially laminated piezoelectric–metal–piezoelectric beam actuator based on the Euler–Bernoulli beam theory. The model comprises symmetrically bonded piezoelectric layers on both sides of a central metal substrate, with the piezoelectric material partially distributed along the beam length. The structure is analyzed segment-wise along the beam’s longitudinal length direction. By applying continuity conditions at the interfaces of varying cross-sections and leveraging the structural symmetry, analytical solutions for both the natural frequency and output displacement are derived. The analytical predictions are validated against finite-element results, and experiments also verify the accuracy of the analytical solution of the analytical voltage–displacement response. In addition, the effects of key geometric parameters on the dynamic performance are systematically investigated. The proposed model provides theoretical guidance for tuning the resonance characteristics and drive displacement design of the PMP actuators. Full article
14 pages, 3479 KB  
Article
Electrospun Surface-Modified Epidermal Strain Sensors Enable Silent Speech and Hand Gesture Recognition for Virtual Reality Interaction
by Zuowei Wang, Fuzheng Zhang, Qijing Lin, Hongze Ke, Yueming Gao, Wufeng Zhang, Jiawen He, Yan Ma, Na Liu, Dan Xian, Ping Yang, Libo Zhao, Ryutaro Maeda, Yael Hanein and Zhuangde Jiang
Nanomaterials 2026, 16(9), 520; https://doi.org/10.3390/nano16090520 (registering DOI) - 25 Apr 2026
Abstract
Voice disorders severely limit verbal communication, creating a need for intuitive assistive technologies. To meet this need, we present epidermal strain sensors that capture strain signals during silent speech and hand gesture. A thin electrospun nanofiber layer integrated onto commercial polyurethane films guides [...] Read more.
Voice disorders severely limit verbal communication, creating a need for intuitive assistive technologies. To meet this need, we present epidermal strain sensors that capture strain signals during silent speech and hand gesture. A thin electrospun nanofiber layer integrated onto commercial polyurethane films guides uniform, controlled microcrack formation in screen-printed carbon conductive paths, achieving a gauge factor up to 243 over 0–40% strain. Signals from the seven-channel strain sensor array are recognized by a hybrid neural network that combines convolutional and Transformer architectures, reaching over 98% accuracy. The recognized outputs are rendered in virtual reality (VR), enabling intuitive, real-time communication. Moreover, the approach simplifies fabrication by enabling crack-based strain sensing with only a thin electrospun surface layer on commercial polyurethane films, eliminating the need for thick freestanding electrospun substrates. This cost-effective approach addresses limitations of conventional electrospun substrates by minimizing the thickness of the electrospun layer, thereby shortening the electrospinning time. Overall, the work demonstrates a method for translating natural non-verbal expressions into speech and text in VR, with promising applications in healthcare and assistive communication. Full article
(This article belongs to the Section Nanoelectronics, Nanosensors and Devices)
Show Figures

Figure 1

12 pages, 6236 KB  
Article
A Novel Dual-Gradient Patterned Wettability Current Collector for Passive DMFCs
by Yingli Zhu, Leyao Ban, Yingying Jing and Yangyang Cheng
Nanomaterials 2026, 16(9), 518; https://doi.org/10.3390/nano16090518 (registering DOI) - 25 Apr 2026
Abstract
Direct methanol fuel cells (DMFCs) offer significant advantages including high energy density and rapid refueling, making them promising power sources for portable electronic products. However, their practical application, particularly in passive systems, is hindered by critical mass transport limitations: water flooding in the [...] Read more.
Direct methanol fuel cells (DMFCs) offer significant advantages including high energy density and rapid refueling, making them promising power sources for portable electronic products. However, their practical application, particularly in passive systems, is hindered by critical mass transport limitations: water flooding in the cathode and CO2 bubble blockage in the anode. Herein, a novel dual-gradient patterned wettability current collector (CC) was designed to alleviate this mass transport impedance. The design uniquely integrates wedge-shaped gradients with surface energy gradients to create a unified, self-driven mechanism for efficient water and CO2 bubble transport at both electrodes. A mathematical model was developed to quantitatively evaluate the effects of the dual-gradient structure. The results confirm that water removal is enhanced when the cathode current collector features a hydrophobic periphery with a dual-gradient patterned wettability interior on the gas-diffusion-layer side and a fully hydrophilic air-side surface, whereas an inverted pattern facilitates anode CO2 removal. Optimal fabrication parameters on 316 L stainless steel were established by investigating laser scanning conditions and low-surface-energy agent concentrations. The experimental results show that the passive DMFCs incorporating the optimized current collectors delivered marked performance improvements. At 1 mol·L−1 methanol, the novel anode and cathode current collectors increased peak power density by 15.6% and 14.5%, respectively. Electrochemical impedance spectroscopy revealed a 31.4% and 31.9% reduction in mass transfer resistance of the cell with novel anode and cathode current collectors, respectively, confirming improved gas–liquid self-driven efficiency. Furthermore, the new cells exhibited substantially enhanced long-term stability over 18 h of continuous discharge, attributed to the robust wettability achieved via laser–silane modification. Overall, these findings suggest that the proposed dual-gradient wettability design is a promising method for improving internal mass transport, potentially supporting the development of more robust passive DMFCs. Full article
Show Figures

Figure 1

10 pages, 12369 KB  
Article
Stress Engineering in the Optimization of Next-Generation Hafnium-Based Ferroelectric Memory
by Zhenhai Li, Ruihong Yuan, Xingcan Guo, Yiqun Hu, Yongkai Liu, Jiajie Yu, Kangli Xu, Qingxuan Li, Tianyu Wang, Qingqing Sun, David Wei Zhang and Lin Chen
Nanomaterials 2026, 16(9), 516; https://doi.org/10.3390/nano16090516 (registering DOI) - 25 Apr 2026
Abstract
Hafnium oxide thin films have been extensively investigated for high-speed and low-power memory applications. Herein, we investigated the influence of oxygen vacancies and external stress on the ferroelectric characteristics of Al-doped HfO2 (HfAlO). Compared with HfAlO with 14% oxygen vacancies, films with [...] Read more.
Hafnium oxide thin films have been extensively investigated for high-speed and low-power memory applications. Herein, we investigated the influence of oxygen vacancies and external stress on the ferroelectric characteristics of Al-doped HfO2 (HfAlO). Compared with HfAlO with 14% oxygen vacancies, films with 21% oxygen vacancies could lower the polarization switching barrier and increase the fraction of the ferroelectric phase. Furthermore, significant external stress promotes ferroelectric phase formation, thereby enhancing ferroelectric characteristics. The remanent polarization achieved with W electrodes (2Pr = 38 µC/cm2) is about 18 times that of Au electrodes, owing to the lower thermal expansion coefficient of W electrodes. Density functional theory calculations and finite element analysis provide theoretical insights corroborating the experimental results, helping to pave the way for developing hafnium-based materials for next-generation in-memory computing applications. Full article
(This article belongs to the Special Issue HfO2-Based Ferroelectric Thin Films and Devices)
Show Figures

Figure 1

26 pages, 1411 KB  
Review
Nanoparticles: An Emerging Hope in Cancer Therapy
by Shahid Sher, Rosny Jean and Zaman Khan
Nanomaterials 2026, 16(9), 515; https://doi.org/10.3390/nano16090515 (registering DOI) - 24 Apr 2026
Viewed by 173
Abstract
Cancer remains a major global health challenge, characterized by abnormal cell growth and metastasis. Current limitations of conventional therapies, particularly non-specific toxicity harming healthy cells, highlight the need for more targeted approaches. Nanotechnology offers a revolutionary solution, utilizing nanoparticles (NPs) for precise drug [...] Read more.
Cancer remains a major global health challenge, characterized by abnormal cell growth and metastasis. Current limitations of conventional therapies, particularly non-specific toxicity harming healthy cells, highlight the need for more targeted approaches. Nanotechnology offers a revolutionary solution, utilizing nanoparticles (NPs) for precise drug delivery to tumor sites while minimizing off-target effects. These nanometer-scale particles enable superior binding to cancer cell membranes, the tumor microenvironment, or nuclear receptors, facilitating significantly higher local concentrations of therapeutic agents. NPs, synthesized via physical, chemical, or biological methods, are categorized as organic (organic material-based) or inorganic (metallic particle-based). Key delivery mechanisms include the Enhanced Permeability and Retention (EPR) effect and Active Transport and Retention (ATR). This review specifically examines NP applications for the most prevalent cancers in the US (2025): breast, prostate, and lung. Gold and magnetic NPs show significant promise for early breast cancer detection. For lung cancer, polymeric NPs like PCL, PLA, and PLGA are effective carriers for peptides, proteins, and nucleic acids. BIND-014, a docetaxel-loaded NP formulation, represents an emerging strategy for prostate cancer. Clinically established examples include liposomal doxorubicin and albumin-bound paclitaxel. We comprehensively discuss the synthesis methods, delivery mechanisms, and the current landscape of NPs in research and clinical trials for these cancers. This analysis underscores the potential of nanotechnology to provide more effective and targeted therapeutic options for cancer patients in the future. A distinctive feature of this review is its comparative cancer-specific analysis of NP platforms in breast, prostate, and lung cancers. Unlike previous generalized reviews, this work integrates synthesis strategies, delivery mechanisms, translational challenges, and clinically relevant formulations to provide a bench-to-bedside perspective on the future of nanomedicine in oncology. Full article
(This article belongs to the Topic Advanced Nanotechnology in Drug Delivery Systems)
Back to TopTop