Modeling of the Dynamic Characteristics for a High-Load Magnetorheological Fluid-Elastomer Isolator
Abstract
1. Introduction
2. MRF-Elastomer Isolator Structure Design and Optimization
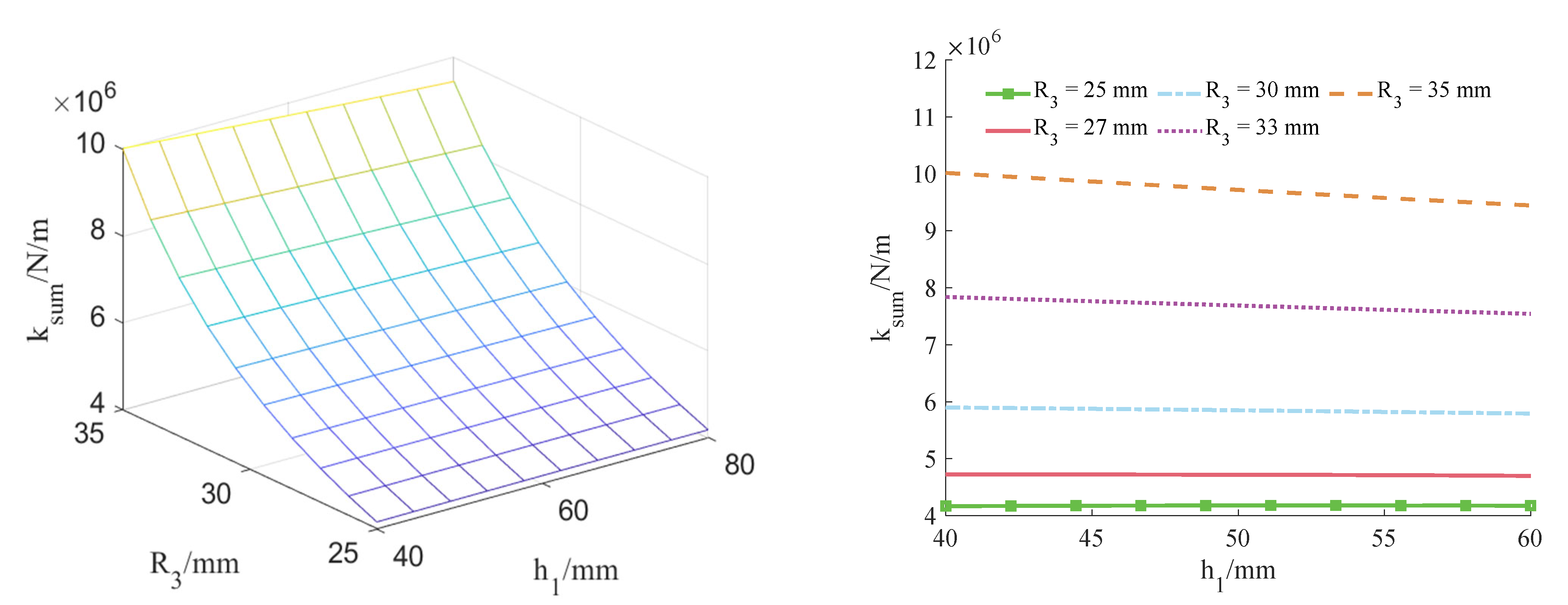
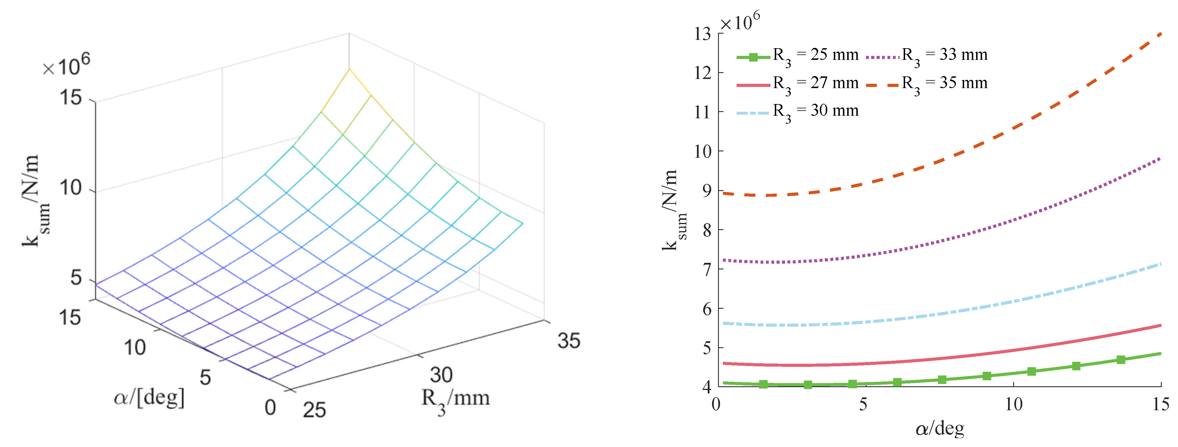
2.1. Analysis of Static Stiffness
2.2. Analysis of Damping Force
2.3. Magnetic Circuit Analysis
2.4. Structural Optimization and Simulation Verification
3. Fatigue Testing and Parameter Identification
3.1. Experimental System
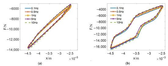
3.2. Experiment Result
3.3. Result Analysis
3.4. Dynamic Modeling and Parameter Identification
4. Conclusions
Author Contributions
Funding
Data Availability Statement
Conflicts of Interest
References
- Chen, W.H.; Tao, Y.; Li, S.Y. Design and performance of a novel magnetorheological fluid-based engine vibration damper. In Proceedings of the 2nd International Conference on Mechanical System Dynamics (ICMSD 2023), Beijing, China, 1–5 September 2023; Lecture Notes in Mechanical Engineering. Springer: Singapore, 2024; pp. 1203–1216. [Google Scholar]
- Chen, L.D.; Yu, H.; Wei, M.; Jin, Z.; Zhang, F.C. Study on Vibration Reduction Control of Engines Based on Magnetorheological Fluid-elastomeric Damper. Noise Vib. Control 2022, 42, 80–85. [Google Scholar] [CrossRef]
- Qin, W.; Pan, J.; Ge, P.; Liu, F.; Chen, Z. Dynamic characteristics modeling and optimization for hydraulic engine mounts based on deep neural network coupled with genetic algorithm. Eng. Appl. Artif. Intell. 2024, 130, 107683. [Google Scholar] [CrossRef]
- Guo, Q.L.; Bai, D.; Liu, Z.H.; Bai, X.X.; Du, H.; Chen, P.; Qian, L.J. Magnetorheological semi-active mount system for engines: Prototyping and testing. Proc. Inst. Mech. Eng. Part D J. Automob. Eng. 2022, 234, 3081–3094. [Google Scholar] [CrossRef]
- Song, R.M.; Mazlan, S.A.; Johari, N.; Imaduddin, F.; Aziz, S.A.A.; Fatah, A.Y.A.; Ubaidillah, U. Semi-active controllable stiffness engine mount utilizing natural rubber-based magnetorheological elastomers. Front. Mater. 2022, 9, 875787. [Google Scholar]
- Yang, X.; Zhu, J.; Song, Y.; Li, Y. Design and experimental research of stepped bypass magnetorheological damper. J. Intell. Mater. Syst. Struct. 2023, 34, 1527–1547. [Google Scholar] [CrossRef]
- Yang, X.; Li, X.; Li, Y.; Zhu, J. Design and experimental analysis of magneto-rheological damper featuring a labyrinthic dual-channel valve. Smart Mater. Struct. 2024, 33, 055005. [Google Scholar] [CrossRef]
- Jiang, M.; Rui, X.T.; Zhu, W.; Yang, F.; Gu, J. Control and experimental study of 6-DOF vibration isolation platform with magnetorheological damper. Mechatronics 2022, 81, 102706. [Google Scholar] [CrossRef]
- Chen, Y.; Yang, X.; Geng, X.; Deng, X.; Zhou, S. Design and experimental study of a stepped magnetorheological damper with power generation. Smart Mater. Struct. 2024, 33, 085044. [Google Scholar] [CrossRef]
- Liang, H.J.; Fu, J.; Li, W.; Wang, Y.; Luo, L.; Qi, S.; Yu, M. Theoretical switch model of novel asymmetric magnetorheological damper for shock and vibration application. Smart Mater. Struct. 2024, 33, 015008. [Google Scholar] [CrossRef]
- Hu, G.L.; Lei, W.Z.; Xi, X.S.; Xu, T.; Tian, T. Design and performance analysis of a vibration energy harvesting magnetorheological damper. J. Magn. Magn. Mater. 2024, 612, 172664. [Google Scholar] [CrossRef]
- Xi, J. Mechanism and Key Technologies of Magnetorheological Variable Inertia and Variable Damping Torsional Vibration Damper. Ph.D. Thesis, Chongqing University, Chongqing, China, 2021. [Google Scholar]
- Jiang, L.; Yang, X.; Liu, H.; Li, Z. Design and experimental investigation of a novel twin-tube MR damper with meandering channel. J. Magn. Magn. Mater. 2023, 588, 171443. [Google Scholar] [CrossRef]
- Hu, G.L.; Ying, S.; Qi, H.; Yu, L.; Li, G. Design, analysis and optimization of a hybrid fluid flow magnetorheological damper based on multiphysics coupling model. Mech. Syst. Signal Process. 2023, 205, 110877. [Google Scholar] [CrossRef]
- Yoon, D.S.; Kim, G.W.; Choi, S.B. Response time of magnetorheological dampers to current inputs in a semi-active suspension system: Modeling, control and sensitivity analysis. Mech. Syst. Signal Process. 2021, 146, 106999. [Google Scholar] [CrossRef]
- Yan, J.; Dong, L.L. Design and modeling of a magnetorheological damper with double annular damping gap. J. Intell. Mater. Syst. Struct. 2022, 34, 976–989. [Google Scholar] [CrossRef]
- Yan, J.; Dong, L.L. Design, theoretical modeling, and experimental analysis of a magnetorheological damper with radial damping gap. J. Intell. Mater. Syst. Struct. 2024, 35, 573–586. [Google Scholar] [CrossRef]
- Jiang, R.L.; Rui, X.; Wei, M.; Yang, F.; Zhu, H.; Gu, L. A phenomenological model of magnetorheological damper considering fluid deficiency. J. Sound Vib. 2023, 562, 117851. [Google Scholar] [CrossRef]
- Jun, X. A grey hysteresis model of magnetorheological damper. J. Intell. Mater. Syst. Struct. 2022, 33, 1423–1438. [Google Scholar]
- Lv, H.Z.; Sun, Q.; Ma, W. Data-driven prediction-control system modeling for magnetorheological damping force. J. Intell. Mater. Syst. Struct. 2022, 34, 155–167. [Google Scholar]
- Qian, R.; Wang, G.; Jiang, M.; Zhang, Y.; Zhai, R.; Wang, W. Frequency-dependent Bouc–Wen modeling of magnetorheological damper using harmonic balance approach. Actuators 2024, 13, 297. [Google Scholar]
- Jiang, R.L.; Rui, X.; Wang, G.; Yang, F.; Zhu, W.; Wei, M. Design and modeling of an innovative magnetorheological fluid-elastomeric damper with compact structure. J. Intell. Mater. Syst. Struct. 2020, 31, 2088–2100. [Google Scholar] [CrossRef]
- Yin, Y. Research on Optimization Design of Magnetorheological Suspension Performance Based on Improved Bingham Model. Master’s Thesis, Chongqing University of Technology, Chongqing, China, 2024. [Google Scholar]
- Zhu, W.; Rui, X.T. Semiactive vibration control using a magnetorheological damper and a magnetorheological elastomer based on the Bouc-wen model. Shock Vib. 2014, 2014, 405421. [Google Scholar] [CrossRef]
- Wang, X.J.; Faramarz, G. A new magnetorheological fluid–elastomer mount: Phenomenological modeling and experimental study. Smart Mater. Struct. 2009, 18, 095045. [Google Scholar] [CrossRef]
- Yeoh, O.H.; Zhang, X. Rubber Hardness and Young’s Modulus. Rubber Transl. Ser. 1985, 04, 80–83. [Google Scholar]
- Gong, J.; Gong, Z.; Zhao, X. Engineering Design and Application of Rubber Components; Shanghai Jiao Tong University Press: Shanghai, China, 2003. [Google Scholar]
- Jiang, M.; Rui, X.T.; Yang, F.F.; Zhu, W.; Zhang, Y. Multi-objective optimization design for a magnetorheological damper. J. Intell. Mater. Syst. Struct. 2022, 33, 33–45. [Google Scholar] [CrossRef]
- Yoon, R.; Negash, B.A.; You, W.; Lee, J.; Lee, C.; Lee, K. Bi-exponential model and inverse model of magnetorheological damper for the semi-active suspension of a capsule vehicle. Meas. Control 2023, 56, 558–570. [Google Scholar] [CrossRef]
- Zhang, H.L. Research on Key Technologies of Nonlinear Vibration Control for New Magnetorheological Suspension. Ph.D. Thesis, Nanjing Normal University, Nanjing, China, 2016. [Google Scholar]
- Tao, W.; Chen, B.; Zhou, L.; Zheng, Z.; Wu, J.; Duan, M. Design of a magnetorheological (MR) suspension damper for an agricultural tractor seat based on an adaptive neuro-fuzzy inference system (ANFIS) and active disturbance rejection control (ADRC). Mech. Sci. 2025, 16, 113–124. [Google Scholar] [CrossRef]
- Zhou, X.B.; Chen, W.; Xiao, Q.; Kong, X.; Liu, X.; Zhou, L.; Dong, Y.; Zhang, Q.; Zhu, Y. A modified asymmetric Bouc–wen model-based decoupling control of an xy piezoactuated compliant platform with coupled hysteresis characteristics. Shock Vib. 2020, 2020, 6637282. [Google Scholar] [CrossRef]























| Name | Symbols | Size |
|---|---|---|
| Radius of the Piston Rod | 4 [mm] | |
| Radius of the Piston | 25 [mm] | |
| Width of the Damping Channel | 1 [mm] | |
| Length of the Damping Channel | 20 [mm] | |
| Inner Radius of the Upper End of the Shell | 32.5 [mm] | |
| Inner Radius of the Lower End of the Shell | 43.5 [mm] | |
| Outer Radius of the Lower End of the Inner Sleeve | 31 [mm] | |
| Total Height of the Isolator | 139 [mm] | |
| Height of the Lower Part of the Isolator | 58 [mm] | |
| Inclination Angle of the Shell | 7.5 [deg] |
| Scheme | Amplitude (mm) | Vibration Frequency (Hz) | Initial Position (mm) | Current (A) |
|---|---|---|---|---|
| 1 | 1 | 0.1 | 0 | 0/2 |
| 2 | 0.5 | 0/0.5/1/1.5/2/2.5 | ||
| 3 | 1 | 0/2 | ||
| 4 | 5 | |||
| 5 | 10 | |||
| 6 | 3 | 0.1 | ||
| 7 | 0.5 | |||
| 8 | 1 | |||
| 9 | 5 | 0.1 | ||
| 10 | 0.5 | |||
| 11 | 1 | |||
| 12 | 1 | 0.1 | −3.5 | |
| 13 | 0.5 | |||
| 14 | 1 | |||
| 15 | 5 | |||
| 16 | 10 | |||
| 17 | 3 | 0.1 | ||
| 18 | 0.5 | |||
| 19 | 1 |
| Scheme | Stiffness/N/m | Damping/Nsm-1 | ||||
|---|---|---|---|---|---|---|
| 0 A | 2 A | Variation | 0 A | 2 A | Variation | |
| 1 | 3.115 × 106 | 5.468 × 106 | 75.6% | 6.09 × 105 | 4.73 × 106 | 676.0% |
| 2 | 3.121 × 106 | 3.019 × 106 | −3.3% | 1.43 × 105 | 2.24 × 106 | 1472.9% |
| 3 | 3.167 × 106 | 5.327 × 106 | 68.2% | 7.13 × 104 | 4.46 × 105 | 525.9% |
| 4 | 3.272 × 106 | 5.622 × 106 | 71.8% | 1.76 × 104 | 9.44 × 104 | 435.4% |
| 5 | 3.338 × 106 | 5.623 × 106 | 68.5% | 9.29 × 103 | 4.81 × 104 | 417.8% |
| 6 | 2.874 × 106 | 3.332 × 106 | 15.9% | 3.50 × 105 | 2.14 × 106 | 510.0% |
| 7 | 2.897 × 106 | 2.406 × 106 | −16.9% | 7.79 × 104 | 1.19 × 106 | 1434.6% |
| 8 | 2.917 × 106 | 3.383 × 106 | 16.0% | 4.31 × 104 | 2.20 × 105 | 409.7% |
| 9 | 2.811 × 106 | 3.005 × 106 | 6.9% | 2.82 × 105 | 1.43 × 106 | 407.8% |
| 10 | 2.864 × 106 | 2.384 × 106 | −16.7% | 6.36 × 104 | 1.05 × 106 | 1545.1% |
| 11 | 2.888 × 106 | 3.129 × 106 | 8.3% | 3.36 × 104 | 1.55 × 105 | 362.0% |
| 12 | 3.839 × 106 | 6.368 × 106 | 65.9% | 7.27 × 105 | 3.81 × 106 | 424.4% |
| 13 | 3.815 × 106 | 3.849 × 106 | 0.9% | 1.80 × 105 | 2.15 × 106 | 1100.3% |
| 14 | 3.846 × 106 | 5.849 × 106 | 52.1% | 9.00 × 104 | 3.74 × 105 | 315.5% |
| 15 | 4.081 × 106 | 6.481 × 106 | 58.8% | 1.93 × 104 | 7.55 × 104 | 290.1% |
| 16 | 4.215 × 106 | 6.598 × 106 | 56.5% | 1.08 × 104 | 4.26 × 104 | 296.3% |
| 17 | 3.432 × 106 | 3.944 × 106 | 14.9% | 4.63 × 105 | 2.06 × 106 | 346.1% |
| 18 | 3.481 × 106 | 2.803 × 106 | −19.5% | 1.03 × 105 | 1.45 × 106 | 1308.7% |
| 19 | 3.500 × 106 | 4.006 × 106 | 14.4% | 5.41 × 104 | 2.10 × 105 | 288.2% |
| I/A | a | β | γ | θ | k/N/m | c/Nsm−1 | d | W/mm | O/N/m |
|---|---|---|---|---|---|---|---|---|---|
| 0 | 6301 | 9254 | 56,694 | 309 | 3.24 × 106 | 1.05 × 105 | 0.098 | 0.890 | 8116 |
| 0.5 | 727 | 447 | 66,829 | 8881 | 3.75 × 106 | 3.10 × 105 | 0.074 | 0.694 | 8952 |
| 1 | 2408 | 4634 | 11,571 | 3484 | 3.96 × 106 | 3.96 × 105 | 0.120 | 0.643 | 9567 |
| 1.5 | 943 | 1928 | 28,303 | 8827 | 4.14 × 106 | 4.26 × 105 | 0.158 | 0.608 | 11,822 |
| 2 | 2025 | 23,390 | 15,213 | 5872 | 4.51 × 106 | 4.83 × 105 | 0.134 | 0.625 | 6473 |
| 2.5 | 1520 | 2187 | 41,086 | 6554 | 4.73 × 106 | 5.86 × 105 | 0.139 | 0.601 | 8461 |
| Scheme | Amplitude (mm) | Vibration Frequency (Hz) | Initial Position (mm) | Current (A) | Error |
|---|---|---|---|---|---|
| 2 | 1 | 0.5 | 0 | 0 | 2.0% |
| 2 | 4.9% | ||||
| 5 | 10 | 0 | 2.4% | ||
| 2 | 5.9% | ||||
| 7 | 3 | 0.5 | 0 | 0 | 1.3% |
| 2 | 3.2% | ||||
| 13 | 1 | 0.5 | −3.5 | 0 | 2.7% |
| 2 | 6.6% |
Disclaimer/Publisher’s Note: The statements, opinions and data contained in all publications are solely those of the individual author(s) and contributor(s) and not of MDPI and/or the editor(s). MDPI and/or the editor(s) disclaim responsibility for any injury to people or property resulting from any ideas, methods, instructions or products referred to in the content. |
© 2025 by the authors. Licensee MDPI, Basel, Switzerland. This article is an open access article distributed under the terms and conditions of the Creative Commons Attribution (CC BY) license (https://creativecommons.org/licenses/by/4.0/).
Share and Cite
Tao, Y.; Chen, W.; Liu, F.; Han, R. Modeling of the Dynamic Characteristics for a High-Load Magnetorheological Fluid-Elastomer Isolator. Actuators 2025, 14, 442. https://doi.org/10.3390/act14090442
Tao Y, Chen W, Liu F, Han R. Modeling of the Dynamic Characteristics for a High-Load Magnetorheological Fluid-Elastomer Isolator. Actuators. 2025; 14(9):442. https://doi.org/10.3390/act14090442
Chicago/Turabian StyleTao, Yu, Wenhao Chen, Feifei Liu, and Ruijie Han. 2025. "Modeling of the Dynamic Characteristics for a High-Load Magnetorheological Fluid-Elastomer Isolator" Actuators 14, no. 9: 442. https://doi.org/10.3390/act14090442
APA StyleTao, Y., Chen, W., Liu, F., & Han, R. (2025). Modeling of the Dynamic Characteristics for a High-Load Magnetorheological Fluid-Elastomer Isolator. Actuators, 14(9), 442. https://doi.org/10.3390/act14090442
