Effect of Dehydration on Light-Adapted States of Bacterial Reaction Centers Studied by Time-Resolved Rapid-Scan FTIR Difference Spectroscopy
Abstract
1. Introduction
2. Materials and Methods
2.1. Purification of RCs
2.2. Preparation of RC Films in Dehydrated Conditions
2.3. Static and Time-Resolved FTIR Spectroscopy
3. Results
4. Discussion
- (1)
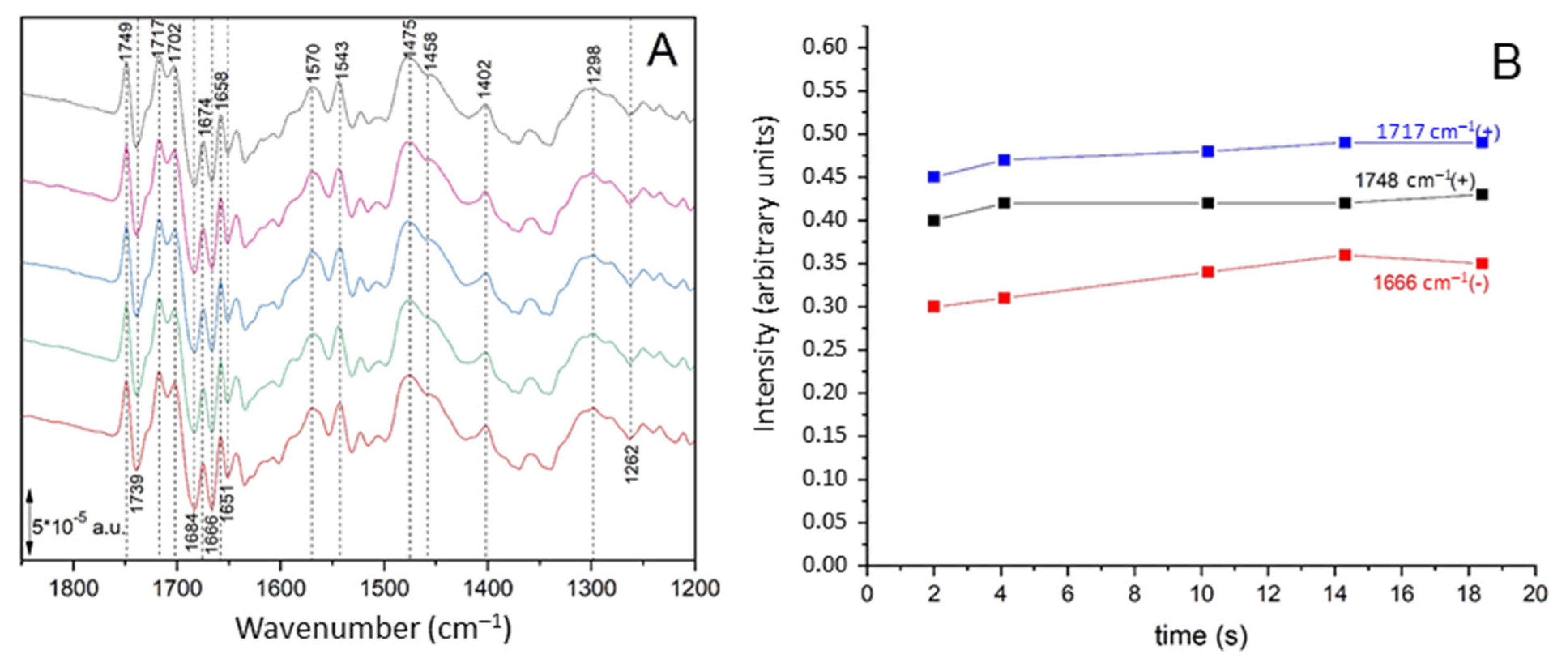
- After a flash, the 1666 cm−1 negative band (equivalent to the 1668 cm−1 band at RH = 76%) decays with roughly the same kinetics of the 1748 cm−1 characteristic of P+ (in other terms, the 1666 cm−1 conformational change relaxes almost synchronously with the back electron transfer reaction).
- (2)
- After 20.5 s, the 1666 cm−1 negative band seems to decay significantly faster than the band at 1748 cm−1 characteristic of P+ (this not only suggests that the 1666 cm−1 conformational change relaxes faster than the back electron transfer reaction, but also that this conformational change does not seem to be related to the formation of the light-adapted state). Interestingly, this band seems to decay faster than after a single saturating flash.
- (3)
- According to the kinetic fitting of all the time-resolved FTIR difference spectra, the lifetime of the P+QA− state is just slightly prolonged after 20.5 s of continuous illumination as compared to the lifetime after a laser flash. This result is at variance with the results obtained by time-resolved Vis spectroscopy by our group (where a strong stabilizing effect was observed [8]), and is likely to be related to the difference in temperature at which the experiments were carried out (281 K for time-resolved FTIR spectroscopy reported in the present manuscript, 297 K for time-resolved Vis spectroscopy).
- (4)
- Compared to the results obtained at RH = 76%, other mechanisms seem to be responsible for the (relative, if any) stabilization of the P+QA− state under continuous illumination at RH = 11%. The double-difference spectrum in Figure 7 suggests that proton movement involving protonation/deprotonation events involving side chains of Glu and Asp amino acids in the 1775–1690 cm−1 region might be involved. It is interesting to note that in this region, the double-difference spectra “light-adapted minus non-light adapted” obtained at RH = 76% and at RH = 11% differ most. At RH = 76%, positive peaks are observed at 1752, 1733, and 1721 cm−1 and negative peaks are observed at 1744 and 1694 cm−1 [20]; at RH = 11%, positive peaks are observed at 1772, 1746, 1728, and 1720 cm−1 and negative peaks are observed at 1754 and 1699 cm−1. Conversely, at lower wavenumbers (in the amide I region), the pattern in the two double-difference spectra is strikingly similar, the double difference spectrum obtained at 76% showing positive peaks at 1679, 1667, and 1630 cm−1 and negative peaks at 1654 and 1646 cm−1 [20], and the double-difference spectrum obtained for RH = 11% showing positive peaks at 1681, 1666, and 1634 cm−1 and negative peaks at 1658 and 1643 cm−1.
- (5)
- This suggests that the light-adapted RC has a similar response of the protein backbone at the two hydration levels (RH = 76% and 11%) but a different response in term of proton movements involving Glu and Asp side chains.
- (6)
- In Figure 6, there are bands lying in the amide I region (positive bands at 1658 and 1643 cm−1 and negative bands at 1651 and 1634 cm−1) that seem to be roughly synchronous—in decay—to the ones reflecting progressive reduction in the primary donor (from P+ to P). As mentioned above, peaks at these positions can also be observed in the double-difference spectrum in Figure 7. Unfortunately, no precise identification for these band exists to date. For the 1634 cm−1 negative band, a possible attribution to an internal water molecule can also be proposed.
5. Conclusions
Author Contributions
Funding
Institutional Review Board Statement
Informed Consent Statement
Data Availability Statement
Acknowledgments
Conflicts of Interest
References
- Jones, M.R. The petite purple photosynthetic powerpack. Biochem. Soc. Trans. 2009, 37, 400–407. [Google Scholar] [CrossRef] [PubMed]
- Kleinfeld, D.; Okamura, M.Y.; Feher, G. Electron Transfer Kinetics in Photosynthetic Reaction Centers Cooled to Cryogenic Temperatures in the Charge-Separated State: Evidence for Light-Induced Structural Changes. Biochemistry 1984, 23, 5780–5786. [Google Scholar] [CrossRef] [PubMed]
- Nabedryk, E.; Bagley, K.A.; Thibodeau, D.; Bauscher, M.; Mantele, W.; Breton, J. A Protein Conformational Change Associated with the Photoreduction of the Primary and Secondary Quinones. Biochemistry 1984, 23, 5780–5786. [Google Scholar]
- McMahon, B.H.; Muller, J.D.; Wraight, C.A.; Nienhaus, G.U. Electron Transfer and Protein Dynamics in the Photosynthetic Reaction Center. Biophys. J. 1998, 74, 2567–2587. [Google Scholar] [CrossRef]
- Andréasson, U.; Andréasson, L.-E. Characterization of a Semi-Stable, Charge-Separated State in Reaction Centers from Rhodobacter sphaeroides. Photosynth. Res. 2003, 75, 223–233. [Google Scholar] [CrossRef] [PubMed]
- Manzo, A.J.; Goushcha, A.O.; Berezetska, N.M.; Kharkyanen, V.N.; Scott, G.W. Charge Recombination Time Distributions in Photosynthetic Reaction Centers Exposed to Alternating Intervals of Photoexcitation and Dark Relaxation. J. Phys. Chem. B. 2011, 115, 8534–8544. [Google Scholar] [CrossRef] [PubMed]
- Deshmukh, S.S.; Williams, J.C.; Allen, J.P.; Kálmán, L. Light-Induced Conformational Changes in Photosynthetic Reaction Centers: Dielectric Relaxation in the Vicinity of the Dimer. Biochemistry 2011, 50, 340–348. [Google Scholar] [CrossRef] [PubMed]
- Malferrari, M.; Mezzetti, A.; Francia, F.; Venturoli, G. Effects of Dehydration on Light-Induced Conformational Changes in Bacterial Photosynthetic Reaction Centers Probed by Optical and Differential FTIR Spectroscopy. Biochim. Biophys. Acta-Bioenerg. 2013, 1827, 328–339. [Google Scholar] [CrossRef]
- Kalman, L.; Maroti, P. Conformation-Activated Protonation in Reaction Centers of the Photosynthetic Bacterium Rhodobacter sphaeroides. Biochemistry 1997, 36, 15269–15276. [Google Scholar] [CrossRef]
- Van Mourik, F.; Reus, M.; Holzwarth, A.R. Long-Lived Charge-Separated States in Bacterial Reaction Centers Isolated from Rhodobacter sphaeroides. Biochim. Biophys. Acta-Bioenerg. 2001, 1504, 311–318. [Google Scholar] [CrossRef]
- Sipka, G.; Magyar, M.; Mezzetti, A.; Parveen Akhtar, P.; Zhu, Q.; Xiao, Y.; Han, G.; Santabarbara, S.; Shen, J.-R.; Lambrev, P.H.; et al. Light-Adapted Charge-Separated State of Photosystem II: Structural and Functional Dynamics of the Closed Reaction Center. Plant Cell. 2021, 33, 1286–1302. [Google Scholar] [CrossRef]
- Sipka, G.; Nagy, L.; Magyar, M.; Akhtar, P.; Shen, J.-R.; Holzwarth, A.R.; Lambrev, P.H.; Garab, G. Light-Induced Reversible Reorganizations in Closed Type II Reaction Centre Complexes: Physiological Roles and Physical Mechanisms. Open Biol. 2022, 12, 220297. [Google Scholar] [CrossRef] [PubMed]
- Allen, J.P.; Chamberlain, K.D.; Williams, J.C. Identification of amino acid residues in a proton release pathway near the bacteriochlorophyll dimer in reaction centers from Rhodobacter sphaeroides. Photosynth. Res. 2023, 155, 23–34. [Google Scholar] [CrossRef]
- Noji, T.; Saito, K.; Ishikita, H. Absence of a link between stabilized charge-separated state and structural changes proposed from crystal structures of a photosynthetic reaction center. Comm. Chem. 2024, 7, 192. [Google Scholar] [CrossRef] [PubMed]
- Mezzetti, A.; Leibl, W. Time-Resolved Infrared Spectroscopy in the Study of Photosynthetic Systems. Photosynth. Res. 2017, 131, 121–144. [Google Scholar] [CrossRef]
- Mezzetti, A.; Leibl, W.; Johnson, J.A.; Beatty, J.T. Monitoring moleculer eventsduring photo-driven ubiquinone pool reduction in PufX+ and PufX- membranes from Rhodobacter capsulatus by time-resolved FTIR difference spectroscopy. Plant Physiol. Biochem. 2024, 216, 109139. [Google Scholar] [CrossRef] [PubMed]
- Mezzetti, A.; Leibl, W. Investigation of ubiquinol formation in isolated photosynthetic reaction centers by rapid-scan Fourier Transform IR spectroscopy. Eur. Biophys. J. 2005, 34, 921–936. [Google Scholar] [CrossRef] [PubMed]
- Mezzetti, A.; Seo, D.; Leibl, W.; Sakurai, H.; Breton, J. Time-resolved step-scan FTIR investigation on the primary donor of the reaction center from the green sulfur bacterium Chlorobium tepidum. Photosynth. Res. 2003, 75, 161–169. [Google Scholar] [CrossRef]
- Noguchi, T. Fourier Transform infrared difference and time-resolved infrared detection of the electron and proton transfer dynamics in photosynthetic water oxidation. Biochim. Biophys. Acta-Bioenerg. 2015, 1847, 35–45. [Google Scholar] [CrossRef]
- Mezzetti, A.; Malferrari, M.; Venturoli, G.; Francia, F.; Leibl, W.; Noda, I. Rapid-Scan FT-IR Difference Spectroscopy Coupled with 2D-COS Correlation Analysis Shows the Building Up of Light-Adapted States in Bacterial Photosynthetic Reaction Centers. Appl. Spectrosc. 2024; in press. [Google Scholar] [CrossRef]
- Malferrari, M.; Francia, F.; Venturoli, G. Coupling between Electron Transfer and Protein Solvent Dynamics: FTIR and Laser-Flash Spectroscopy Studies in Photosynthetic Reaction Center Films at Different Hydration Levels. J. Phys. Chem. B. 2011, 115, 14732–14750. [Google Scholar] [CrossRef]
- Baciou, L.; Michel, H. Interruption of the Water Chain in the Reaction Center from Rhodobacter sphaeroides Reduces the Rates of the Proton Uptake and of the Second Electron Transfer to QB. Biochemistry 1995, 34, 7967–7972. [Google Scholar] [CrossRef] [PubMed]
- Kleinfeld, D.; Okamura, M.Y.; Feher, G. Electron Transfer in Reaction Centers of Rhodopseudomonas sphaeroides. I. Determination of the Charge Recombination Pathway of D+QAQB- and Free Energy and Kinetic Relations between QA-QB and QAQB-. Biochim. Biophys. Acta-Bioenerg. 1984, 766, 126–140. [Google Scholar] [CrossRef] [PubMed]
- Wright, C. Oxidation-Reduction Physical Chemistry of the Acceptor Quinone Complex in Bacterial Photosynthetic Reaction Centers: Evidence for a New Model of Herbicide Activity. Isr. J. Chem. 1981, 21, 348–354. [Google Scholar] [CrossRef]
- Jones, M.R.; Fyfe, P.K. Photosynthesis: New Light on Biological Oxygen Production Curr. Biol. 2001, 11, R318–R321. [Google Scholar] [CrossRef] [PubMed]
- Malferrari, M.; Francia, F.; Mezzetti, A.; Venturoli, G. Kinetic Effects in Dehyration, Rehydration and Isotopic Exchange of Bacerial Photosynthetic Reaction Centers. Biomed. Spectr. Imaging. 2016, 5, 185–196. [Google Scholar] [CrossRef]
- Mezzetti, A.; Nabedryk, E.; Breton, J.; Okamura, M.Y.; Paddock, M.L.; Giacometti, G.; Leibl, W. Rapid-Scan Fourier Transform Infrared Spectroscopy Shows Coupling of Glu L212 Protonation and Electron Transfer to QB in Rhodobacter sphaeroides Reaction Centers. Biochim. Biophys. Acta-Bioenerg. 2002, 1553, 320–330. [Google Scholar] [CrossRef] [PubMed]
- Mezzetti, A.; Leibl, W.; Breton, J.; Nabedryk, E. Photoreduction of the Quinone Pool in the Bacterial Photosynthetic Membrane: Identification of Infrared Marker Bands for Quinol Formation. FEBS Lett. 2003, 537, 161–165. [Google Scholar] [CrossRef]
- Nabedryk, E. Light-Induced Fourier Transform Infrared Difference Spectroscopy of the Primary Electron Donor in Photosynthetic Reaction Centers. In Infrared Spectroscopy of Biomolecules; Mantsch, H.H., Chapman, D., Eds.; Wiley-Liss: New York City, NY, USA, 1996; pp. 39–82. [Google Scholar]







Disclaimer/Publisher’s Note: The statements, opinions and data contained in all publications are solely those of the individual author(s) and contributor(s) and not of MDPI and/or the editor(s). MDPI and/or the editor(s) disclaim responsibility for any injury to people or property resulting from any ideas, methods, instructions or products referred to in the content. |
© 2025 by the authors. Licensee MDPI, Basel, Switzerland. This article is an open access article distributed under the terms and conditions of the Creative Commons Attribution (CC BY) license (https://creativecommons.org/licenses/by/4.0/).
Share and Cite
Mezzetti, A.; Malferrari, M.; Francia, F.; Venturoli, G. Effect of Dehydration on Light-Adapted States of Bacterial Reaction Centers Studied by Time-Resolved Rapid-Scan FTIR Difference Spectroscopy. Spectrosc. J. 2025, 3, 5. https://doi.org/10.3390/spectroscj3010005
Mezzetti A, Malferrari M, Francia F, Venturoli G. Effect of Dehydration on Light-Adapted States of Bacterial Reaction Centers Studied by Time-Resolved Rapid-Scan FTIR Difference Spectroscopy. Spectroscopy Journal. 2025; 3(1):5. https://doi.org/10.3390/spectroscj3010005
Chicago/Turabian StyleMezzetti, Alberto, Marco Malferrari, Francesco Francia, and Giovanni Venturoli. 2025. "Effect of Dehydration on Light-Adapted States of Bacterial Reaction Centers Studied by Time-Resolved Rapid-Scan FTIR Difference Spectroscopy" Spectroscopy Journal 3, no. 1: 5. https://doi.org/10.3390/spectroscj3010005
APA StyleMezzetti, A., Malferrari, M., Francia, F., & Venturoli, G. (2025). Effect of Dehydration on Light-Adapted States of Bacterial Reaction Centers Studied by Time-Resolved Rapid-Scan FTIR Difference Spectroscopy. Spectroscopy Journal, 3(1), 5. https://doi.org/10.3390/spectroscj3010005

