ijms-logo

Journal Browser

Journal Browser

The Future of Cartilage Repair in Complex Biological Situations 2.0

A special issue of International Journal of Molecular Sciences (ISSN 1422-0067). This special issue belongs to the section "Molecular Pathology, Diagnostics, and Therapeutics".

Deadline for manuscript submissions: closed (30 April 2022) | Viewed by 16344

Special Issue Editor


E-Mail Website
Guest Editor
Department of Orthopedics and Trauma Surgery, Medical Center ‐ Albert‐Ludwigs‐University of Freiburg, Faculty of Medicine, Albert‐Ludwigs‐University of Freiburg, Freiburg, Germany
Interests: cartilage; chondrocyte; degeneration; cell therapy; early diagnosis; spatial organization; biomechanics; mechanobiology; cell morphology; biophysical stimuli
Special Issues, Collections and Topics in MDPI journals

Special Issue Information

Dear Colleagues,

The clinical repair of focal articular cartilage defects is currently based on established surgical procedures and evidence-based guidelines that are optimized to specific defect characteristics and co-morbidities. However, effective repair strategies remain a major challenge in complex biochemical and biophysical environments associated with progressive degeneration, inflammation, and structural alterations of both articular cartilage and functionally-associated joint tissues, for example, early processes that lead to primary and/or secondary osteoarthritis (OA) such as post-traumatic OA. The second challenge is to develop future cartilage repair strategies in such a way that the principles of molecular, cellular, tissue, and joint functions are able to control their surrounding environment with a sufficiently complex design but also so that both the combined components as well as the individual components will remain licensable, given the current regulatory and financial framework. As the available tools for detecting early disease vs. progressive disease may not be sensitive enough to diagnose the disease at an early stage, the third challenge is to diagnostically pinpoint the best timing for detecting early disease to enable early intervention. Overcoming this will aid us in identifying the optimal stage of disease progression for the successful application of future cartilage and joint repair strategies.

In the context of developing future articular cartilage repair strategies, this Special Issue’s Editor invites original contributions and review articles that address these challenges. The suggested focus is to describe, control, and/or assess the articular cartilage environment on the molecular level as well as the associated cellular, tissue, joint, and/or systemic levels in order to make a significant contribution towards the future of cartilage repair in complex situations.

Prof. Dr. Bernd Rolauffs
Guest Editor

Manuscript Submission Information

Manuscripts should be submitted online at www.mdpi.com by registering and logging in to this website. Once you are registered, click here to go to the submission form. Manuscripts can be submitted until the deadline. All submissions that pass pre-check are peer-reviewed. Accepted papers will be published continuously in the journal (as soon as accepted) and will be listed together on the special issue website. Research articles, review articles as well as short communications are invited. For planned papers, a title and short abstract (about 100 words) can be sent to the Editorial Office for announcement on this website.

Submitted manuscripts should not have been published previously, nor be under consideration for publication elsewhere (except conference proceedings papers). All manuscripts are thoroughly refereed through a single-blind peer-review process. A guide for authors and other relevant information for submission of manuscripts is available on the Instructions for Authors page. International Journal of Molecular Sciences is an international peer-reviewed open access semimonthly journal published by MDPI.

Please visit the Instructions for Authors page before submitting a manuscript. There is an Article Processing Charge (APC) for publication in this open access journal. For details about the APC please see here. Submitted papers should be well formatted and use good English. Authors may use MDPI's English editing service prior to publication or during author revisions.

Keywords

articular cartilage

cartilage repair 

early osteoarthritis

early degeneration

focal lesion

generalized degeneration

chondrocyte biology

biomaterials

mechanobiology of cells, tissues, and bioartificial surrogate tissues

application of physiological and injurious forces

stem cell biology

spatial organization of cells

cellular morphology and geometry

Benefits of Publishing in a Special Issue

  • Ease of navigation: Grouping papers by topic helps scholars navigate broad scope journals more efficiently.
  • Greater discoverability: Special Issues support the reach and impact of scientific research. Articles in Special Issues are more discoverable and cited more frequently.
  • Expansion of research network: Special Issues facilitate connections among authors, fostering scientific collaborations.
  • External promotion: Articles in Special Issues are often promoted through the journal's social media, increasing their visibility.
  • Reprint: MDPI Books provides the opportunity to republish successful Special Issues in book format, both online and in print.

Further information on MDPI's Special Issue policies can be found here.

Published Papers (3 papers)

Order results
Result details
Select all
Export citation of selected articles as:

Research

Jump to: Review

21 pages, 4129 KB  
Article
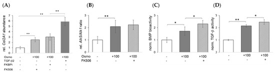
Physosmotic Induction of Chondrogenic Maturation Is TGF-β Dependent and Enhanced by Calcineurin Inhibitor FK506
by Holger Jahr, Anna E. van der Windt, Ufuk Tan Timur, Esther B. Baart, Wei-Shiung Lian, Bernd Rolauffs, Feng-Sheng Wang and Thomas Pufe
Int. J. Mol. Sci. 2022, 23(9), 5110; https://doi.org/10.3390/ijms23095110 - 4 May 2022
Cited by 7 | Viewed by 3122
Abstract
Increasing extracellular osmolarity 100 mOsm/kg above plasma level to the physiological levels for cartilage induces chondrogenic marker expression and the differentiation of chondroprogenitor cells. The calcineurin inhibitor FK506 has been reported to modulate the hypertrophic differentiation of primary chondrocytes under such conditions, but [...] Read more.
Increasing extracellular osmolarity 100 mOsm/kg above plasma level to the physiological levels for cartilage induces chondrogenic marker expression and the differentiation of chondroprogenitor cells. The calcineurin inhibitor FK506 has been reported to modulate the hypertrophic differentiation of primary chondrocytes under such conditions, but the molecular mechanism has remained unclear. We aimed at clarifying its role. Chondrocyte cell lines and primary cells were cultured under plasma osmolarity and chondrocyte-specific in situ osmolarity (+100 mOsm, physosmolarity) was increased to compare the activation of nuclear factor of activated T-cells 5 (NFAT5). The effects of osmolarity and FK506 on calcineurin activity, cell proliferation, extracellular matrix quality, and BMP- and TGF-β signaling were analyzed using biochemical, gene, and protein expression, as well as reporter and bio-assays. NFAT5 translocation was similar in chondrocyte cell lines and primary cells. High supraphysiological osmolarity compromised cell proliferation, while physosmolarity or FK506 did not, but in combination increased proteoglycan and collagen expression in chondrocytes in vitro and in situ. The expression of the TGF-β-inducible protein TGFBI, as well as chondrogenic (SOX9, Col2) and terminal differentiation markers (e.g., Col10) were affected by osmolarity. Particularly, the expression of minor collagens (e.g., Col9, Col11) was affected. The inhibition of the FK506-binding protein suggests modulation at the TGF-β receptor level, rather than calcineurin-mediated signaling, as a cause. Physiological osmolarity promotes terminal chondrogenic differentiation of progenitor cells through the sensitization of the TGF-β superfamily signaling at the type I receptor. While hyperosmolarity alone facilitates TGF-β superfamily signaling, FK506 further enhances signaling by releasing the FKBP12 break from the type I receptor to improve collagenous marker expression. Our results help explain earlier findings and potentially benefit future cell-based cartilage repair strategies. Full article
(This article belongs to the Special Issue The Future of Cartilage Repair in Complex Biological Situations 2.0)
Show Figures

Figure 1

16 pages, 3595 KB  
Article
Regenerative Potential of Platelet Concentrate Lysate in Mechanically Injured Cartilage and Matrix-Associated Chondrocyte Implantation In Vitro
by Jan-Tobias Weitkamp, Bernd Rolauffs, Moritz Feldheim, Andreas Bayer, Sebastian Lippross, Matthias Weuster, Ralf Smeets, Hendrik Naujokat, Alan Jay Grodzinsky, Bodo Kurz and Peter Behrendt
Int. J. Mol. Sci. 2021, 22(24), 13179; https://doi.org/10.3390/ijms222413179 - 7 Dec 2021
Cited by 4 | Viewed by 3067
Abstract
Adjuvant therapy in autologous chondrocyte implantation (ACI) can control the post-traumatic environment and guide graft maturation to support cartilage repair. To investigate both aspects, we examined potential chondro-regenerative effects of lysed platelet concentrate (PC) and supplementary interleukin 10 (IL-10) on mechanically injured cartilage [...] Read more.
Adjuvant therapy in autologous chondrocyte implantation (ACI) can control the post-traumatic environment and guide graft maturation to support cartilage repair. To investigate both aspects, we examined potential chondro-regenerative effects of lysed platelet concentrate (PC) and supplementary interleukin 10 (IL-10) on mechanically injured cartilage and on clinically used ACI scaffolds. ACI remnants and human cartilage explants, which were applied to an uniaxial unconfined compression as injury model, were treated with human IL-10 and/or PC from thrombocyte concentrates. We analyzed nuclear blebbing/TUNEL, sGAG content, immunohistochemistry, and the expression of COL1A1, COL2A1, COL10A1, SOX9, and ACAN. Post-injuriously, PC was associated with less cell death, increased COL2A1 expression, and decreased COL10A1 expression and, interestingly, the combination with Il-10 or Il-10 alone had no additional effects, except on COL10A1, which was most effectively decreased by the combination of PC and Il-10. The expression of COL2A1 or SOX9 was statistically not modulated by these substances. In contrast, in chondrocytes in ACI grafts the combination of PC and IL-10 had the most pronounced effects on all parameters except ACAN. Thus, using adjuvants such as PC and IL-10, preferably in combination, is a promising strategy for enhancing repair and graft maturation of autologous transplanted chondrocytes after cartilage injury. Full article
(This article belongs to the Special Issue The Future of Cartilage Repair in Complex Biological Situations 2.0)
Show Figures

Figure 1

Review

Jump to: Research

35 pages, 1744 KB  
Review
Anti-Inflammatory Therapeutic Approaches to Prevent or Delay Post-Traumatic Osteoarthritis (PTOA) of the Knee Joint with a Focus on Sustained Delivery Approaches
by Christine M. Khella, Judith M. Horvath, Rojiar Asgarian, Bernd Rolauffs and Melanie L. Hart
Int. J. Mol. Sci. 2021, 22(15), 8005; https://doi.org/10.3390/ijms22158005 - 27 Jul 2021
Cited by 35 | Viewed by 9051
Abstract
Inflammation plays a central role in the pathogenesis of knee PTOA after knee trauma. While a comprehensive therapy capable of preventing or delaying post-traumatic osteoarthritis (PTOA) progression after knee joint injury does not yet clinically exist, current literature suggests that certain aspects of [...] Read more.
Inflammation plays a central role in the pathogenesis of knee PTOA after knee trauma. While a comprehensive therapy capable of preventing or delaying post-traumatic osteoarthritis (PTOA) progression after knee joint injury does not yet clinically exist, current literature suggests that certain aspects of early post-traumatic pathology of the knee joint may be prevented or delayed by anti-inflammatory therapeutic interventions. We discuss multifaceted therapeutic approaches that may be capable of effectively reducing the continuous cycle of inflammation and concomitant processes that lead to cartilage degradation as well as those that can simultaneously promote intrinsic repair processes. Within this context, we focus on early disease prevention, the optimal timeframe of treatment and possible long-lasting sustained delivery local modes of treatments that could prevent knee joint-associated PTOA symptoms. Specifically, we identify anti-inflammatory candidates that are not only anti-inflammatory but also anti-degenerative, anti-apoptotic and pro-regenerative. Full article
(This article belongs to the Special Issue The Future of Cartilage Repair in Complex Biological Situations 2.0)
Show Figures

Figure 1

Back to TopTop