Sign in to use this feature.

Years

Between: -

Article Types

Countries / Regions

Search Results (144)

Search Parameters:
Journal = Actuators
Section = Precision Actuators

Order results
Result details
Results per page
Select all
Export citation of selected articles as:
24 pages, 4524 KB  
Article
Anti-Disturbance Gimbal Control via Adaptive Proportional-Integral-Resonant Controller and ESO for Control Moment Gyroscope with Vibration Isolator
by Shaobo Li, Zhong Wu and Boxu Zhu
Actuators 2026, 15(4), 215; https://doi.org/10.3390/act15040215 - 13 Apr 2026
Viewed by 190
Abstract
In order to mitigate the effects of micro-vibrations due to control moment gyroscopes (CMGs) on spacecraft attitude control system, they are often mounted on isolation platforms. However, the flexible deformation of isolators may cause certain disturbances in CMG gimbal servo systems. In addition, [...] Read more.
In order to mitigate the effects of micro-vibrations due to control moment gyroscopes (CMGs) on spacecraft attitude control system, they are often mounted on isolation platforms. However, the flexible deformation of isolators may cause certain disturbances in CMG gimbal servo systems. In addition, gimbal servo systems also suffer from intrinsic disturbances due to rotor imbalance and gimbal components. Since these disturbances are distributed over a wide frequency range, they are difficult to suppress and may seriously deteriorate gimbal control performance. To suppress multiple disturbances and improve gimbal speed accuracy, a composite anti-disturbance control method is proposed. The proposed method consists of two components. The first component adopts an adaptive proportional-integral-resonant controller with phase compensation to suppress disturbance due to isolator and rotor imbalance disturbance with improved transient performance. The second component adopts an adaptive extended state observer to estimate and then compensate slowly varying disturbances with improved dynamic performance and steady-state accuracy. By integrating these two components, the proposed method can effectively suppress multiple disturbances in CMG gimbal servo systems. Simulation and experimental results demonstrate the superior performance of the proposed method. Full article
Show Figures

Figure 1

18 pages, 1954 KB  
Article
A Pole-Placement-Based Variable-Gain Observer for Precision Motion Stages: Addressing the Disturbance-Noise Trade-Off
by Aichen Wu, Xipeng Wu, Fazhi Song, Pengyu Sun and Jiubin Tan
Actuators 2026, 15(2), 100; https://doi.org/10.3390/act15020100 - 4 Feb 2026
Viewed by 485
Abstract
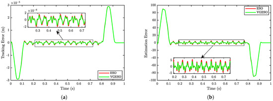
Accurate pattern transfer in the lithography process demands extreme positioning accuracy. However, various external disturbances acting on the wafer stage can lead to positioning errors. To address this issue, this paper proposes a pole-placement-based Variable-Gain Extended State Observer (VGESO). First, the trade-off between [...] Read more.
Accurate pattern transfer in the lithography process demands extreme positioning accuracy. However, various external disturbances acting on the wafer stage can lead to positioning errors. To address this issue, this paper proposes a pole-placement-based Variable-Gain Extended State Observer (VGESO). First, the trade-off between disturbance rejection and noise attenuation faced by conventional Extended State Observers (ESOs) in precision motion systems is analyzed. Then, a modified ESO structure is introduced, in which two pole-related parameters are employed to adaptively adjust the observer gains. These parameters enable effective suppression of both low-frequency disturbances and high-frequency measurement noise within their designated ranges. Finally, simulation results verify the effectiveness and superior performance of the proposed method. Full article
(This article belongs to the Section Precision Actuators)
Show Figures

Figure 1

12 pages, 2753 KB  
Article
Thermo-Structural and Dynamic Performance Analysis of a 42CrMo4 Steel Ball Screw Assembly
by Osama Ali, Atif Niaz, Osama Salem, Anisha Karki, Ai Ting, Dong Won Jung and Ji Hyun Jeong
Actuators 2026, 15(1), 66; https://doi.org/10.3390/act15010066 - 21 Jan 2026
Viewed by 466
Abstract
This study presents a comprehensive thermo-structural and modal analysis of a ball screw assembly. Thermal analysis revealed a maximum temperature of 29.1 °C at the ball nut, corresponding to a total rise of 7.1 °C above ambient. The resulting thermal deformation reached 77.81 [...] Read more.
This study presents a comprehensive thermo-structural and modal analysis of a ball screw assembly. Thermal analysis revealed a maximum temperature of 29.1 °C at the ball nut, corresponding to a total rise of 7.1 °C above ambient. The resulting thermal deformation reached 77.81 μm, while the von Mises stress peaked at 53.9 MPa, both within acceptable limits. Modal simulation of 360 modes showed a sharp increase in frequency with mode number and larger deformation patterns at the higher modes. The first two modes dominate the effective mass with the first 8 modes capturing over 90% of the cumulative effective mass. Overall, the results demonstrate stable thermal performance, limited deformation, low stress, and controlled vibrations, confirming the modeling approach and the suitability of 42CrMo4 steel for high-precision ball screw assemblies. Full article
(This article belongs to the Section Precision Actuators)
Show Figures

Figure 1

26 pages, 22711 KB  
Article
Advanced Servo Control and Adaptive Path Planning for a Vision-Aided Omnidirectional Launch Platform in Sports-Training Applications
by Shuai Wang, Yinuo Xie, Kangyi Huang, Jun Lang, Qi Liu and Yaoming Zhuang
Actuators 2025, 14(12), 614; https://doi.org/10.3390/act14120614 - 15 Dec 2025
Viewed by 883
Abstract
A system-level scheme that couples a multi-dimensional attention-fused vision model and an improved Dijkstra planner is proposed for basketball robots in complex scenes. Fast-moving object detection, cluttered background recognition, and real-time path decision are targeted. For vision, the proposed YOLO11 with Multi-dimensional Attention [...] Read more.
A system-level scheme that couples a multi-dimensional attention-fused vision model and an improved Dijkstra planner is proposed for basketball robots in complex scenes. Fast-moving object detection, cluttered background recognition, and real-time path decision are targeted. For vision, the proposed YOLO11 with Multi-dimensional Attention Fusion (YOLO11-MAF) is equipped with four modules: Coordinate Attention (CoordAttention), Efficient Channel Attention (ECA), Multi-Scale Channel Attention (MSCA), and Large-Separable Kernel Attention (LSKA). Detection accuracy and robustness for high-speed basketballs are raised. For planning, an improved Dijkstra algorithm is proposed. Binary heap optimization and heuristic fusion cut time complexity from O(V2) to O((V+E)logV). Redundant expansions are removed and planning speed is increased. A complete robot platform integrating mechanical, electronic, and software components is constructed. End-to-end experiments show the improved vision model raises mAP@0.5 by 0.7% while keeping real-time frames per second (FPS). The improved path planning algorithm cuts average compute time by 16% and achieves over 95% obstacle avoidance success. The work offers a new approach for real-time perception and autonomous navigation of intelligent sport robots. It lays a basis for future multi-sensor fusion and adaptive path planning research. Full article
(This article belongs to the Special Issue Advanced High-Precision Control Systems in Industrial Applications)
Show Figures

Figure 1

17 pages, 3579 KB  
Article
Accuracy Evaluation of a Linear Servo Positioning System
by Tamás Tornai, János Simon, László Gogolák and Igor Fürstner
Actuators 2025, 14(12), 613; https://doi.org/10.3390/act14120613 - 15 Dec 2025
Viewed by 753
Abstract
Reliable positioning performance is crucial in precision industrial automation, especially under dynamic conditions. This research focuses on examining the accuracy of a toothed belt driven linear servo motor positioning system, with the aim of identifying the main factors influencing position deviation. The system [...] Read more.
Reliable positioning performance is crucial in precision industrial automation, especially under dynamic conditions. This research focuses on examining the accuracy of a toothed belt driven linear servo motor positioning system, with the aim of identifying the main factors influencing position deviation. The system was built on a Power Belt ITO 060M shaft, controlled by an Rtelligent RS200-G servo controller and an Omron CP1L-E PLC. Position measurement was performed by a laser distance meter and a Cognex IS2000C-130-40-SR8 industrial camera, both calibrated with certified gauge blocks. The linear unit was moved to predefined points at different speeds, accelerations, and decelerations profiles and the resulting position deviation was recorded for each case. Several analytical methods were used to evaluate the collected measurement data to determine which factors have the greatest impact on positioning error. The result showed that speed significantly affected the accuracy of the system, while the effects of deceleration and acceleration were less pronounced. The study contributes to the fine-tuning of linear motion system and the targeted improvement of their performance. Full article
(This article belongs to the Section Precision Actuators)
Show Figures

Figure 1

23 pages, 4098 KB  
Article
Modeling of the Dynamic Characteristics for a High-Load Magnetorheological Fluid-Elastomer Isolator
by Yu Tao, Wenhao Chen, Feifei Liu and Ruijie Han
Actuators 2025, 14(9), 442; https://doi.org/10.3390/act14090442 - 5 Sep 2025
Viewed by 870
Abstract
To meet the vibration isolation requirements of engines under diverse operating conditions, this paper proposes a novel magnetorheological fluid-elastomer isolator with high load and tunable parameters. The mechanical and magnetic circuit structures of the isolator were designed and optimized through theoretical calculations and [...] Read more.
To meet the vibration isolation requirements of engines under diverse operating conditions, this paper proposes a novel magnetorheological fluid-elastomer isolator with high load and tunable parameters. The mechanical and magnetic circuit structures of the isolator were designed and optimized through theoretical calculations and finite element simulations, achieving effective vibration isolation within confined spaces. The dynamic performance of the isolator was experimentally evaluated using a hydraulic testing system under varying excitation amplitudes, frequencies, initial positions, and magnetic fields. Experimental results indicate that the isolator achieves a static stiffness of 3 × 106 N/m and a maximum adjustable compression load range of 105.4%. In light of the asymmetric nonlinear dynamic behavior of the isolator, an improved nine-parameter Bouc–Wen model is proposed. Parameter identification performed via a genetic algorithm demonstrates a model accuracy of 95.0%, with a minimum error reduction of 28.8% compared to the conventional Bouc–Wen model. Full article
(This article belongs to the Section Precision Actuators)
Show Figures

Figure 1

18 pages, 6348 KB  
Article
A Study on Reducing Loss in PCB Motor Stator Using Multi-Via Structure
by Su-Bin Jeon, Do-Hyeon Choi, Hyung-Sub Han, Yun-Ha Song and Won-Ho Kim
Actuators 2025, 14(9), 424; https://doi.org/10.3390/act14090424 - 29 Aug 2025
Cited by 1 | Viewed by 2041
Abstract
This study proposes a multi-via structure as a loss-reduction design technique to mitigate current crowding in a slotless axial flux permanent magnet motor (AFPM) equipped with printed circuit board (PCB) stators. The PCB stator enables high current density operation through parallel copper-foil stacking [...] Read more.
This study proposes a multi-via structure as a loss-reduction design technique to mitigate current crowding in a slotless axial flux permanent magnet motor (AFPM) equipped with printed circuit board (PCB) stators. The PCB stator enables high current density operation through parallel copper-foil stacking and supports an ultra-compact structural configuration. However, current concentration in the via regions can increase copper loss and phase resistance. In this work, the via position and diameter were defined as design variables to perform a sensitivity analysis of current distribution and phase resistance variation. The effects of current density dispersion and the potential for copper loss reduction were evaluated using three-dimensional finite-element analysis (FEA). The results confirm that adopting a multi-via structure improves current path uniformity and reduces electrical losses, thereby enhancing overall efficiency. Furthermore, the analysis shows that excessive via enlargement or overuse does not necessarily yield optimal results and, in certain cases, may lead to localized current peaks. These findings demonstrate that the multi-via structure is an effective and appropriate design strategy for PCB stators and highlight the importance of optimized via placement tailored to each stator configuration. Full article
(This article belongs to the Special Issue Recent Developments in Precision Actuation Technologies)
Show Figures

Figure 1

17 pages, 8082 KB  
Article
NPS6D100—A 6D Nanopositioning System with Sub-10 nm Performance in a Ø100 mm × 10 mm Workspace
by Steffen Hesse, Alex Huaman, Michael Katzschmann and Ludwig Herzog
Actuators 2025, 14(8), 361; https://doi.org/10.3390/act14080361 - 22 Jul 2025
Viewed by 845
Abstract
This paper presents the development of a compact nanopositioning stage with long-range capabilities and six-degree-of-freedom (DOF) closed-loop control. The system, referred to as NPS6D100, provides Ø100 mm planar and 10 mm vertical travel range while maintaining direct force transfer to the moving platform [...] Read more.
This paper presents the development of a compact nanopositioning stage with long-range capabilities and six-degree-of-freedom (DOF) closed-loop control. The system, referred to as NPS6D100, provides Ø100 mm planar and 10 mm vertical travel range while maintaining direct force transfer to the moving platform (or slider) in all DOFs. Based on an integrated planar direct drive concept, the system is enhanced by precise vertical actuation and full 6D output feedback control. The mechanical structure, drive architecture, guiding, and measurement subsystems are described in detail, along with experimental results that confirm sub-10 nm servo errors under constant setpoint operation and in synchronized multi-axis motion scenarios. With its scalable and low-disturbance design, the NPS6D100 is well suited as a nanopositioning platform for sub-10 nm applications in nanoscience and precision metrology. Full article
(This article belongs to the Special Issue Recent Developments in Precision Actuation Technologies)
Show Figures

Figure 1

30 pages, 7377 KB  
Article
Gas–Solid Coupling Dynamic Modeling and Transverse Vibration Suppression for Ultra-High-Speed Elevator
by Jiacheng Jiang, Chengjin Qin, Pengcheng Xia and Chengliang Liu
Actuators 2025, 14(7), 319; https://doi.org/10.3390/act14070319 - 25 Jun 2025
Cited by 1 | Viewed by 770
Abstract
When in operation, ultra-high-speed elevators encounter transverse vibrations due to uneven guide rails and airflow disturbances, which can greatly undermine passenger comfort. To alleviate these adverse effects and boost passenger comfort, a gas–solid coupling dynamic model for ultra-high-speed elevator cars is constructed, and [...] Read more.
When in operation, ultra-high-speed elevators encounter transverse vibrations due to uneven guide rails and airflow disturbances, which can greatly undermine passenger comfort. To alleviate these adverse effects and boost passenger comfort, a gas–solid coupling dynamic model for ultra-high-speed elevator cars is constructed, and a vibration suppression approach is proposed. To start with, the flow field model of the elevator car-shaft under different motion states is simulated, and the calculation formula of air excitation is derived. Next, by incorporating the flow field excitation into the four degrees of freedom dynamic model of the separation between the car and the frame, a transverse vibration model of the elevator car based on gas–solid coupling is established. Finally, an LQR controller is used to suppress elevator transverse vibration, and a multi-objective optimization algorithm is applied to optimize the parameters of the weight matrix to obtain the optimal solution of the LQR controller. A set of controllers with moderate control cost and system performance meeting the requirements was selected, and the effectiveness of the controller was verified. Compared with other methods, the proposed LQR-based method has greater advantages in suppressing the transverse vibration of ultra-high-speed elevators. This work provides an effective solution for enhancing the ride comfort of ultra-high-speed elevators and holds potential for application in the vibration control of high-speed transportation systems. Full article
(This article belongs to the Special Issue Recent Developments in Precision Actuation Technologies)
Show Figures

Figure 1

20 pages, 2287 KB  
Article
The Design of a Turning Tool Based on a Self-Sensing Giant Magnetostrictive Actuator
by Dongjian Xie, Qibo Wu, Yahui Zhang, Yikun Yang, Bintang Yang and Cheng Zhang
Actuators 2025, 14(6), 302; https://doi.org/10.3390/act14060302 - 19 Jun 2025
Viewed by 973
Abstract
Smart tools are limited by actuation–sensing integration and structural redundancy, making it difficult to achieve compactness, ultra-precision feed, and immediate feedback. This paper proposes a self-sensing giant magnetostrictive actuator-based turning tool (SSGMT), which enables simultaneous actuation and output sensing without external sensors. A [...] Read more.
Smart tools are limited by actuation–sensing integration and structural redundancy, making it difficult to achieve compactness, ultra-precision feed, and immediate feedback. This paper proposes a self-sensing giant magnetostrictive actuator-based turning tool (SSGMT), which enables simultaneous actuation and output sensing without external sensors. A multi-objective optimization model is first established to determine the key design parameters of the SSGMT to improve magnetic transfer efficiency, system compactness, and sensing signal quality. Then, a dynamic hysteresis model with a Hammerstein structure is developed to capture its nonlinear characteristics. To ensure accurate positioning and a robust response, a hybrid control strategy combining feedforward compensation and adaptive feedback is implemented. The SSGMT is experimentally validated through a series of tests including self-sensing displacement accuracy and trajectory tracking under various frequencies and temperatures. The prototype achieves nanometer-level resolution, stable output, and precise tracking across different operating conditions. These results confirm the feasibility and effectiveness of integrating actuation and sensing in one structure, providing a promising solution for the application of smart turning tools. Full article
(This article belongs to the Special Issue Recent Developments in Precision Actuation Technologies)
Show Figures

Figure 1

16 pages, 8112 KB  
Article
Identification and Compensation of Detection Gain Asymmetry Errors for Hemispherical Resonant Gyroscopes in Whole-Angle Mode
by Ruizhao Cheng, Gongliu Yang, Qingzhong Cai, Xiaodi Yi and Yongqiang Tu
Actuators 2025, 14(6), 275; https://doi.org/10.3390/act14060275 - 3 Jun 2025
Cited by 1 | Viewed by 1514
Abstract
Detection gain asymmetry error is one of the primary errors of the hemispherical resonator gyroscope (HRG) in whole-angle (WA) mode. This paper analyzes the influence of detection gain asymmetry error and its coupling error with damping and stiffness asymmetry on the performance of [...] Read more.
Detection gain asymmetry error is one of the primary errors of the hemispherical resonator gyroscope (HRG) in whole-angle (WA) mode. This paper analyzes the influence of detection gain asymmetry error and its coupling error with damping and stiffness asymmetry on the performance of HRG and proposes a novel compensation method for detection gain asymmetry error. Firstly, the nonlinear error model of HRG considering the detection gain asymmetry error and its coupling error is established by using the average method. The influence of the angle-dependent scale factor error (ADS) and angle-dependent bias error (ADB) caused by the detection gain asymmetry error is analyzed by numerical simulation. Secondly, a parameter estimation algorithm based on force-to-rebalance (FTR) mode is proposed to decouple and identify the detection gain asymmetry error and damping asymmetry error. The identified parameters are used for the calibration of the HRG. Finally, the method is applied to the HRG operating in WA mode. The effectiveness of the proposed method is verified by experiments. After compensation, the bias instability is reduced from 3.6°/h to 0.6°/h, the scale factor nonlinearity is reduced from 646.57 ppm to 207.43 ppm, and the maximum pattern angle deviation is reduced from 0.6° to 0.05°. Full article
(This article belongs to the Section Precision Actuators)
Show Figures

Figure 1

13 pages, 3176 KB  
Communication
The Design of a Closed-Loop Piezoelectric Friction–Inertia XY Positioning Platform with a Centimeter Travel Range
by Zheng-Rong Guo, Hong-Sheng Tan, Chin-Shun Chang, Ing-Shouh Hwang, En-Te Hwu and Hsien-Shun Liao
Actuators 2025, 14(6), 265; https://doi.org/10.3390/act14060265 - 28 May 2025
Cited by 1 | Viewed by 1431
Abstract
Friction–inertia piezoelectric actuators can perform long-range positioning with nanometer resolution. However, friction and inertia are not easy to control and can influence the actuator’s performance. The present study proposes a friction–inertia-type piezoelectric XY positioning platform with a simple structure, which uses magnets to [...] Read more.
Friction–inertia piezoelectric actuators can perform long-range positioning with nanometer resolution. However, friction and inertia are not easy to control and can influence the actuator’s performance. The present study proposes a friction–inertia-type piezoelectric XY positioning platform with a simple structure, which uses magnets to provide stable normal force and friction. Sliders and rails were used to provide long travel ranges of 80 mm and 70 mm in the X and Y directions, respectively. Compact optical encoders were installed on the platform to enhance the positioning accuracy. With a three-phase positioning strategy involving both stepping and closed-loop methods, the system achieved a positioning accuracy of 3 µm (0.03%) and a repeatability of 325 nm (0.0033%) over a 10 mm long travel range. The positioning resolution was 4.7 nm, which was primarily limited by optical encoder noise under the closed-loop control mode. An astigmatic optical profilometer was used for the wide-range and high-resolution surface imaging of the XY positioning platform. Full article
(This article belongs to the Section Precision Actuators)
Show Figures

Figure 1

11 pages, 1374 KB  
Article
A Preemptive Scan Speed Control Strategy Based on Topographic Data for Optimized Atomic Force Microscopy Imaging
by Thi Thu Nguyen, Oyoo Michael Juma, Luke Oduor Otieno, Thi Ngoc Nguyen and Yong Joong Lee
Actuators 2025, 14(6), 262; https://doi.org/10.3390/act14060262 - 26 May 2025
Viewed by 1076
Abstract
Rapid advancement in the nanotechnology and semiconductor industries has driven the demand for fast, precise measurement systems. Atomic force microscopy (AFM) is a standout metrology technique due to its high precision and wide applicability. However, when operated at high speeds, the quality of [...] Read more.
Rapid advancement in the nanotechnology and semiconductor industries has driven the demand for fast, precise measurement systems. Atomic force microscopy (AFM) is a standout metrology technique due to its high precision and wide applicability. However, when operated at high speeds, the quality of AFM images often deteriorates, especially in areas where sharp topographic features are present. This occurs because the feedback speed of the Z-scanner cannot keep up with the sample height changes during raster scanning. This study presents a simple variable scan speed control strategy for improving AFM imaging speed while maintaining the image quality obtained at low scan speeds. The proposed strategy aims to leverage the similarity in the height profiles between successive scan lines. The topographic information collected from the previous line scan is used to assess the surface complexity and to adjust the scan speed for the following line scan. The AFM system with this variable speed control algorithm was found to reduce the scan time needed for one AFM image by over 50% compared to the fixed-speed scanning while maintaining the similar level of accuracy. The calculated mean square errors (MSEs) show that the combination of speed adjustments and preemptive surface topography prediction has successfully allowed us to suppress the potential oscillations during the speed adjustment process, thereby enhancing the stability of the adaptive AFM system as well. Full article
(This article belongs to the Section Precision Actuators)
Show Figures

Figure 1

10 pages, 3228 KB  
Article
Research on a Miniature Underwater Vehicle Based on a Multi-Unit Underwater Coupled Jet Drive
by Dong Zhang, Xingming Ma, Xue Zhang, Peng Gao and Kai Li
Actuators 2025, 14(5), 244; https://doi.org/10.3390/act14050244 - 13 May 2025
Viewed by 1215
Abstract
The underwater unstructured environment poses new challenges for the miniaturization and flexibility of underwater vehicles. This paper proposes a method of using micrometer-scale vibrations of piezoelectric vibrators to drive macroscopic jets. Then, we use two coupled piezoelectric jet driving units to construct a [...] Read more.
The underwater unstructured environment poses new challenges for the miniaturization and flexibility of underwater vehicles. This paper proposes a method of using micrometer-scale vibrations of piezoelectric vibrators to drive macroscopic jets. Then, we use two coupled piezoelectric jet driving units to construct a miniature underwater vehicle. Numerical simulation is used to investigate the flow field characteristics of coupled jets. Finally, the impact of the angle between the two piezoelectric jet drive units on the propulsion force is analyzed. The miniature underwater vehicle measures 77.8 mm in length and 87 mm in width. While achieving miniaturization, it maintains high flexibility, maneuverability, and controllability. By adjusting the input signals to the two piezoelectric jet drive units, the miniature underwater vehicle can move in a straight line, turn, and rotate. Its maximum linear velocity reaches 54.23 mm/s. Its outstanding motion ability and environmental adaptability allow it to perform various tasks in unknown and complex environments. It also has broad application prospects. Full article
(This article belongs to the Special Issue Piezoelectric Ultrasonic Actuators and Motors)
Show Figures

Figure 1

20 pages, 12723 KB  
Article
Line-of-Sight Stabilization and High-Precision Target Tracking Technology of the Risley Prism System on Motion Platforms
by Huayang Xia, Hongfeng Xia, Jinying Li, Yunxia Xia, Yihan Luo, Liangzhu Yuan, Haotong Ma, Piao Wen and Wenna Yuan
Actuators 2025, 14(5), 240; https://doi.org/10.3390/act14050240 - 9 May 2025
Cited by 1 | Viewed by 1443
Abstract
The Risley prism system offers advantages such as compact structure and excellent dynamic performance, making it suitable for installation on static and motion platforms for target acquisition, aiming, and tracking. This paper presents a strapdown line-of-sight (LOS) stabilization method for the Risley prism [...] Read more.
The Risley prism system offers advantages such as compact structure and excellent dynamic performance, making it suitable for installation on static and motion platforms for target acquisition, aiming, and tracking. This paper presents a strapdown line-of-sight (LOS) stabilization method for the Risley prism system on motion platforms. The method establishes the coordinate transformation between the Risley prism and the motion platform. Real-time platform attitude angles from an inertial measurement unit (IMU) are used to compute the direction cosine matrix, which, combined with the coordinate transformation, determines the target’s actual guided position in the Risley prism’s coordinate. The Risley prism’s rotational angles are then calculated based on the target’s actual guided position to ensure LOS stability and capture the target. After LOS stabilization, an image-based closed-loop tracking cascade control system that integrates a Risley prism and a fast steering mirror with a single image detector (IBCLTCR-F), is used to enable fast and high-precision target tracking. Experimental results demonstrate that the proposed method achieves disturbance rejection of −32.8 dB, −28.8 dB, and −17.3 dB for platform disturbances at 0.05 Hz, 0.2 Hz, and 0.5 Hz, respectively. Furthermore, compared to the Risley prism system, the IBCLTCR-F system improves the dynamic response capability of target tracking in the nonlinear region by a factor of 10 and reduces the tracking error by 70%. Full article
(This article belongs to the Section Precision Actuators)
Show Figures

Figure 1

Back to TopTop