jcm-logo

Journal Browser

Journal Browser

Innovative Approaches to the Challenges of Neurodegenerative Disease

A special issue of Journal of Clinical Medicine (ISSN 2077-0383). This special issue belongs to the section "Clinical Neurology".

Deadline for manuscript submissions: 20 February 2026 | Viewed by 987

Special Issue Editors


E-Mail Website
Guest Editor
1. NICM Health Research Institute, University of Western Sydney, Westmead, NSW 2145, Australia
2. Brain and Mind Centre, Sydney University, 88 Mallett Street, Camperdown, NSW 2050, Australia
Interests: Parkinson’s disease; diabetic kidney disease; oral mucositis; gut–brain axis; microbiome; photobiomodulation

E-Mail Website
Co-Guest Editor
Shepherd University, 301 N King St, Shepherdstown, WV 25443, USA
Interests: photobiomodulation; translational medicine; Parkinson’s disease; chronic pain
Special Issues, Collections and Topics in MDPI journals

Special Issue Information

Dear Colleagues, 

The aging process, while not a disease in itself, can be accompanied by some age-related changes that can occur during the lifespan at many levels. These changes carry with them an increased risk for a number of age-related diseases and degenerative conditions in humans, such as Parkinson’s disease, Alzheimer’s disease, age-related dementia, amyotrophic lateral sclerosis, and multiple sclerosis, as well as depression, and anxiety. In the context of improved healthspan, as opposed to lifespan, it is crucial that these age related neurodegenerative diseases be effectively treated in order to improve quality of life and increase resilience to age-related diseases. Evidence suggests that a multidisciplinary approach to diseases is needed in order to achieve the best results. The disease response to therapeutic interventions interacts with social and behavioral factors such as environmental exposure, healthy or unhealthy behaviors, social relationships, and existing comorbidities. This Special Issue aims to present recent advances in the development of new interventions, from molecular interventions all the way to environmental/social or rehabilitation strategies, to realize the best outcomes in the treatment of neurodegenerative diseases. Research data, new ideas, and discussions of potential interventions that modulate disease responses in an aging context are welcome. Original papers, systematic reviews, and meta-analyses are welcome.

Dr. Brian T. Bicknell
Guest Editor

Prof. Dr. Ann Liebert
Co-Guest Editor

Manuscript Submission Information

Manuscripts should be submitted online at www.mdpi.com by registering and logging in to this website. Once you are registered, click here to go to the submission form. Manuscripts can be submitted until the deadline. All submissions that pass pre-check are peer-reviewed. Accepted papers will be published continuously in the journal (as soon as accepted) and will be listed together on the special issue website. Research articles, review articles as well as short communications are invited. For planned papers, a title and short abstract (about 100 words) can be sent to the Editorial Office for announcement on this website.

Submitted manuscripts should not have been published previously, nor be under consideration for publication elsewhere (except conference proceedings papers). All manuscripts are thoroughly refereed through a single-blind peer-review process. A guide for authors and other relevant information for submission of manuscripts is available on the Instructions for Authors page. Journal of Clinical Medicine is an international peer-reviewed open access semimonthly journal published by MDPI.

Please visit the Instructions for Authors page before submitting a manuscript. The Article Processing Charge (APC) for publication in this open access journal is 2600 CHF (Swiss Francs). Submitted papers should be well formatted and use good English. Authors may use MDPI's English editing service prior to publication or during author revisions.

Keywords

  • neurodegenerative disease
  • Parkinson’s disease
  • Alzheimer’s disease
  • multiple sclerosis
  • amyotrophic lateral sclerosis

Benefits of Publishing in a Special Issue

  • Ease of navigation: Grouping papers by topic helps scholars navigate broad scope journals more efficiently.
  • Greater discoverability: Special Issues support the reach and impact of scientific research. Articles in Special Issues are more discoverable and cited more frequently.
  • Expansion of research network: Special Issues facilitate connections among authors, fostering scientific collaborations.
  • External promotion: Articles in Special Issues are often promoted through the journal's social media, increasing their visibility.
  • Reprint: MDPI Books provides the opportunity to republish successful Special Issues in book format, both online and in print.

Further information on MDPI's Special Issue policies can be found here.

Published Papers (3 papers)

Order results
Result details
Select all
Export citation of selected articles as:

Research

Jump to: Review

19 pages, 3311 KB  
Article
Effectiveness of Photobiomodulation to Treat Motor and Non-Motor Symptoms of Parkinson’s Disease: A Randomised Clinical Trial with Extended Treatment
by Anita E. Saltmarche, Orla Hares, Brian Bicknell, Ann Liebert, Margaret Naeser, Sujith Ramachandran, Jenna Sykes, Kaley Togeretz, Ashley Namini, Gillian Z. Heller and Geoffrey Herkes
J. Clin. Med. 2025, 14(21), 7463; https://doi.org/10.3390/jcm14217463 - 22 Oct 2025
Abstract
Background/Objective: Few treatment options improve symptoms and the quality of life of Parkinson’s disease (PD); more treatment choices are needed. This study examined the effectiveness of photobiomodulation therapy (PBMt) combined with exercise to improve PD symptoms and quality of life. Methods: Participants were [...] Read more.
Background/Objective: Few treatment options improve symptoms and the quality of life of Parkinson’s disease (PD); more treatment choices are needed. This study examined the effectiveness of photobiomodulation therapy (PBMt) combined with exercise to improve PD symptoms and quality of life. Methods: Participants were randomised into Active (n = 32) or Sham (n = 31) PBMt groups. Stage 1 was an 8-week double-blind, randomised, placebo-controlled trial using either active or sham PBMt to the head, back of the neck and abdomen three times weekly at home, followed by a 4-week washout. Stage 2 was 8 weeks of active PBMt for all participants. In Stage 3, participants chose to continue active PBMt treatment (‘continuers’) or receive no PBMt treatment (‘non-continuers’) for up to 48 weeks. Participants continued vigorous exercise throughout the study. Participants were assessed on enrolment and after each stage. The primary outcome measure was timed up-and-go, with a range of secondary motor and non-motor outcomes, including UPDRS. Results: There was no significant difference between the Active and Sham Groups after Stages 1 or 2, apart from minimal increase in MoCA score/cognition (Sham Group) in Stage 1. After Stage 3, continuers showed a significant improvement in the primary outcome measure compared to non-continuers. Anxiety and the motor experiences of daily living (MDS-UPDRS Part II) were also significantly improved, while other outcomes approached significance, including MDS-UPDRS Total score (p = 0.062). Conclusions: As the largest study to date, results add increasing weight to previous clinical trials and highlight potential for at-home, scalable treatment as adjunctive therapy alongside medication and exercise. Full article
(This article belongs to the Special Issue Innovative Approaches to the Challenges of Neurodegenerative Disease)
Show Figures

Figure 1

22 pages, 2367 KB  
Article
From Microbleeds to Iron: AI Prediction of Cerebrospinal Fluid Erythrocyte Load in Alzheimer’s Disease
by Rafail C. Christodoulou, Georgios Vamvouras, Maria Daniela Sarquis, Vasileia Petrou, Platon S. Papageorgiou, Ludwing Rivera, Celimar Morales Gonzalez, Gipsany Rivera, Sokratis G. Papageorgiou and Evros Vassiliou
J. Clin. Med. 2025, 14(20), 7360; https://doi.org/10.3390/jcm14207360 - 17 Oct 2025
Viewed by 205
Abstract
Background/Objectives: Cerebrospinal fluid erythrocyte load (CTRED) reflects occult red-blood-cell ingress into brain/CSF and consequent heme–iron exposure, a toxic pathway relevant to Alzheimer’s disease (AD). We aimed to develop explainable machine learning (ML) models that classify high vs. low CTRED from routine, largely [...] Read more.
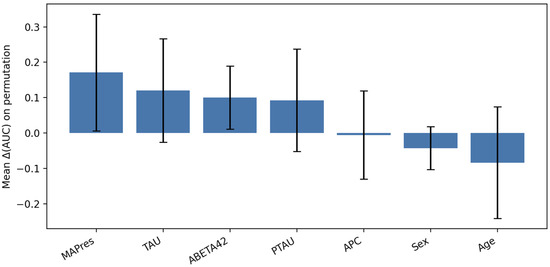
Background/Objectives: Cerebrospinal fluid erythrocyte load (CTRED) reflects occult red-blood-cell ingress into brain/CSF and consequent heme–iron exposure, a toxic pathway relevant to Alzheimer’s disease (AD). We aimed to develop explainable machine learning (ML) models that classify high vs. low CTRED from routine, largely non-invasive inputs, and to position a blood-first workflow leveraging contemporary plasma amyloid–tau biomarkers. Methods: Twenty-six ADNI participants were analyzed. Inputs were age, sex, mean arterial pressure (MAPres), amyloid (Aβ42), total tau, phosphorylated tau, and hippocampal atrophy rate (APC) derived from longitudinal MRI. APC was computed from normalized hippocampal volumes. CTRED was binarized at the median (0 vs. >0). Data were split into train (n = 20) and held-out test (n = 6). Five classifiers (linear SVM, ridge, logistic regression, random forests, and MLP) were trained in leakage-safe pipelines with stratified five-fold cross-validation. To provide a comprehensive assessment, we presented the contribution AUC, thresholded performance metrics, summarized model performance, and the permutation feature importance (PFI). Results: On the test set, SVM, ridge, logistic regression, and random forests achieved AUC = 1.00, while the MLP achieved AUC = 0.833. Across models, PFI consistently prioritized p-tau/tau, Aβ42, and MAPres; age, sex, and APC contributed secondarily. The attribution profile aligns with mechanisms linking BBB dysfunction and amyloid-related microvascular fragility with tissue vulnerability to heme–iron. Conclusions: In this proof-of-concept study, explainable ML predicted CTRED from routine variables with biologically coherent drivers. Although ADNI measurements were CSF-based and the sample was small, the framework is non-invasive by adding plasma p-tau217/Aβ1–42 for amyloid, tau inputs, and integrating demographics, hemodynamic context, and MRI. External, plasma-based validation in larger cohorts is warranted, alongside extension to MCI and multimodal correlation (QSM, DCE-MRI) to establish clinically actionable CTRED thresholds. Full article
(This article belongs to the Special Issue Innovative Approaches to the Challenges of Neurodegenerative Disease)
Show Figures

Figure 1

Review

Jump to: Research

20 pages, 553 KB  
Review
Fingolimod as a Neuroprotective Agent in Ischemic Stroke: A Review of Preclinical and Clinical Evidence
by Alin Ciubotaru, Roxana Covali, Cristina Grosu, Daniel Alexa, Esthir Flavia Pilă, Andrei Ionuț Cucu, Amelian Madalin Bobu, Gabriela Dumachita Sargu, Laura Riscanu, Mihaela Camelia Tirnovanu, Cristina Adam, Radu Popa, Cristiana Filip and Emilian Bogdan Ignat
J. Clin. Med. 2025, 14(19), 6797; https://doi.org/10.3390/jcm14196797 - 25 Sep 2025
Viewed by 602
Abstract
Ischemic stroke remains a leading cause of mortality and disability worldwide, with current therapies such as intravenous thrombolysis and mechanical thrombectomy benefiting only a limited proportion of patients. Neuroinflammation is a key contributor to secondary brain injury, creating a strong rationale for adjunctive [...] Read more.
Ischemic stroke remains a leading cause of mortality and disability worldwide, with current therapies such as intravenous thrombolysis and mechanical thrombectomy benefiting only a limited proportion of patients. Neuroinflammation is a key contributor to secondary brain injury, creating a strong rationale for adjunctive therapies targeting immune modulation. Fingolimod, a sphingosine-1-phosphate receptor (S1PR) modulator originally approved for multiple sclerosis, has shown promising effects in both preclinical and early clinical studies of acute ischemic stroke. Methods: We conducted a structured narrative review of preclinical and clinical studies published between 2015 and 2024, using PubMed, Scopus, and Web of Science databases. Inclusion criteria were original studies evaluating fingolimod in ischemic stroke models or human patients, either as monotherapy or in combination with reperfusion therapies. Exclusion criteria included conference abstracts without peer review, studies lacking mechanistic insight, and non-English publications. Results: Preclinical evidence demonstrates that fingolimod reduces infarct size, preserves blood–brain barrier integrity, and modulates neuroinflammation through multiple mechanisms, including T cell sequestration, microglial polarization, and mitochondrial protection. Clinical trials, though limited in size, suggest improved short- and long-term outcomes when fingolimod is used in combination with intravenous thrombolysis or endovascular therapy, with a manageable safety profile. Novel nanotechnology-based delivery systems further enhance central nervous system (CNS) targeting and reduce systemic side effects. Conclusions: Fingolimod represents a promising multi-targeted adjunctive strategy for ischemic stroke, acting at the intersection of immune modulation, vascular protection, and neuroprotection. While current findings are encouraging, larger randomized controlled trials and biomarker-driven patient selection are needed to validate its clinical utility. This review highlights the translational potential of fingolimod and outlines key directions for future research. Full article
(This article belongs to the Special Issue Innovative Approaches to the Challenges of Neurodegenerative Disease)
Show Figures

Figure 1

Back to TopTop