Abstract
Since ancient times, seaweeds have been employed as source of highly bioactive secondary metabolites that could act as key medicinal components. Furthermore, research into the biological activity of certain seaweed compounds has progressed significantly, with an emphasis on their composition and application for human and animal nutrition. Seaweeds have many uses: they are consumed as fodder, and have been used in medicines, cosmetics, energy, fertilizers, and industrial agar and alginate biosynthesis. The beneficial effects of seaweed are mostly due to the presence of minerals, vitamins, phenols, polysaccharides, and sterols, as well as several other bioactive compounds. These compounds seem to have antioxidant, anti-inflammatory, anti-cancer, antimicrobial, and anti-diabetic activities. Recent advances and limitations for seaweed bioactive as a nutraceutical in terms of bioavailability are explored in order to better comprehend their therapeutic development. To further understand the mechanism of action of seaweed chemicals, more research is needed as is an investigation into their potential usage in pharmaceutical companies and other applications, with the ultimate objective of developing sustainable and healthier products. The objective of this review is to collect information about the role of seaweeds on nutritional, pharmacological, industrial, and biochemical applications, as well as their impact on human health.
1. Introduction
Seaweeds have received lot of attention in recent years because of their incredible potential. Seaweeds are essential nutritional sources and traditional medicine components []. Marine macroalgae, sometimes known as seaweeds, are microscopic, multicellular, photosynthetic eukaryotic creatures. Based on their coloration and depending on their taxonomic classification, they can be classified into three groups: Rhodophyta (red), Phaeophyceae (brown), and Chlorophyta (green). The global variety of all algae (micro and macro) is estimated to consist of over 164,000 species with roughly 9800 of them being seaweeds, just 0.17% of which have been domesticated for commercial exploitation []. In recent years, seaweed has gained in popularity, making it a more versatile food item that may be used directly or indirectly in preparation of dishes or beverages []. Many types of seaweed are edible, they provide the body with a different variety of vitamins and critical minerals (including iodine) when consumed as food, and some are also high in protein and polysaccharides [].
Seaweeds are now used in several industrial products as raw materials such as agar, algin, and carrageenan, but they are still widely consumed as food in several nations []. Seaweeds are frequently subjected to harsh environmental conditions with no visible damage; as a result, the seaweed generates a wide variety of metabolites (xanthophylls, tocopherols, and polysaccharides) to defend itself from biotic and abiotic factors such as herbivory or mechanical aggression at sea []. Please note that the content and diversity of seaweed metabolites are influenced by abiotic and biotic factors such as species, life stage, nutrient enrichment, reproductive status, light intensity exposure, salinity, phylogenetic diversity, herbivory intensity, and time of collection; thus, fully exploiting algal diversity and complexity necessitates knowledge of environmental impacts as well as a thorough understanding of biological and biochemical variability [,].
Seaweeds and their products are particularly low in calories but high in vitamins A, B, B2, and C, minerals, and chelated micro-minerals (selenium, chromium, nickel, and arsenic), as well as polyunsaturated fatty acids, bioactive metabolites, and amino acids []. Although current research revealed that the amount of specific secondary metabolites dictates the effective bioactive potential of seaweeds, phenolic molecules are prevalent among these secondary metabolites []. Furthermore, integrating seaweed into one’s daily diet has been linked to a lower risk of a range of disorders, including digestive health and chronic diseases such as diabetes, cancer, or cardiovascular disease, according to research mentioned by []. As a result, incorporating seaweed components into the production of novel natural drugs is one of the goals of marine pharmaceuticals, a new discipline of pharmacology that has evolved in recent decades.
The $4.7 billion worldwide algae products market is predicted to increase at a compound yearly growth rate of 6.3% to $6.4 billion by 2026. North America has the highest proportion of the algae market []. Functional and nutritional attributes, as well as the potential sustainability benefits of algae, are driving demand and positioning it as a promising food of the future. The potential uses of different algae are numerous: generation of energy [], the biodegradation of urban, industrial and agricultural wastewaters [,], the production of biofuels [], the exclusion of carbon dioxide from gaseous emissions via algae biofixation [], the manufacturing of ethanol or methane, animal feeds [], raw material for thermal treatment [], organic fertilizer or biofertilizer in farming []. The high protein content and health advantages have fueled an interest in foods derived from entire algae biomass []. Algae can be used as functional ingredients to boost food’s nutritional value []. In cosmeceuticals, marine algae have received a lot of interest []. Seaweeds are one of the most abundant and harmless marine resources, with little cytotoxicity effects on people. Marine algae are high in bioactive compounds, which have been demonstrated to have significant skin advantages, especially in the treatment of rashes, pigmentation, aging, and cancer []. The use of algal bioactive components in cosmeceuticals is growing quickly since they contain natural extracts that are deemed harmless, resulting in fewer adverse effects on humans. Marine algae were used as a medicine in ancient times to treat skin problems such as atopic dermatitis and matrix metalloproteinase (MMP)-related sickness []. In summary, marine algae represent a promising resource for cosmeceutical production.
This review aimed to study the bioactive compounds in seaweeds and the role of these compounds as antioxidants, anti-inflammatory, anti-cancer, antimicrobial and anti-diabetic activities.
2. Seaweed Resources
The word “seaweed” has no taxonomic importance; rather, it is a popular term for the common large marine algae.
2.1. Brown Seaweeds
Phaeophyceae have not been well investigated, despite the fact that they have been shown to offer several health benefits. Fucoxanthin (Fuco), the principal marine carotenoid (Car), is a commercially important component of brown seaweeds, in addition to sodium alginate. Fuco contains anti-inflammatory properties. The presence of the xanthophyll pigment fucoxanthin, which is higher than chlorophyll-a, chlorophyll-c, -carotene, and other xanthophylls, gives these seaweeds their brown color []. Because of its bigger size and ease of collecting, brown seaweed is used in animal feed more often than other algae species. Brown algae are the largest seaweeds, with some species reaching up to 35–45 m in length and a wide range of shapes. Ascophyllum, Laminaria, Saccharina, Macrocystis, Nereocystis, and Sargassum are the most prevalent genera. Sargassum as a member of brown seaweeds is low in protein, but high in carbs and easily accessible minerals. They are high in beta-carotene and vitamins, and they are free of anti-nutrients [].
2.2. Red Seaweeds
These algae are red because of the pigments phycoerythrin and phycocyanin. The walls are made of carrageenan and cellulose agar. Both of these polysaccharides with a lengthy chain are commonly employed in the industry. Coralline algae, which secrete calcium carbonate on the surface of their cells, are an important category of red algae. Chondrus, Porphyra, Pyropia, and Palmaria are some of the most common red algae genera. The antioxidant activity of Phaeophyta (brown seaweeds) is higher than that of green and red algae [].
2.3. Green Seaweeds
The majority of the species are aquatic, living in both freshwater and marine habitats. The green color of these algae is due to chlorophyll-a or chlorophyll-b. Some of them are terrestrial, meaning they grow in soil, trees, or rocks. Ulva is one of the most common green seaweeds. Ulva, Cladophora, Enteromorpha, and Chaetomorpha are the most common genera. Green algae thrive in regions with lots of light, including shallow waterways and tide pools. Ulva sp. has a high protein content (typically > 15%) and a low energy content and is abundant in both soluble and insoluble dietary fiber (glucans) []. The main types of seaweeds are shown in Figure 1.

Figure 1.
Three example species of brown (a) red (b) and green (c) seaweeds. Adapted from ref. [] obtained from mdpi journals.
3. Bioactive Compounds
The chemical composition of algae varies depending on the species, cultivation location, meteorological conditions, and harvesting period. Because of the broad diversity of compounds produced by seaweeds, they are currently considered to be prospective organisms for contributing new physiologically active chemicals for the production of novel food (nutraceutical), cosmetic (cosmeceutical), and medical compounds. Polyphenolic compounds, carotenoids, minerals, vitamins, phlorotannins, peptides, tocotrienols, proteins, tocopherols, and carbohydrates (polysaccharides) are considered to be a great variety of bioactive compounds (Figure 2).

Figure 2.
Main bioactive compounds from marine seaweeds.
3.1. Polysaccharides
Seaweeds have a significant carbohydrate component in their cell membranes, or these polysaccharides are unique to every variety from algae: Brown alginate contains fucoidan; green Ulvan or red agar contains carrageenan. Polysaccharides are becoming increasingly popular as a result of their physicochemical properties []. Polysaccharides are biopolymers created from natural resources that have developed as a sustainable and environmentally friendly alternative to typical polymers and plastics. They are also known as an energy store and structural molecules in a variety of species, including plants and marine organisms. Polysaccharides are the major macromolecule in seaweed, accounting for more than 80% of its weight. Polysaccharides are classified into two types based on where they are found in seaweeds: cell-membrane polysaccharides or storage polysaccharides. With the exception of accumulating carbohydrates found in cell plastids, the majority of seaweed polysaccharides are cell-membrane polysaccharides. At present, they can be classed as food-grade or non-food-grade polysaccharides, depending on how they are used [].
3.1.1. Role of Polysaccharides in Medicine
Algal polysaccharides differ from those found in terrestrial plants because they include unique poly-uronides, some of which are pyruvylated, methylated, sulfated, or acetylated. Sulfated polysaccharides including fucan sulfate, ulvan, and carrageenan have received the most interest because of their biological features []. Some of polysaccharide’s structures are presented in Figure 3. Sulfated polysaccharides (SPS) are found in edible seaweeds such as ulvan (Chlorophyta), fucoidan (Phaeophyta), or carrageenan (Rhodophyta), and have numerous applications in pharmaceutical, nutraceutical, and cosmeceutical sectors. Antioxidant, anticancer, anti-inflammatory, anti-diabetic, anticoagulant, immunomodulatory, or anti-HIV activities have been discovered in SPS. The interaction between polysaccharide or intestinal microbes is widely credited with these actions, indicating functional or therapeutic feature of sulfated polysaccharides []. In most circumstances, smaller molecular weight SPS has more antioxidant activity than high molecular weight SPS because proton donor action occurs in cells in low molecular weight SPS. Furthermore, this antioxidant property is vital in preventing generation of free radicals in cell, which prevents oxidative cell wall damage []. The antigenotoxic property of alginate oligosaccharide in form of nanocomposites extracted from brown alga has received significant attention []. Table 1 shows some of the activities and qualities of polysaccharides from seaweeds that are useful as antioxidants and anticancer agents.

Figure 3.
Chemical structures of different types of polysaccharides in seaweeds.

Table 1.
Seaweeds polysaccharides and their roles in medicine.
Carrageenans are polysaccharides present in cell walls of red algae that are classified into three categories based on their sulfation level: iota, kappa, or lambda []. Carrageenans, galactan, or xylomannan sulfates discovered in red seaweeds have antimicrobial effects that prevent viruses from interacting with cells by inhibiting the formation of structurally similar complexes []. Carrageenans derived from Hypnea spp. (including green alga Ulva lactuca) have antioxidant and antiviral characteristics, as well as strong hypocholesterolemic capabilities, by lowering cholesterol or sodium uptake whereas raising potassium absorption []. Agar is polysaccharide made up of agaropectin or agarose, which are both derived from red seaweeds and have structural or functional characteristics that are comparable to carrageenans []. Porphyran, a polysaccharide produced from red Porphyra spp., was shown to have anticancer, immunoregulatory, and antioxidant effects [].
Sulfated polysaccharides such as galactose, glucose, rhamnose, glucuronic acid, or arabinose isolated from the microalgae Spirulina platensis, as well as those speculated from red algae Gracilariopsis lemaneiformis (i.e., 3,6-anhydro-l-galactose or d-galactose) demonstrated antiviral and antitumor action []. Fucoidan polysaccharides, usually manufactured by brown algae, such as Ascophyllum nodosum, Laminaria japonica, Viz fucusvesiculosus, Fucus evanescens, Sargassum thunbergi, or Laminaria cichorioides, were shown to reduce blood cholesterol levels and deter metabolic syndrome []. Antiproliferative, antiviral, anti-peptic, antioxidant, anticanceranti-coagulant, antithrombotic, anti-inflammatory, or antiadhesive characteristics are all found in algae fucoidans. They also have potent anticancer properties or can prevent lung cancer metastasis through hindering matrix metalloproteinases (MMPs) or Vascular Endothelial Growth Factor (VEGF) []. Fucoidans may have a synergistic impact on currently used anticancer drugs []. To improve the efficacy of existing conventional treatments, these polysaccharides can be added into or mixed with them. Caulerpa lentilifera, Eucheuma cottonii, Ahnfeltiopsis concinna, Chondrus ocellatus, Sargassum polycystum, Ulva fasciata, Gayralia oxysperma, or Sargassum obtusifolium soluble dietary fibers have been found to prevent metabolic syndrome or lower blood cholesterol levels [].
Alginate (β-d-mannuronic acid, α-l-guluronic acid, d-guluronic, or d-mannuronic) is non-sulfated polysaccharide isolated from dark brown seaweed Laminaria digitata that is commercially accessible (in acid and salt forms) []. Alginates isolated from brown have a nutritional function or are beneficial to gut health, donating to water binding, fecal bulking, or reduction in colon transfer time that is an important indicator through colon cancer prevention, according to previous studies []. Furthermore, because of their binding nature, alginates alter mineral bioabsorption, aid in maintaining body weight, discourage overweight and obesity, and lower hypertension [].
3.1.2. Role of Polysaccharides in Food Industry
While the global market for healthy ingredients expands, there is significant interest in the identification of new functional food ingredients from various natural sources []. As a result, the prospect of employing algae-derived molecules to create novel functional food products has piqued the interest of many people in recent years. The largest and most often used hydrocolloids from marine algae in the food industry include agars, alginates, and carrageenans, as illustrated in Table 2.

Table 2.
Seaweeds polysaccharides and their roles in foods and cosmeceuticals.
Agar is a type of phycocolloid formed of agarose (a linear polysaccharide) and a heterogeneous combination of smaller molecules (agaropectin). Agar is a widely recommended food additive in the USA and in Europe (E406), and cannot be digested into the gastrointestinal system in humans due to the lack of α/β-agarases []. Furthermore, gut bacteria can convert it to d-galactose []. At low doses, agar is an excellent gelling agent, capable of forming a brittle, stiff, and thermally reversible gel [].
Surprisingly, agarose is the primary gelling agent in agar. In this manner, hydrogen bonding between nearby D-galactose and 3,6-anhydro-L-galactose create agar gel along its linear chains of agarose with repeating units. The food sector uses 90% of the agar produced for its gellifying characteristics. It is used as a gelling agent in the culinary, food, and confectionery sectors to produce Asian traditional foods, canned meats, confectionery jellies, and aerated items such as marshmallows, nougat, and toffees []. Agar is commonly used as a food additive in the production of dishes that require warming before consumption, such as cake, sausage, roast pig, and bacon []. Agar fluid gels can be used to make foams with excellent stability to replace fat in whipped desserts [].
Alginates, such as agar, are commonly used in the food manufactures for gelling, thickening, stabilizing, and film formation. In contrast to other hydrocolloids, alginates are unique in their cold solubility, allowing the creation of heat/temperature-independent non-melting gels, cold-setting gels, and freeze–thaw-stable gels [].
Carrageenan is commonly used in dairy products such as cheese and chocolate milk to provide thickening, gelling, stabilizing, and strong protein-binding characteristics []. Carrageenan was used in dairy products at low doses due to its exceptional ability to link milk proteins. This hydrocolloid was capable of keeping milk solids suspended and therefore stabilize them. The meat industry is another area where carrageenan (mostly manufactured by Eu-cheuma) is used. It is commonly used in the manufacture of hamburgers, ham, seafood, and poultry preparations, due to its water retention properties. Carrageenan is also found in aqueous gels such jelly, fruit gels, juices, and marmalade []. Carrageenans, as cryoprotecting agents, play an important role in the structural and textural stability of frozen foods. Additionally, k-carrageenan was used as a supplementary stabilizer in an ice cream mix [].
3.1.3. Role of Polysaccharides in Cosmeceuticals
In algal tissues, there are numerous forms of bioactive polysaccharides. These chemicals are often moisturizing and antioxidant substances that are employed in cosmeceuticals as shown in Table 2. They are also commonly employed in emulsions as gelling agents and stabilizers []. Agar is a common ingredient in creams, used as an emulsifier and stabilizer, and to control the moisture content in cosmetic products such as hand lotions, deodorants, foundations, exfoliant/scrub, cleansers, shaving creams, anti-aging treatments, facial moisturizer/lotions, liquid soaps, acne treatments, body washes, and face powder []. Alginates are commonly used as gelling agents in drugs and cosmetics, as thickeners, protective colloids, or emulsion stabilizers, and are effective for hand gels and lotions, ointment bases, pomades and other hair products, toothpastes, and other products due to their chelating characteristics. Alginates can also be used to make a skin-protecting barrier lotion to avoid dermatitis. This type of cream produces flexible films with increased skin adhesion and is an appropriate component in beauty masks or facial packs [,].
Carrageenans are derived from several carrageenophytes, including Betaphycus gelatinum, Chondrus crispus, Eucheuma denticulatum, Gigartina skottsbergii, Kappaphycus alvarezii, Hypnea musciformis, Mastocarpus stellatus, Mazzaella laminaroides, Sarcothalia crispata, from the order Gigartinales (Rhodophyta). This phycocolloid is found in dentifrices, lotions, hair products, lotions, medications, sunscreens, shaving creams, shampoos, deodorants sticks, sprays, and foams. Over 20% of carrageenan manufacture is used in the pharmaceutical and cosmetic industries [].
The usage of laminarin in cosmetics is based on its bioactive qualities rather than its physical characteristics. In terms of use, laminarin is commonly found in anticellulite cosmetics []. Fucoidan can be effectively “cooked” out of edible seaweed by heating it in water for 20–40 min. It appears to lower the strength of the inflammatory process and facilitate speedier tissue repair after injuring or surgical trauma when ingested. As a result, it is recommended for muscle and joint injuries (such as sports injuries), falls, bruises, deep wounds, and surgery []. These sulfated polysaccharides are gaining popularity due to their numerous bioactivities, which include anticoagulant, antithrombotic, anti-inflammatory, skin protection against ultraviolet radiation, tyrosinase receptor, anticancer, antimicrobial, anti-obesity, antidiabetic, antioxidative, and antihyperlipidemic properties [,].
According to an ulvans patent, rhamnose and fucose have synergistic skin protecting and therapeutic benefits against skin aging []. The technique of ulvan gel production is complex, involving the development of spherically shaped ulvan molecules in the presence of boric acid and calcium ions []. Ulvans have moisturizing, protecting, anticancer, and antioxidative effects in addition to their ability to form gels []. The chemical and physicochemical features of ulvan make it an appealing choice for innovative functional and biologically useful polymers in the pharmaceutical, cosmeceutical, agriculture, and food industries [].
3.2. Protein and Amino Acids
Protein content in seaweed varies by species, season, and geographic location, and can be as high as 45% DW. The contents of peptides, proteins, or amino acids in seaweed are affected by seasonal fluctuations and habitat; in general, red algae have larger concentrations (up to 47%) than green algae (around 9 and 26%), while brown algae have low amounts (3–15%) []. The difference in the amounts of proteinas and amino acids in some seaweeds are illustrated in Table 3 and Table 4. All essential and non-essential amino acids are found in the proteins of the three macroalgae groups []. Seaweed protein and bioactive peptides have a variety of health benefits as well as significant antioxidant activity, especially through compounds with low molecular weight compounds that are far secure than produced substances or have less adverse impacts [,].

Table 3.
Different proteins accumulation of some seaweeds.

Table 4.
Amino acid composition accumulation of some seaweeds (g amino acid 100 g−1 protein).
Various seaweeds contain amino acids such as valine, leucine, isoleucine, or taurine which have potential biological action as antioxidants [,]. Acidic amino acids aspartic acid or glutamic acid is abundant in most seaweed species, and they comprise most essential amino acids []. While algal proteins were being thought to consist of threonine, tryptophan, sulfur amino acids (cysteine and methionine), lysine, or histidine-limiting amino acids, their overall levels are larger than in terrestrial plants []. Furthermore, amino acids are required for the production of hormones and nitrogenous low molecular weight compounds, both of which are important biologically. Amino acids can be used to help treat some disorders since they have distinct physiological roles. Supplementing with methionine, for example, can help people with multiple sclerosis []. Despite the fact that seaweed proteins contain low amounts of some essential amino acids, these seaweeds could be introduced to cereal foods such as pasta to enhance the amino acid composition [].
Macroalgal species such as Chlorella sp., Dunaliella tertiolecta, Aphanizomenon flosaquae and Spirulina plantensis, due to their high protein content or nutritive quality, are often used as human food sources []. Endogenous (threonine, serine, aspartic acid, proline, glutamic acid, or glycine) and exogenous (histidine, lysine, isoleucine, methionine, phenylalanine, leucine, valine or threonine) amino acids are abundant in some algae species []. Ulva spp. has glutamic or aspartic acid (26–32% amino acid), Ulva australis has taurine or histidine, Himanthalia elongata (sea spaghetti) Palmaria palmata (Dulse) and have a lot of glutamic acid, serin or alanine, and Sargassum vulgare has lot of methionine []. Several applications of seaweeds protein are illustrated in Table 5.

Table 5.
Seaweeds proteins and their roles in medicinal.
3.2.1. Role of Proteins and Amino Acid in Medicine
Furthermore, mycosporine-like amino acids (MAAs) were revealed in a variety of species, most notably Rhodophyta: Chondrus crispus spp., Grateloupia lanceola, Porphyra/Pyropia spp., Solieria chordalis, Asparagopsis armata, Palmaria palmata, Gracilaria cornea, Gelidium, or Curdiea racovit [,,]. Phycobiliproteins are made up of phycobilins, which are proteins that are covalently attached to chromophores []. Such water-soluble proteins have antioxidant properties and could be used as a natural food colorant []. PC, blue-colored phycobiliprotein derived mostly from cyanobacteria Arthrospira spp., or PE (pink-colored protein pigment) derived from cyanobacteria Lyngbya spp., both demonstrated anticancer activity upon A549 lung cancer cells []. Glycoproteins were also proteins found in marine algae which are made up from proteins linked to carbohydrates. Rhamnose, galactose, glucose, and mannose make up 36.24% of glycoproteins, with a mole ratio of 38:30:26:6 [].
Protein concentrations are high in Rhizoclonium riparium, Dictyota caylinica, Enteromorpha intestinalis, Catenella repens, Gelidiella acerosa, Polysiphonia mollis, Capsosiphon fulvescens, Osmundea pinnatifida, Sphaerococcus coronopifolius, Ulva lactuca, Gelidium microdon, Fucus spiralis, Pterocladium capillacea, or Ulva compressa []. Anti-aging, antioxidant, anti-tumor, anti-inflammatory or protective qualities of proteins make them valuable in the prevention and treatments of neurological illnesses, DNA replication, gastric ulcers, improve response, molecule transfer, or biochemical reaction catalysis []. According to Cicero et al. [], bioactive peptides can increase biological defenses against oxidative stress and inflammatory illnesses, hence boosting the real frame of nutraceutical and functional meals. As a result, MAAs have wide range of properties, such as ability to act like natural sunscreens, anti-inflammatory, antioxidants or anti-aging agents, skin renewal stimulators, cell proliferation activators, and so on, making it attractive or secure option for cosmetic industries or pharmaceutical [].
3.2.2. Role of Proteins and Amino Acid in Cosmeceuticals
Because several amino acids are components of the natural moisturizing factor (NMF) in human skin, they are commonly used as moisturizing agents in cosmetic preparations [,]. MAA content is higher in the summer and at a mild depth (0–1 m). MAAs have the ability to be used in cosmetic products and uses as ultraviolet protectors and cell proliferation stimulators [].
Algae protein concentration differs significantly among the different algae groups (brown, red, and green). Brown algae have a lower protein concentration (5–24%) of dry weight, while red and green algae have a greater protein concentration (10–47%) of dry weight []. Holdt and Kraan [] show that protein, peptide, and amino acid concentration, like other bioactive components of algae, is affected by a variety of circumstances, including seasonal change. During the months from February to May, for example, brown algae Saccharina and Laminaria had the highest protein content []. A similar trend was observed in red algae species, with a high concentration of protein in the summer and a significant decrease in the winter []. Algae proteins are high in glycine, arginine, alanine, and glutamic acid, and they include essential amino acids at amounts comparable to FAO/WHO needs. Lysine and cystine are their limiting amino acids []. Taurine, laminin, kainoids, kainic and domoic acids, and several mycosporin-type amino acids are also found in algae []. Taurine is involved in several physiological activities in the human body, including immunomodulation, membrane stabilization, ocular development, and nervous system function []. Furthermore, kainic and domoic acids play a role in the control of neurophysiological functions [].
3.3. Fatty Acids
Fatty acids (FAs) are required for all organisms to function normally. FAs are components of plasma membranes that serve as energy storage materials as well as signal molecules that control cell development and differentiation as well as gene expression. Elongation and desaturation can change the structure of FAs [,]. The quantity of unsaturated bonds in FA molecules determines their biological effects. Additionally, lipids are essential to transport and absorb fat-soluble vitamins (i.e., A, E, D or K). PUFAs (25–60% of total lipids), glycolipids, phytosterols, phospholipids, or fat-soluble vitamins are all found in low concentrations (1–5% of dry weight) in seaweed lipids (vitamin A, D, E or K, carotenoids) []. Several seaweeds have a greater total lipid concentration above 10% of dry weight; however, 50% of these lipids are in the form of extractable fatty acids in the brown alga Spatoglossum macrodontum. In addition, S. macrodontum showed the maximum fatty acid concentration (57.40 mg g−1 DW) and a fatty acid profile rich in saturated fatty acids with a higher concentration of C18:1, making it an excellent biofuel feedstock. Similarly, the green seaweed Derbesia tenuissima possesses significant quantities of fatty acids (39.58 mg g1 DW), but with a greater amount of PUFA (n-3) (31% lipid) that can be used as nutraceuticals or fish oil substitutes []. The lipid algae concentration is low (1–5%), with neutral lipids and glycolipids dominating. Because algae generate long-chain polyunsaturated fatty acids, including eicosapentaenoic acid (EPA) and docosahexaenoic acid (DHA), the amount of essential fatty acids in algae is greater than in terrestrial plants []. In general, red algae have higher concentrations of EPA, palmitic acid, oleic acid, and arachidonic acid than brown algae, which have greater amounts of oleic acid, linoleic acid, and α-linolenic acid but lower amounts of EPA. Green algae have more linoleic acid and α-linolenic acid, as well as palmitic, oleic, and DHA []. Both red and brown algae contain omega-3 and omega-6 fatty acids []. The different in the amounts of lipid in different seaweeds are illustrated in Table 6.

Table 6.
Lipids accumulation of some seaweeds.
3.3.1. Role of Fatty Acids in Medicine
There is an increasing need to assess new food sources that do not involve overexploitation of terrestrial ecosystems []. Seaweeds have a lipid output of 0.61% to 4.15% dry weight (DW) on average. Some seaweed species, on the other hand, can have greater levels since they are a strong source of unsaturated fatty acids. Although seaweed has lower lipid content than marine fish, their abundance in coastal areas makes it a viable source of functional lipid. Recent studies indicated that the levels of total lipid (TL) or omega-polyunsaturated fatty acids in seaweeds vary seasonally, reaching up to 15% TL per DW or more than 40% omega-3 PUFAs per total fatty acids []. Brown seaweed lipids, on the other hand, contain up to 5% fucoxanthin. Anti-obesity activities of fucoxanthin have been demonstrated. It also reduces insulin resistance and lowers blood glucose levels significantly. Brown seaweed lipids are found in brown seaweed, according to a study. Excess fat builds up in abdomen white adipose tissue (WAT) is dramatically decreased, or glucose levels are regained to average limits in obesity/diabetes model mice due to presence of fucoxanthin in lipids [].
On the other hand, the group of lipid bioactive chemicals known as sterols is another appealing lipid bioactive substance found in marine sources. Sterols extracted from macro- or microalgae, as well as other marine invertebrates, were researched extensively by []. Previously, it was discovered that sterols and several of their derivatives have a key role in decreasing low-density lipoproteins (LDL) cholesterol levels in vivo. Anti-inflammatory and antiaterogenic action are two further bioactivities linked to sterols. Phytosterols (C28 and C29 sterols) are also key precursors of a wide range of chemicals, including vitamins. Ergosterol, for example, is a precursor to vitamin D2 and cortisone [].
Omega-3 (eicosapentaenoic acid, docosahexanoic acid, stearidonic acid, -linolenic acid) and omega-6 (arachidonic acid, -linoleic acid, -linoleic acid) are the most common polyunsaturated fatty acids (PUFAs) []. Essential fatty acids (EFAs) are nutraceuticals that are combined with nutritional supplements or used as part of healthy food []. Food and Drug Administration (FDA) declared in 2004 which foods including PUFA omega-3 substances are medicinally essential, as they provide therapeutic properties byregulating blood pressure, membrane fluidity, or blood clotting; (ii) lowering risk of cardiovascular disease, osteoporosis, or diabetes; (iii) correcting brain or nervous system development and function []. Marine algae were found to have elevated high levels from PUFAs (α-linolenic acid, γ-linoleic, α-linoleic acid, stearidonic acid, arachidonic acid, and icosapentaenoic acid) []. Moreover, a previous study asserted that green seaweeds such as Ulva pertusa possess a high concentration of hexadecatetraenoic, oleic, and palmitic acids []. Additionally, Undaria pinnatifida contains significant levels of eicosapentaenoic acid, docosahexanoic acid, and monounsaturated fatty acids (C12:1 (lauroleic acid), C14:1 (myristoleic acid), C16:1 (palmitoleic acid), C17:1 (cis-10-heptadecenoic acid), and C18:1 (cis-10-hepta (oleic acid) [].
Upwards of 200 phytosterols (662–2320 mg/g dry weight) were discovered through marine algae. Phytosterol derivatives are abundant in brown algae such as Laminaria japonica, Agarum cribosum, or Undaria pinnatifida (for example, fucosterol, which accounts for 83–97 percent of total phytosterol content) [,]. Phospholipids in seaweed contain about 10–20% total lipids which seem to be more resistant to oxidation and contain elevated concentration from FAs such as eicosapentaenoic or docosahexanoic acid []. Glycolipids make up more than half of all algal material and are characterized by high levels of n-3 PUFAs (e.g., monogalactosyldiacylglycerides, digalactosyldiacylglycerides or sulfoquinovosyldiacylglycerides) []. Carotenoids are a group of lipophilic colorful chemicals found in nature that include lutein, lycopene, canthaxanthin, β-carotene, or astaxanthin []. Furthermore, these properties make algal lipids more bioavailable or provide a variety of health benefits to people or animals [].
3.3.2. Role of Fatty Acids in Foods
Microalgae have a high PUFA content. They are fatty acids with many double bonds in the carbon chain and have numerous useful qualities. Microalgae may produce members of the PUFAs ω-6 family, such as linoleic acid (LA), γ-linolenic acid (GLA), and arachidonic acid (ARA), as well as members of the PUFAs ω-6 family, such as α-linolenic acid (ALA), eicosapentaenoic acid (EPA), and docosahexaenoic acid (DHA) [,]. Many microalgae manufacture the long chain of -3 PUFAs, with yields exceeding 20% of total lipids. The microalgae most commonly employed for the formation of algal oil rich in ω-3 and biomass are marine members of the Thraustochytriacea and Crythecodiniacea families [].
Because of their obvious benefits to tissue integrity and health, they are vital ingredients for food additives and feeds. Microalgae such as Chlorella vulgaris, Arthrospira platensis, Haematococcus pluvialis, and Dunaliella salina have been identified as safe or permitted as human and animal food additives. Scenedesmus almeriensis and Nannocholoropsis sp. are two more species that have been investigated but have not yet been commercialized [].
Crypthecodinium, Schizochytrium, Thraustochytrids, and Ulkenia microalgal species are employed in the manufacture important fatty acids []. DHA-rich oil derived from Crypthecodinium cohnii is commercially accessible and contains 40–50% DHA with no EPA or other longchain PUFAs []. Schizochytrium species that synthesize DHA and EPA are currently employed as an adult dietary supplement in food and drinks, health foods, animal feeds, and foodstuffs products such as cheeses, yogurts, spreads and sauces, and breakfast cereals. This microalga’s essential fatty acids are used as supplements in diets for pregnant and nursing women, as well as cardiovascular patients [].
3.3.3. Role of Fatty Acids in Cosmeceuticals
Algae fatty acids and other lipophilic chemicals are also anti-allergic, antioxidant, and anti-inflammatory []. Furthermore, lipids can act as moisturizing ingredients substances, protecting the skin from water loss []. Many fatty acids, including lauric acid, myristic acid, palmitic acid, and stearic acid, can be used as raw materials. Furthermore, FAs are skin components that play a crucial role in the maintenance of skin integrity [].
Waxes are classified as fatty esters, which are a type of fatty acyl []. Euglena gracilis is a microalga that produces a large quantity of wax-ester as a byproduct of the biodegradation of storage polysaccharides. These wax-esters are now used in biofuel generation but could possibly be useful in cosmetics []. Waxes, for example, are important components in lipsticks because they give the stick sufficient rigidity, hardness, stability, and texture. Today’s lipsticks can be made with a range of waxes. Alkenones are a class of lipids, long-chain ketones that are produced by haptophyte microalgae such as Isochrysis sp. and employed as structuring agents in some cosmetic preparations in place of animal-derived and petroleum-derived waxes. They are a vegan and recyclable marine-based component that will meet customer demands. Because alkenones can be made in a variety of locales, their supply is not as limited as that of some other waxes. Given their waxy structure and relatively high melting point, alkenones may offer an appealing class of natural chemicals with potential applications in a wide range of cosmetic and skin care products []. Table 7 highlights the applications of lipids.

Table 7.
The seaweeds lipids and their apllications.
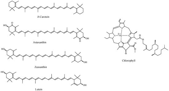
3.4. Pigments
Natural pigments are necessary for photosynthesizing algal metabolism, or macroalgae are divided into three groups depending on pigment content: Phaeophyceae (brown algae), Chlorophyceae (green algae), or Rhodophyceae (red algae) are three families of algae (red algae) []. Macroalgae can produce three fundamental types of organic pigments: chlorophylls, carotenoids, or phycobilins []. Macroalgae that are wealthy in chlorophylls a or b seem green, whereas algae appear greenish-brown owing to a combination of fucoxanthin (carotenoid), and algae appear red owing to combination of chlorophylls a, c, or d, and phycobilins. Chlorophylls are natural lipid-soluble greenish pigments with porphyrin ring []. The chemical structures of different types of pigments in seaweeds are presented in Figure 4.

Figure 4.
Chemical structures of different types of pigments in seaweeds.
Carotenoids have received much interest and are used in nutritional supplements, fortified foods, animal feed, pharmaceuticals, or cosmetics because of their antioxidant and antimicrobial characteristics, which assist to decrease the prevalence of cardiovascular diseases, ophthalmologic diseases, or cancer []. Carotenoids are lipophilic, linear polyenes in two categories: (i) carotenoids, carotenoids, and lycopene; (ii) xanthophylls (e.g., antheraxanthin, zeaxanthin, lutein, fucoxanthin, violaxanthin) []. Ascophyllum nodosum, Cladosiphon okamuranus, Fucus serratus, Chaetoseros sp., Ishige okamurae, Ecklonia stolonifera, Himanthalia elongata, and Fucus vesiculosus all contain carotenoid. It is more efficient upon Gram-positive bacteria (like, Streptococcus agalactiae, Staphylococcus aureus, Proteus mirabilis, Pseudomonas aeruginosa, Staphylococcus epidermidis, or Serratia marcescens) and Gram-negative bacteria (like, Klebsiella pneumoniae, Klebsiella oxytoca, Serratia marcescens, Acinetobacter lwoffii, Pseudomonas aeruginosa or Escherichia coli) [].
Phycobiliproteins are naturally fluorescent, water-soluble proteins classified as PC (blue pigment), PE (red pigment), and allophycocyanins (light-blue pigment), with PE being most common in several red macroalgae species []. Algae rich in phycobiliproteins include Spirulina, Botryococcus, Chlorella and Nostoc. These pigments were discovered to have anti-obesity, anti-inflammatory, anti-angiogenic, antioxidant, anti-carcinogenic or neuroprotective activities in a recent study []. Table 8 illustrates the role of different carotenoids in human health.

Table 8.
Summarizes the key activities of carotenoids in human health.
3.5. Phenolic Compounds
Phenolic acids, tannins, flavonoids, and catechins are some of the phenolic compounds found in marine algae. The method of phenolic chemical extraction and the yield are strongly dependent on seaweed species. Brown seaweeds (Pheophyceae: P) are known for their high content of phlorotannins, complicated polymers made up of oligomers of phloroglucinol (1,3,5-trihydroxybenzene), while red or green seaweeds (Rhodophyceae: R) are known for their phenolic acids, flavonoids or bromophenols []. Polyphenols extracted from seaweeds were linked to variety of biological functions, containing antimicrobial, anticancer, antiviral, anti-obesity, antitumor, antiproliferative, antidiabetic, anti-inflammatory, or antioxidant effects []. Previous studies [,] demonstrated the anti-inflammatory activity of polyphenol-rich fraction derived from Rhodophyceae. Furthermore, phlorotannins and bromophenols derived from green or red algae possess strong inhibitory activity upon in vitro cancer cell proliferation or in vivo tumor growth, as well as antidiabetic and antithrombotic activities in vitro.
The phenolic active ingredients in seaweeds differ depending on whether they are red, green, or brown. Different phyla create different chemicals; for example, brown seaweeds produce phlorotannins, but red seaweeds produce a greater range of mycosporine-like amino acids (MAAs) than green species [,]. As a result of cellular mechanisms and genetic codification, the synthesis and diversity of phenolic chemicals are intimately tied to the seaweed taxonomic group and individual species []. Furthermore, phenolic acids such as benzoic acid, p-hydroxybenzoic acid, salicylic acid, gentisic acid, protocatechuic acid, vanillic acid, gallic acid, and syringic acid have been found in the genus Gracilaria (Rhodophyta, red alga) [,]. Phlorotannins are well-known phenolic chemicals that brown seaweeds produce []. Flavonoids such as rutin, quercitin, and hesperidin were detected in many Chlorophyta, Rhodophyta, and Phaeophyceae species []. Chondrus crispus and Porphyra/Pyropia spp. (Rhodophyta), as well as Sargassum muticum and Sargassum vulgare (Phaeophyceae), may synthesis isoflavones, as can daidzein and genistein []. Furthermore, several flavonoid glycosides were found in the brown seaweeds Durvillaea antarctica, Lessonia spicata, and Macrocystis pyrifera (also known as Macrocystis integrifolia) [].
Terpenoids are belonging to secondary metabolites discovered in seaweeds []. Meroditerpenoids (such as plastoquinones, chromanols, and chromenes) were discovered in brown seaweeds, primarily from the Sargassaceae family (Phaeophyceae). These compounds are produced in part from terpenoids and are distinguished by the presence of a polyprenyl chain connected to a hydroquinone ring moiety []. In Rhodomelaceae, red seaweeds manufacture phenolic terpenoids such as diterpenes and sesquiterpenes. Callophycus serratus, for example, synthesizes a particular diterpene called bromophycolide []. Some studies revealed the existence of phenolic and flavonoids acids in marine algae as seen in Figure 5 and the chemical structure of phenolics also presented in Figure 6.

Figure 5.
Several seaweeds synthesize phenolic substances. Adapted from ref [] obtained from mdpi journals. (A)—Ascophyllum nodosum (P); (B)—Bifurcaria bifurcata (P); (C)—Fucus vesiculosus (P); (D)—Leathesia marina (P); (E)—Lobophora variegata (P); (F)—Macrocystis pyrifera (P); (G)—Asparagopsis armata (R); (H)—Chondrus crispus (R); (I)—Gracilaria sp. (R); (J)—Kappaphycus alvarezii (R); (K)—Neopyropia sp. (R); (L)—Palmaria palmata (R); (M)—Dasycladus vermicularis (Chl); (N)—Derbesia tenuissima (Chl); (O)—Ulva intestinalis (Chl); P—Phaeophyceae, R—Rhodophyta; Chl—Chlorophyta.

Figure 6.
Chemical structures of different types of phenols in seaweeds.
3.6. Minerals
Seaweeds comprise greater numbers of important minerals, such as macroelements (e.g., Na, Ca, P, Mg, K) and trace minerals (like, Fe, Zn, Mn, Cu) due to their marine environment []. Minerals and cell wall polysaccharides (such as agar, alginic acid, alginate, or cellulose) play critical roles in the formation of human tissues or the regulation of crucial reactions as cofactors of some enzymes as cofactors among some enzymes []. As a result, seaweeds are important source of minerals and, when consumed regularly, have been recognized as advantageous functional foods (i.e., food supplements) []. It is worth noting that brown algae have greater mineral content than red algae [].
Furthermore, elements such as Fe or Cu are found in higher concentrations in seaweeds than in meats and spinach []. Seaweeds were identified to be a promising supplier of iodine, which occurs at different chemical components, or brown algae, which contains more than 1% moisture content; its buildup in seaweed tissues may be 30,000 times greater than its concentration in sea water []. Iodine, which comes in a variety of forms, is anti-goiter, anticancer, antioxidant agent or a key nutrient in metabolic control. However, excessive intake may result in some unfavorable effects [].
Green seaweeds have a Na+/K+ ratio of 0.9 to 1, red seaweeds have a ratio of 0.1 to 1.8, and brown seaweeds have a ratio of 0.3 to 1.5. This ratio was found to be especially low in Palmaria palmata (0.1) and Laminaria spp. (0.3–0.4) from Spain []. Because the World Health Organization (WHO) recommends a Na+/K+ ratio close to one, consumption of food products with this proportion or lower should be examined for healthy cardiovascular purposes []. In contrast, using seaweeds as NaCl replacements in processed meals could be a useful technique for reducing overall Na+ consumption while boosting intake of K+ and other lacking components that would otherwise not be present in NaCl salted foods. In addition to Na+ and K+, Ca2+ and Mg2+ intake is linked to cardiovascular health. Indeed, it was proposed that enough Mg2+ intake may lower blood pressure by acting as a calcium antagonist on smooth muscle tone, inducing vasorelaxation [].
Green seaweeds accumulate Mg2+ more than Ca2+, whereas brown seaweeds do the opposite. In turn, with the exception of Phymatolithon calcareum, which can accumulate exceptionally high concentrations of Ca2+ [], red seaweeds generally have lower, but balanced, amounts of these two minerals compared to the two other macroalgae types. It should be noted that the Ca/Mg ratio is also important in terms of calcium absorption because a lack of magnesium can result in a buildup of calcium in soft tissues, resulting in the production of kidney stones and the formation of arthritis [].
Finally, phosphorus (P) levels appear to be similar in the three macroalgae groups, with values ranging from 0.5 to 7 g/kg DW. Notably, Fe is prevalent in all three macroalgae types, while Chlorophyta has a greater rate than Rhodophyta and Phaeophyta. However, at low doses, some species from the chlorophyta phylum (e.g., Alaria esculenta, Saccharina latissima, and Fucus spp.) might also be proposed to be a good source of Fe, as accumulation in some cases can exceed 1 g/kg DW []. In turn, the maximum Mn concentrations were found in red seaweeds, specifically Chondrus crispus, Palmaria palmata, and Gracilaria spp. []. Dawczynski et al. [] also described the preferential deposition of Mn by red macroalgae over brown macroalgae.
The production of seaweed-fortified foods with the goal of reducing NaCl consumption and increasing nutritive value has been notably emphasized in meat-based products. López-López et al. [] conducted outstanding work in the reformulation of many meat products, partially replacing the application of sodium chloride with diverse species of edible seaweeds while retaining their textural and sensory qualities. This research group created meat emulsions, meat patties, and frankfurters enriched with Undaria pinnatifida, Himanthalia elongata, or Porphyra umbilicalis that were both low in Na+ and rich in K+, presenting Na+/K+ ratios below 1, which is much smaller than the ratios above 3 observed in their traditional recipes [,].
Furthermore, increasing the mineral content of meat, fish, and other animal-derived products can be accomplished by providing algae-supplemented diets to animals. Similarly, supplementing fish with seaweed-fortified meals has been shown to be an efficient way of increasing the iodine content of their fillets. Milk, dairy products, and, more recently, plant “milks” (e.g., soy, almond, oat, and rice) are another category of food products that play a critical role in the dietary routines of specific geographical areas of the world and, as such, are ideal candidates for macroalgae supplementation [].
3.7. Vitamins
Vitamins are needed for a variety of skin functions and can be obtained from food or by topical application. Supplementation is indicated for skin protection against dryness and premature aging, aesthetic UV protection, and sebaceous gland secretory activity modulation. Vitamins are frequently found in skin care products or cosmetics. Vitamins A, C, E, K, or vitamin complex B seem to be the most essential or medically proven vitamins for skin photoaging treatment or prevention [], as well as most abundant vitamins through algae have been vitamins A, B, C, or E [].
Some seaweeds contain vitamins with several health benefits and antioxidant activity, which help to lower a variety of health issues such as high blood pressure, cardiovascular illnesses, and the risk of cancer []. Various seaweeds have been found to include water-soluble vitamins B1, B2, B12, and C, as well as fat-soluble vitamins E and β-carotene with vitamin A activity [].
Vitamin A (β-carotene), in the form of retinol, has antioxidant and anti-wrinkle qualities [] and is used in cosmetics to reduce hyperpigmentation or fine wrinkles on the face []. Vitamin B complex is found with higher concentrations in green or red seaweeds (B1, B2, B3 or niacine, B6, B9, B12, or folic acid) []. Active forms of vitamin B3 found in skincare products contain nicotinate esters, niacinamide, or nicotinic acid. Niacinamide is antioxidant that lowers hyperpigmentation (also caused by blue light) and enhances epidermal features by lowering trans-epidermal water loss []. Red algae or other species are good sources of vitamin B12, which has anti-aging characteristics or is required for hair, nail growth, or health in vegetarians [].
Vitamin C is employed in cosmeceutical production because it contains L-ascorbic acid, the bioactive version of which is most well-known []. In this context, Ceramium rubrum and Porphyr leucosticta are red algae with elevated vitamin C content. This vitamin possesses antioxidant, antiviral, anti-inflammatory, antibacterial, detoxifying, or anti-stress properties when applied topically and could be used to improve tissue growth, repair blood vessels, teeth or bones []. A previous study found that if it is present in optimum concentration in cosmetic product, it can improve complexion, reduce pigmentation, and inflammation []. Vitamin C suppresses tyrosinase by interacting to copper ions that reduces melanogenesis, according to several studies [].
Water-soluble vitamins, such as vitamin C, are abundant in Ulva lactuca, Eucheuma cottonii, Caulerpa lentillifera, Sargassum polycstum, and Gracilaria spp. and aid in the inhibition of low-density lipoprotein (LDL) oxidation and the creation of thrombosis/atherosclerosis []. Red algae have significantly higher levels of dried carotene (e.g., 197.9 mg/g in Codium fragile and 113.7 mg/g in Gracilaria chilensis) than other vegetables (e.g., 17.4 mg/g in Macrocystis pyrifera) [], while brown seaweeds (e.g., Undaria pinnatifida) have greater concentrations of a-tocopherol/vitamin E (99% vitamins) than green and red seaweeds [].
The primary fat-soluble vitamins (A and E) boost nitric oxide (NO) and nitric oxide synthase (NOS) activity, which aids in the prevention of CVDs []. Furthermore, vitamin E has antioxidant properties that can limit the oxidation of LDL []. Many disorders, such as chronic fatigue syndrome (CFS), anemia, and skin problems, are caused by a lack of water-soluble vitamins such as B12. Most terrestrial plants do not synthesize vitamin B12, but numerous prokaryotes that can synthesize vitamin B12 interact with seaweeds, and this interaction enhances vitamin levels in macroalgae []. Arthrospira (previously Spirulina) (Cyanobacteria) contains four times more vitamin B12 than raw liver []. Brown and green seaweeds are high in vitamin A, with 500–3000 mg/kg dry weight on average, but red algae have 100–800 mg/kg dry weight []. When compared to terrestrial plants, seaweeds such as Crassiphycus changii (previously Gracilaria changii), Porphyra umbilicalis (Rhodophyta), and Himanthalia elongata (Ochrophyta, Phaeophyceae) are high in vitamins []. Vitamins (A, B, C, D, and E) are found in seaweeds and are widely used in skincare [].
Vitamin C minimizes the severity of allergic reactions to infection, boosts the immune system, regulates the creation of conjunctive tissue, and aids in the removal of free radicals. It also plays an important role in many diseases and disorders such as diabetes, atherosclerosis, cancer, and neurodegenerative problems []. The brown seaweeds Ascophyllum and Fucus sp. have higher levels of vitamin E (α-tocopherols) than other red and green seaweeds []. The seaweed Macrocystis pyrifera (Ochrophyta, Phaeophyceae) is high in vitamin E, similar to plant oils recognized for their vitamin E content, such as soybean oil (Glycine max), sunflower seed oil (Helianthus annuus), and palm oil (Elaeis guineensis) []. Vitamin E prevents the oxidation of low-density lipoprotein and is also effective in reducing the risk of cardiovascular disease [].
4. Biological Activities
4.1. Antioxidant Activity
An imbalance in the creation and neutralization of free radicals causes oxidative stress, which leads to a variety of degenerative illnesses []. Several free radicals, particularly reactive oxygen species (ROS), were created in living organisms as a result of metabolic activity, and hence have an impact on health (Figure 7). ROS were formed in form of hydrogen peroxide (H2O2), superoxide radical (O2−), hydroxyl radical (·OH), or nitric oxide (NO). Oxidative stress causes unconscious or prominent enzyme activation, as well as oxidative damage for cellular systems []. ROS attack or damage important macromolecules including lipids membrane, proteins, or DNA, resulting in a variety of conditions include inflammatory or neurodegenerative diseases, diabetes mellitus, cancer, or severe tissue injuries [,] (Figure 7).

Figure 7.
Damage caused via reactive oxygen species (ROS). Adapted from ref. [] obtained from mdpi journals.
Antioxidants may have a favorable impact on human health because they may protect the body from damage caused via reactive oxygen species (ROS) []. To determine the antioxidant activity of marine derived bioactive peptides, researchers used electron spin resonance spectroscopy as well as intracellular free-radical scavenging assays.
ROS can produce several detrimental biological events, such as DNA oxidative lesions, membrane peroxidation, structural changes in proteins and functional carbohydrate, and so on. All of these structural and functional changes have direct clinical effects, speed up the aging process while also causing pathological phenomena, such as increased capillary permeability and impaired blood cell function []. All of these antioxidant systems behave differently depending on their structure and characteristics, whether hydrophilic or lipophilic, and where they are located (intracellular or extracellular, in cell or organelles membrane, in the cytoplasm, etc.). All of the above processes work in concert to establish a network that protects live cells from the damaging impacts of reactive oxygen species (ROS).
Figure 8 represents reactive oxygen species and neutralization with several biomolecules []. Hydrophobic amino acids in peptide chain contribute to their possible antioxidant effect []. Seaweeds also include nutraceutical and medicinal chemicals such phenols that have antioxidant activity. Polyphenols generated by seaweeds received special attention because their pharmacological action and broad range of health-promoting advantages, as polyphenols play a vital role in a variety of seaweed biological activities. Seaweed phenolic compounds are metabolites with hydroxylated aromatic rings that are chemically defined as molecules. In this context, Al-Amoudi et al. [] stated that sulfated polysaccharides from three marine algae (Phaeophyta Sargassum crassifolia (S), Chlorophyta Ulva lactuca (U) and Rhodophyta Digenea simplex (D) exert antioxidant activity.

Figure 8.
Reactive oxygen species and neutralization by several biomolecules.
4.2. Antimicrobial Activity
Susceptibility testing of harmful microorganisms (e.g., bacteria and fungi) in the presence of possible compounds of interest is the focus of antimicrobial activity assays. Microbial infections can cause life-threatening illnesses, resulting in millions of deaths each year. Despite the fact that the discovery of penicillin pushed many aggressive pathogenic bacteria back, many strains evolved and developed remarkable resistance mechanisms to most antibiotics []. Variable solvents have different antibacterial action depending on their solubility and polarity. As a result, chemical compounds isolated from various seaweeds should be optimized for antibacterial activity by selecting the optimal solvent system []. Micro-algal cell-free extracts are already being studied as food and feed additives in an attempt to replace synthetic antibacterial chemicals currently in use. According to Tuney et al. [], the antibacterial action of the extract is attributable to various chemical agents found in the extract, such as flavonoids, triterpenoids, and other phenolic compounds or free hydroxyl groups. Extraction procedures, solvents used, and the time window in which samples were collected all have the potential to alter antibacterial activity []. A variety of organic solvents had previously been recommended for screening algae for antibacterial activity.
Pérez et al. [] demonstrated that seaweed extracts are effective at suppressing a variety of pathogens, including E. coli and Salmonella. The majority of the research looked at crude seaweed extracts of the chemicals in ethanol or methanol crude extract. It is unclear from these investigations whether the antibacterial activity is due to a single molecule or a combination of chemicals working together. Phytochemicals were shown in several investigations to produce significant bacterial cell-membrane damage by disrupting membrane integrity []. The active phytochemical substances can penetrate the bacterium after the membrane has been disrupted and interfere with DNA, RNA, protein, or polysaccharide formation, resulting in bacterial cell inactivation []. Two of the most common types of seaweeds, namely, the total phenolic, total flavonoid, and antibacterial properties of Padina boryana Thivy and Enteromorpha sp. marine algae were extensively examined, and the authors revealed that both seaweeds show antimicrobial activity against multiple pathogens [].
4.3. Anticancer Activity
Cancers are life-threatening diseases that are considered to be a major public health issue around the world [,]. Uncontrolled cell development spreads into the surrounding tissues, resulting in the formation of a tumor mass []. Much research has looked into the anticancer potential of natural compounds derived from seaweeds, as well as the signaling pathways involved in anticancer activity []. Because those secondary metabolites have no hazardous effects, they have seen a lot of progress in the treatment of numerous diseases, including cancer. Thymoquinone (TQ) is one of the most important bioactive elements of black seeds, and it has been found to have numerous health advantages, including cancer prevention and treatment. Following on this, Algotiml et al. [] studied the effect of biosynthesized Red Sea marine algal silver nanoparticles AgNPs on anticancer and antibacterial properties and the authors stated that due to their relatively moderate side effects, marine resources are currently being increasingly examined for antibacterial and anticancer medication prospects.
According to Palanisamy et al. [], Fucoidans derived from Sargassum polycystum show antiproliferative characteristics at 50 g/mL. Additionally, Usoltseva et al. [] also showed that native and deacetylated fucoidans (at 200 g/mL) from the brown seaweeds Sargassum duplicatum, Sargassum feldmannii, impeded colony formation in human colon cancer cells (DLD-1, HCT-116 or HT-29). According to findings of previous study [], fucoidan extracted from the Brown seaweed Sargassum cinereum displays potent anticancer or apoptotic effects via preventing metastasis. In B-16 (mouse melanoma), CT-26 (murine colon cancer), HL-60 (human promyelocytic leukemia), or U-937 (human leukemic monocyte lymphoma) cell lines, polysaccharides produced through Pheophyceae Ecklonia cava show putative antiproliferative properties [].
In addition, kappa-carrageenan extracted from Hypnea musciformis (Hm-SP) decreased proliferation of MCF-7 or SH-SY5Y cancer cell lines []. Additionally, polysaccharides derived from Sargassum fusiforme (SFPS) reduced SPC-A-1 cell proliferation in vitro and tumor formation in vivo []. Additionally, Ji and Ji [] found that commercial laminaran (400–1600 g/mL) inhibited the growth of human colon cancer LoVo cells through stimulating mitochondrial or DR pathways. Additionally, Fucoidans isolated from Undaria pinnatifida have anticancer potential comparable to commercial fucoidans in cell lines Hela (human cervical), PC-3 (human prostate), HepG2 (human hepatocellular liver carcinoma), or A549 (carcinomic human alveolar basal epithelial) []. Moreover, previous study reported that fucoidan isolated from Sargassum hemiphyllum may increase miR-29b expression in human hepatocellular carcinoma cells, which aids in the lowering of DNA methyltransferase 3B expression []. Moreover, Fucoidans from Fucus vesiculosus were revealed to have anticancer potential, inducing apoptosis in MC3 human mucoepidermoid carcinoma cells via caspase-dependent apoptosis signaling cascade [] (Figure 9).

Figure 9.
Demonstrate the ability of algal polysaccharide (SP)-based customized signals produced from sea algae to cause tumor cell death (apoptosis). Adapted from ref. [] obtained from mdpi journals.
4.4. Antidiabetics Activity
As a result of an unhealthy lifestyle, obesity, and stress, diabetes is becoming a global illness. Additionally, obesity has been on the rise in Saudi Arabia as a result of changing lifestyles and socioeconomic status [,]. There is a close association between obesity and type 2 diabetes. Drugs that suppress the enzymes α-glucosidase and α-amylase, which break down starch into glucose before it is absorbed into the bloodstream, could be used to treat diabetes []. It is necessary to look for effective therapeutic natural medications with less side effects. Garcimartn et al. [] showed that a α-glucosidase inhibitory effect on restructured pork treated with seaweeds such as Undaria pinnatifida, Himanthalia elongata, and Porphyra umbilicalis caused a reduction in the blood glucose absorption. Padina tetrastromatica phenolic extracts inhibited both α-glucosidase and α-amylase, with higher inhibition linked with a higher phenolic concentration in the extracts. The extracts inhibited α-glucosidase (IC50 value of 28.8 g mL−1) and -amylase (IC50 value of 47.2 g mL−1) by 38.9 and 26.8%, respectively []. Similarly, α-glucosidase inhibitory action was observed in methanol, ethanol, and acetone extracts of Durvillea antarctica, methanol extracts of Ulva sp., and acetone extracts of Lessonia spicata []. Methanol extracts of Padina tenuis (400 µg mL−1) and ethanol extract of Eucheuma denticulatum (10 mg mL−1) and Sargassum polycystum (10 mg mL−1) significantly inhibited α-amylase by 60%, 67%, and 46%, respectively []. Recently, the acetone extract (80%) of brown seaweed Turbinaria decurrens was studied for its antihyperglycemic effects in alloxan induced diabetic wistar male rats []. The results showed a significant reduction in postprandial blood glucose levels of seaweed extracts treated rats to 180.33 mg dL−1 and 225.33 mg dL−1 at the dose of 300 mg/kg body weight and 150 mg/kg body weight, respectively, compared to diabetic control (565.0 mg dL−1) and positive control (115.33 mg dL−1). The bioactive compounds derived from algae and their application is illustrated in Table 9.

Table 9.
Bioactive compounds derived from algae and their applications.
5. Seaweeds in Bio-Manufacturing Applications
Modern consumers are well aware of the nutritional value of food and the negative impact that synthetic preservatives may have worse effect on their health, so it is unsurprising that they prefer fresh and lightly preserved foods that are free of chemical preservatives, but contain natural compounds that may benefit their health [].
5.1. Fertilizer and Soil Conditioners
Seaweed extracts have been frequently employed in agriculture in recent years to increase crop yield. This improvement is achieved by stimulating various physiological processes involved in plant growth and development, as well as improving final product quality (Figure 10). The use of traditional chemical fertilizers has expanded dramatically as result of world’s fast-growing population or ever-increasing food demand []. The usage of these chemical fertilizers, as well as their impacts, notably on environment, has become major source of worry []. As a result, farmers began to switch to organic farming rather than using synthetic agricultural fertilizers. Seaweeds are abundant or long-lasting resources discovered along the world’s coastlines, and they are important sources of food, feed, biofuels, cosmetics, fertilizers, nutraceuticals, and pharmaceuticals [,]. Due to their commercial importance or potential applications, seaweeds are used as fodder, cosmetics, human food, or biofertilizers []. Because of availability of various trace elements, vitamins, growth regulators, or amino acids, macroalgae extracts are currently being used as foliar sprays or presoaking for boosting growth or production of variety of plants, particularly crops []. Each year, more than 15 million tons of seaweed is produced, with much of it used as biofertilizers in agriculture or horticulture industries [,].

Figure 10.
Illustration demonstrating beneficial effects of seaweed extracts on the entire soil-plant system. Such impacts include increased fruit quality and phytohormone content in plants, increased soil enzymatic activity, improved roots system, and overall physiological properties of plants. Adapted from ref. [] obtained from mdpi journals.
5.2. Medical and Pharmaceutical Use
5.2.1. Biomedical Applications of Seaweeds
Bioactive chemicals found in seaweeds have features that make them appealing for biomedical applications. Many species of seaweeds have been employed in traditional medicine for a long time, notably in Asian nations, against goiter, nephritic disorders, anthelmintic, catarrh, and a few other ailments as medicaments or pharmaceutical auxiliaries, long before scientific study information []. Fucus vesiculosus has been used as a medicinal drug, primarily due to its iodine content, for obesity defects and goiters [], for the treatment of sore knees [], healing wounds [], and also as herbal teas for their laxative effects []. The application of different seaweeds is presented in Table 10.

Table 10.
Biomedical effects of seaweed bioactive compounds.
Chondrus crispus (Rhodophyta) carrageens have been used as mucilage against diarrhea, dysentery, gastric ulcers, and as a component of several health teas, such as for colds, for a long time. Gelidium cartilagineum (Rhodophyta) has been used in pediatric medicine in Japan for colds and scrofula []. Ulva lactuca (Chlorophyta) has been used for gout and as an astringent in folk medicine []. Rhodophyta extracts are very promising natural chemicals that could be used in biomedicine. Many species of Asian seaweeds are employed in traditional medicine, including Gracilaria spp. (Rhodophyta), which is used as a laxative, Sargassum spp. (Phaeophyceae), which is used to treat Chinese influence, and Caloglossa spp., Codium spp., Dermonema spp., and Hypnea spp. (Rhodophyta) [].
Carrageenans’ biological actions make them attractive candidates for future antitumoral therapeutics since they activate antitumor immunity []. Kappaphycus species (Rhodophyta), for example, are used to treat ulcers, headaches, and tumors []. Antitumoral efficacy of carrageenans derived from Kappaphycus striatum against human nasopharyngeal carcinoma, human gastric carcinoma, and cervical cancer cell lines []. The bioactivity of chemicals from various Laurencia species (Rhodophyta) was investigated. In vitro, certain halogenated metabolites of Laurencia papillosa showed action against Jurkat (acute lymphoblastic leukemia) human tumor cells []. Laurencia obtuse extracts, specifically three sesquiterpenes, have been extracted and tested against Ehrlich ascites cancer cells. The sesquiterpenes were found to have antitumoral action against Ehrlich ascites cells []. Gracilaria edulis ethanol extracts showed antitumor efficacy in mice with ascites tumors [].
Undaria pinnatifida (Phaeophyceae) has anti-inflammatory qualities and can be used to treat postpartum depression in women. This alga can also be used to treat edema and as a diuretic. Celikler et al. [] investigated the antigenotoxic effect of Ulva rigida extracts in human cells in vitro (Chlorophyta).
Seaweeds have been suggested as a way to avoid neurogen-erative illnesses in investigations over the last decade []. Alzheimer’s disease (AD), Parkinson’s disease (PD), Huntington’s disease (HD), and Amyotrophic Lateral Sclerosis (ALS) are the most frequent []. According to Bauer et al., several studies highlighted the use of algal polysaccharides for the treatment of neurodegenerative illnesses []. Park et al. [] found that mice treated with fucoidan extracts from Ecklonia cava had better memory and learning; consequently, the study implies favorable results in future human trials. In comparison to the control group, mice treated with polysaccharide isolated from Sargassum fusiforme demonstrated enhanced memory and cognition []. Dieckol and phlorofucofuroeckol, two phlorotannins from Ecklonia cava, are linked to an increase in the main central neurotransmitters in the brain, particularly Acetylcholine (ACh) []. Ahn et al. [] investigated Eisenia bicyclis phlorotannins and found that 7-phloroeckol and phlorofucofuroeckol A were powerful neuroprotective agents against induced cytotoxicity, while eckol had a weaker impact.
5.2.2. Pharmaceutical Applications of Seaweeds
Bioactive chemicals from seaweeds are used in the pharmaceutical industry to help develop new formulations for revolutionary treatments and to replace synthetic components with natural ones. Bioactive chemicals found in seaweeds have important pharmacological properties, including anticoagulant, antioxidant, antiproliferative, antititumoral, anti-inflammatory, and antiviral effects [] (Table 11).

Table 11.
The potential pharmacological activity of brown, red and green seaweeds.
Fucoidans extracted from Laminaria cichorioides (Phaeophyceae) [] and Fucus evanescens [] behave like heparin in both in vitro and in vivo experiments, demonstrating anticoagulant activity by accelerating the development of antithrombin III to inhibit the effect against thrombin.
Fucoidans have a variety of characteristics. Pozharitskaya et al. [] investigated the antioxidant, anti-inflammatory, anti-hyperglycaemic, and anticoagulant bioactivities of fucoidans isolated from Fucus vesiculosus. Even though their free-radical scavenging activity was lower than that of synthetic antioxidants, it was comparable to that of the natural antioxidant quercetin, which is found in plants. Furthermore, inhibition of both isoforms of the pro-inflammatory cyclooxygenase (COX-1) enzymes has been demonstrated, making fucoidans isolated from Fucus vesiculosus interesting substances for anti-inflammatory natural medicines []. Fucoidans from Fucus vesiculosus also have a role in fucoidan’s suppression of the enzyme DPP-IV. This enzyme is involved in the breakdown of incretin hormones, which prevents greater levels of glucose in the blood (postprandial hyperglycemia); a new pharmaceutical company is developing DPP-IV inhibitors to lower blood glucose levels and ensure anti-hyperglycaemic effects. As a result, according to Pozharitskaya et al. [], fucoidans may be engaged in anti-hyperglycaemic activity via DPP-IV inhibition. Sargassum fulvellum (Phaeophyceae) has been found to contain a variety of bioactive compounds, including phlorotannins, grasshopper ketone, fucoidan, and polysaccharides, according to previous research. For years, Sargassum fulvellum extracts have been researched for their various pharmacological effects, including antioxidant, anticancer, anti-inflammatory, antibacterial, and anticoagulant properties [].
Sargassum fulvellum extracts were studied for disorders such a lump, swelling, testicular discomfort, and urinary tract infections []. Agar made from red algae is frequently used in biomedicine as a suspension component in medicinal solutions and prescription goods, as well as anticoagulant and laxative agents in capsules []. The red algae Gracilaria edulis is well-known around the world for its biological and medicinal qualities. Gracilaria edulis extract exhibited antidiabetic, antioxidant, antibacterial, anticoagulant, anti-inflammatory, and antiproliferative characteristics []; consequently, these compounds could be used in new pharmaceutical formulations. Furthermore, Gunathilaka et al. [] investigated the in vitro hypoglycemic efficacy of Gracilaria edulis phenolic, flavonoid, and alkaloid extracts. The suppression of carbohydrate-digesting enzymes, glucose absorption, and the generation of antiglycation end products demonstrated the red alga’s hypoglycemic potential. In vivo, Ulva rigida (Chlorophyta) has been shown to have a hypoglycemic impact [].
Seaweeds’ antiviral qualities make them an excellent alternative for improving the health of infected persons; also, their use in pharmaceuticals will provide new and natural antiviral drugs that can replace synthetic chemicals. Furthermore, when compared to the creation of synthetic antivirals, the use of bioactive components from seaweeds is less expensive []. Antiviral activity of macroalgae has been discovered to protect against a variety of viruses, including HIV, Herpes Simplex Virus (HSV), genital warts [], and hepatitis C (HCV) []. HSV [], Encephalomyocarditis virus, Influenza “A” virus [], and human metapneumovirus [] are only a few of the viruses that Chlorophyta species have been shown to be effective against. The antiviral action of macroalgae is linked to a variety of substances such as as fatty acids and diterpenes, but most notably to the presence of Seaweed bioactive compounds [], which can inhibit virus multiplication or help the immune system combat viral infection.
5.3. Cosmetic Industry
Cosmetics and cosmeceuticals are commonplace therapies for improving the skin’s appearance and treating several dermatological problems. Seaweeds are a valuable component in product development because of their wide range of functional, sensory, and biological properties. Consumer demand for green or eco-friendly products has risen in recent years. This pattern can be seen in the globally competitive cosmetics industry, in need of natural, secure, or effective ingredients to make innovative skin care products []. The usage of seaweed-isolated compounds in cosmetic products rose steadily as a result of various scientific studies revealing prospective skincare properties of seaweed bio-actives. Biologically active substances include carotenoids, polysaccharides, phlorotannins, fatty acids, sterols, tocopherol, vitamins, phycocyanins, or phycobilins [,,,,]. In this context, a Sargassum plagyophyllum extract was shown to have antioxidant and anti-collagenase that can considered to be potent pharmaceutical ingredient for anti-wrinkle cosmetics action [,,,]. As a form of polyphenol, phlorotannins contain a group of heterogeneous polymeric molecules with substantial chemical modifications and various chemical structures []. These molecules can play a key role in the interaction between the skin and UVR, such as preventing radiation from penetrating the skin and lowering inflammation, oxidative stress, DNA damage, and maintaining signaling pathways intact. They also attracted a lot of interest because of their participation in several phototoxic pathways and mechanisms []. Brown algae Sargassum fusiforme [], Halidrys siliquosa [], Padina australis [], Sargassum coreanum [], and Polycladia myrica [] have been explored for using in cosmetic products.
6. Materials and Methods
Literature Search
The preferred reporting items for systematic reviews were used for the collection, identification, screening, selection, and analysis of the studies reviewed. A literature search was performed using different databases, including Scopus, Web of Science, Google Scholar, Wiley, MDPI, and PubMed. The search criteria included scientific articles on seaweeds published between 1989 and 2022. The keywords used in the literature search were “seaweeds” and “bioactivites OR “biological activities” OR “safety” OR “toxicity” OR “characteristics” OR “structure” OR “anticancer” OR “antidiabitics” OR “lipids” OR “polysaccarides” OR “phenolic compounds” OR “vitamines” OR “cosometics” OR “foods” OR “human” OR “minerals” OR “pigments and carotenoids” OR “protein” OR “amino acids”. The total number of articles found was 650. Studies focusing on the above keywords were selected, as well as those addressing the biological activity of seaweeds and the different applications of seaweeds. The figures were obtained from MDPI journals, and the chemical structure of compounds was designed by Chem windo 6 ver.4.1.1 Biorad edition.
7. Conclusions
Seaweeds include a wealth of bioactive compounds that could be used to develop novel functional ingredients for food as well as a therapy or prevention strategy for chronic diseases. Seaweeds could be an alternative source for synthetic substances that may help to increase consumer well-being via being incorporated into new functional foods or medications, as consumers have recently paid a lot of attention to natural bioactive compounds as functional ingredients in foods (Figure 11). However, because of the probable presence of hazardous pollutants such as heavy metals or their high iodine content, seaweed eating must be accompanied with an understanding of the hazards to human health. Because of the presence of numerous of innovative bioactive substances with potential anti-disease activities, using green extraction or purification processes of compounds from complex seaweed matrix is a viable or logical strategy for avoiding these health-related issues or creating added-value functional products.

Figure 11.
A summary for the bioactive compounds that have different biological activities and used in different applications. Adapted from ref. [] obtained from mdpi journals.
Author Contributions
Conceptualization, H.S.E.-B., A.A.M., H.I.M., K.M.A.R., A.A.B. and A.T.M.; software, H.S.E.-B., A.A.M., H.I.M., K.M.A.R., A.A.B. and A.T.M.; validation, H.S.E.-B., A.A.M., H.I.M., K.M.A.R., A.A.B. and A.T.M.; investigation, H.S.E.-B., A.A.M., H.I.M., K.M.A.R., A.A.B. and A.T.M.; resources, H.S.E.-B., A.A.M., H.I.M., K.M.A.R., A.A.B. and A.T.M.; data curation, H.S.E.-B., A.A.M., H.I.M., K.M.A.R., A.A.B. and A.T.M.; writing—original draft preparation, H.S.E.-B., A.A.M., H.I.M., K.M.A.R., A.A.B. and A.T.M.; writing—review and editing, H.S.E.-B., A.A.M., H.I.M., K.M.A.R., A.A.B. and A.T.M.; visualization, H.S.E.-B., A.A.M., H.I.M., K.M.A.R., A.A.B. and A.T.M.; supervision, H.S.E.-B., A.A.M.; project administration, H.S.E.-B. and A.A.M.; funding acquisition, H.S.E.-B. and A.A.M. All authors have read and agreed to the published version of the manuscript.
Funding
1—Deanship of Scientific Research, Vice Presidency for Graduate Studies and Scientific Research, King Faisal University, Saudi Arabia (Grant 402). 2—Deanship of Scientific Research at Umm Al-Qura University, Saudi Arabia (Grant Code: 22UQU4361052DSR01).
Data Availability Statement
All data available in the review.
Acknowledgments
The authors acknowledge the Deanship of Scientific Research, Vice Presidency for Graduate Studies and Scientific Research, at King Faisal University, for the financial support, under (Grant 402). Furthermore, we thank Deanship of Scientific Research at Umm Al-Qura University for supporting this work by Grant Code: 22UQU4361052DSR01.
Conflicts of Interest
The authors declare no conflict of interest.
References
- Menaa, F.; Wijesinghe, P.A.U.I.; Thiripuranathar, G.; Uzair, B.; Iqbal, H.; Khan, B.A.; Menaa, B. Ecological and Industrial Implications of Dynamic Seaweed-Associated Microbiota Interactions. Mar. Drugs 2020, 18, 641. [Google Scholar] [CrossRef] [PubMed]
- Duarte, C.M.; Marbá, N.; Holmer, M. Rapid domestication of marine species. Science 2007, 316, 382–383. Available online: https://www.science.org/doi/10.1126/science.1138042 (accessed on 20 April 2007). [CrossRef] [PubMed]
- Irkin, L.C.; Yayintas, Ö. Pharmacological Properties and Therapeutic Benefits of Seaweeds (A Review). Int. J. Trend Sci. Res. Dev. 2018, 2, 1126–1131. [Google Scholar] [CrossRef]
- Chapman, V.J.; Chapman, D.J. Seaweeds and Their Uses, 3rd ed.; Chapman and Hall in Associate with Methuen: London, UK, 1980; p. 334. [Google Scholar] [CrossRef]
- Vieira, E.F.; Soares, C.; Machado, S.; Correia, M.; Ramalhosa, M.J.; Oliva-Teles, M.T.; Paula Carvalho, A.; Domingues, V.F.; Antunes, F.; Oliveira, T.A.C.; et al. Seaweeds from the Portuguese coast as a source of proteinaceous material: Total and free amino acid composition profile. Food Chem. 2018, 269, 264–275. [Google Scholar] [CrossRef]
- Cotas, J.; Leandro, A.; Pacheco, D.; Gonçalves, A.M.M.; Pereira, L. A comprehensive review of the nutraceutical and therapeutic applications of red seaweeds (Rhodophyta). Life 2020, 10, 19. [Google Scholar] [CrossRef]
- Singh, I.P.; Sidana, J. Phlorotannins. In Functional Ingredients from Algae for Foods and Nutraceuticals; Domínguez, H., Ed.; Woodhead Publishing: Cambridge, UK, 2013; pp. 181–204. [Google Scholar]
- Alshehri, M.A.; Al Thabiani, A.; Alzahrani, O.; Ibrahim, A.A.S.; Osman, G.; Bahattab, O. DNA-barcoding and Species Identification for some Saudi Arabia Seaweeds using rbcL Gene. J. Pure Appl. Microbiol. 2019, 13, 2035–2044. [Google Scholar] [CrossRef]
- Francavilla, M.; Franchi, M.; Monteleone, M.; Caroppo, C. The Red Seaweed Gracilaria gracilis as a Multi Products Source. Mar. Drugs 2013, 11, 3754–3776. [Google Scholar] [CrossRef]
- Gómez-Guzmán, M.; Rodríguez-Nogales, A.; Algieri, F.; Gálvez, J. Potential role of seaweed polyphenols in cardiovascular-associated disorders. Mar. Drugs 2018, 16, 250. [Google Scholar] [CrossRef]
- Misurcová Cao, J.; Wang, J.; Wang, S.; Xu, X. Porphyra species: A mini-review of its pharmacological and nutritional properties. J. Med. Food 2016, 19, 111–119. [Google Scholar] [CrossRef]
- Dolganyuk, V.; Belova, D.; Babich, O.; Prosekov, A.; Ivanova, S.; Katserov, D.; Patyukov, N.; Sukhikh, S. Microalgae: A promising source of valuable bioproducts. Biomolecules 2020, 10, 1153. [Google Scholar] [CrossRef]
- Renuka, N.; Guldhe, A.; Prasanna, R.; Singh, P.; Bux, F. Microalgae as multi-functional options in modern agriculture: Current trends, prospects and challenges. Biotechnol. Adv. 2018, 36, 1255–1273. [Google Scholar] [CrossRef] [PubMed]
- Mantri, V.A.; Kavale, M.G.; Kazi, M.A. Seaweed biodiversity of India: Reviewing current knowledge to identify gaps, challenges, and opportunities. Diversity 2020, 12, 13. [Google Scholar] [CrossRef]
- Kumar, M.; Sun, Y.; Rathour, R.; Pandey, A.; Thakur, I.S.; Tsang, D.C. Algae as potential feedstock for the production of biofuels and value-added products: Opportunities and challenges. Sci. Total Environ. 2020, 716, 137116. [Google Scholar] [CrossRef]
- Saratale, R.G.; Kumar, G.; Banu, R.; Xia, A.; Periyasamy, S.; Saratale, G.D. A critical review on anaerobic digestion of microalgae and macroalgae and co-digestion of biomass for enhanced methane generation. Bioresour. Technol. 2018, 262, 319–332. [Google Scholar] [CrossRef] [PubMed]
- Chiaiese, P.; Corrado, G.; Colla, G.; Kyriacou, M.C.; Rouphael, Y. Renewable sources of plant biostimulation: Microalgae as a sustainable means to improve crop performance. Front. Plant Sci. 2018, 9, 1782. [Google Scholar] [CrossRef]
- Lee, X.J.; Ong, H.C.; Gan, Y.Y.; Chen, W.H.; Mahlia, T.M.I. State of art review on conventional and advanced pyrolysis of macroalgae and microalgae for biochar, bio-oil and bio-syngas production. Energy Convers. Manag. 2020, 210, 112707. [Google Scholar] [CrossRef]
- Eppink, M.H.; Olivieri, G.; Reith, H.; van den Berg, C.; Barbosa, M.J.; Wijffels, R.H. From current algae products to future biorefinery practices: A review. Biorefineries 2017, 166, 99–123. Available online: https://link.springer.com/chapter/10.1007/10_2016_64 (accessed on 7 March 2017).
- Ariede, M.B.; Candido, T.M.; Jacome, A.L.M.; Velasco, M.V.R.; de Carvalho, J.C.M.; Baby, A.R. Cosmetic attributes of algae—A review. Algal Res. 2017, 25, 483–487. [Google Scholar] [CrossRef]
- Pulz, O.; Broneske, J.; Waldeck, P. IGV GmbH experience report, industrial production of microalgae under controlled conditions: Innovative prospects. In Handbook of Microalgal Culture: Applied Phycology and Biotechnology; Wageningen University: Wageningen, The Netherlands, 2013; pp. 445–460. [Google Scholar] [CrossRef]
- Thiyagarasaiyar, K.; Goh, B.H.; Jeon, Y.J.; Yow, Y.Y. Algae metabolites in cosmeceutical: An overview of current applications and challenges. Mar. Drugs 2020, 18, 323. [Google Scholar] [CrossRef]
- Ghosh, R.; Banerjee, K.; Mitra, A. Seaweeds in the Lower Gangetic Delta. In Handbook of Marine Macroalgae: Biotechnology and Applied Phycology; Kim, S.K., Ed.; Wiley-Blackwell: Hoboken, NJ, USA, 2012. [Google Scholar]
- Misurcová, L. Chemical composition of seaweeds. In Handbook of Marine Macroalgae: Biotechnology and Applied Phycology; Kim, S.-K., Ed.; John Wiley & Sons: Hoboken, NJ, USA, 2012; p. 567. [Google Scholar]
- Al-Amoudi, O.A.; Mutawie, H.H.; Patel, A.V.; Blunden, G. Chemical composition and antioxidant activities of Jeddah corniche algae. Saudi J. Biol. Sci. 2009, 16, 23–29. [Google Scholar] [CrossRef]
- Edwards, M.; Hanniffy, D.; Heesch, S.; Hernández-Kantún, J.; Moniz, M.; Queguineur, B.; Ratcliff, J.; Soler-Vila, A.; Wan, A. Macroalgae Fact-Sheets; Soler-Vila, A., Moniz, M., Eds.; Irish Seaweed Research Group, Ryan Institute, NUI Galway: Galway, Ireland, 2012; p. 40. [Google Scholar]
- Shanura Fernando, I.P.; Asanka Sanjeewa, K.K.; Samarakoon, K.W.; Kim, H.S.; Gunasekara, U.K.D.S.S.; Park, Y.J.; Abeytungaa, D.T.U.; Lee, W.W.; Jeon, Y.-J. The potential of fucoidans from Chnoospora minima and Sargassum polycystum in cosmetics: Antioxidant, anti-inflammatory, skin-whitening, and antiwrinkle activities. J. Appl. Phycol. 2018, 30, 3223–3232. [Google Scholar] [CrossRef]
- Hii, S.L.; Lim, J.; Ong, W.T.; Wong, C.L. Agar from Malaysian red seaweed as potential material for synthesis of bioplastic film. J. Eng. Sci. Technol. 2016, 7, 1–15. [Google Scholar]
- Melo, M.R.S.; Feitosa, J.P.A.; Freitas, A.L.P.; De Paula, R.C.M. Isolation and characterization of soluble sulfated polysaccharide from the red seaweed Gracilaria cornea. Carbohydr. Polym. 2002, 49, 491. [Google Scholar] [CrossRef]
- Hamed, I.; Ozogul, F.; Ozogul, Y.; Regenstein, J.M. Marine bioactive compounds and their health benefits: A review. Compr. Rev. Food Sci. Food Saf. 2015, 14, 446. [Google Scholar] [CrossRef]
- Seedevi, P.; Moovendhan, M.; Viramani, S.; Shanmugam, A. A Bioactive potential and structural chracterization of sulfated polysaccharide from seaweed (Gracilaria corticata). Carbohydr. Polym. 2017, 155, 516–524. [Google Scholar] [CrossRef]
- Hamouda, R.A.; Salman, A.S.; Alharbi, A.A.; Alhasani, R.H.; Elshamy, M.M. Assessment of the Antigenotoxic Effects of Alginate and ZnO/Alginate–Nanocomposites Extracted from Brown Alga Fucus vesiculosus in Mice. Polymers 2021, 13, 3839. [Google Scholar] [CrossRef]
- Chen, X.; Song, L.; Wang, H.; Liu, S.; Yu, H.; Wang, X.; Li, R.; Liu, T.; Li, P. Partial characterization, the immune modulation and anticancer activities of sulfated polysaccharides from Filamentous microalgae Tribonema sp. Molecules 2019, 24, 322. [Google Scholar] [CrossRef]
- He, D.; Wu, S.; Yan, L.; Zuo, J.; Cheng, Y.; Wang, H.; Liu, J.; Zhang, X.; Wu, M.; Choi, J.-I.; et al. Antitumor bioactivity of porphyran extracted from Pyropia yezoensis Chonsoo2 on human cancer cell lines. J. Sci. Food Agr. 2019, 99, 6722–6730. [Google Scholar] [CrossRef]
- Nagamine, T.; Hayakawa, K.; Kusakabe, T.; Takada, H.; Nakazato, K.; Hisanaga, E.; Iha, M. Inhibitory effect of fucoidan on Huh7 hepatoma cells through downregulation of CXCL12. Nutr. Cancer 2009, 61, 340–347. [Google Scholar] [CrossRef]
- Obluchinskaya, E.D.; Pozharitskaya, O.N.; Zakharov, D.V.; Flisyuk, E.V.; Terninko, I.I.; Generalova, Y.E.; Smekhova, I.E.; Shikov, A.N. The Biochemical Composition and Antioxidant Properties of Fucus vesiculosus from the Arctic Region. Mar. Drugs 2022, 20, 193. [Google Scholar] [CrossRef]
- Xu, S.-Y.; Kan, J.; Hu, Z.; Liu, Y.; Du, H.; Pang, G.-C.; Cheong, K.-L. Quantification of Neoagaro-Oligosaccharide Production through Enzymatic Hydrolysis and Its Anti-Oxidant Activities. Molecules 2018, 23, 1354. [Google Scholar] [CrossRef] [PubMed]
- Ozanne, H.; Toumi, H.; Roubinet, B.; Landemarre, L.; Lespessailles, E.; Daniellou, R.; Cesaro, A. Laminarin Effects, a β-(1,3)- Glucan, on Skin Cell Inflammation and Oxidation. Cosmetics 2020, 7, 66. [Google Scholar] [CrossRef]
- Jiang, N.; Li, B.; Wang, X.; Xu, X.; Liu, X.; Li, W.; Chang, X.; Li, H.; Qi, H. The antioxidant and antihyperlipidemic activities of phosphorylated polysaccharide from Ulva pertusa. Int. J. Biol. Macromol. 2020, 145, 1059–1065. [Google Scholar] [CrossRef]
- Li, B.; Xu, H.; Wang, X.; Wan, Y.; Jiang, N.; Qi, H.; Liu, X. Antioxidant and antihyperlipidemic activities of high sulfate content purified polysaccharide from Ulva pertusa. Int. J. Biol. Macromol. 2020, 146, 756–762. [Google Scholar] [CrossRef]
- Pérez, M.J.; Falqué, E.; Domínguez, H. Antimicrobial action of compounds from marine seaweed. Mar. Drugs 2016, 14, 52. [Google Scholar] [CrossRef] [PubMed]
- Damonte, E.; Matulewicz, M.; Cerezo, A. Sulfated Seaweed Polysaccharides as Antiviral Agents. Curr. Med. Chem. 2012, 11, 2399–2419. [Google Scholar] [CrossRef] [PubMed]
- Cherry, P.; O’hara, C.; Magee, P.J.; Mcsorley, E.M.; Allsopp, P.J. Risks and benefits of consuming edible seaweeds. Nutr. Rev. 2019, 77, 307–329. [Google Scholar] [CrossRef]
- Cheong, K.L.; Qiu, H.M.; Du, H.; Liu, Y.; Khan, B.M. Oligosaccharides derived from red seaweed: Production, properties, and potential health and cosmetic applications. Molecules 2018, 23, 2451. [Google Scholar] [CrossRef]
- Mohamed, S.; Hashim, S.N.; Rahman, A. Seaweeds: A sustainable functional food for complementary and alternative therapy. Trends Food Sci. Technol. 2012, 23, 83–96. [Google Scholar] [CrossRef]
- Venugopal, V. Sulfated and non-sulfated polysaccharides from seaweeds and their uses: An overview. ECronicon Nutr. 2019, 2, 126–141. [Google Scholar]
- De Morais, M.G.; Vaz, B.D.S.; De Morais, E.G.; Costa, J.A.V. Biologically Active Metabolites Synthesized by Microalgae. BioMed Res. Int. 2015, 2015, 835761. [Google Scholar] [CrossRef] [PubMed]
- Ouyang, Q.Q.; Hu, Z.; Li, S.D.; Quan, W.Y.; Wen, L.L.; Yang, Z.M.; Li, P.W. Thermal degradation of agar: Mechanism and toxicity of products. Food Chem. 2018, 264, 277–283. [Google Scholar] [CrossRef] [PubMed]
- Mohsin, S.; Kurup, G.M. Mechanism underlying the anti-inflammatory effect of sulphated polysaccharide from Padina tetrastromatica against carrageenan induced paw edema in rats. Biomed. Prev. Nutr. 2011, 1, 294–301. [Google Scholar] [CrossRef]
- Anastyuk, S.; Shervchenko, N.; Ermakova, S.; Vishchuk, O.; Nazarenko, E.; Dmitrenok, P.; Zvyagintseva, T. Anticancer activity in vitro of a fucoidan from the brown algae Fucus evanescens and its low-molecular fragments, structurally characterized by tandem mass-spectrometry. Carbohydr. Polym. 2012, 87, 186–194. [Google Scholar] [CrossRef] [PubMed]
- Wang, Z.-J.; Xu, W.; Liang, J.-W.; Wang, C.-S.; Kang, Y. Effect of fucoidan on B16 murine melanoma cell melanin formation and apoptosis. Afr. J. Tradit. Complement. Altern. Med. 2017, 14, 149–155. [Google Scholar] [CrossRef]
- Adrien, A.; Bonnet, A.; Dufour, D.; Baudouin, S.; Maugard, T.; Bridiau, N. Pilot production of ulvans from Ulva sp. and their effects on hyaluronan and collagen production in cultured dermal fibroblasts. Carbohydr. Polym. 2017, 157, 1306–1314. [Google Scholar] [CrossRef]
- Fernando, I.S.; Sanjeewa, K.A.; Samarakoon, K.W.; Lee, W.W.; Kim, H.S.; Kang, N.; Ranasinghe, P.; Lee, H.S.; Jeon, Y.J. A fucoidan fraction purified from Chnoospora minima; a potential inhibitor of LPS-induced inflammatory responses. Int. J. Boil. Macromol. 2017, 104, 1185–1193. [Google Scholar] [CrossRef]
- Zhang, Z.; Wang, F.; Wang, X.; Liu, X.; Hou, Y.; Zhang, Q. Extraction of the polysaccharides from five algae and their potential antioxidant activity in vitro. Carbohydr. Polym. 2010, 82, 118–121. [Google Scholar] [CrossRef]
- Hwang, P.A.; Chien, S.Y.; Chan, Y.L.; Lu, M.K.; Wu, C.H.; Kong, Z.L.; Wu, C.J. Inhibition of lipopolysaccharide (LPS)-induced inflammatory responses by Sargassum hemiphyllum sulfated polysaccharide extract in RAW 264.7 macrophage cells. J. Agric. Food Chem. 2011, 59, 2062–2068. [Google Scholar] [CrossRef]
- Ale, M.T.; Maruyama, H.; Tamauchi, H.; Mikkelsen, J.D.; Meyer, A.S. Fucose-containing sulfated polysaccharides from brown seaweeds inhibit proliferation of melanoma cells and induce apoptosis by activation of caspase-3 in vitro. Mar. Drugs 2011, 9, 2605–2621. [Google Scholar] [CrossRef]
- Torres, M.D.; Flórez-Fernández, N.; Domínguez, H. Integral utilization of red seaweed for bioactive production. Mar. Drugs 2019, 17, 314. [Google Scholar] [CrossRef] [PubMed]
- Hong, S.J.; Lee, J.H.; Kim, E.J.; Yang, H.J.; Park, J.S.; Hong, S.K. Toxicological evaluation of neoagarooligosaccharides prepared by enzymatic hydrolysis of agar. Regul. Toxicol. Pharmacol. 2017, 90, 9–21. [Google Scholar] [CrossRef] [PubMed]
- Ellis, A.L.; Norton, A.B.; Mills, T.B.; Norton, I.T. Stabilisation of foams by agar gel particles. Food Hydrocoll. 2017, 33, 222–228. [Google Scholar] [CrossRef]
- Hernandez-Carmona, G.; Freile-Pelegrín, Y.; Hernández-Garibay, E. Conventional and alternative technologies for the extraction of algal polysaccharides. In Functional Ingredients from Algae for Foods and Nutraceuticals; Woodhead Publishing: Cambridge, UK, 2013; pp. 475–516. [Google Scholar] [CrossRef]
- Pegg, A.M. The application of natural hydrocolloids to foods and beverages. In Natural Food Additives, Ingredients and Flavourings; Woodhead Publishing: Cambridge, UK, 2012; pp. 175–196. [Google Scholar]
- Scieszka, S.; Klewicka, E. Algae in food: A general review. Crit. Rev. Food Sci. Nutr. 2019, 59, 3538–3547. [Google Scholar] [CrossRef] [PubMed]
- McHugh, D.J. A Guide to the Seaweed Industry; FAO Fisheries Technical Paper 441; Food and Agriculture Organization of the United Nations: Rome, Italy, 2003; Available online: https://www.fao.org/3/y4765e/y4765e00.htm (accessed on 15 July 2003).
- Soukoulis, C.; Chandrinos, I.; Tzia, C. Study of the functionality of selected hydrocolloids and their blends with κ-carrageenan on storage quality of vanilla ice cream. LWT 2008, 41, 1816–1827. [Google Scholar] [CrossRef]
- Pereira, L. Carrageenans—Sources and Extraction Methods, Molecular Structure, Bioactive Properties and Health Effects; Nova Science Publishers: Hauppauge, NY, USA, 2016; p. 293. ISBN 1634855035. Available online: https://novapublishers.com/shop/carrageenans-sources-and-extraction-methods-molecular-structure-bioactive-properties-and-health-effects/ (accessed on 1 September 2016).
- Balboa, E.M.; Conde, E.; Soto, M.L.; Pérez-Armada, L.; Domínguez, H. Cosmetics from marine sources. In Springer Handbook of Marine Biotechnology; Kim, S.-K., Ed.; Springer: Berlin/Heidelberg, Germany, 2015; pp. 1015–1042. ISBN 978-3-642-53970-1. Available online: https://www.springerprofessional.de/en/cosmetics-from-marine-sources/4217512 (accessed on 1 February 2020).
- Mafinowska, P. Algae extracts as active cosmetic ingredients. Zesz. Nauk. 2011, 212, 123–129. [Google Scholar]
- Fabrowska, J.; Łęska, B.; Schroeder, G.; Messyasz, B.; Pikosz, M. Biomass and extracts of algae as material for cosmetics. In Marine Algae Extracts; Kim, S.-K., Chojnacka, K., Eds.; Wiley-VCH, Verlag GmbH & Co. KGaA: Weinheim, Germany, 2015; pp. 681–706. ISBN 9783527337088. [Google Scholar]
- Hotchkiss, S.; Campbell, R.; Hepburn, C. Carrageenan: Sources and extraction methods. In Carrageenans: Sources and Extraction Methods, Molecular Structure, Bioactive Properties and Health Effects; Pereira, L., Ed.; Nova Science Publishers: New York, NY, USA, 2016; pp. 1–16. ISBN 978-1-63485-503-7. [Google Scholar]
- Pereira, L.; Gheda, S.F.; Ribeiro-Claro, P.J. Analysis by vibrational spectroscopy of seaweed polysaccharides with potential use in food, pharmaceutical, and cosmetic industries. Int. J. Carbohydr. Chem. 2013, 2013, 537202. [Google Scholar] [CrossRef]
- Fitton, J.H. Therapies from fucoidan; multifunctional marine polymers. Mar. Drugs 2011, 9, 1731–1760. [Google Scholar] [CrossRef]
- Wu, L.; Sun, J.; Su, X.; Yu, Q.; Yu, Q.; Zhang, P. A review about the development of fucoidan in antitumor activity: Progress and challenges. Carbohydr. Polym. 2016, 154, 96–111. [Google Scholar] [CrossRef]
- Saravana, P.S.; Cho, Y.-N.; Patil, M.P.; Cho, Y.-J.; Kim, G.-D.; Park, Y.B.; Woo, H.-C.; Chun, B.-S. Hydrothermal degradation of seaweed polysaccharide: Characterization and biological activities. Food Chem. 2018, 268, 179–187. [Google Scholar] [CrossRef]
- Yaich, H.; Amira, A.B.; Abbes, F.; Bouaziz, M.; Besbes, S.; Richel, A.; Blecker, C.; Attia, H.; Garna, H. Effect of extraction procedures on structural, thermal and antioxidant properties of ulvan from Ulva lactuca collected in Monastir coast. Int. J. Biol. Macromol. 2017, 105, 1430–1439. [Google Scholar] [CrossRef] [PubMed]
- Lahaye, M.; Robic, A. Structure and functional properties of ulvan, a polysaccharide from green seaweeds. Biomacromolecules 2007, 8, 1765–1774. [Google Scholar] [CrossRef] [PubMed]
- Pereira, L. Biological and therapeutic properties of the seaweed polysaccharides. Int. Biol. Rev. 2018, 2, 1–50. [Google Scholar] [CrossRef]
- Peñalver, R.; Lorenzo, J.M.; Ros, G.; Amarowicz, R.; Pateiro, M.; Nieto, G. Seaweeds as a Functional Ingredient for a Healthy Diet. Mar. Drugs 2020, 18, 301. [Google Scholar] [CrossRef]
- Lordan, S.; Ross, R.P.; Stanton, C. Marine bioactives as functional food ingredients: Potential to reduce the incidence of chronic diseases. Mar. Drugs 2011, 9, 1056–1100. [Google Scholar] [CrossRef]
- Pimentel, F.B.; Alves, R.C.; Rodrigues, F.; Oliveira, M.B.P.P. Macroalgae-Derived Ingredients for Cosmetic Industry—An Update. Cosmetics 2018, 5, 2. [Google Scholar] [CrossRef]
- Admassu, H.; Abdalbasit, M.; Gasmalla, A.; Yang, R.; Zhao, W. Bioactive peptides derived from seaweed protein and their health benefits: Antihypertensive, antioxidant, and antidiabetic properties. J. Food Sci. 2018, 83, 6–16. [Google Scholar] [CrossRef]
- Wijesekara, I.; Lang, M.; Marty, C.; Gemin, M.P.; Boulho, R.; Douzenel, P.; Wickramasinghe, I.; Bedoux, G.; Bourgougnon, N. Different extraction procedures and analysis of protein from Ulva Sp. In Brittany, France. J. Appl. Phycol. 2017, 29, 2503–2511. [Google Scholar] [CrossRef]
- Abdel-fattah, A.F.; Sary, H.H. Glycoproteins from Ulva lactuca. Phytochemistry 1987, 26, 1447–1448. [Google Scholar] [CrossRef]
- Kim, E.Y.; Kim, Y.R.; Nam, T.J.; Kong, I.S. Antioxidant and DNA protection activities of a glycoprotein isolated from a seaweed, Saccharina japonica. Int. J. Food Sci. Technol. 2012, 47, 1020–1027. [Google Scholar] [CrossRef]
- Chaves, R.P.; Silva, S.R.D.; Nascimento Neto, L.G.; Carneiro, R.F.; Silva, A.L.C.D.; Sampaio, A.H.; Sousa, B.L.D.; Cabral, M.G.; Videira, P.A.; Teixeira, E.H.; et al. structural characterization of two isolectins from the marine red alga Solieria Filiformis (Kützing) P.W. Gabrielson and their anticancer effect on MCF-7 breast cancer cells. Int. J. Biol. Macromol. 2018, 107, 1320–1329. [Google Scholar] [CrossRef] [PubMed]
- Abreu, T.M.; Monteiro, V.S.; Martins, A.B.S.; Teles, F.B.; Da Conceição Rivanor, R.L.; Mota, É.F.; Macedo, D.S.; de Vasconcelos, S.M.M.; Júnior, J.E.R.H.; Benevides, N.M.B. Involvement of the dopaminergic system in the antidepressant-like effect of the lectin isolated from the red marine alga Solieria Filiformis in mice. Int. J. Biol. Macromol. 2018, 111, 534–541. [Google Scholar] [CrossRef] [PubMed]
- Oh, J.H.; Nam, T.J. Hydrophilic glycoproteins of an edible green alga Capsosiphon fulvescens prevent aging- induced spatial memory impairment by suppressing Gsk-3β-Mediated Er stress in Dorsal hippocampus. Mar. Drugs. 2019, 17, 168. [Google Scholar] [CrossRef] [PubMed]
- Rafiquzzaman, S.M.; Kim, E.Y.; Lee, J.M.; Mohibbullah, M.; Alam, M.B.; Soo Moon, I.; Kim, J.M.; Kong, I.S. Anti-Alzheimers and anti-inflammatory activities of a glycoprotein purified from the edible brown alga Undaria pinnatifida. Food Res. Int. 2015, 77, 118–124. [Google Scholar] [CrossRef]
- Ratana-arporn, P.; Chirapart, A. Nutritional Evaluation of Tropical Green Seaweeds Caulerpa Lentillifera and Ulva Reticulata. Kasetsart J. Nat. Sci. 2006, 40, 75–83. [Google Scholar]
- Lumbessy, S.Y.; Andayani, S.; Nursyam, H.; Firdaus, M. Biochemical Study of Amino Acid Profile of Kappaphycus alvarezii and Gracilaria salicornia Seaweeds from Gerupuk Waters, West Nusa Tenggara (NTB). Eur. Asian J. Biosci. 2019, 13, 303–307. [Google Scholar]
- Zubia, M.; Payri, C.E.; Deslandes, E.; Guezennec, J. Chemical Composition of Attached and Drift Specimens of Sargassum Mangarevense and Turbinaria Ornata (Phaeophyta: Fucales) from Tahiti, French Polynesia. Bot. Mar. 2003, 46, 562–571. [Google Scholar] [CrossRef]
- Uribe, E.; Vega-Gálvez, A.; Vargas, N.; Pasten, A.; Rodríguez, K.; Ah-Hen, K.S. Phytochemical Components and Amino Acid Profile of Brown Seaweed Durvillaea Antarctica as Affected by Air Drying Temperature. J. Food Sci. Technol. 2018, 55, 4792–4801. [Google Scholar] [CrossRef]
- Kadam, S.U.; Tiwari, B.K.; O’Donnell, C.P. Application of novel extraction technologies for bioactives from marine algae. J. Agric. Food Chem. 2013, 61, 4667–4675. [Google Scholar] [CrossRef]
- Helmi, A.; Mohamed, H.I. Biochemical and ulturasturctural changes of some tomato cultivars to infestation with Aphis gossypii Glover (Hemiptera: Aphididae) at Qalyubiya, Egypt. Gesunde Pflanzen. 2016, 68, 41–50. [Google Scholar] [CrossRef]
- Fleurence, J. Seaweed proteins. In Proteins in Food Processing; Yada, R.Y., Ed.; Woodhead Publishing: Cambridge, UK, 2004; pp. 197–213. [Google Scholar]
- Galland-Irmouli, A.V.; Fleurence, J.; Lamghari, R.; Luçon, M.; Rouxel, C.; Barbaroux, O.; Bronowicki, J.P.; Villaume, C.; Guéant, J.L. Nutritional value of proteins from edible seaweed Palmaria palmata (dulse). J. Nutr. Biochem. 1999, 10, 353–359. [Google Scholar] [CrossRef]
- Wu, G. (Ed.) Amino Acids: Biochemistry and Nutrition, 1st ed.; CRC Press: Boca Raton, FL, USA, 2013. [Google Scholar] [CrossRef]
- Prabhasankar, P.; Ganesan, P.; Bhaskar, N.; Hirose, A.; Stephen, N.; Gowda, L.R. Edible Japanese seaweed, wakame (Undaria pinnatifida) as an ingredient in pasta: Chemical, functional and structural evaluation. Food Chem. 2009, 115, 501–508. [Google Scholar] [CrossRef]
- Ramos-Romero, S.; Torrella, J.R.; Pagès, T.; Viscor, G.; Torres, J.L. Edible microalgae and their bioactive compounds in the prevention and treatment of metabolic alterations. Nutrients. 2021, 13, 563. [Google Scholar] [CrossRef] [PubMed]
- Mabeau, S.; Fleurence, J. Seaweed in food products: Biochemical and nutritional aspects. Trends Food Sci. Technol. 1993, 4, 103–107. [Google Scholar] [CrossRef]
- Lee, H.-A.; Kim, I.-H.; Nam, T.-J. Bioactive peptide from Pyropia yezoensis and its anti-inflammatory activities. Int. J. Mol. Med. 2015, 36, 1701–1706. [Google Scholar] [CrossRef]
- Ryu, J.; Park, S.J.; Kim, I.H.; Choi, Y.H.; Nam, T.J. Protective effect of porphyra-334 on UVA-induced photoaging in human skin fibroblasts. Int. J. Mol. Med. 2014, 34, 796–803. [Google Scholar] [CrossRef]
- Verdy, C.; Branka, J.E.; Mekideche, N. Quantitative assessment of lactate and progerin production in normal human cutaneous cells during normal ageing: Effect of an Alaria esculenta extract. Int. J. Cosmet. Sci. 2011, 33, 462–466. [Google Scholar] [CrossRef]
- Mensi, F.; Nasraoui, S.; Bouguerra, S.; BenGhedifa, A.; Chalghaf, M. Effect of Lagoon and sea water depth on Gracilaria gracilis growth and biochemical composition in the Northeast of Tunisia. Sci. Rep. 2020, 10, 10014. [Google Scholar] [CrossRef]
- Pliego-Cortés, H.; Bedoux, G.; Boulho, R.; Taupin, L.; Freile-Pelegrin, Y.; Bourgougnon, N.; Robledo, D. Stress tolerance and photoadaptation to solar radiation in Rhodymenia pseudopalmata (Rhodophyta) through mycosporine-like amino acids, phenolic compounds, and pigments in an Integrated Multi-Trophic Aquaculture System. Algal Res. 2019, 41, 101542. [Google Scholar] [CrossRef]
- Athukorala, Y.; Trang, S.; Kwok, C.; Yuan, Y.V. Antiproliferative and antioxidant activities and mycosporine-Like amino acid profiles of wild-Harvested and cultivated edible Canadian marine red macroalgae. Molecules 2016, 21, 119. [Google Scholar] [CrossRef]
- Barceló-Villalobos, M.; Figueroa, F.L.; Korbee, N.; Álvarez-Gómez, F.; Abreu, M.H. Production of Mycosporine-Like amino acids from Gracilaria vermiculophylla (Rhodophyta) cultured through one year in an integrated multi-trophic aquaculture (IMTA) system. Mar. Biotechnol. 2017, 19, 246–254. [Google Scholar] [CrossRef] [PubMed]
- Holdt, S.L.; Kraan, S. Bioactive compounds in seaweed: Functional food applications and legislation. J. Appl. Phycol. 2011, 23, 543–597. [Google Scholar] [CrossRef]
- Pereira, L. Seaweeds as Source of Bioactive Substances and Skin Care Therapy—Cosmeceuticals, Algotheraphy, and Thalassotherapy. Cosmetics 2018, 5, 68. [Google Scholar] [CrossRef]
- Saadaoui, I.; Rasheed, R.; Abdulrahman, N.; Bounnit, T.; Cherif, M.; Al Jabri, H.; Mraiche, F. Algae-derived bioactive compounds with anti-lung cancer potential. Mar. Drugs 2020, 18, 197. [Google Scholar] [CrossRef] [PubMed]
- Pangestutil, R.; Kim, S. Seaweed Proteins, Peptides, and Amino Acids; Elsevier Inc.: Amsterdam, The Netherlands, 2015; pp. 125–140. [Google Scholar] [CrossRef]
- Cicero, A.F.; Fogacci, F.; Colletti, A. Potential role of bioactive peptides in prevention and treatment of chronic diseases: A narrative review. Br. J. Pharmacol. 2017, 174, 1378–1394. [Google Scholar] [CrossRef] [PubMed]
- Chrapusta, E.; Kaminski, A.; Duchnik, K.; Bober, B.; Adamski, M.; Bialczyk, J. Mycosporine-like amino acids: Potential health and beauty ingredients. Mar. Drugs 2017, 15, 326. [Google Scholar] [CrossRef]
- Morais, T.; Cotas, J.; Pacheco, D.; Pereira, L. Seaweeds Compounds: An Ecosustainable Source of Cosmetic Ingredients? Cosmetics 2021, 8, 8. [Google Scholar] [CrossRef]
- Bedoux, G.; Hardouin, K.; Burlot, A.S.; Bourgougnon, N. Bioactive components from seaweeds: Cosmetic applications and future development. Adv. Bot. Res. 2014, 71, 345–378. [Google Scholar] [CrossRef]
- Pereira, L. Chapter 6—Seaweed Flora of the European North Atlantic and Mediterranean. In Springer Handbook of Marine Biotechnology; Se-Kwon, K., Ed.; Springer: Berlin/Heidelberg, Germany, 2015; pp. 65–178. ISBN 978-3-642-53971-8. [Google Scholar] [CrossRef]
- Notowidjojo, L. Seaweed as novel food for prevention and therapy for life style related disease. World Nutr J. 2021, 5, 1–5. [Google Scholar] [CrossRef]
- Dhargalkar, V.K.; Verlecar, X.N. Southern Ocean seaweeds: A resource for exploration in food and drugs. Aquaculture 2009, 287, 229–242. [Google Scholar] [CrossRef]
- Probst, Y. A review of the nutrient composition of selected rubus berries. Nutr. Food Sci. 2015, 45, 242–254. [Google Scholar] [CrossRef]
- Conde, E.; Balboa, E.M.; Parada, M.; Falqué, E. Algal proteins, peptides and amino acids. In Functional Ingredients from Algae for Foods and Nutraceuticals; Domínguez, H., Ed.; Woodhead Publishing Limited: Cambridge, UK, 2013; pp. 135–180. ISBN 978-0-85709-512-1. [Google Scholar]
- Quitral, V.; Morales, C.; Sepúlveda, M.; Schwartz, M. Propiedades nutritivas y saludables de algas marinas y su potencialidad como ingrediente funcional. Rev. Chil. Neuropsiquiatr. 2015, 53, 35–43. [Google Scholar] [CrossRef]
- Ramadan, K.M.A.; El-Beltagi, H.S.; Shanab, S.M.M.; El-fayoumy, E.A.; Shalaby, E.A.; Bendary, E.S.A. Potential Antioxidant and Anticancer Activities of Secondary Metabolites of Nostoc linckia Cultivated under Zn and Cu Stress Conditions. Processes 2021, 9, 1972. [Google Scholar] [CrossRef]
- Calder, P.C. Functional roles of fatty acids and their effects on human health. J. Parenter. Enter. Nutr. 2015, 39, 18S–32S. [Google Scholar] [CrossRef] [PubMed]
- Menaa, F.; Wijesinghe, U.; Thiripuranathar, G.; Althobaiti, N.A.; Albalawi, A.E.; Khan, B.A.; Menaa, B. Marine Algae-Derived Bioactive Compounds: A New Wave of Nanodrugs? Mar. Drugs 2021, 19, 484. [Google Scholar] [CrossRef]
- Gosch, B.J.; Magnusson, M.; Paul, N.A.; De Nys, R. Total lipid and fatty acid composition of seaweeds for the selection of species for oil-based biofuel and bioproducts. GCB Bioenergy 2012, 4, 919–930. [Google Scholar] [CrossRef]
- Lopez-Huertas, E. Health effects of oleic acid and long chain omega-3 fatty acids (EPA and DHA) enriched milks. A review of intervention studies. Pharmacol. Res. 2010, 61, 200–207. [Google Scholar] [CrossRef]
- Kumari, P.; Kumar, M.; Gupta, V.; Reddy, C.R.K.; Jha, B. Tropical marine macroalgae as potential sources of nutritionally important PUFAs. Food Chem. 2010, 120, 749–757. [Google Scholar] [CrossRef]
- Matanjun, P.; Mohamed, S.; Mustapha, N.M.; Muhammad, K. Nutrient content of tropical edible seaweeds, Eucheuma cottonii, Caulerpa lentillifera and Sargassum polycystum. J. Appl. Phycol. 2009, 21, 75–80. [Google Scholar] [CrossRef]
- Ortiz, J.; Uquiche, E.; Robert, P.; Romero, N.; Quitral, V.; Llantén, C. Functional and nutritional value of the Chilean seaweeds Codium fragile, Gracilaria chilensis and Macrocystis pyrifera. Eur. J. Lipid Sci. Technol. 2009, 111, 320–327. [Google Scholar] [CrossRef]
- Ortiz, J.; Romero, N.; Robert, P.; Araya, J.; Lopez-Hernández, J.; Bozzo, C.; Navarrete, E.; Osorio, A.; Rios, A. Dietary fiber, amino acid, fatty acid and tocopherol contents of the edible seaweeds Ulva lactuca and Durvillaea antarctica. Food Chem. 2006, 99, 98–104. [Google Scholar] [CrossRef]
- Lorenzo, J.M.; Agregán, R.; Munekata, P.E.S.; Franco, D.; Carballo, J.; ¸Sahin, S.; Lacomba, R.; Barba, F.J. Proximate composition and nutritional value of three macroalgae: Ascophyllum nodosum, Fucus vesiculosus and Bifurcaria bifurcata. Mar. Drugs 2017, 15, 360. [Google Scholar] [CrossRef] [PubMed]
- Cofrades, S.; López-Lopez, I.; Bravo, L.; Ruiz-Capillas, C.; Bastida, S.; Larrea, M.T.; Jiménez-Colmenero, F. Nutritional and antioxidant properties of different brown and red spanish edible seaweeds. Food Sci. Technol. Int. 2010, 16, 361–370. [Google Scholar] [CrossRef] [PubMed]
- Dawczynski, C.; Schubert, R.; Jahreis, G. Amino acids, fatty acids, and dietary fibre in edible seaweed products. Food Chem. 2007, 103, 891–899. [Google Scholar] [CrossRef]
- Liu, B.; Kongstad, K.T.; Wiese, S.; Jager, A.K.; Staerk, D. Edible seaweed as future functional food: Identification of alpha-glucosidase inhibitors by combined use of high-resolution alpha-glucosidase inhibition profiling and HPLC-HRMS-SPE-NMR. Food Chem. 2016, 203, 16–22. [Google Scholar] [CrossRef]
- Godfray, H.C.J.; Beddington, J.R.; Crute, I.R.; Haddad, L.; Lawrence, D.; Muir, J.F.; Pretty, J.; Robinson, S.; Thomas, S.M.; Toulmin, C. Food Security: The Challenge of Feeding 9 Billion People. Science 2010, 327, 812–818. [Google Scholar] [CrossRef]
- Arao, T.; Yamada, M. Positional distribution of fatty acids in galactolipids of algae. J. Phytochem. 1989, 28, 805–810. [Google Scholar] [CrossRef]
- Niaz, A.; Kashif, A. Chemical and Different Nutritional Characteristics of Brown Seaweed Lipids Advances in Science. Technol. Eng. Syst. J. 2016, 1, 23–25. [Google Scholar] [CrossRef]
- Kanazawa, A. Sterols in marine invertebrates. Fish. Sci. 2001, 67, 997–1007. [Google Scholar] [CrossRef]
- Francavilla, M.; Trotta, P.; Luque, R. Phytosterols from Dunaliella tertiolecta and Dunaliella salina: A potentially novel industrial application. Bioresour. Technol. 2010, 101, 4144–4150. [Google Scholar] [CrossRef]
- da Vaz, B.S.; Moreira, J.B.; De Morais, M.G.; Costa, J.A.V. Microalgae as a new source of bioactive compounds in food supplements. Curr. Opin. Food Sci. 2016, 7, 73–77. [Google Scholar] [CrossRef]
- Peng, Y.; Hu, J.; Yang, B.; Lin, X.P.; Zhou, X.F.; Yang, X.W.; Liu, Y. Chemical Composition of Seaweeds; Elsevier Inc.: Amsterdam, The Netherlands, 2015; pp. 79–124. ISBN 9780124199583. [Google Scholar]
- Hamid, N.; Ma, Q.; Boulom, S.; Liu, T.; Zheng, Z.; Balbas, J.; Robertson, J. Seaweed Minor Constituents; Elsevier Inc.: Amsterdam, The Netherlands, 2015; pp. 193–242. [Google Scholar]
- Aryee, A.N.; Agyei, D.; Akanbi, T.O. Recovery and utilization of seaweed pigments in food processing. Curr. Opin. Food Sci. 2018, 19, 113–119. [Google Scholar] [CrossRef]
- Jia, X.; Yang, J.; Wang, Z.; Liu, R.; Xie, R. Polysaccharides from Laminaria japonica show hypoglycemic and hypolipidemic activities in mice with experimentally induced diabetes. Exp. Biol. Med. 2014, 239, 1663–1670. [Google Scholar] [CrossRef] [PubMed]
- Bajpai, V.K.; Shukla, S.; Kang, S.M.; Hwang, S.K.; Song, X.; Huh, Y.S.; Han, Y.K. Developments of cyanobacteria for nano-marine drugs: Relevance of nanoformulations in cancer therapies. Mar. Drugs 2018, 16, 179. [Google Scholar] [CrossRef]
- Camacho, F.; Macedo, A.; Malcata, F. Potential industrial applications and commercialization of microalgae in the functional food and feed industries: A short review. Mar. Drugs 2019, 17, 312. [Google Scholar] [CrossRef]
- Maltsev, Y.; Maltseva, K. Fatty Acids of Microalgae: Diversity and Applications; Springer: Dordrecht, The Netherlands, 2021; Volume 3, ISBN 0123456789. [Google Scholar]
- Da Silva, T.L.; Moniz, P.; Silva, C.; Reis, A. The dark side of microalgae biotechnology: A heterotrophic biorefinery platform directed to ω-3 rich lipid production. Microorganisms 2019, 7, 670. [Google Scholar] [CrossRef]
- Molino, A.; Iovine, A.; Casella, P.; Mehariya, S.; Chianese, S.; Cerbone, A.; Rimauro, J.; Musmarra, D. Microalgae characterization for consolidated and new application in human food, animal feed and nutraceuticals. Int. J. Environ. Res. Public Health 2018, 15, 2436. [Google Scholar] [CrossRef]
- Wynn, J.; Behrens, P.; Sundararajan, A.; Hansen, J.; Apt, K. Production of single cell oils from dinoflagellates. In Single Cell Oils; Microbial and Algal Oils; Cohen, Z., Ratledge, C., Eds.; AOCS Press: Champaign, IL, USA, 2010; pp. 115–129. [Google Scholar]
- Ward, O.P.; Singh, A. Omega-3/6 fatty acids: Alternative sources of production. Process Biochem. 2005, 40, 3627–3652. [Google Scholar] [CrossRef]
- Stengel, D.B.; Connan, S.; Popper, Z.A. Algal chemodiversity and bioactivity: Sources of natural variability and implications for commercial application. Biotechnol. Adv. 2011, 29, 483–501. [Google Scholar] [CrossRef]
- Murphy, M.J.; Dow, A.A. Clinical studies of the safety and efficacy of macroalgae extracts in cosmeceuticals. J. Clin. Aesthet. Dermatol. 2021, 14, 37–41. [Google Scholar]
- Yang, M.; Zhou, M.; Song, L. A review of fatty acids influencing skin condition. J. Cosmet. Dermatol. 2020, 19, 3199–3204. [Google Scholar] [CrossRef] [PubMed]
- De Luca, M.; Pappalardo, I.; Limongi, A.R.; Viviano, E.; Radice, R.P.; Todisco, S.; Martelli, G.; Infantino, V.; Vassallo, A. Lipids from Microalgae for Cosmetic Applications. Cosmetics 2021, 8, 52. [Google Scholar] [CrossRef]
- Yamada, K.; Nitta, T.; Atsuji, K.; Shiroyama, M.; Inoue, K.; Higuchi, C.; Nitta, N.; Oshiro, S.; Mochida, K.; Iwata, O.; et al. Characterization of sulfur-compound metabolism underlying wax-ester fermentation in Euglena gracilis. Sci. Rep. 2019, 9, 853. [Google Scholar] [CrossRef] [PubMed]
- Huynh, A.; Maktabi, B.; Reddy, C.M.; O’Neil, G.W.; Chandler, M.; Baki, G. Evaluation of alkenones, a renewably sourced, plant-derived wax as a structuring agent for lipsticks. Int. J. Cosmet. Sci. 2020, 42, 146–155. [Google Scholar] [CrossRef] [PubMed]
- Lee, H.J.; Dang, H.T.; Kang, G.J.; Yang, E.J.; Park, S.S.; Yoon, W.J.; Jung, J.H.; Kang, H.K.; Yoo, E.S. Two enone fatty acids isolated from Gracilaria verrucosa suppress the production of inflammatory mediators by down-regulating NF-êB and STAT1 activity in lipopolysaccharide-stimulated raw 264.7 cells. Arch. Pharm. Res. 2009, 32, 453–462. [Google Scholar] [CrossRef]
- Patra, J.K.; Das, G.; Baek, K. Chemical composition and antioxidant and antibacterial activities of an essential oil extracted from an edible seaweed, Laminaria japonica L. Molecules 2015, 20, 12093–12113. [Google Scholar] [CrossRef]
- Lee, Y.; Shin, K.; Jung, S.; Lee, S. Effects of the extracts from the marine algae Pelvetia siliquosa on hyperlipidemia in rats. Korean J. Pharmacogn. 2004, 35, 143–146. [Google Scholar]
- Hwang, E.; Park, S.-Y.; Sun, Z.-W.; Shin, H.-S.; Lee, D.-G.; Yi, T.H. The protective effects of fucosterol against skin damage in UVB-Irradiated human dermal fibroblasts. Mar. Biotechnol. 2014, 16, 361–370. [Google Scholar] [CrossRef]
- Neto, R.T.; Marçal, C.; Queirós, A.S.; Abreu, H.; Silva, A.M.S.; Cardoso, S.M. Screening of Ulva rigida, Gracilaria sp., Fucus vesiculosus and Saccharina latissima as Functional Ingredients. Int. J. Mol. Sci. 2018, 19, 2987. [Google Scholar] [CrossRef]
- Udayan, A.; Arumugam, M.; Pandey, A. Nutraceuticals from algae and cyanobacteria. In Algal Green Chemistry; Elsevier: Amsterdam, The Netherlands, 2017; pp. 65–89. [Google Scholar] [CrossRef]
- Kannaujiya, V.K.; Singh, P.R.; Kumar, D.; Sinha, R.P. Phycobiliproteins in microalgae: Occurrence, distribution, and biosynthesis. In Pigments from Microalgae Handbook; Springer: Berlin/Heidelberg, Germany, 2020; pp. 43–68. ISBN 978-3-030-50971-2. [Google Scholar]
- Weill, P.; Plissonneau, C.; Legrand, P.; Rioux, V.; Thibault, R. May omega-3 fatty acid dietary supplementation help reduce severe complications in COVID-19 patients? Biochimie 2020, 179, 275–280. [Google Scholar] [CrossRef]
- Shin, D.; Lee, S.; Huang, Y.-H.; Lim, H.-W.; Lee, Y.; Jang, K.; Cho, Y.; Park, J.S.; Kim, D.-D.; Lim, C.-J. Protective properties of geniposide against UV-B-induced photooxidative stress in human dermal fibroblasts. Pharm. Biol. 2018, 56, 176–182. [Google Scholar] [CrossRef] [PubMed]
- Khan, M.N.A.; Yoon, S.J.; Choi, J.S.; Park, N.G.; Lee, H.H.; Cho, J.Y.; Hong, Y.K. Anti-edema effects of brown seaweed (Undaria pinnatifida) extract on phorbol 12-myristate 13-acetate-induced mouse ear inflammation. Am. J. Chin. Med. 2009, 37, 373–381. [Google Scholar] [CrossRef] [PubMed]
- Richard, D.; Kefi, K.; Barbe, U.; Bausero, P.; Visioli, F. Polyunsaturated fatty acids as antioxidants. Pharmacol. Res. 2008, 57, 451–455. [Google Scholar] [CrossRef] [PubMed]
- Gupta, S.; Abu-ghannam, N. Recent developments in the application of seaweeds or seaweed extracts as a means for enhancing the safety and quality attributes of foods. Innov. Food Sci. Emerg. Technol. 2011, 12, 600–609. [Google Scholar] [CrossRef]
- Speranza, L.; Pesce, M.; Patruno, A.; Franceschelli, S.; DeLutiis, M.A. Astaxanthin treatment reduced oxidative induced pro-inflammatory cytokinessecretion in U937: SHP-1 as a novel biological target. Mar. Drugs 2012, 10, 890–899. [Google Scholar] [CrossRef]
- Al-Amin, M.M.; Akhter, S.; Hasan, A.T.; Alam, T.; Nageeb Hasan, S.M.; Saifullah, A.R.; Shohel, C. The antioxidant effect of astaxanthin is higher in young mice than aged: A region specific study on brain. Metab. Brain Dis. 2015, 27, 15–25. [Google Scholar] [CrossRef]
- Wang, J.-Y.; Lee, Y.-J.; Chou, M.-C.; Chang, R.; Chiu, C.-H.; Liang, Y.-J.; Wu, L.-S. Astaxanthin protects steroidogenesis from hydrogen peroxide-induced oxidative stress in mouse leydig cells. Mar. Drugs 2015, 13, 1375–1388. [Google Scholar] [CrossRef]
- Sharoni, Y.; Agemy, L.; Giat, U.; Kirilov, E.; Danilenko, M.; Levy, J. Lycopene and astaxanthin inhibit human prostate cancer cell proliferation induced by androgens. In Proceedings of the 13th International Symposium on Carotenoids, Honolulu, HI, USA, 6–11 January 2002. [Google Scholar]
- Jyonouchi, H.; Sun, S.; Iijima, K.; Gross, M.D. Antitumoractivity of astaxanthin and its mode of action. Nutr. Cancer 2000, 36, 59–65. [Google Scholar] [CrossRef]
- Yoshida, H.; Yanai, H.; Ito, K.; Tomono, Y.; Koikeda, T.; Tsukahara, H.; Tada, N. Administration of natural astaxanthin increases serum HDL-cholesterol and adiponectin in subjects with mild hyperlipidemia. Atherosclerosis 2010, 209, 520–523. [Google Scholar] [CrossRef]
- Hussein, G.; Nakamura, M.; Zhao, Q.; Iguchi, T.; Goto, H.; Sankawa, U.; Watanabe, H. Antihypertensive and neuroprotective effects of astaxanthin in experimental animals. Biol. Pharm. Bull. 2005, 28, 47–52. [Google Scholar] [CrossRef]
- Heo, S.J.; Ko, S.C.; Kang, S.-M.; Kang, H.S.; Kim, J.P.; Kim, S.H.; Lee, K.W.; Cho, M.G.; Jeon, Y.J. Cytoprotective effect of fucoxanthin isolated from brown algae Sargassum siliquastrum against H2O2 induced cell damage. Eur. Food Res. Technol. 2008, 228, 145–151. [Google Scholar] [CrossRef]
- Heo, S.J.; Jeon, Y.J. Protective effect of fucoxanthin isolated from Sargassum siliquastrum on UV-B induced cell damage. J. Photochem. Photobiol. B Biol. 2009, 95, 101–107. [Google Scholar] [CrossRef] [PubMed]
- Sangeetha, R.K.; Bhaskar, N.; Baskaran, V. Comparative effects of β-carotene and fucoxanthin on retinol deficiency induced oxidative stress in rats. Mol. Cell. Biochem. 2009, 331, 59–67. [Google Scholar] [CrossRef] [PubMed]
- Hosokawa, M.; Wanezaki, S.; Miyauchi, K.; Kurihara, H.; Kohno, H.; Kawabata, J.; Takahashi, K. Apoptosis-inducing effect of fucoxanthin on human leukemia cell HL-60. Food Sci. Technol. Res. 1999, 5, 243–246. [Google Scholar] [CrossRef]
- Kotake-Nara, E.; Asai, A.; Nagao, A. Neoxanthin and fucoxanthin induce apoptosis in PC-3 human prostate cancer cells. Cancer Lett. 2005, 220, 75–84. [Google Scholar] [CrossRef]
- Zhang, Z.; Zhang, P.; Hamada, M.; Takahashi, S.; Xing, G.; Liu, J.; Sugiura, N. Potential chemoprevention effect of dietary fucoxanthin on urinary bladder cancer EJ-1 cell line. Oncol. Rep. 2008, 20, 1099–1103. [Google Scholar] [CrossRef]
- Gao, S.; Qin, T.; Liu, Z.; Caceres, M.A.; Ronchi, C.F.; Chen, C.-Y.O.; Shang, F. Lutein and zeaxanthin supplementation reduces H2O2 induced oxidative damage in human lens epithelial cells. Mol. Vis. 2011, 17, 3180–3190. Available online: http://www.molvis.org/molvis/v17/a343 (accessed on 7 December 2011).
- Matsumoto, M.; Hosokawa, M.; Matsukawa, N.; Hagio, M.; Shinoki, A.; Nishimukai, M.; Hara, H. Suppressive effects of the marine carotenoids, fucoxanthin and fucoxanthinol on triglyceride absorption in lymph duct-cannulated rats. Eur. J. Nutr. 2010, 49, 243–249. [Google Scholar] [CrossRef]
- Allard, J.P.; Royall, D.; Kurian, R.; Muggli, R.; Jeejeebhoy, K.N. Effects of beta-carotene supplementation on lipid peroxidation in humans. Am. J. Clin. Nutr. 1994, 59, 884–890. [Google Scholar] [CrossRef]
- Lourenço-Lopes, C.; Fraga-Corral, M.; Jimenez-Lopez, C.; Carpena, M.; Pereira, A.G.; Garcia-Oliveira, P.; Prieto, M.A.; Simal-Gandara, J. Biological action mechanisms of fucoxanthin extracted from algae for application in food and cosmetic industries. Trends Food Sci. Technol. 2021, 117, 163–181. [Google Scholar] [CrossRef]
- Rokkaku, T.; Kimura, R.; Ishikawa, C.; Yasumoto, T.; Senba, M.; Kanaya, F.; Mori, N. Anticancer effects of marine carotenoids, fucoxanthin and its deacetylated product, fucoxanthinol, on osteosarcoma. Int. J. Oncol. 2013, 43, 1176–1186. [Google Scholar] [CrossRef] [PubMed]
- Di Tomo, P.; Canali, R.; Ciavardelli, D.; Di Silvestre, S.; De Marco, A.; Giardinelli, A.; Pipino, C.; Di Pietro, N.; Virgili, F.; Pandolfi, A. β-Carotene and lycopene affect endothelial response to TNF-a reducing nitro-oxidative stress and interaction with monocytes. Mol. Nutr. Food Res. 2012, 56, 217–227. [Google Scholar] [CrossRef] [PubMed]
- Dwyer, J.H.; Navab, M.; Dwyer, K.M.; Hassan, K.; Sun, P.; Shircore, A.; Hama-Levy, S.; Hough, G.; Wang, X.; Drake, T.; et al. Oxygenated carotenoid lutein and progression of early atherosclerosis: The Los Angeles atherosclerosis study. Circulation 2001, 103, 2922–2927. [Google Scholar] [CrossRef] [PubMed]
- Gullón, B.; Gagaoua, M.; Barba, F.J.; Gullón, P.; Zhang, W.; Lorenzo, J.M. Seaweeds as promising resource of bioactive compounds: Overview of novel extraction strategies and design of tailored meat products. Trends Food Sci. Technol. 2020, 100, 1–18. [Google Scholar] [CrossRef]
- Afify, A.E.-M.M.R.; El-Beltagi, H.S.; Aly, A.A.; El-Ansary, A.E. Antioxidant enzyme activities and lipid peroxidation as biomarker for potato tuber stored by two essential oils from Caraway and Clove and its main component carvone and eugenol. Asian Pac. J. Trop. Biomed. 2012, 2, S772–S780. [Google Scholar] [CrossRef]
- Kalasariya, H.S.; Pereira, L.; Patel, N.B. Pioneering role of marine macroalgae in cosmeceuticals. Phycology 2022, 2, 172–203. [Google Scholar] [CrossRef]
- Farvin, K.H.S.; Jacobsen, C.; Sabeena Farvin, K.H.; Jacobsen, C. Phenolic compounds and antioxidant activities of selected species of seaweeds from Danish coast. Food Chem. 2013, 138, 1670–1681. [Google Scholar] [CrossRef]
- Xu, T.; Sutour, S.; Casabianca, H.; Tomi, F.; Paoli, M.; Garrido, M.; Pasqualini, V.; Aiello, A.; Castola, V.; Bighelli, A. Rapid Screening of Chemical Compositions of Gracilaria dura and Hypnea mucisformis (Rhodophyta) from Corsican Lagoon. Int. J. Phytocosmetics Nat. Ingred. 2015, 2, 8. [Google Scholar] [CrossRef]
- Lomartire, S.; Cotas, J.; Pacheco, D.; Marques, J.C.; Pereira, L.; Gonçalves, A.M.M. Environmental impact on seaweed phenolic production and activity: An important step for compound exploitation. Mar. Drugs 2021, 19, 245. [Google Scholar] [CrossRef]
- Santos, S.A.O.; Félix, R.; Pais, A.C.S.; Rocha, S.M.; Silvestre, A.J.D. The quest for phenolic compounds from macroalgae: A review of extraction and identification methodologies. Biomolecules 2019, 9, 847. [Google Scholar] [CrossRef]
- Klejdus, B.; Lojková, L.; Plaza, M.; Šnóblová, M.; Štĕrbová, D. Hyphenated technique for the extraction and determination of isoflavones in algae: Ultrasound-assisted supercritical fluid extraction followed by fast chromatography with tandem mass spectrometry. J. Chromatogr. A 2010, 1217, 7956–7965. [Google Scholar] [CrossRef] [PubMed]
- Reddy, P.; Urban, S. Meroditerpenoids from the southern Australian marine brown alga Sargassum fallax. Phytochemistry 2009, 70, 250–255. [Google Scholar] [CrossRef] [PubMed]
- Stout, E.P.; Prudhomme, J.; Le Roch, K.; Fairchild, C.R.; Franzblau, S.G.; Aalbersberg, W.; Hay, M.E.; Kubanek, J. Unusual antimalarial meroditerpenes from tropical red macroalgae. Bioorganic Med. Chem. Lett. 2010, 20, 5662–5665. [Google Scholar] [CrossRef] [PubMed]
- Blaustein, M.P.; Leenen, F.H.H.; Chen, L.; Golovina, V.A.; Hamlyn, J.M.; Pallone, T.L.; Van Huysse, J.W.; Zhang, J.; Wier, W.G. How NaCl raises blood pressure: A new paradigm for the pathogenesis of salt-dependent hypertension. Am. J. Physiol. Heart Circ. Physiol. 2012, 302, H1031–H1049. [Google Scholar] [CrossRef]
- Bo, S.; Pisu, E. Role of dietary magnesium in cardiovascular disease prevention, insulin sensitivity and diabetes. Curr. Opin. Lipidol. 2008, 19, 50–56. [Google Scholar] [CrossRef]
- Desideri, D.; Cantaluppi, C.; Ceccotto, F.; Meli, M.A.; Roselli, C.; Feduzi, L. Essential and toxic elements in seaweeds for human consumption. J. Toxicol. Environ. Health Part A 2016, 79, 112–122. [Google Scholar] [CrossRef]
- Blaine, J.; Chonchol, M.; Levi, M. Renal control of calcium, phosphate, and magnesium homeostasis. Clin. J. Am. Soci. Nephrol. 2015, 10, 1257–1272. [Google Scholar] [CrossRef]
- Schiener, P.; Black, K.D.; Stanley, M.S.; Green, D.H. The seasonal variation in the chemical composition of the kelp species Laminaria digitata, Laminaria hyperborea, Saccharina latissima and Alaria esculenta. J. Appl. Phycol. 2015, 27, 363–373. [Google Scholar] [CrossRef]
- Parjikolaei, B.R.; Bruhn, A.; Eybye, K.L.; Larsen, M.M.; Rasmussen, M.B.; Christensen, K.V.; Fretté, X.C. Valuable biomolecules from nine north atlantic red macroalgae: Amino acids, fatty acids, carotenoids, minerals and metals. Nat. Resour. 2016, 7, 157–183. [Google Scholar] [CrossRef]
- Dawczynski, C.; Schäfer, U.; Leiterer, M.; Jahreis, G. Nutritional and toxicological importance of macro, trace, and ultra-trace elements in algae food products. J. Agric. Food Chem. 2007, 55, 10470–10475. [Google Scholar] [CrossRef]
- López-López, I.; Cofrades, S.; Cañeque, V.; Díaz, M.T.; López, O.; Jiménez-Colmenero, F. Effect of cooking on the chemical composition of low-salt, low-fat Wakame/olive oil added beef patties with special reference to fatty acid content. Meat Sci. 2011, 89, 27–34. [Google Scholar] [CrossRef] [PubMed]
- López-López, I.; Bastida, S.; Ruiz-Capillas, C.; Bravo, L.; Larrea, M.T.; Sánchez-Muniz, F.; Cofrades, S.; Jiménez-Colmenero, F. Composition and antioxidant capacity of low-salt meat emulsion model systems containing edible seaweeds. Meat Sci. 2009, 83, 492–498. [Google Scholar] [CrossRef] [PubMed]
- López-López, I.; Cofrades, S.; Yakan, A.; Solas, M.T.; Jiménez-Colmenero, F. Frozen storage characteristics of low-salt and low-fat beef patties as affected by Wakame addition and replacing pork backfat with olive oil-in-water emulsion. Food Res. Int. 2010, 43, 1244–1254. [Google Scholar] [CrossRef]
- Circuncisão, A.R.; Catarino, M.D.; Cardoso, S.M.; Silva, A. Minerals from macroalgae origin: Health benefits and risks for consumers. Mar. Drugs 2018, 16, 400. [Google Scholar] [CrossRef]
- Jacob, L.; Baker, C.; Farris, P. Vitamin-based cosmeceuticals. Cosmet. Dermatol. 2012, 25, 405. [Google Scholar]
- Chakraborty, K.; Praveen, N.K.; Vijayan, K.K.; Rao, G.S. Evaluation of phenolic contents and antioxidant activities of brown seaweeds belonging to Turbinaria spp. (Phaeophyta, Sargassaceae) collected from Gulf of Mannar. Asian Pac. J. Trop. Biomed. 2013, 3, 8–16. [Google Scholar] [CrossRef]
- Škrovánková, S. Seaweed vitamins as nutraceuticals. In Advances in Food and Nutrition Research; Elsevier: Amsterdam, The Netherlands, 2011; Volume 64, pp. 357–369. ISBN 9780123876690. [Google Scholar]
- Searle, T.; Al-Niaimi, F.; Ali, F.R. The top 10 cosmeceuticals for facial hyperpigmentation. Dermatol. Ther. 2020, 33, 14095. [Google Scholar] [CrossRef]
- Bissett, D.L.; Oblong, J.E.; Goodman, L.J. Topical Vitamins. In Cosmetic Dermatology: Products and Procedures; Draelos, Z.D., Ed.; Wiley & Sons, Ltd.: Hoboken, NJ, USA, 2015; pp. 336–345. [Google Scholar] [CrossRef]
- Kilinç, B.; Semra, C.; Gamze, T.; Hatice, T.; Koru, E. Seaweeds for Food and Industrial Applications. In Food Industry; Muzzalupo, I., Ed.; InTech: Rijeka, Croatia, 2013; pp. 735–748. [Google Scholar] [CrossRef]
- Campiche, R.; Curpen, S.J.; Lutchmanen-Kolanthan, V.; Gougeon, S.; Cherel, M.; Laurent, G.; Gempeler, M.; Schuetz, R. Pigmentation effects of blue light irradiation on skin and how to protect against them. Int. J. Cosmet. Sci. 2020, 42, 399–406. [Google Scholar] [CrossRef]
- Watanabe, F.; Yabuta, Y.; Bito, T.; Teng, F. Vitamin B12-containing plant food sources for vegetarians. Nutrients 2014, 6, 1861–1873. [Google Scholar] [CrossRef]
- Manela-Azulay, M.; Bagatin, E. Cosmeceuticals vitamins. Clin. Dermatol. 2009, 27, 469–474. [Google Scholar] [CrossRef]
- Lorencini, M.; Brohem, C.A.; Dieamant, G.C.; Zanchin, N.I.; Maibach, H.I. Active ingredients against human epidermal aging. Ageing Res. Rev. 2014, 15, 100–115. [Google Scholar] [CrossRef] [PubMed]
- Noriega-Fernández, E.; Sone, I.; Astráin-Redín, L.; Prabhu, L.; Sivertsvik, M.; Álvarez, I.; Cebrián, G. Innovative ultrasound-assisted approaches towards reduction of heavy metals and iodine in macroalgal biomass. Foods 2021, 10, 649. [Google Scholar] [CrossRef] [PubMed]
- Cotas, J.; Leandro, A.; Monteiro, P.; Pacheco, D.; Figueirinha, A.; Gonçalves, A.M.M.; da Silva, G.J.; Pereira, L. Seaweed Phenolics: From Extraction to Applications. Mar. Drugs 2020, 18, 384. [Google Scholar] [CrossRef] [PubMed]
- Falquet, J.; Hurni, J.P. The Nutritional Aspects of Spirulina. Antenna Foundation. 1997. Available online: https://www.antenna.ch/wp-content/uploads/2017/03/AspectNut_UK (accessed on 25 July 2017).
- Kumar, C.S.; Ganesan, P.; Suresh, P.V.; Bhaskar, N. Seaweeds as a source of nutritionally beneficial compounds—A review. J. Food Sci. Technol. 2008, 45, 1. [Google Scholar]
- Ganesan, A.R.; Tiwari, U.; Rajauria, G. Seaweed nutraceuticals and their therapeutic role in disease prevention. Food Sci. Hum. Wellness 2019, 8, 252–263. [Google Scholar] [CrossRef]
- Jesumani, V.; Du, H.; Aslam, M.; Pei, P.; Huang, N. Potential Use of Seaweed Bioactive Compounds in Skincare—A Review. Mar. Drugs 2019, 17, 688. [Google Scholar] [CrossRef]
- Chambial, S.; Dwivedi, S.; Shukla, K.K.; John, P.J.; Sharma, P. Vitamin C in disease prevention and cure: An overview. Indian J. Clin. Biochem. 2013, 28, 314–328. [Google Scholar] [CrossRef]
- Mathew, S.; Ravishankar, C.N. Seaweeds as a Source of Micro and Macro Nutrients; ICAR-Central Institute of Fisheries Technology: Cochin, India, 2018. Available online: http://krishi.icar.gov.in/jspui/handle/123456789/20485 (accessed on 26 November 2018).
- Vardi, M.; Levy, N.S.; Levy, A.P. Vitamin E in the prevention of cardiovascular disease: The importance of proper patient selection. J. Lipid Res. 2013, 54, 2307–2314. [Google Scholar] [CrossRef]
- Ul-Haq, I.; Butt, M.S.; Amjad, N.; Yasmin, I.; Suleria, H.A.R. Marine-Algal Bioactive Compounds: A Comprehensive Appraisal. In Handbook of Algal Technologies and Phytochemicals; CRC Press: Boca Raton, FL, USA, 2019; pp. 71–80. [Google Scholar]
- Romeilah, R.M.; El-Beltagi, H.S.; Shalaby, E.A.; Younes, K.M.; El Moll, H.; Rajendrasozhan, S.; Mohamed, H.I. Antioxidant and cytotoxic activities of Artemisia monosperma L. and Tamarix aphylla essential oils. Not. Bot. Horti Agrobot. Cluj-Napoca 2021, 9, 12233. [Google Scholar] [CrossRef]
- Sellimi, S.; Kadri, N.; Barragan-Montero, V.; Laouer, H.; Hajji, M.; Nasri, M. Fucans from a Tunisian brown seaweed Cystoseira barbata: Structural characteristics and antioxidant activity. Int. J. Biol. Macromol. 2014, 66, 281–288. [Google Scholar] [CrossRef]
- Sellimi, S.; Younes, I.; Ayed, H.B.; Maalej, H.; Montero, V.; Rinaudo, M.; Dahia, M.; Mechichi, T.; Hajji, M.; Nasri, M. Structural, physicochemical and antioxidant properties of sodium alginate isolated from a Tunisian brown seaweed. Int. J. Biol. Macromol. 2015, 72, 1358–1367. [Google Scholar] [CrossRef] [PubMed]
- Hentati, F.; Tounsi, L.; Djomdi, D.; Pierre, G.; Delattre, C.; Ursu, A.V.; Fendri, I.; Abdelkafi, S.; Michaud, P. Bioactive polysaccharides from seaweeds. Molecules 2020, 25, 3152. [Google Scholar] [CrossRef] [PubMed]
- Sofy, A.R.; Sofy, M.R.; Hmed, A.A.; Dawoud, R.A.; Refaey, E.E.; Mohamed, H.I.; El-Dougdoug, N.K. Molecular characterization of the Alfalfa mosaic virus infecting Solanum melongena in Egypt and control of its deleterious effects with melatonin and salicylic acid. Plants 2021, 28, 459. [Google Scholar] [CrossRef] [PubMed]
- Abdel-Rahim, E.A.; El-Beltagi, H.S. Constituents of apple, parsley and lentil edible plants and their therapy treatments for blood picture as well as liver and kidney functions against lipidemic disease. Elec. J. Environ. Agricult. Food Chem. 2010, 9, 1117–1127. [Google Scholar]
- Halliwell, B. Reactive Species and Antioxidants. Redox Biology Is a Fundamental Theme of Aerobic Life. Plant Physiol. 2006, 141, 312–322. [Google Scholar] [CrossRef] [PubMed]
- Cornish, M.L.; Garbary, D.J. Antioxidants from macroalgae: Potential applications in human health and nutrition. Algae 2010, 25, 155–171. [Google Scholar] [CrossRef]
- Fischbach, M.A.; Walsh, C.T. Antibiotics for Emerging Pathogens. Science 2009, 325, 1089–1093. [Google Scholar] [CrossRef]
- Salama, H.M.H.; Marraiki, N. Antimicrobial activity and phytochemical analyses of Polygonum aviculare L. (Polygonaceae), naturally growing in Egypt. Saudi J. Biol. Sci. 2010, 17, 57–63. [Google Scholar] [CrossRef]
- Tuney, I.; Cadirci, B.H.; Unal, D.; Sukatar, A. Antimicrobial activities of the extracts of marine algae from the coast of Urla (Izmir, Turkey). Turkish J. Biol. 2006, 30, 171–175. [Google Scholar]
- Kandhasamy, M.; Arunachalam, K.D. Evaluation of in vitro antibacterial property of seaweeds of southeast coast of India. Afr. J. Biotechnol. 2008, 7, 1958–1961. [Google Scholar] [CrossRef]
- Charway, G.N.A.; Yenumula, P.; Kim, Y.-M. Marine algae and their potential application as antimicrobial agents. J. Food Hyg. Saf. 2018, 33, 151–156. [Google Scholar] [CrossRef]
- Lopez-Romero, J.C.; González-Ríos, H.; Borges, A.; Simõs, M. Antibacterial Effects and Mode of Action of Selected Essential Oils Components against Escherichia coli and Staphylococcus aureus. Evid.-Based Complementary Altern. Med. 2015, 2015, 795435. [Google Scholar] [CrossRef] [PubMed]
- Lv, F.; Liang, H.; Yuan, Q.; Li, C. In Vitro Antimicrobial Effects and Mechanism of Action of Selected Plant Essential Oil Combinations against Four Food-Related Microorganisms. Food Res. Int. 2011, 44, 3057–3064. [Google Scholar] [CrossRef]
- Sameeh, M.Y.; Mohamed, A.A.; Elazzazy, A.M. Polyphenolic contents and antimicrobial activity of different extracts of Padina boryana Thivy and Enteromorpha sp. marine algae. J. Appl. Pharm. Sci. 2016, 6, 87–92. [Google Scholar] [CrossRef]
- El-Beltagi, H.S.; Mohamed, H.I.; Abdelazeem, A.S.; Youssef, R.; Safwat, G. GC-MS analysis, antioxidant, antimicrobial and anticancer activities of extracts from Ficus sycomorus fruits and leaves. Not. Bot. Horti Agrobot. Cluj-Napoca 2019, 47, 493–505. [Google Scholar] [CrossRef]
- Hamed, M.M.; Abd El-Mobdy, M.A.; Kamel, M.T.; Mohamed, H.I.; Bayoumi, A.E. Phytochemical and biological activities of two asteraceae plants Senecio vulgaris and Pluchea dioscoridis L. Pharmacol. Online 2019, 2, 101–121. [Google Scholar]
- Hussain, E.; Wang, L.J.; Jiang, B.; Riaz, S.; Butt, G.Y.; Shi, D.-Y. A review of the components of brown seaweeds as potential candidates in cancer therapy. RSC Adv. 2016, 6, 12592. [Google Scholar] [CrossRef]
- Gutierrez-Rodriguez, A.G.; Juarez-Portilla, C.; Olivares-Banuelos, T.; Zepeda, R.C. Anticancer activity of seaweeds. Drug Discov. Today 2018, 23, 434–447. [Google Scholar] [CrossRef]
- Algotiml, R.; Gab-Alla, A.; Seoudi, R.; Abulreesh, H.H.; El-Readi, M.Z.; Elbanna, K. Anticancer and antimicrobial activity of biosynthesized Red Sea marine algal silver nanoparticles. Sci. Rep. 2022, 12, 2421. [Google Scholar] [CrossRef]
- Palanisamy, S.; Vinosha, M.; Marudhupandi, T.; Rajasekar, P.; Prabhu, N.M. Isolation of fucoidan from Sargassum polycystum brown algae: Structural characterization, in vitro antioxidant and anticancer activity. Int. J. Biol. Macromol. 2017, 102, 405–412. [Google Scholar] [CrossRef]
- Usoltseva, R.V.; Anastyuk, S.D.; Surits, V.V.; Shevchenko, N.M.; Thinh, P.D.; Zadorozhny, P.A.; Ermakova, S.P. Comparison of structure and in vitro anticancer activity of native and modified fucoidans from Sargassum feldmannii and S. duplicatum. Int. J. Biol. Macromol. 2019, 124, 220–228. [Google Scholar] [CrossRef] [PubMed]
- Narayani, S.S.; Saravanan, S.; Ravindran, J.; Ramasamy, M.S.; Chitra, J. In vitro anticancer activity of fucoidan extracted from Sargassum cinereum against Caco-2 cells. Int. J. Biol. Macromol. 2019, 138, 618–628. [Google Scholar] [CrossRef] [PubMed]
- Athukorala, Y.; Jung, W.K.; Vasanthan, T.; Jeon, Y.J. An anticoagulative polysaccharide from an enzymatic hydrolysate of Ecklonia cava. Carbohydr. Polym. 2006, 66, 184–191. [Google Scholar] [CrossRef]
- Souza, R.B.; Frota, A.F.; Silva, J.; Alves, C.; Neugebauer, A.Z.; Pinteus, S.; Rodrigues, J.A.G.; Cordeiro, E.M.S.; De Almeida, A.A.; Pedrosa, R.; et al. In vitro activities of kappa-carrageenan isolated from red marine alga Hypnea musciformis: Antimicrobial, anticancer and neuroprotective potential. Int. J. Biol. Macromol. 2018, 112, 1248–1256. [Google Scholar] [CrossRef]
- Chen, H.; Zhang, L.; Long, X.; Li, P.; Chen, S.; Kuang, W.; Guo, J. Sargassum fusiforme polysaccharides inhibit VEGF-A-related angiogenesis and proliferation of lung cancer in vitro and in vivo. Biomed. Pharmacother. 2017, 85, 22–27. [Google Scholar] [CrossRef] [PubMed]
- Ji, C.F.; Ji, Y.B. Laminarin-induced apoptosis in human colon cancer LoVo cells. Oncol. Lett. 2014, 7, 1728–1732. [Google Scholar] [CrossRef]
- Synytsya, A.; Kim, W.J.; Kim, S.M.; Pohl, R.; Synytsya, A.; Kvasnička, F.; Čopíková, J.; Park, Y.I. Structure and antitumour activity of fucoidan isolated from sporophyll of Korean brown seaweed Undaria pinnatifida. Carbohydras. Polym. 2010, 81, 41–48. [Google Scholar] [CrossRef]
- Yan, M.D.; Yao, C.J.; Chow, J.M.; Chang, C.L.; Hwang, P.A.; Chuang, S.E.; Whang-Peng, J.; Lai, G.M. Fucoidan elevates microRNA-29b to regulate DNMT3B-MTSS1 axis and inhibit EMT in human hepatocellular carcinoma cells. Mar. Drugs 2015, 13, 6099–6116. [Google Scholar] [CrossRef]
- Lee, H.E.; Choi, E.S.; Shin, J.; Lee, S.O.; Park, K.S.; Cho, N.P.; Cho, S.D. Fucoidan induces caspase-dependent apoptosis in MC3 human mucoepidermoid carcinoma cells. Exp. Ther. Med. 2014, 7, 228–232. [Google Scholar] [CrossRef]
- Elrggal, M.E.; Alamer, S.I.; Alkahtani, S.A.; Alshrahili, M.A.; Alharbi, A.; Alghamdi, B.A.; Zaitoun, M.F. Dispensing Practices for Weight Management Products in Eastern Saudi Arabia: A Survey of Community Pharmacists. Int. J. Environ. Res. Public Health 2021, 18, 13146. [Google Scholar] [CrossRef]
- Krentz, A.J.; Bailey, C.J. Oral Antidiabetic Agents-Current Role in Type 2 Diabetes Mellitus. Drugs 2005, 65, 385–411. [Google Scholar] [CrossRef] [PubMed]
- Garcimartín, A.; Benedí, J.; Bastida, S.; Sánchez-Muniz, F.J. Aqueous extracts and suspensions of restructured pork formulated with Undaria pinnatifida, Himanthaliaelongata and Porphyraumbilicalis distinctly affect the in vitro α-glucosidase activity and glucose diffusion. LWT Food Sci. Technol. 2015, 64, 720–726. [Google Scholar] [CrossRef]
- Naveen, J.; Baskaran, R.; Baskaran, V. Profiling of bioactives and in vitro evaluation of antioxidant and antidiabetic property of polyphenols of marine algae Padina tetrastromatica. Algal Res. 2021, 55, 102250. [Google Scholar] [CrossRef]
- Pacheco, L.V.; Parada, J.; Pérez-Correa, J.R.; Mariotti-Celis, M.S.; Erpel, F.; Zambrano, A.; Palacios, M. Bioactive polyphenols from southern chile seaweed as inhibitors of enzymes for starch digestion. Mar. Drugs 2020, 18, 353. [Google Scholar] [CrossRef]
- Al-Araby, S.Q.; Rahman, M.A.; Chowdhury, M.A.; Das, R.R.; Chowdhury, T.A.; Hasan, C.M.M.; Afroze, M.; Hashem, M.A.; Hajjar, D.; Alelwani, W.; et al. Padina tenuis (marine alga) attenuates oxidative stress and streptozotocin-induced type 2 diabetic indices in Wistar albino rats. S. Afr. J. Bot. 2020, 128, 87–100. [Google Scholar] [CrossRef]
- Abdel-Karim, O.H.; Abo-Shady, A.M.; Ismail, G.A.; Gheda, S.F. Potential effect of Turbinaria decurrens acetone extract on the biochemical and histological parameters of alloxan-induced diabetic rats. Int. J. Environ. Health Res. 2021, 202, 1–22. [Google Scholar] [CrossRef]
- Abu, R.; Jiang, Z.; Ueno, M.; Isaka, S.; Nakazono, S.; Okimura, T.; Cho, K.; Yamaguchi, K.; Kim, D.; Oda, T. Anti-metastatic effects of the sulfated polysaccharide ascophyllan isolated from Ascophyllum nodosum on B16 melanoma. Biochem. Biophys. Res. Commun. 2015, 458, 727–732. [Google Scholar] [CrossRef]
- Silva, J.; Alves, C.; Freitas, R.; Martins, A.; Pinteus, S.; Ribeiro, J.; Gaspar, H.; Alfonso, A.; Pedrosa, R. Antioxidant and Neuroprotective Potential of the Brown Seaweed Bifurcaria bifurcata in an in vitro Parkinson’s Disease Model. Mar. Drugs 2019, 17, 85. [Google Scholar] [CrossRef]
- Muñoz-Ochoa, M.; Murillo-Álvarez, J.I.; Zermeño-Cervantes, L.A.; Martínez-Díaz, S.; Rodríguez-Riosmena, R. Screening of extracts of algae from Baja California Sur, Mexico as reversers of the antibiotic resistance of some pathogenic bacteria. Eur. Rev. Med. Pharmacol. Sci. 2010, 14, 739–747. [Google Scholar]
- Mise, T.; Ueda, M.; Yasumoto, T. Production of fucoxanthin-rich powder from Cladosiphon okamuranus. Adv. J. Food Sci. Technol. 2011, 3, 73–76. [Google Scholar]
- Panayotova, V.; Merzdhanova, A.; Dobreva, D.A.; Zlatanov, M.; Makedonski, L. Lipids of black sea algae: Unveiling their potential for pharmaceutical and cosmetic applications. J. IMAB Ann. Proc. Sci. Pap. 2017, 23, 1747–1751. [Google Scholar] [CrossRef]
- Kosani´c, M.; Rankovi´c, B.; Stanojkovi´c, T. Brown macroalgae from the Adriatic Sea as a promising source of bioactive nutrients. J. Food Meas. Charact. 2019, 13, 330–338. [Google Scholar] [CrossRef]
- Sugiura, Y.; Takeuchi, Y.; Kakinuma, M.; Amano, H. Inhibitory effects of seaweeds on histamine release from rat basophile leukemia cells (RBL-2H3). Fish. Sci. 2006, 72, 1286–1291. [Google Scholar] [CrossRef]
- Campos, A.M.; Matos, J.; Afonso, C.; Gomes, R.; Bandarra, N.M.; Cardoso, C. Azorean macroalgae (Petalonia binghamiae, Halopteris scoparia and Osmundea pinnatifida) bioprospection: A study of fatty acid profiles and bioactivity. Int. J. Food Sci. Technol. 2018, 54, 880–890. [Google Scholar] [CrossRef]
- Shimoda, H.; Tanaka, J.; Shan, S.J.; Maoka, T. Anti-pigmentary activity of fucoxanthin and its influence on skin mRNA expression of melanogenic molecules. J. Pharm. Pharm. 2010, 62, 1137–1145. [Google Scholar] [CrossRef]
- Sappati, P.K.; Nayak, B.; VanWalsum, G.P.; Mulrey, O.T. Combined effects of seasonal variation and drying methods on the physicochemical properties and antioxidant activity of sugar kelp (Saccharina latissima). J. Appl. Phycol. 2019, 31, 1311–1332. [Google Scholar] [CrossRef]
- Rhimou, B.; Hassane, R.; José, M.; Nathalie, B. The antibacterial potential of the seaweeds (Rhodophyceae) of the Strait of Gibraltar and the Mediterranean Coast of Morocco. Afr. J. Biotechnol. 2010, 9, 6365–6372. [Google Scholar]
- SpecialChem—The Universal Selection Source: Cosmetics Ingredients. Available online: https://cosmetics.specialchem.com/ (accessed on 5 May 2020).
- Thomas, N.V.; Kim, S.K. Beneficial e_ects of marine algal compounds in cosmeceuticals. Mar. Drugs 2013, 11, 146–164. [Google Scholar] [CrossRef]
- Santos, J.P.; Torres, P.B.; dos Santos, D.Y.; Motta, L.B.; Chow, F. Seasonal effects on antioxidant and anti-HIV activities of Brazilian seaweeds. J. Appl. Phycol. 2018, 31, 1333–1341. [Google Scholar] [CrossRef]
- De Jesus Raposo, M.; de Morais, A.; de Morais, R. Marine polysaccharides from algae with potential biomedical applications. Mar. Drugs 2015, 13, 2967–3028. [Google Scholar] [CrossRef]
- Azam, M.S.; Choi, J.; Lee, M.S.; Kim, H.R. Hypopigmenting effects of brown algae-derived phytochemicals: A review on molecular mechanisms. Mar. Drugs 2017, 15, 297. [Google Scholar] [CrossRef] [PubMed]
- Pezeshk, F.; Babaei, S.; Abedian Kenari, A.; Hedayati, M.; Naseri, M. The effect of supplementing diets with extracts derived from three different species of macroalgae on growth, thermal stress resistance, antioxidant enzyme activities and skin colour of electric yellow cichlid (Labidochromis caeruleus). Aquac. Nutr. 2019, 25, 436–443. [Google Scholar] [CrossRef]
- Kelman, D.; Posner, E.K.; McDermid, K.J.; Tabandera, N.K.; Wright, P.R.; Wright, A.D. Antioxidant activity of Hawaiian marine algae. Mar. Drugs 2012, 10, 403–416. [Google Scholar] [CrossRef] [PubMed]
- Premalatha, M.; Dhasarathan, P.; Theriappan, P. Phytochemical characterization and antimicrobial effciency of seaweed samples, Ulva fasciata and Chaetomorpha antennina. Int. J. Pharm. Biol. Sci. 2011, 2, 288–293. [Google Scholar]
- Mourelle, M.L.; Gómez, C.P.; Legido, J.L. The potential use of marine microalgae and cyanobacteria in cosmetics and thalassotherapy. Cosmetics 2017, 4, 46. [Google Scholar] [CrossRef]
- José de Andrade, C.; Maria de Andrade, L. An overview on the application of genus Chlorella in biotechnological processes. J. Adv. Res. Biotechnol. 2017, 2, 1–9. [Google Scholar] [CrossRef]
- Berthon, J.Y.; Nachat-Kappes, R.; Bey, M.; Cadoret, J.P.; Renimel, I.; Filaire, E. Marine algae as attractive source to skin care. Free Radic. Res. 2017, 51, 555–567. [Google Scholar] [CrossRef]
- Makpol, S.; Yeoh, T.W.; Ruslam, F.A.C.; Arifin, K.T.; Yusof, Y.A.M. Comparative effect of Piper betle, Chlorella vulgaris and tocotrienol-rich fraction on antioxidant enzymes activity in cellular ageing of human diploid fibroblasts. BMC Complement. Altern. Med. 2013, 13, 210. [Google Scholar] [CrossRef]
- Kang, H.; Lee, C.H.; Kim, J.R.; Kwon, J.Y.; Seo, S.G.; Han, J.G.; Kim, B.; Kim, J.; Lee, K.W. Chlorella vulgaris attenuates dermatophagoides farinae-induced atopic dermatitis-like symptoms in NC/Nga mice. Int. J. Mol. Sci. 2015, 16, 21021–21034. [Google Scholar] [CrossRef]
- Murthy, K.; Vanitha, A.; Rajesha, J.; Swamy, M.; Sowmya, P.; Ravishankar, G. In vivo antioxidant activity of carotenoids from Dunaliella salina—A green microalga. Life Sci. 2005, 76, 1381–1390. [Google Scholar] [CrossRef]
- Yang, D.J.; Lin, J.T.; Chen, Y.C.; Liu, S.C.; Lu, F.J.; Chang, T.J.; Wang, M.; Lin, H.W.; Chang, Y.Y. Suppressive effect of carotenoid extract of Dunaliella salina alga on production of LPS-stimulated pro-inflammatory mediators in RAW264. 7 cells via NF-B and JNK inactivation. J. Funct. Foods 2013, 5, 607–615. [Google Scholar] [CrossRef]
- Shin, J.; Kim, J.E.; Pak, K.J.; Kang, J.I.; Kim, T.S.; Lee, S.Y.; Yeo, I.H.; Park, J.H.Y.; Kim, J.H.; Kang, N.J.; et al. A Combination of soybean and Haematococcus extract alleviates ultraviolet B-induced photoaging. Int. J. Mol. Sci. 2017, 18, 682. [Google Scholar] [CrossRef] [PubMed]
- Rao, A.R.; Sindhuja, H.N.; Dharmesh, S.M.; Sankar, K.U.; Sarada, R.; Ravishankar, G.A. Effective inhibition of skin cancer, tyrosinase, and antioxidative properties by astaxanthin and astaxanthin esters from the green alga Haematococcus pluvialis. J. Agric. Food Chem. 2013, 61, 3842–3851. [Google Scholar] [CrossRef]
- Banskota, A.H.; Sperker, S.; Stefanova, R.; McGinn, P.J.; O’Leary, S.J. Antioxidant properties and lipid composition of selected microalgae. J. Appl. Phycol. 2019, 31, 309–318. [Google Scholar] [CrossRef]
- Shen, C.T.; Chen, P.Y.; Wu, J.J.; Lee, T.M.; Hsu, S.L.; Chang, C.M.J.; Young, C.C.; Shieh, C.J. Purification of algal anti-tyrosinase zeaxanthin from Nannochloropsis oculate using supercritical anti-solvent precipitation. J. Supercrit. Fluids 2011, 55, 955–962. [Google Scholar] [CrossRef]
- Wu, H.L.; Fu, X.Y.; Cao, W.Q.; Xiang, W.Z.; Hou, Y.J.; Ma, J.K.; Wang, Y.; Fan, C.D. Induction of apoptosis in human glioma cells by fucoxanthin via triggering of ROS-mediated oxidative damage and regulation of MAPKs and PI3K-AKT pathways. J. Agric. Food Chem. 2019, 67, 2212. [Google Scholar] [CrossRef] [PubMed]
- Rastogi, R.P.; Sonani, R.R.; Madamwar, D.; Incharoensakdi, A. Characterization and antioxidant functions of mycosporine-like amino acids in the cyanobacterium Nostoc sp. R76DM. Algal Res. 2016, 16, 110–118. [Google Scholar] [CrossRef]
- Haimeur, A.; Ulmann, L.; Mimouni, V.; Guéno, F.; Pineau-Vincent, F.; Meskini, N.; Tremblin, G. The role of Odontella aurita, a marine diatom rich in EPA, as a dietary supplement in dyslipidemia, platelet function and oxidative stress in high-fat fed rats. Lipids Health Dis. 2012, 11, 147. [Google Scholar] [CrossRef]
- Shannon, E.; Abu-Ghannam, N. Antibacterial derivatives of marine algae: An overview of pharmacological mechanisms and applications. Mar. Drugs 2016, 14, 81. [Google Scholar] [CrossRef]
- Lauritano, C.; Andersen, J.H.; Hansen, E.; Albrigtsen, M.; Escalera, L.; Esposito, F.; Helland, K.; Hanssen, K.Ø.; Romano, G.; Ianora, A. Bioactivity screening of microalgae for antioxidant, anti-inflammatory, anticancer, anti-diabetes, and antibacterial activities. Front. Mar. Sci. 2016, 3, 68. [Google Scholar] [CrossRef]
- Wu, Q.; Liu, L.; Miron, A.; Klímová, B.; Wan, D.; Kuča, K. The antioxidant, immunomodulatory, and anti-inflammatory activities of Spirulina: An overview. Arch. Toxicol. 2016, 90, 1817–1840. [Google Scholar] [CrossRef]
- El-Sheekh, M.M.; Daboor, S.M.; Swelim, M.A.; Mohamed, S. Production and characterization of antimicrobial active substance from Spirulina platensis. Iran. J. Microbiol. 2014, 6, 112–119. [Google Scholar]
- Plaza, M.; Santoyo, S.; Jaime, L.; Reina, G.G.B.; Herrero, M.; Señoráns, F.J.; Ibáñez, E. Screening for bioactive compounds from algae. J. Pharm. Biomed. Anal. 2010, 51, 450–455. [Google Scholar] [CrossRef]
- Jae-Llane, D.; Carlos Braisv, C. Versatility of the Humble Seaweed in Biomanufacturing. Procedia Manuf. 2019, 32, 87–94. [Google Scholar] [CrossRef]
- Abu-Shahba, M.S.; Mansour, M.M.; Mohamed, H.I.; Sofy, M.R. Comparative cultivation and biochemical analysis of iceberg lettuce grown in sand soil and hydroponics with or without microbubble and microbubble. J. Soil Sci. Plant Nutr. 2021, 21, 389–403. [Google Scholar] [CrossRef]
- Eissa, M.A.; Nasralla, N.N.; Gomah, N.H.; Osman, D.M.; El-Derwy, Y.M. Evaluation of natural fertilizer extracted from expired dairy products as a soil amendment. J. Soil Sci. Plant Nutr. 2018, 18, 694–704. [Google Scholar] [CrossRef][Green Version]
- Bixler, H.J.; Porse, H. A decade of change in the seaweed hydrocolloids industry. J. Appl. Phycol. 2011, 23, 321–335. [Google Scholar] [CrossRef]
- Nkemka, V.N.; Murto, M. Exploring strategies for seaweed hydrolysis: Effect on methane potential and heavy metal mobilisation. Process Biochem. 2012, 47, 2523–2526. [Google Scholar] [CrossRef]
- Garcia-Vaquero, M.; Hayes, M. Red and green macroalgae for fish and animal feed and human functional food development. Food Rev. Int. 2016, 32, 15–45. [Google Scholar] [CrossRef]
- Abdel Khalik, K.; Osman, G. Genetic analysis of Plectranthus L. (Lamiaceae) in Saudi Arabia based on RAPD and ISSR markers. Pak. J. Bot. 2017, 49, 1073–1084. [Google Scholar]
- Anisimov, M.; Chaikina, E.; Klykov, A.; Rasskazov, V. Effect of seaweeds extracts on the growth of seedling roots of buckwheat (Fagopyrum esculentum Moench) is depended on the season of algae collection. Agric. Sci. Dev. 2013, 2, 67–75. [Google Scholar]
- Mukherjee, A.; Patel, J.S. Seaweed extract: Biostimulator of plant defense and plant productivity. Int. J. Environ. Sci. Technol. 2020, 17, 553–558. [Google Scholar] [CrossRef]
- EL Boukhari, M.E.; Barakate, M.; Bouhia, Y.; Lyamlouli, K. Trends in seaweed extract based biostimulants: Manufacturing process and beneficial effect on soil-plant systems. Plants 2020, 9, 359. [Google Scholar] [CrossRef]
- Lomartire, S.; Marques, J.C.; Gonçalves, A.M.M. An Overview to the Health Benefits of Seaweeds Consumption. Mar. Drugs 2021, 19, 341. [Google Scholar] [CrossRef]
- Myers, S.P.; O’Connor, J.; Fitton, J.H.; Brooks, L.; Rolfe, M.; Connellan, P.; Wohlmuth, H.; Cheras, P.A.; Morris, C. A combined Phase I and II open-label study on the Immunomodulatory effects of seaweed extract nutrient complex. Biol. Targets Ther. 2011, 5, 45–60. [Google Scholar] [CrossRef]
- Houghton, P.J.; Hylands, P.J.; Mensah, A.Y.; Hensel, A.; Deters, A.M. In vitro tests and ethnopharmacological investigations: Wound healing as an example. J. Ethnopharmacol. 2005, 100, 100–107. [Google Scholar] [CrossRef]
- EMA. Community Herbal Monograph on Fucus vesiculosus L., Thallus; EMA: Amsterdam, The Netherlands, 2012. [Google Scholar]
- Yoon, S.J.; Pyun, Y.R.; Hwang, J.K.; Mourão, P.A.S. A sulfated fucan from the brown alga Laminaria cichorioides has mainly heparin cofactor II-dependent anticoagulant activity. Carbohydr. Res. 2007, 342, 2326–2330. [Google Scholar] [CrossRef]
- Drozd, N.N.; Tolstenkov, A.S.; Makarov, V.A.; Kuznetsova, T.A.; Besednova, N.N.; Shevchenko, N.M.; Zvyagintseva, T.N. Pharmacodynamic parameters of anticoagulants based on sulfated polysaccharides from marine algae. Bull. Exp. Biol. Med. 2006, 142, 591–593. [Google Scholar] [CrossRef]
- Mansour, A.T.; Alsaqufi, A.S.; Omar, E.A.; El-Beltagi, H.S.; Srour, T.M.; Yousef, M.I. Ginseng, Tribulus extracts and pollen grains supplementation improves sexual state, testes redox status, and testicular histology in Nile Tilapia Males. Antioxidants 2022, 11, 875. [Google Scholar] [CrossRef]
- Millet, J.K.; Séron, K.; Labitt, R.N.; Danneels, A.; Palmer, K.E.; Whittaker, G.R.; Dubuisson, J.; Belouzard, S. Middle East respiratory syndrome coronavirus infection is inhibited by griffithsin. Antivir. Res. 2016, 133, 1–8. [Google Scholar] [CrossRef]
- Celikler, S.; Tas, S.; Vatan, O.; Ziyanok-Ayvalik, S.; Yildiz, G.; Bilaloglu, R. Anti-hyperglycemic and antigenotoxic potential of Ulva rigida ethanolic extract in the experimental diabetes mellitus. Food Chem. Toxicol. 2009, 47, 1837–1840. [Google Scholar] [CrossRef]
- Kang, J.Y.; Khan, M.N.A.; Park, N.H.; Cho, J.Y.; Lee, M.C.; Fujii, H.; Hong, Y.K. Antipyretic, analgesic, and anti-inflammatory activities of the seaweed Sargassum fulvellum and Sargassum thunbergii in mice. J. Ethnopharmacol. 2008, 116, 187–190. [Google Scholar] [CrossRef]
- Mukherjee, P.K.; Maity, N.; Nema, N.K.; Sarkar, B.K. Bioactive compounds from natural resources against skin aging. Phytomedicine 2011, 19, 64–73. [Google Scholar] [CrossRef]
- Hong, D.D.; Hien, H.M.; Son, P.N. Seaweeds from Vietnam used for functional food, medicine and biofertilizer. J. Appl. Phycol. 2007, 19, 817–826. [Google Scholar] [CrossRef]
- Khotimchenko, M.; Tiasto, V.; Kalitnik, A.; Begun, M.; Khotimchenko, R.; Leonteva, E.; Bryukhovetskiy, I.; Khotimchenko, Y. Antitumor potential of carrageenans from marine red algae. Carbohydr. Polym. 2020, 246, 116568. [Google Scholar] [CrossRef]
- Yuan, H.; Song, J. Preparation, structural characterization and in vitro antitumor activity of kappa-carrageenan oligosaccharide fraction from Kappaphycus striatum. J. Appl. Phycol. 2005, 17, 7–13. [Google Scholar] [CrossRef]
- Tannoury, M.Y.; Saab, A.M.; Elia, J.M.; Harb, N.N.; Makhlouf, H.Y.; Diab-Assaf, M. In vitro cytotoxic activity of Laurencia papillosa, marine red algae from the Lebanese coast. J. Appl. Pharm. Sci. 2017, 7, 175–179. [Google Scholar] [CrossRef][Green Version]
- Patra, S.; Muthuraman, M.S. Gracilaria edulis extract induces apoptosis and inhibits tumor in Ehrlich Ascites tumor cells in vivo. BMC Complement. Altern. Med. 2013, 13, 331. [Google Scholar] [CrossRef]
- Alarif, W.M.; Al-Lihaibi, S.S.; Ayyad, S.E.N.; Abdel-Rhman, M.H.; Badria, F.A. Laurene-type sesquiterpenes from the Red Sea red alga Laurencia obtusa as potential antitumor-antimicrobial agents. Eur. J. Med. Chem. 2012, 55, 462–466. [Google Scholar] [CrossRef]
- Celikler, S.; Yildiz, G.; Vatan, O.; Bilaloglu, R. In vitro antigenotoxicity of Ulva rigida C. Agardh (Chlorophyceae) extract against induction of chromosome aberration, sister chromatid exchange and micronuclei by mutagenic agent MMC. Biomed. Environ. Sci. 2008, 21, 492–498. [Google Scholar] [CrossRef]
- Cho, K.S.; Shin, M.; Kim, S.; Lee, S.B. Recent advances in studies on the therapeutic potential of dietary carotenoids in neurodegenerative diseases. Oxid. Med. Cell. Longev. 2018, 2018, 4120458. [Google Scholar] [CrossRef]
- Bauer, S.; Jin, W.; Zhang, F.; Linhardt, R.J. The application of seaweed polysaccharides and their derived products with potential for the treatment of Alzheimer’s disease. Mar. Drugs 2021, 19, 89. [Google Scholar] [CrossRef]
- Park, S.K.; Kang, J.Y.; Kim, J.M.; Yoo, S.K.; Han, H.J.; Chung, D.H.; Kim, D.O.; Kim, G.H.; Heo, H.J. Fucoidan-rich substances from Ecklonia cava improve trimethyltin-induced cognitive dysfunction via down-regulation of amyloid_production/Tau Hyperphosphorylation. Mar. Drugs 2019, 17, 591. [Google Scholar] [CrossRef]
- Bogie, J.; Hoeks, C.; Schepers, M.; Tiane, A.; Cuypers, A.; Leijten, F.; Chintapakorn, Y.; Suttiyut, T.; Pornpakakul, S.; Struik, D.; et al. Dietary Sargassum fusiforme improves memory and reduces amyloid plaque load in an Alzheimer’s disease mouse model. Sci. Rep. 2019, 9, 4908. [Google Scholar] [CrossRef]
- Myung, C.S.; Shin, H.C.; Hai, Y.B.; Soo, J.Y.; Bong, H.L.; Jong, S.K. Improvement of memory by dieckol and phlorofucofuroeckol in ethanol-treated mice: Possible involvement of the inhibition of acetylcholinesterase. Arch. Pharm. Res. 2005, 28, 691–698. [Google Scholar] [CrossRef]
- Ahn, B.R.; Moon, H.E.; Kim, H.R.; Jung, H.A.; Choi, J.S. Neuroprotective effect of edible brown alga Eisenia bicyclis on amyloid beta peptide-induced toxicity in PC12 cells. Arch. Pharm. Res. 2012, 35, 1989–1998. [Google Scholar] [CrossRef]
- Cumashi, A.; Ushakova, N.A.; Preobrazhenskaya, M.E.; D’Incecco, A.; Piccoli, A.; Totani, L.; Tinari, N.; Morozevich, G.E.; Berman, A.E.; Bilan, M.I.; et al. A comparative study of the anti-inflammatory, anticoagulant, antiangiogenic, and antiadhesive activities of nine different fucoidans from brown seaweeds. Glycobiology 2007, 17, 541–552. [Google Scholar] [CrossRef]
- Mei, C.H.; Zhou, S.C.; Zhu, L.; Ming, J.X.; Zeng, F.D.; Xu, R. Antitumor effects of laminaria extract fucoxanthin on lung cancer. Mar. Drugs 2017, 15, 39. [Google Scholar] [CrossRef]
- Atya, M.E.; El-Hawiet, A.; Alyeldeen, M.A.; Ghareeb, D.A.; Abdel-Daim, M.M.; El-Sadek, M.M. In vitro biological activities and in vivo hepatoprotective role of brown algae-isolated fucoidans. Environ. Sci. Pollut. Res. 2021, 28, 19664–19676. [Google Scholar] [CrossRef]
- Wang, S.; Li, Y.; White, W.; Lu, J. Extracts from New Zealand Undaria pinnatifida containing fucoxanthin as potential functional biomaterials against cancer in vitro. J. Funct. Biomater. 2014, 5, 29–42. [Google Scholar] [CrossRef]
- Shibata, H.; Iimuro, M.; Uchiya, N.; Kawamori, T.; Nagaoka, M.; Ueyama, S.; Hashimoto, S.; Yokokura, T.; Sugimura, T.; Wakabayashi, K. Preventive effects of Cladosiphon fucoidan against Helicobacter pylori infection in Mongolian gerbils. Helicobacter 2003, 8, 59–65. [Google Scholar] [CrossRef] [PubMed]
- Liu, M.; Liu, Y.; Cao, M.J.; Liu, G.M.; Chen, Q.; Sun, L.; Chen, H. Antibacterial activity and mechanisms of depolymerized fucoidans isolated from Laminaria japonica. Carbohydr. Polym. 2017, 172, 294–305. [Google Scholar] [CrossRef] [PubMed]
- Ayrapetyan, O.N.; Obluchinskaya, E.D.; Zhurishkina, E.V.; Skorik, Y.A.; Lebedev, D.V.; Kulminskaya, A.A.; Lapina, I.M. Antibacterial properties of fucoidans from the brown algae Fucus vesiculosus L. of the barents sea. Biology 2021, 10, 67. [Google Scholar] [CrossRef] [PubMed]
- Krylova, N.V.; Ermakova, S.P.; Lavrov, V.F.; Leneva, I.A.; Kompanets, G.G.; Iunikhina, O.V.; Nosik, M.N.; Ebralidze, L.K.; Falynskova, I.N.; Silchenko, A.S.; et al. The comparative analysis of antiviral activity of native and modified fucoidans from brown algae Fucus evanescens In Vitro and In Vivo. Mar. Drugs 2020, 18, 224. [Google Scholar] [CrossRef]
- Zhu, W.; Chiu, L.C.M.; Ooi, V.E.C.; Chan, P.K.S.; Ang, P.O. Antiviral property and mode of action of a sulphated polysaccharide from Sargassum patens against Herpes simplex virus type 2. Int. J. Antimicrob. Agents 2004, 24, 279–283. [Google Scholar] [CrossRef]
- Chan, P.T.; Matanjun, P.; Yasir, S.M.; Tan, T.S. Histopathological studies on liver, kidney and heart of normal and dietary induced hyperlipidaemic rats fed with tropical red seaweed Gracilaria changii. J. Funct. Foods 2015, 17, 202–213. [Google Scholar] [CrossRef]
- Kim, M.M.; Kim, S.K. Effect of phloroglucinol on oxidative stress and inflammation. Food Chem. Toxicol. 2010, 48, 2925–2933. [Google Scholar] [CrossRef]
- Liu, X.; Wang, S.; Cao, S.; He, X.; Qin, L.; He, M.; Yang, Y.; Hao, J.; Mao, W. Structural characteristics and anticoagulant property in vitro and in vivo of a seaweed sulfated Rhamnan. Mar. Drugs 2018, 16, 243. [Google Scholar] [CrossRef]
- Adrien, A.; Bonnet, A.; Dufour, D.; Baudouin, S.; Maugard, T.; Bridiau, N. Anticoagulant Activity of Sulfated Ulvan Isolated from the Green Macroalga Ulva rigida. Mar. Drugs 2019, 17, 291. [Google Scholar] [CrossRef]
- Pozharitskaya, O.N.; Obluchinskaya, E.D.; Shikov, A.N. Mechanisms of Bioactivities of Fucoidan from the Brown Seaweed Fucus vesiculosus L. of the Barents Sea. Mar. Drugs 2020, 18, 275. [Google Scholar] [CrossRef]
- De Zoysa, M.; Nikapitiya, C.; Jeon, Y.J.; Jee, Y.; Lee, J. Anticoagulant activity of sulfated polysaccharide isolated from fermented brown seaweed Sargassum fulvellum. J. Appl. Phycol. 2008, 20, 67–74. [Google Scholar] [CrossRef]
- Gwon, W.G.; Lee, M.S.; Kim, J.S.; Kim, J.I.; Lim, C.W.; Kim, N.G.; Kim, H.R. Hexane fraction from Sargassum fulvellum inhibits lipopolysaccharide- induced inducible nitric oxide synthase expression in RAW 264.7 cells via NF-_B pathways. Am. J. Chin. Med. 2013, 41, 565–584. [Google Scholar] [CrossRef] [PubMed]
- Pal, A.; Kamthania, M.C.; Kumar, A. Bioactive Compounds and Properties of Seaweeds—A Review. Open Access Libr. J. 2014, 1, 1–17. [Google Scholar] [CrossRef]
- de Almeida, C.L.F.; Falcão, D.S.H.; Lima, D.M.G.R.; Montenegro, D.A.C.; Lira, N.S.; de Athayde-Filho, P.F.; Rodrigues, L.C.; de Souza, M.F.V.; Barbosa-Filho, J.M.; Batista, L.M. Bioactivities from marine algae of the genus Gracilaria. Int. J. Mol. Sci. 2011, 12, 4550–4573. [Google Scholar] [CrossRef] [PubMed]
- Gunathilaka, T.L.; Samarakoon, K.W.; Ranasinghe, P.; Peiris, L.C.D. In-Vitro Antioxidant, Hypoglycemic Activity, and Identification of Bioactive Compounds in Phenol-Rich Extract from the Marine Red Algae Gracilaria edulis (Gmelin) Silva. Molecules 2019, 24, 3708. [Google Scholar] [CrossRef] [PubMed]
- El-Beltagi, H.S.; El-Mogy, M.M.; Parmar, A.; Mansour, A.T.; Shalaby, T.A.; Ali, M.R. Phytochemical characterization and utilization of dried red beetroot (Beta vulgaris) peel extract in maintaining the quality of Nile Tilapia fish fillet. Antioxidants 2022, 11, 906. [Google Scholar] [CrossRef]
- Shi, Q.; Wang, A.; Lu, Z.; Qin, C.; Hu, J.; Yin, J. Overview on the antiviral activities and mechanisms of marine polysaccharides from seaweeds. Carbohydr. Res. 2017, 453–454, 1–9. [Google Scholar] [CrossRef]
- Panzella, L.; Napolitano, A. Natural phenol polymers: Recent advances in food and health applications. Antioxidants 2017, 6, 30. [Google Scholar] [CrossRef]
- Gheda, S.F.; El-Adawi, H.I.; El-Deeb, N.M. Antiviral Profile of Brown and Red Seaweed Polysaccharides against Hepatitis C Virus. Iran. J. Pharm. Res. IJPR 2016, 15, 483–491. [Google Scholar]
- Soares, A.R.; Robaina, M.C.S.; Mendes, G.S.; Silva, T.S.L.; Gestinari, L.M.S.; Pamplona, O.S.; Yoneshigue-Valentin, Y.; Kaiser, C.R.; Romanos, M.T.V. Antiviral activity of extracts from Brazilian seaweeds against herpes simplex virus. Braz. J. Pharmacogn. 2012, 22, 714–723. [Google Scholar] [CrossRef]
- Lakshmi, V.; Goel, A.K.; Srivastava, M.N.; Raghubir, R. Bioactivity of marine organisms: Part X-Screening of some marine fauna from the Indian coasts. Indian J. Exp. Biol. 2006, 44, 754–756. [Google Scholar] [CrossRef] [PubMed]
- Mendes, G.D.S.; Soares, A.R.; Martins, F.O.; De Albuquerque, M.C.M.; Costa, S.S.; Yoneshigue-Valentin, Y.; Gestinari, L.M.D.S.; Santos, N.; Romanos, M.T.V. Antiviral activity of the green marine alga Ulva fasciata on the replication of human metapneumovirus. Rev. Inst. Med. Trop. Sao Paulo 2010, 52, 3–10. [Google Scholar] [CrossRef] [PubMed]
- Mohamed, M.E.; Kandeel, M.; Abd El-Lateef, H.M.; El-Beltagi, H.S.; Younis, N.S. The Protective effect of Anethole against Renal Ischemia/Reperfusion: The role of the TLR2,4/MYD88/NF_B pathway. Antioxidants 2022, 11, 535. [Google Scholar] [CrossRef] [PubMed]
- Aslam, A.; Bahadar, A.; Liaquat, R.; Saleem, M.; Waqas, A.; Zwawi, M. Algae as an attractive source for cosmetics to counter environmental stress. Sci. Total Environ. 2021, 772, 144905. [Google Scholar] [CrossRef]
- Gellenbeck, K.W. Utilization of algal materials for nutraceutical and cosmeceutical applications—What do manufacturers need to know? J. Appl. Phycol. 2012, 24, 309–313. [Google Scholar] [CrossRef]
- Mansour, A.T.; Hamed, H.S.; El-Beltagi, H.S.; Mohamed, W.F. Modulatory effect of papaya extract against chlorpyrifos-induced oxidative stress, immune suppression, endocrine disruption, and dna damage in female Clarias gariepinus. Int. J. Environ. Res. Public Health 2022, 19, 4640. [Google Scholar] [CrossRef]
- Mansour, A.T.; Alprol, A.E.; Abualnaja, K.M.; El-Beltagi, H.S.; Ramadan, K.M.A.; Ashour, M. Dried brown seaweed’s phytoremediation potential for methylene blue dye removal from aquatic environments. Polymers 2022, 14, 1375. [Google Scholar] [CrossRef]
- El-Beltagi, H.S.; Mohamed, H.I.; Abou El-Enain, M.M. Role of secondary metabolites from seaweeds in the context of plant development and crop production. In Seaweeds as Plant Fertilizer, Agricultural Biostimulants and Animal Fodder; Pereira, L., Bahcevandziev, K., Joshi, N.H., Eds.; CRC Press: Boca Raton, FL, USA, 2019; pp. 64–79. [Google Scholar]
- Afify, A.E.M.M.; El-Beltagi, H.S. Effect of insecticide cyanophos on liver function in adult male rats. Fresen. Environ. Bull. 2011, 20, 1084–1088. [Google Scholar]
- El-desoky, A.H.; Abdel-Rahman, A.H.; Rehab, F.; Ahmed, O.K.; El-Beltagi, H.S.; Hattori, M. Anti-inflammatory and antioxidant activities of naringin isolated from Carissa carandas L.: In vitro and in vivo evidence. Phytomedicine 2018, 42, 126–134. [Google Scholar] [CrossRef]
- Riani Mansauda, K.L.; Anwar, E.; Nurhayati, T. Antioxidant and anti-collagenase activity of Sargassum plagyophyllum extract as an anti-wrinkle cosmetic ingredient. Pharmacogn. Mag. 2018, 10, 932–936. [Google Scholar] [CrossRef]
- Mohamed, A.A.; El-Beltagi, H.S.; Rashed, M.M. Cadmium stress induced change in some hydrolytic enzymes, free radical formation and ultrastructural disorders in radish plant. Electron. J. Environ. Agric. Food Chem. 2009, 8, 969–983. [Google Scholar]
- Unnikrishnan, P.S.; Jayasri, M.A. Marine algae as a prospective source for antidiabetic compounds—A Brief Review. Curr. Diabetes Rev. 2018, 14, 237–245. [Google Scholar] [CrossRef] [PubMed]
- El-Beltagi, H.S.; Mohamed, H.I.; Aldaej, M.I.; Al-Khayri, J.M.; Rezk, A.A.; Al-Mssallem, M.Q.; Sattar, M.N.; Ramadan, K.M.A. Production and antioxidant activity of secondary metabolites in Hassawi rice (Oryza sativa L.) cell suspension under salicylic acid, yeast extract, and pectin elicitation. In Vitro Cell. Dev. Biol. Plant. 2022. [Google Scholar] [CrossRef]
- Wang, L.; Je, J.-G.; Yang, H.-W.; Jeon, Y.-J.; Lee, S. Dieckol, an algae-derived phenolic compound, suppresses UVB-induced skin damage in human dermal fibroblasts and its underlying mechanisms. Antioxidants 2021, 10, 352. [Google Scholar] [CrossRef]
- Li, Y.; Fu, X.; Duan, D.; Liu, X.; Xu, J.; Gao, X. Extraction and identification of phlorotannins from the brown alga, Sargassum fusiforme (Harvey) Setchell. Mar. Drugs 2017, 15, 49. [Google Scholar] [CrossRef] [PubMed]
- Le Lann, K.; Surget, G.; Couteau, C.; Coiffard, L.; Cérantola, S.; Gaillard, F.; Larnicol, M.; Zubia, M.; Guérard, F.; Poupart, N.; et al. Sunscreen, antioxidant, and bactericide capacities of phlorotannins from the brown macroalga Halidrys siliquosa. J. Appl. Phycol. 2016, 28, 3547–3559. [Google Scholar] [CrossRef]
- Thiyagarasaiyar, K.; Mahendra, C.K.; Goh, B.-H.; Gew, L.T.; Yow, Y.-Y. UVB radiation protective effect of brown Alga Padina australis: A potential cosmeceutical application of Malaysian Seaweed. Cosmetics 2021, 8, 58. [Google Scholar] [CrossRef]
- Fernando, I.P.S.; Dias, M.K.H.M.; Madusanka, D.M.D.; Han, E.J.; Kim, M.J.; Jeon, Y.-J.; Ahn, G. Fucoidan refined by Sargassum confusum indicate protective effects suppressing photo-oxidative stress and skin barrier perturbation in UVB-induced human keratinocytes. Int. J. Biol. Macromol. 2020, 164, 149–161. [Google Scholar] [CrossRef]
- Soleimani, S.; Yousefzadi, M.; Nezhad, S.B.M.; Pozharitskaya, O.N.; Shikov, A.N. Evaluation of fractions extracted from Polycladia myrica: Biological activities, UVR protective effect, and stability of cream formulation based on it. J. Appl. Phycol. 2022. [Google Scholar] [CrossRef]
- Echave, J.; Otero, P.; Garcia-Oliveira, P.; Munekata, P.E.S.; Pateiro, M.; Lorenzo, J.M.; Simal-Gandara, J.; Prieto, M.A. Seaweed-Derived Proteins and Peptides: Promising Marine Bioactives. Antioxidants 2022, 11, 176. [Google Scholar] [CrossRef]
Publisher’s Note: MDPI stays neutral with regard to jurisdictional claims in published maps and institutional affiliations. |
© 2022 by the authors. Licensee MDPI, Basel, Switzerland. This article is an open access article distributed under the terms and conditions of the Creative Commons Attribution (CC BY) license (https://creativecommons.org/licenses/by/4.0/).