Thermo-Structural and Dynamic Performance Analysis of a 42CrMo4 Steel Ball Screw Assembly
Abstract
1. Introduction
2. Methodology
2.1. CAD Modeling of the Ball Screw
2.2. Simulation Setup and Boundary Conditions
2.3. Thermal Analysis
2.4. Structural Analysis
2.5. Modal Analysis
3. Results and Discussion
3.1. Mesh Convergence Study
3.2. Thermal and Structural Analysis Results
3.3. Modal Analysis Results
4. Conclusions
- The maximum temperature rise was approximately 7.1 °C above ambient, with a peak temperature of 29.1 °C localized around the ball nut region.
- The maximum total deformation was found to be 77.81 µm, and the maximum equivalent (von Mises) stress was 53.9 MPa, remaining well below the yield strength of 42CrMo4 (650 MPa).
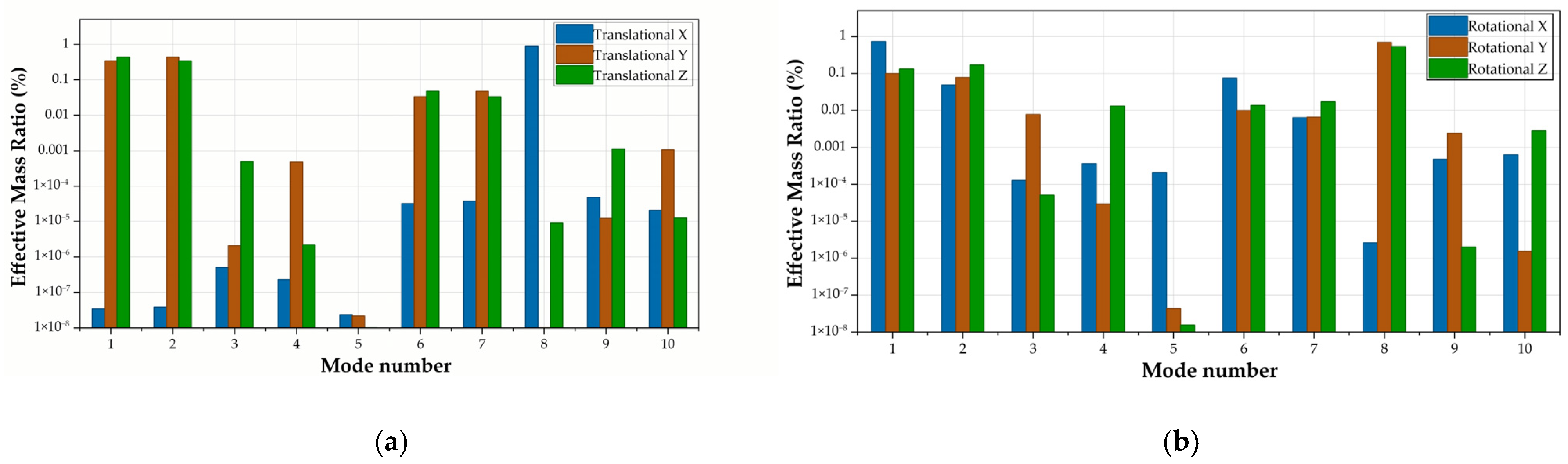
- A total of 360 vibration modes were extracted, with the first two modes dominating the system’s effective mass participation (≈80%) and exhibiting natural frequencies near 105 Hz.
5. Limitation and Future Work
- The present analysis assumes steady-state thermal conditions and does not account for transient temperature variations that may occur during acceleration or variable loading cycles.
- Ball–nut contact interactions were simplified using a thermal-load substitution approach, which neglects localized heat generation and contact stresses within the raceways.
- The influence of lubrication properties, preload variation, and manufacturing tolerances was not explicitly modeled and may affect real-world performance.
- Experimental validation of the simulated results is recommended to verify the accuracy of thermal and modal predictions.
- Further studies can investigate alternative materials or surface coatings to improve thermal dissipation and wear resistance in high-speed applications.
Author Contributions
Funding
Institutional Review Board Statement
Informed Consent Statement
Data Availability Statement
Acknowledgments
Conflicts of Interest
Abbreviations
| FEM | Finite Element Method |
| CNC | Computer Numerical Control |
| APDL | Ansys Parametric Design Language |
| OMA | Operational Modal Analysis |
| CAD | Computer-Aided Design |
| ISO | International Organization for Standardization |
References
- Qiu, Y.-L.; Zhou, C.-G.; Ou, Y.; Feng, F.-T. Theoretical and experimental analysis of the temperature rise of a ball screw. Int. J. Adv. Manuf. Technol. 2023, 127, 703–715. [Google Scholar] [CrossRef]
- Liang, Y.; Su, H.; Lu, L.; Chen, W.; Sun, Y.; Zhang, P. Thermal optimization of an ultra-precision machine tool by the thermal displacement decomposition and counteraction method. Int. J. Adv. Manuf. Technol. 2015, 76, 635–645. [Google Scholar] [CrossRef]
- Altintas, Y.; Verl, A.; Brecher, C.; Uriarte, L.; Pritschow, G. Machine tool feed drives. CIRP Ann. 2011, 60, 779–796. [Google Scholar] [CrossRef]
- Soori, M.; Arezoo, B. Modification of CNC Machine Tool Operations and Structures Using Finite Element Methods: A Review. Jordan J. Mech. Ind. Eng. 2023, 17, 327–343. [Google Scholar] [CrossRef] [PubMed]
- Li, T.-J.; Zhao, C.-Y.; Zhang, Y.-M. Adaptive real-time model on thermal error of ball screw feed drive systems of CNC machine tools. Int. J. Adv. Manuf. Technol. 2018, 94, 3853–3861. [Google Scholar] [CrossRef]
- Xu, Z.-Z.; Choi, C.; Liang, L.-J.; Li, D.-Y.; Lyu, S.-K. Study on a novel thermal error compensation system for high-precision ball screw feed drive (1st report: Model, calculation and simulation). Int. J. Precis. Eng. Manuf. 2015, 16, 2005–2011. [Google Scholar] [CrossRef]
- Li, Z.; Fan, K.; Yang, J.; Zhang, Y. Time-varying positioning error modeling and compensation for ball screw systems based on simulation and experimental analysis. Int. J. Adv. Manuf. Technol. 2014, 73, 773–782. [Google Scholar] [CrossRef]
- Razak, I.H.A.; Muhamad, W.M.W.; Reshid, M.N.; Baharudin, N.S. CNC Machine Capability Study Based on Structural and Thermal Analysis of Ball Screw Using Finite Element Method. 2017. Available online: https://api.semanticscholar.org/CorpusID:189920073 (accessed on 9 August 2025).
- Oyanguren, A.; Larrañaga, J.; Ulacia, I. Thermo-mechanical modelling of ball screw preload force variation in different working conditions. Int. J. Adv. Manuf. Technol. 2018, 97, 723–739. [Google Scholar] [CrossRef]
- Shang, P.; Gao, C.; Han, Z.; Liu, T.; Gao, W.G.; Zhang, J.J.; Zhang, D.W. Simulation study on thermal balance-temperature rise characteristics of a precision ball screw-nut pair. J. Tianjin Univ. Sci. Technol. 2019, 52, 725–732. [Google Scholar]
- Chen, J.-S.; Huang, Y.-K.; Cheng, C.-C. Mechanical model and contouring analysis of high-speed ball-screw drive systems with compliance effect. Int. J. Adv. Manuf. Technol. 2004, 24, 241–250. [Google Scholar] [CrossRef]
- Hatwesh, A.; Fletcher, S.; Longstaff, A.; Pan, W.; Gu, F. Expedient identification of the dynamics of ball-screw drives using online-validation. In Proceedings of the 2017 23rd International Conference on Automation and Computing (ICAC), Huddersfield, UK, 7–8 September 2017; pp. 1–6. [Google Scholar] [CrossRef]
- Frey, S.; Dadalau, A.; Verl, A. Expedient modeling of ball screw feed drives. Prod. Eng. 2012, 6, 205–211. [Google Scholar] [CrossRef]
- Aenlle, M.; Juul, M.; Brincker, R. Modal Mass and Length of Mode Shapes in Structural Dynamics. Shock. Vib. 2020, 2020, 8648769. [Google Scholar] [CrossRef]
- International Organization for Standardization (ISO). Ball Screws—Part 2: Nominal Diameters, Leads, Nut Dimensions and Mounting Bolts—Metric Series; International Organization for Standardization (ISO): Geneva, Switzerland, 2021. [Google Scholar]
- EN 10083-3:2006; Steels for Quenching and Tempering—Part 3: Technical Delivery Conditions for Alloy Steels. European Committee for Standardization (CEN): Brussels, Belgium, 2006.
- Zhang, L.-C.; Ou, Y.; Feng, H.-T. Prediction of the Thermal Elongation of the Ball Screw Mechanism under Various Rotational Speeds. Int. J. Precis. Eng. Manuf. 2021, 22, 1221–1228. [Google Scholar] [CrossRef]
- Zhang, L.-C.; Zhou, C.-G. Experimental Study on the Coefficient of Friction of the Ball Screw. J. Tribol. 2022, 144, 031601. [Google Scholar] [CrossRef]
- Chen, W.-M.; Cai, Y.-H.; Yu, Y.; Geng, X.; Ma, X. Optimal Mesh Criteria in Finite Element Modeling of Human Foot: The Dependence of Multiple Model Outputs on Mesh Density and Loading Boundary Conditions. J. Mech. Med. Biol. 2021, 21, 2140034. [Google Scholar] [CrossRef]
- Wang, M.; Wang, W.; Chen, T.; Lu, X.; Yi, X. Identification of dominant global and local modes behind dynamic stiffness valleys in BIW structures via modal contribution and ESE. PLoS ONE 2025, 20, e0334932. [Google Scholar] [CrossRef] [PubMed]
- Hanna, N.; Elrafei, A.; Genidi, M.; Elsaied, T.M.S. Efficient Mass Participation Ratio of Building with Basement. IOSR J. Mech. Civ. Eng. 2017, 14, 59–74. [Google Scholar] [CrossRef]











| Property | Value |
|---|---|
| Maximum tensile strength (MPa) | 1000 |
| Yield strength (MPa) | 650 |
| Brinell hardness | 295 |
| Thermal expansion (10−6·K−1) | 11.5 |
| Modulus of elasticity (GPa) | 230 |
| Specific heat capacity (J/(kg·K)) | 461 |
| Thermal conductivity (W/(m·K)) | 45.1 |
| Density (kg/m3) | 7850 |
| Poisson’s ratio | 0.3 |
Disclaimer/Publisher’s Note: The statements, opinions and data contained in all publications are solely those of the individual author(s) and contributor(s) and not of MDPI and/or the editor(s). MDPI and/or the editor(s) disclaim responsibility for any injury to people or property resulting from any ideas, methods, instructions or products referred to in the content. |
© 2026 by the authors. Licensee MDPI, Basel, Switzerland. This article is an open access article distributed under the terms and conditions of the Creative Commons Attribution (CC BY) license.
Share and Cite
Ali, O.; Niaz, A.; Salem, O.; Karki, A.; Ting, A.; Jung, D.W.; Jeong, J.H. Thermo-Structural and Dynamic Performance Analysis of a 42CrMo4 Steel Ball Screw Assembly. Actuators 2026, 15, 66. https://doi.org/10.3390/act15010066
Ali O, Niaz A, Salem O, Karki A, Ting A, Jung DW, Jeong JH. Thermo-Structural and Dynamic Performance Analysis of a 42CrMo4 Steel Ball Screw Assembly. Actuators. 2026; 15(1):66. https://doi.org/10.3390/act15010066
Chicago/Turabian StyleAli, Osama, Atif Niaz, Osama Salem, Anisha Karki, Ai Ting, Dong Won Jung, and Ji Hyun Jeong. 2026. "Thermo-Structural and Dynamic Performance Analysis of a 42CrMo4 Steel Ball Screw Assembly" Actuators 15, no. 1: 66. https://doi.org/10.3390/act15010066
APA StyleAli, O., Niaz, A., Salem, O., Karki, A., Ting, A., Jung, D. W., & Jeong, J. H. (2026). Thermo-Structural and Dynamic Performance Analysis of a 42CrMo4 Steel Ball Screw Assembly. Actuators, 15(1), 66. https://doi.org/10.3390/act15010066

