Advances in Postharvest Fresh-Keeping Technology and Metabolomics of Horticultural Plants—Second Edition
A special issue of Horticulturae (ISSN 2311-7524). This special issue belongs to the section "Postharvest Biology, Quality, Safety, and Technology".
Deadline for manuscript submissions: 30 September 2026 | Viewed by 4771
Special Issue Editors
Interests: multi-omics; metabolome; browning; sulfide metabolism; sulfur fumigation and alternative strategies; postharvest biology
Special Issues, Collections and Topics in MDPI journals
Interests: multi-omics; preservation of litchi, longan and horticultural crops in south China; packaging; sulfur fumigation; postharvest biology
Special Issues, Collections and Topics in MDPI journals
Interests: fresh-cut; enzymatic browning; molecular mechanism; chilling injury; multi-omics
Special Issue Information
Dear Colleagues,
Following the tremendous success of the first edition of the Special Issue “Advances in Postharvest Fresh-Keeping Technology and Metabolomics of Horticultural Plants” (https://www.mdpi.com/journal/horticulturae/special_issues/KI5SJE71Z7), a second edition is being launched.
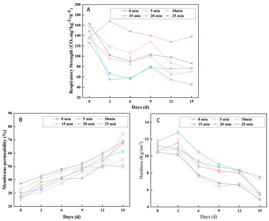
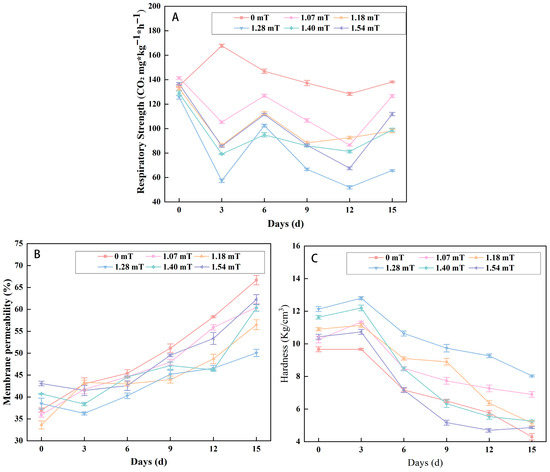
Horticultural plants are still alive during and after harvesting, and programmed and complex metabolic processes take place postharvest. The metabolic processes in horticultural crops are spatio-temporally specific, resulting in the formation or even deterioration of quality during postharvest ripening or senescence. Advanced preservation technologies have been widely explored and used to keep horticultural products fresh. However, systematic investigations into their effect on the metabolism of horticultural crops are still limited. The development and wide application of metabolomics technology has provided a powerful means to study the postharvest metabolism and regulation of horticultural crops. For this Special Issue, we welcome the submission of research on innovative postharvest fresh-keeping technology, as well as metabolic analyses of fruits, vegetables, medicinal, aromatic and ornamental plants during postharvest handling, storage and logistics; this scope is not limited to physiological, biochemical and molecular regulation (at the transcription, post-transcription, translation or post-translation level) analyses.
Dr. Tao Luo
Prof. Dr. Zhenxian Wu
Dr. Yunfen Liu
Dr. Xiaomeng Guo
Guest Editors
Manuscript Submission Information
Manuscripts should be submitted online at www.mdpi.com by registering and logging in to this website. Once you are registered, click here to go to the submission form. Manuscripts can be submitted until the deadline. All submissions that pass pre-check are peer-reviewed. Accepted papers will be published continuously in the journal (as soon as accepted) and will be listed together on the special issue website. Research articles, review articles as well as short communications are invited. For planned papers, a title and short abstract (about 250 words) can be sent to the Editorial Office for assessment.
Submitted manuscripts should not have been published previously, nor be under consideration for publication elsewhere (except conference proceedings papers). All manuscripts are thoroughly refereed through a single-blind peer-review process. A guide for authors and other relevant information for submission of manuscripts is available on the Instructions for Authors page. Horticulturae is an international peer-reviewed open access monthly journal published by MDPI.
Please visit the Instructions for Authors page before submitting a manuscript. The Article Processing Charge (APC) for publication in this open access journal is 2200 CHF (Swiss Francs). Submitted papers should be well formatted and use good English. Authors may use MDPI's English editing service prior to publication or during author revisions.
Keywords
- horticultural crops
- postharvest quality
- preservation technology
- regulation mechanism
- metabolomics
Benefits of Publishing in a Special Issue
- Ease of navigation: Grouping papers by topic helps scholars navigate broad scope journals more efficiently.
- Greater discoverability: Special Issues support the reach and impact of scientific research. Articles in Special Issues are more discoverable and cited more frequently.
- Expansion of research network: Special Issues facilitate connections among authors, fostering scientific collaborations.
- External promotion: Articles in Special Issues are often promoted through the journal's social media, increasing their visibility.
- Reprint: MDPI Books provides the opportunity to republish successful Special Issues in book format, both online and in print.
Further information on MDPI's Special Issue policies can be found here.


