Improving the Selectivity of a Catalytic Film/Gas-Sensitive Film Laminated Metal Oxide Semiconductor Sensor for Mustard Using Temperature Dynamic Modulation
Abstract
1. Introduction
2. Materials and Methods
2.1. Preparation of Layer Materials
2.1.1. Preparation of (Pt+Rh)-WO3 Slurry
2.1.2. Preparation of (Pt+Pd+Rh)@Al2O3 Slurry
2.2. Preparation of the Catalytic Layer/Gas-Sensitive Layer MOS Sensor
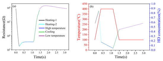
2.3. Heating Mode
3. Results and Discussion
3.1. Characterisation of Material
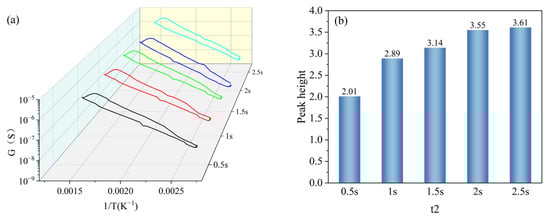
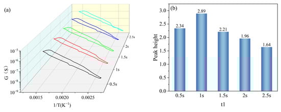
3.2. The Peak Signal and Optimisation of the Heating Parameters
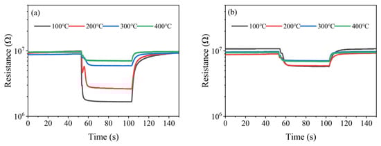
3.3. Selectivity Testing
4. Sensing Mechanism
4.1. Catalytic Mechanism
4.2. Gas-Sensitive Mechanism
4.3. Synergistic Mechanism Between the Catalytic Film and Gas-Sensitive Film
5. Conclusions
Author Contributions
Funding
Data Availability Statement
Conflicts of Interest
References
- Veríssimo, M.I.S. A critical review of the analytical performance of the most recent MOS-based gas sensors for indoor air quality monitoring of WHO priority pollutants. TrAC Trends Anal. Chem. 2024, 178, 117813. [Google Scholar] [CrossRef]
- Nadargi, D.Y.; Umar, A.; Nadargi, J.D.; Lokare, S.A.; Akbar, S.; Mulla, I.S.; Suryavanshi, S.S.; Bhandari, N.L.; Chaskar, M.G. Gas sensors and factors influencing sensing mechanism with a special focus on MOS sensors. J. Mater. Sci. 2023, 58, 559–582. [Google Scholar] [CrossRef]
- Xue, S.; Cao, S.; Huang, Z.; Yang, D.; Zhang, G. Improving gas-sensing performance based on MOS nanomaterials: A review. Materials 2021, 14, 4263. [Google Scholar] [CrossRef] [PubMed]
- Fu, Q.; Lu, K.; Li, N.; Dong, Z. Advances in the development of MOS-based sensors for detection of ethanol: A review. Mater. Res. Bull. 2023, 168, 112457. [Google Scholar] [CrossRef]
- Patil, A.G.; Pramanick, B.; Madhukar, A. MOS Based Gas Sensors for Monitoring of Air Pollution: A Review. IEEE Sens. J. 2025, 25, 9250–9262. [Google Scholar] [CrossRef]
- Jung, M.H.; Kwak, M.; Ahn, J.; Song, J.Y.; Kang, H.; Jung, H.T. Highly sensitive and selective acetylene CuO/ZnO heterostructure sensors through electrospinning at lean O2 concentration for transformer diagnosis. ACS Sens. 2024, 9, 217–227. [Google Scholar] [CrossRef]
- Khamfoo, K.; Wisitsoraat, A.; Punginsang, M.; Tuantranont, A.; Liewhiran, C. Selectivity towards acetylene gas of flame-spray-made Nb-substituted SnO2 particulate thick films. Sens. Actuators B Chem. 2021, 349, 130808. [Google Scholar] [CrossRef]
- Zhang, S.; Zhang, H.; Yao, H.; Wang, P.; Zhu, M.; Shi, X.; Xu, S. Recent advances in metal oxide semiconductor heterojunctions for the detection of volatile organic compounds. Chemosensors 2024, 12, 244. [Google Scholar] [CrossRef]
- Burgués, J.; Marco, S. Low power operation of temperature-modulated metal oxide semiconductor gas sensors. Sensors 2018, 18, 339. [Google Scholar] [CrossRef]
- Niu, G.; Zhuang, Y.; Hu, Y.; Liu, Z.; Wu, B.; Wang, F. Selective discrimination of VOCs gases at ppb-level using MOS gas sensor in temperature-pulsed operation mode with modified Hill equation. Surf. Interfaces 2024, 44, 103761. [Google Scholar] [CrossRef]
- Yang, Z.; Zhang, Y.; Zhao, L.; Fei, T.; Liu, S.; Zhang, T. The synergistic effects of oxygen vacancy engineering and surface gold decoration on commercial SnO2 for ppb-level DMMP sensing. J. Colloid Interface Sci. 2022, 608, 2703–2717. [Google Scholar] [CrossRef]
- Poloju, M.; Jayababu, N.; Reddy, M.V.R. Improved gas sensing performance of Al doped ZnO/CuO nanocomposite based ammonia gas sensor. Mater. Sci. Eng. B 2018, 227, 61–67. [Google Scholar] [CrossRef]
- Yuan, Z.; Zhao, J.; Meng, F.; Qin, W.; Chen, Y.; Yang, M.; Ibrahim, M.; Zhao, Y. Sandwich-like composites of double-layer Co3O4 and reduced graphene oxide and their sensing properties to volatile organic compounds. J. Alloys Compd. 2019, 793, 24–30. [Google Scholar] [CrossRef]
- Fu, H.; Wang, Q.; Ding, J.; Zhu, Y.; Zhang, M.; Yang, C.; Wang, S. Fe2O3 nanotube coating micro-fiber interferometer for ammonia detection. Sens. Actuators B Chem. 2020, 303, 127186. [Google Scholar] [CrossRef]
- Ye, Z.; Tai, H.; Xie, T.; Su, Y.; Yuan, Z.; Liu, C.; Jiang, Y. A facile method to develop novel TiO2/rGO layered film sensor for detecting ammonia at room temperature. Mater. Lett. 2016, 165, 127–130. [Google Scholar] [CrossRef]
- Si, R.; Xu, Y.; Shen, C.; Jiang, H.; Lei, M.; Guo, X.; Xie, S.; Gao, S.; Zhang, S. High-Selectivity Laminated Gas Sensor Based on Characteristic Peak under Temperature Modulation. ACS Sens. 2024, 9, 674–688. [Google Scholar] [CrossRef] [PubMed]
- Shang, Y.; Shi, W.; Zhao, R.; Ahmed, M.; Li, J.; Du, J. Simple self-assembly of 3D laminated CuO/SnO2 hybrid for the detection of triethylamine. Chin. Chem. Lett. 2020, 31, 2055–2058. [Google Scholar] [CrossRef]
- Chen, X.; Qin, C.; Zheng, Z.; Chi, H.; Ye, Z.; Zhu, L. Constructing bilayer sensors with Co-MOF-derived Co3O4 porous sensing films and SnO2 catalytic overlayers to enhance room-temperature triethylamine sensing performance. Ceram. Int. 2023, 49, 21455–21464. [Google Scholar] [CrossRef]
- Yang, L.; Xie, C.; Zhang, G.; Zhao, J.; Yu, X.; Zeng, D.; Zhang, S. Enhanced response to NO2 with CuO/ZnO laminated heterostructured configuration. Sens. Actuators B Chem. 2014, 195, 500–508. [Google Scholar] [CrossRef]
- Ruksana, S.; Kumar, A.; Lakshmy, S.; Kishore, K.R.; Sharma, C.S.; Kumar, M.; Chakraborty, B. Highly efficient CuO-anchored SnO2 nanofiber for low-concentration H2S gas sensors. ACS Appl. Eng. Mater. 2024, 2, 431–442. [Google Scholar] [CrossRef]
- Liu, Y.; Qi, Y.; Yang, W.; Ma, T.; Zhang, S.; Liang, T. Improved Selectivity of CeMnOx/Pt@SnO2 Laminated MOS Sensor for Hydrogen Cyanide Under Temperature Dynamic Modulation. Nanomaterials 2025, 15, 155. [Google Scholar] [CrossRef]
- Fan, Y.; Song, L.; Wang, W.; Fan, H. Nano-Micro Structure of Metal Oxide Semiconductors for Triethylamine Sensors: ZnO and In2O3. Nanomaterials 2025, 15, 427. [Google Scholar] [CrossRef]
- Kumar, A.; Kumar, M.; Kumar, R.; Singh, R.; Prasad, B.; Kumar, D. Numerical model for the chemical adsorption of oxygen and reducing gas molecules in presence of humidity on the surface of semiconductor metal oxide for gas sensors applications. Mater. Sci. Semicond. Process. 2019, 90, 236–244. [Google Scholar] [CrossRef]


















| Gases | Catalytic Products (Based on AIP Signals in GC-IMS Profiles) | |||
|---|---|---|---|---|
| 100 °C | 200 °C | 300 °C | 400 °C | |
| HD | HD | HD | HD, C4H8Cl2OS | HD, C4H8Cl2OS |
| CO | CO | CO | CO | CO |
| NO | NO, NO2 | NO, NO2 | NO, NO2 | NO, NO2 |
| NO2 | NO2 | NO2 | NO2 | NO2 |
| CH4 | - | - | - | - |
| C2H4 | C2H4 | C2H4 | C2H4 | C2H4 |
| SO2 | SO2 | SO2 | SO2 | SO2 |
| C7H8 | C7H8 | C7H8, C7H6O | C7H8, C7H6O | C7H8, C7H6O |
| C2H4Cl2 | C2H4Cl2 | C2H4Cl2 | C2H4Cl2 | C2H4Cl2 |
| NH3 | NH3 | NH3 | NH3 | NH3 |
| HCl | HCl | HCl | HCl | HCl |
| Cl2 | Cl2 | Cl2 | Cl2 | Cl2 |
| C3H8O | C3H8O, C5H8O3 | C3H8O, C5H8O3 | C3H8O, C5H8O3 | C3H8O, C5H8O3 |
Disclaimer/Publisher’s Note: The statements, opinions and data contained in all publications are solely those of the individual author(s) and contributor(s) and not of MDPI and/or the editor(s). MDPI and/or the editor(s) disclaim responsibility for any injury to people or property resulting from any ideas, methods, instructions or products referred to in the content. |
© 2025 by the authors. Licensee MDPI, Basel, Switzerland. This article is an open access article distributed under the terms and conditions of the Creative Commons Attribution (CC BY) license (https://creativecommons.org/licenses/by/4.0/).
Share and Cite
Qi, Y.; Liang, T.; Yang, W.; Ma, T.; Zhao, S.; Liu, Y. Improving the Selectivity of a Catalytic Film/Gas-Sensitive Film Laminated Metal Oxide Semiconductor Sensor for Mustard Using Temperature Dynamic Modulation. Nanomaterials 2025, 15, 1232. https://doi.org/10.3390/nano15161232
Qi Y, Liang T, Yang W, Ma T, Zhao S, Liu Y. Improving the Selectivity of a Catalytic Film/Gas-Sensitive Film Laminated Metal Oxide Semiconductor Sensor for Mustard Using Temperature Dynamic Modulation. Nanomaterials. 2025; 15(16):1232. https://doi.org/10.3390/nano15161232
Chicago/Turabian StyleQi, Yelin, Ting Liang, Wen Yang, Tengbo Ma, Siyue Zhao, and Yadong Liu. 2025. "Improving the Selectivity of a Catalytic Film/Gas-Sensitive Film Laminated Metal Oxide Semiconductor Sensor for Mustard Using Temperature Dynamic Modulation" Nanomaterials 15, no. 16: 1232. https://doi.org/10.3390/nano15161232
APA StyleQi, Y., Liang, T., Yang, W., Ma, T., Zhao, S., & Liu, Y. (2025). Improving the Selectivity of a Catalytic Film/Gas-Sensitive Film Laminated Metal Oxide Semiconductor Sensor for Mustard Using Temperature Dynamic Modulation. Nanomaterials, 15(16), 1232. https://doi.org/10.3390/nano15161232
