ijms-logo

Journal Browser

Journal Browser

Molecular Advances in Bone Metabolism and Disorders

A special issue of International Journal of Molecular Sciences (ISSN 1422-0067). This special issue belongs to the section "Molecular Pathology, Diagnostics, and Therapeutics".

Deadline for manuscript submissions: closed (20 October 2024) | Viewed by 16744

Special Issue Editor


E-Mail Website
Guest Editor
Department of Anatomy, College of Korean Medicine, Seoul 02447, Republic of Korea
Interests: bone metabolism; molecular mechanisms; molecular biology of bone remodeling; bone aging; bone disease; osteoporosis; drug development; osteoclast; osteoblast; osteocyte

Special Issue Information

Dear Colleagues,

Understanding the intricate molecular mechanisms underlying bone metabolism is essential for unraveling the complexities of bone-related diseases and developing targeted therapeutic interventions. By investigating the molecular pathways involved in bone homeostasis, researchers can uncover novel biomarkers, identify therapeutic targets, and devise personalized treatment strategies. Moreover, elucidating the molecular basis of bone disorders contributes to the broader field of regenerative medicine and tissue engineering, paving the way for innovative approaches in bone regeneration and repair. Harnessing the power of molecular advances in this field not only expands our knowledge of bone biology but also has the potential to improve patient outcomes and quality of life for individuals affected by bone disorders.

This Special Issue aims to delve into cutting-edge molecular-level knowledge pertaining to advanced research and conditions related to bone biology. Together, we aim to gather leading experts from the field to drive forward new advancements. We eagerly invite you to share your research findings and insights in this Special Issue, welcoming contributions from various perspectives, including, but not limited to, bone metabolism, molecular biology, molecular mechanisms, and drug development for bone-related disorders. We look forward to your scholarly contributions, and if you intend to submit a research paper to our Special Issue, kindly ensure it is submitted within the specified deadline. We highly anticipate your active participation, contributing to the successful publication of our Special Issue.

Dr. Hyuk-Sang Jung
Guest Editor

Manuscript Submission Information

Manuscripts should be submitted online at www.mdpi.com by registering and logging in to this website. Once you are registered, click here to go to the submission form. Manuscripts can be submitted until the deadline. All submissions that pass pre-check are peer-reviewed. Accepted papers will be published continuously in the journal (as soon as accepted) and will be listed together on the special issue website. Research articles, review articles as well as short communications are invited. For planned papers, a title and short abstract (about 100 words) can be sent to the Editorial Office for announcement on this website.

Submitted manuscripts should not have been published previously, nor be under consideration for publication elsewhere (except conference proceedings papers). All manuscripts are thoroughly refereed through a single-blind peer-review process. A guide for authors and other relevant information for submission of manuscripts is available on the Instructions for Authors page. International Journal of Molecular Sciences is an international peer-reviewed open access semimonthly journal published by MDPI.

Please visit the Instructions for Authors page before submitting a manuscript. There is an Article Processing Charge (APC) for publication in this open access journal. For details about the APC please see here. Submitted papers should be well formatted and use good English. Authors may use MDPI's English editing service prior to publication or during author revisions.

Keywords

  • bone metabolism
  • molecular mechanisms
  • molecular biology of bone remodeling
  • bone aging
  • bone disease
  • osteoporosis
  • drug development
  • osteoclast
  • osteoblast
  • osteocyte

Benefits of Publishing in a Special Issue

  • Ease of navigation: Grouping papers by topic helps scholars navigate broad scope journals more efficiently.
  • Greater discoverability: Special Issues support the reach and impact of scientific research. Articles in Special Issues are more discoverable and cited more frequently.
  • Expansion of research network: Special Issues facilitate connections among authors, fostering scientific collaborations.
  • External promotion: Articles in Special Issues are often promoted through the journal's social media, increasing their visibility.
  • Reprint: MDPI Books provides the opportunity to republish successful Special Issues in book format, both online and in print.

Further information on MDPI's Special Issue policies can be found here.

Published Papers (6 papers)

Order results
Result details
Select all
Export citation of selected articles as:

Research

Jump to: Review

13 pages, 974 KB  
Article
Bone Remodeling in Children with Acute Lymphoblastic Leukemia: A Two-Year Prospective Longitudinal Study
by Paola Muggeo, Massimo Grassi, Vito D’Ascanio, Jessica Forte, Vincenzo Brescia, Francesca Di Serio, Laura Piacente, Paola Giordano, Nicola Santoro and Maria Felicia Faienza
Int. J. Mol. Sci. 2025, 26(9), 4307; https://doi.org/10.3390/ijms26094307 - 1 May 2025
Viewed by 761
Abstract
Childhood leukemia survivors are at risk of long-term complications. Data on bone remodeling in childhood acute lymphoblastic leukemia (ALL) are limited. This 2-year prospective longitudinal study investigated bone remodeling and bone turnover markers at diagnosis, during treatment, and until stopping treatment, in ALL [...] Read more.
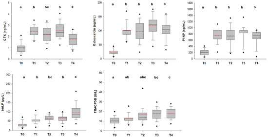
Childhood leukemia survivors are at risk of long-term complications. Data on bone remodeling in childhood acute lymphoblastic leukemia (ALL) are limited. This 2-year prospective longitudinal study investigated bone remodeling and bone turnover markers at diagnosis, during treatment, and until stopping treatment, in ALL patients < 18 years, to clarify the influence of leukemia itself and/or chemotherapy on bone. Methods: A total of 22 ALL children (12 males, age 5.5 ± 3.6 years) underwent blood sampling at the 5 time point (T0−T4). Osteoprotegerin (OPG), receptor-activator-NF-B-ligand (RANKL), osteocalcin (OC), C-terminal-telopeptide-type-I-collagen (CTX), bone-alkaline-phosphatase (bALP), tartrate-resistant acid-phosphatase-5b (TRACP5b), procollagen-type-I-N-terminal-propeptide (P1NP), Dickkopf-1 (DKK-1), and sclerostin were assessed. Data from patients at T0 were compared to a control group of healthy children. We used the principal component analysis (PCA) for statistics. Results: Levels of CTX, OC, P1NP, and bALP resulted lower in ALL children than controls (p = 0.009 for CTX and p < 0.001 for the others), also DKK1 and sclerostin (p < 0.0001 and p = 0.023). RANKL ed OPG were higher in patients. During T0−T4, CTX, OC, P1NP, TRACP5b, and bALP showed a significant increase, in particular at T0−T1 (end-of-induction). Less evident changes were detected onwards. Conclusions: The onset of leukemia has been revealed as a key point in determining a slowing of bone remodeling in ALL children. Full article
(This article belongs to the Special Issue Molecular Advances in Bone Metabolism and Disorders)
Show Figures

Figure 1

13 pages, 1378 KB  
Article
Role of Bone Metastases in Lung Neuroendocrine Neoplasms: Clinical Presentation, Treatment and Impact on Prognosis
by Roberta Modica, Elio Benevento, Barbara Altieri, Roberto Minotta, Alessia Liccardi, Giuseppe Cannavale, Gianfranco Di Iasi and Annamaria Colao
Int. J. Mol. Sci. 2024, 25(16), 8957; https://doi.org/10.3390/ijms25168957 - 17 Aug 2024
Cited by 5 | Viewed by 1184
Abstract
Lung neuroendocrine neoplasms (L-NEN) are heterogeneous tumors. While bone metastases (BM) have been associated with worse prognosis in other NEN, their role in L-NEN deserves in-depth analysis. This study analyzes the clinical presentation, treatment and survival outcomes of L-NEN, focusing on patients with [...] Read more.
Lung neuroendocrine neoplasms (L-NEN) are heterogeneous tumors. While bone metastases (BM) have been associated with worse prognosis in other NEN, their role in L-NEN deserves in-depth analysis. This study analyzes the clinical presentation, treatment and survival outcomes of L-NEN, focusing on patients with BM compared with patients without metastases or with metastases in other sites (OtherMtx). The clinicopathological and survival data of L-NEN admitted to the Federico II University were retrospectively evaluated. Fifty L-NEN were included. Among 27 metastatic patients (54%), 13 (26%) had BM, more commonly occurring in males than females and in primary bilateral L-NEN or L-NEN > 26 mm, with higher Ki67. Atypical carcinoid and hypovitaminosis D were associated with BM. The number of metastatic sites was higher in patients with BM than OtherMtx. Synchronous metastases were associated with shorter overall survival (OS). The median progression-free survival (PFS) and OS in patients with BM were similar to OtherMtx, but a two-times increased risk of shorter OS was detected. BM do not impact PFS or OS more than OtherMtx, but the increased risk of shorter OS in patients with BM should be considered. Periodic bone evaluation in L-NEN should be recommended. Full article
(This article belongs to the Special Issue Molecular Advances in Bone Metabolism and Disorders)
Show Figures

Figure 1

13 pages, 2118 KB  
Article
Cartilage Oligomeric Matrix Protein in Osteoarthritis and Obesity—Do New Considerations Emerge?
by Sevdalina Nikolova Lambova, Tsvetelina Batsalova, Dzhemal Moten and Balik Dzhambazov
Int. J. Mol. Sci. 2024, 25(10), 5263; https://doi.org/10.3390/ijms25105263 - 12 May 2024
Cited by 3 | Viewed by 2561
Abstract
The diagnosis of osteoarthritis (OA) is based on radiological changes that are delayed, along with clinical symptoms. Early and very early diagnosis at the stage of molecular pathology may eventually offer an opportunity for early therapeutic intervention that may retard and prevent future [...] Read more.
The diagnosis of osteoarthritis (OA) is based on radiological changes that are delayed, along with clinical symptoms. Early and very early diagnosis at the stage of molecular pathology may eventually offer an opportunity for early therapeutic intervention that may retard and prevent future damage. Cartilage oligomeric matrix protein (COMP) is a non-collagenous extracellular matrix protein that promotes the secretion and aggregation of collagen and contributes to the stability of the extracellular matrix. There are contradictory literature data and currently, the parameter is used only for scientific purposes and its significance is not well-determined. The serum level of COMP in patients with metabolic type OA of the knee has not been evaluated. The aim of the study was to analyze serum COMP levels in metabolic knee OA and controls with different BMI. Our results showed that the mean COMP values were significantly higher in the control group (1518.69 ± 232.76 ng/mL) compared to the knee OA patients (1294.58 ± 360.77 ng/mL) (p = 0.0012). This may be related to the smaller cartilage volume in OA patients. Additionally, COMP levels negatively correlated with disease duration (p = 0.04). The COMP level in knee OA with BMI below 30 kg/m2 (n = 61, 1304.50 ± 350.60 ng/mL) was higher compared to cases with BMI ≥ 30 kg/m2 (n = 76, 1286.63 ± 370.86 ng/mL), but the difference was not significant (p = 0.68). Whether this finding is related to specific features in the evolution of the metabolic type of knee OA remains to be determined. Interestingly, comparison of COMP levels in the controls with different BMI revealed significantly higher values in overweight and obese individuals (1618.36 ± 203.76 ng/mL in controls with BMI ≥ 25 kg/m2, n = 18, 1406.61 ± 216.41 ng/mL, n = 16; p = 0.0092). Whether this finding is associated with increased expression of COMP in the adipose tissue or with more intensive cartilage metabolism in relation to higher biomechanical overload in obese patients, considering the earlier development of metabolic type knee OA as an isolated finding, remains to be determined. Full article
(This article belongs to the Special Issue Molecular Advances in Bone Metabolism and Disorders)
Show Figures

Figure 1

Review

Jump to: Research

14 pages, 573 KB  
Review
Roles and Applications of Circulating Tumor-Derived RNAs in Sarcoma Patients: A Systematic Review
by Elena Gabrielli, Maria Beatrice Bocchi, Cristina Giuli, Francesco Farine, Doriana Di Costa, Giulio Maccauro and Raffaele Vitiello
Int. J. Mol. Sci. 2024, 25(21), 11715; https://doi.org/10.3390/ijms252111715 - 31 Oct 2024
Cited by 3 | Viewed by 1290
Abstract
Sarcomas are a heterogeneous group of malignancies with a high mortality rate. Detection of circulating tumor-derived material, such as circulating RNA in the peripheral blood of patients, has shown to be useful in diagnosis, prediction of prognosis and disease monitoring in several malignancies. [...] Read more.
Sarcomas are a heterogeneous group of malignancies with a high mortality rate. Detection of circulating tumor-derived material, such as circulating RNA in the peripheral blood of patients, has shown to be useful in diagnosis, prediction of prognosis and disease monitoring in several malignancies. This systematic review aims to probe the existing methods for detecting circulating tumor-derived RNAs from patients affected by sarcoma and their possible clinical application. A systematic review of the literature indexed in PubMed was performed. Each article had to analyze circulating RNA in human specimens obtained from liquid biopsies of patients affected by sarcoma. A total of 26 articles were included. We evaluated 1381 patients; 72% were affected by bone sarcoma and 28% by soft tissue sarcoma. By PCR-based methods, all the studies investigated circulating tumor RNA, mostly in the peripheral blood. Nearly half of the authors investigated the tumor expression and/or release of miRNA (42%). Several authors pointed out that circulating tumor-derived RNA has proven to have potential application in a clinical setting for sarcomas. To the best of our knowledge, this is the first review in the literature to attempt to put together data specifically on ctRNA in patients affected by sarcoma. Full article
(This article belongs to the Special Issue Molecular Advances in Bone Metabolism and Disorders)
Show Figures

Figure 1

20 pages, 1756 KB  
Review
Links among Obesity, Type 2 Diabetes Mellitus, and Osteoporosis: Bone as a Target
by Monika Martiniakova, Roman Biro, Noemi Penzes, Anna Sarocka, Veronika Kovacova, Vladimira Mondockova and Radoslav Omelka
Int. J. Mol. Sci. 2024, 25(9), 4827; https://doi.org/10.3390/ijms25094827 - 28 Apr 2024
Cited by 44 | Viewed by 6789
Abstract
Obesity, type 2 diabetes mellitus (T2DM) and osteoporosis are serious diseases with an ever-increasing incidence that quite often coexist, especially in the elderly. Individuals with obesity and T2DM have impaired bone quality and an elevated risk of fragility fractures, despite higher and/or unchanged [...] Read more.
Obesity, type 2 diabetes mellitus (T2DM) and osteoporosis are serious diseases with an ever-increasing incidence that quite often coexist, especially in the elderly. Individuals with obesity and T2DM have impaired bone quality and an elevated risk of fragility fractures, despite higher and/or unchanged bone mineral density (BMD). The effect of obesity on fracture risk is site-specific, with reduced risk for several fractures (e.g., hip, pelvis, and wrist) and increased risk for others (e.g., humerus, ankle, upper leg, elbow, vertebrae, and rib). Patients with T2DM have a greater risk of hip, upper leg, foot, humerus, and total fractures. A chronic pro-inflammatory state, increased risk of falls, secondary complications, and pharmacotherapy can contribute to the pathophysiology of aforementioned fractures. Bisphosphonates and denosumab significantly reduced the risk of vertebral fractures in patients with both obesity and T2DM. Teriparatide significantly lowered non-vertebral fracture risk in T2DM subjects. It is important to recognize elevated fracture risk and osteoporosis in obese and T2DM patients, as they are currently considered low risk and tend to be underdiagnosed and undertreated. The implementation of better diagnostic tools, including trabecular bone score, lumbar spine BMD/body mass index (BMI) ratio, and microRNAs to predict bone fragility, could improve fracture prevention in this patient group. Full article
(This article belongs to the Special Issue Molecular Advances in Bone Metabolism and Disorders)
Show Figures

Figure 1

22 pages, 1935 KB  
Review
Bone Health Impairment in Patients with Hemoglobinopathies: From Biological Bases to New Possible Therapeutic Strategies
by Alessandra Di Paola, Maria Maddalena Marrapodi, Martina Di Martino, Giulia Giliberti, Giuseppe Di Feo, Deeksha Rana, Shakeel Ahmed, Maura Argenziano, Francesca Rossi and Domenico Roberti
Int. J. Mol. Sci. 2024, 25(5), 2902; https://doi.org/10.3390/ijms25052902 - 1 Mar 2024
Cited by 6 | Viewed by 3170
Abstract
Hemoglobinopathies are monogenic disorders affecting hemoglobin synthesis. Thalassemia and sickle cell disease (SCD) are considered the two major hemoglobinopathies. Thalassemia is a genetic disorder and one of the major hemoglobinopathies determined by an impairment of globin chain production, which causes an alteration of [...] Read more.
Hemoglobinopathies are monogenic disorders affecting hemoglobin synthesis. Thalassemia and sickle cell disease (SCD) are considered the two major hemoglobinopathies. Thalassemia is a genetic disorder and one of the major hemoglobinopathies determined by an impairment of globin chain production, which causes an alteration of erythropoiesis, an improvement in hemolysis, and an alteration of iron homoeostasis. In SCD, the mutations are on the β-globin chain of hemoglobin which results in a substitution of glutamic acid by valine with consequent formation of Hemoglobin S (HbS). Several factors are involved in bone metabolism alteration in patients with hemoglobinopathies, among them hormonal deficiency, bone marrow hyperplasia, iron overload, inflammation, and increased bone turnover. Bone metabolism is the result of balance maintenance between bone deposition and bone resorption, by osteoblasts (OBs) and osteoclasts (OCs). An impairment of this balance is responsible for the onset of bone diseases, such as osteoporosis (OP). Therefore, here we will discuss the alteration of bone metabolism in patients with hemoglobinopathies and the possible therapeutic strategies to contain and/or counteract bone health impairment in these patients, taking into consideration not only the pharmacological treatments already used in the clinical armamentarium, but also the new possible therapeutic strategies. Full article
(This article belongs to the Special Issue Molecular Advances in Bone Metabolism and Disorders)
Show Figures

Figure 1

Back to TopTop