Journal Description
Energy Storage and Applications
Energy Storage and Applications
is an international, peer-reviewed, open access journal on energy storage technologies and their applications, published quarterly online by MDPI.
- Open Access— free for readers, with article processing charges (APC) paid by authors or their institutions.
- Rapid Publication: first decisions in 19 days; acceptance to publication in 8 days (median values for MDPI journals in the second half of 2025).
- Recognition of Reviewers: APC discount vouchers, optional signed peer review, and reviewer names published annually in the journal.
- Energy Storage and Applications is a companion journal of Energies.
- Journal Cluster of Energy and Fuels: Energies, Batteries, Hydrogen, Biomass, Electricity, Wind, Fuels, Gases, Solar, ESA, Bioresources and Bioproducts and Methane.
Latest Articles
Pathways to Energy Adequacy: Integrating Storage Technologies and User Engagement in the Design of Energy-Aware Built Environments
Energy Storage Appl. 2026, 3(1), 6; https://doi.org/10.3390/esa3010006 - 18 Mar 2026
Abstract
►
Show Figures
The global shift toward renewable energy systems raises major challenges related to the variability of solar and wind power and their poor alignment with electricity demand. This paper addresses energy adequacy, defined as the ability of an energy system to reliably meet demand
[...] Read more.
The global shift toward renewable energy systems raises major challenges related to the variability of solar and wind power and their poor alignment with electricity demand. This paper addresses energy adequacy, defined as the ability of an energy system to reliably meet demand by balancing generation, storage, transmission, and reserves for unforeseen events. Within this framework, energy storage systems are identified as strategic components, requiring a diversified and multi-scale set of solutions-from territorial to building scale-to respond to infrastructural constraints and user behaviour. The study adopts a multi-scalar and interdisciplinary methodology combining deductive and inductive approaches. The deductive analysis examines global, European, and Italian electricity systems, highlighting issues such as overcapacity and grid instability caused by the uncoordinated development of renewable generation and network infrastructures. The inductive approach focuses on existing storage technologies, with particular attention to two types of thermal energy storage selected for their simplicity, scalability, and replicability. Hydropower reservoirs are also considered due to their multifunctional role in energy balancing. Two case studies developed by the research group—a public building energy retrofit in Milan and a modular off-grid housing prototype—demonstrate how integrated storage solutions can enhance system flexibility. The results emphasize the necessity of a systemic design approach that combines storage technologies, adaptable energy use, and active user participation to ensure energy adequacy in scenarios with high renewable penetration.
Full article
Open AccessArticle
Lithium-Based Hydride Perovskites: Computational Investigation on Material Properties for Hydrogen Storage Applications
by
Abderrahmane Waqdim, Mohamed Agouri, Hakima Ouhenou, Lhouceine Moulaoui, Abderrahman Abbassi, Souad Taj, Bouzid Manaut, Moha El Idrissi, Omar Bajjou and Khalid Rahmani
Energy Storage Appl. 2026, 3(1), 5; https://doi.org/10.3390/esa3010005 - 10 Mar 2026
Abstract
►▼
Show Figures
The search for effective hydrogen storage materials has stimulated extensive research into compounds with high storage capacity and stability. In this study, we explored lithium-based hydride perovskites, , as
[...] Read more.
The search for effective hydrogen storage materials has stimulated extensive research into compounds with high storage capacity and stability. In this study, we explored lithium-based hydride perovskites, , as potential candidates for solid-state hydrogen storage applications. Our results reveal that both compounds possess remarkable structural stability, which is confirmed by phonon dispersion analysis, negative formation energies, elementary molecular dynamics simulations (AIMD), and elastic static evaluations. The calculated optoelectronic properties indicate the metallic character of both perovskites. Moreover, the thermodynamic behavior was examined under various temperature and pressure conditions. Importantly, the predicted hydrogen storage characteristics—including gravimetric and volumetric capacities as well as hydrogen desorption temperatures—meet the U.S. Department of Energy (DOE) targets. These findings suggest that perovskites are promising materials for sustainable solid-state hydrogen storage, contributing to the advancement of clean and efficient energy technologies.
Full article

Figure 1
Open AccessReview
Economic and Optimisation Modelling of Energy Storage Systems: A Review
by
Andrew J. Hutchinson, Chris M. Harrison, Thomas S. Bryden, Arman Alahyari, Yiheng Hu, Daniel T. Gladwin, Jonathan Radcliffe, Daniel J. Rogers, Charalampos Patsios and Andrew Forsyth
Energy Storage Appl. 2026, 3(1), 4; https://doi.org/10.3390/esa3010004 - 28 Feb 2026
Abstract
►▼
Show Figures
Demand for new solutions to emerging issues faced by the electricity generation, demand and supply industries continues to increase with the introduction of increasing proportions of variable renewable energy and changing system demands. Energy storage systems represent a key part of the solution
[...] Read more.
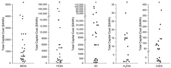
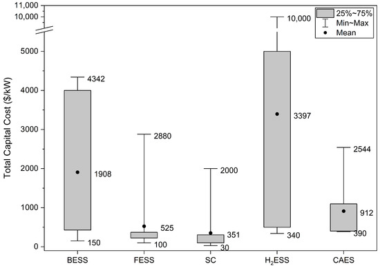
Demand for new solutions to emerging issues faced by the electricity generation, demand and supply industries continues to increase with the introduction of increasing proportions of variable renewable energy and changing system demands. Energy storage systems represent a key part of the solution as stakeholders attempt to move towards a ‘net zero’ system. Within research, studies into the techno-economic optimisation of varied energy storage technologies for different applications continue to play a significant role in this changing landscape. A key aspect of this research is the modelling and simulation of such systems, often with the goal of optimising their parameters for deploying in specific roles and services. This paper presents an extensive analysis of the current economic outlook for five major energy storage technologies, highlighting the significant variation in quoted costs within the literature. It presents a unique and novel perspective by considering economic and optimisation modelling from both a technology and application-centric approach. It explores the different approaches available for performing economic analysis on energy storage systems, providing a novel overview of the advantages of various approaches along with examples from the literature on how these studies are implemented. Finally, the paper explores optimisation studies, giving an in-depth explanation of different approaches used in the optimisation of energy storage systems and reviewing prominent uses within the literature. The paper concludes with a consideration of the main challenges that face the field of techno-economic energy storage studies and provides recommendations on areas that require further research.
Full article

Figure 1
Open AccessArticle
Thermophysical Performance of BN- and KNO3-Doped Ca(OH)2 and Mg(OH)2 for Medium-Temperature Thermochemical Energy Storage Applications: A Comparative Study
by
Anti Kur, Jo Darkwa, John Calautit and Rabah Boukhanouf
Energy Storage Appl. 2026, 3(1), 3; https://doi.org/10.3390/esa3010003 - 28 Feb 2026
Abstract
►▼
Show Figures
Pure calcium hydroxide, Ca(OH)2, and magnesium hydroxide, Mg(OH)2, are limited in their applicability for the storage of medium-temperature heat due to their high dehydration temperatures. Modification of the hydroxides by doping with appropriate materials is a viable method for
[...] Read more.
Pure calcium hydroxide, Ca(OH)2, and magnesium hydroxide, Mg(OH)2, are limited in their applicability for the storage of medium-temperature heat due to their high dehydration temperatures. Modification of the hydroxides by doping with appropriate materials is a viable method for solving this problem. In this work, samples of Ca(OH)2 and Mg(OH)2 have been doped with various proportions of boron nitride (BN) and potassium nitrate (KNO3) to reduce their dehydration temperatures. The results showed that the doping processes were successfully achieved as desired, but there was a reduction in their surface areas and porosity, which could impact their thermodynamic behavior. However, the thermal analysis on the samples revealed that the KNO3 had a more positive effect on the Mg(OH)2 material than Ca(OH)2. For instance, a reduction of 23 °C in the dehydration temperature and an increase of 6% in heat storage capacity were achieved with 5 wt% KNO3-doped Mg(OH)2, thus making it applicable for heat storage in the temperature range of 293–400 °C. Thermodynamic and kinetic studies on this composite material are therefore encouraged to establish its full potential.
Full article

Figure 1
Open AccessArticle
Thermal Management and Optimization of Large-Scale Metal Hydride Reactors for Shipboard Hydrogen Storage and Transport
by
Seth A. Thomas, Vamsi Krishna Kukkapalli and Sunwoo Kim
Energy Storage Appl. 2026, 3(1), 2; https://doi.org/10.3390/esa3010002 - 27 Jan 2026
Abstract
►▼
Show Figures
Hydrogen storage is vital to the development of renewables, especially in low-infrastructure countries. Metal hydrides offer a small but safe solid-state candidate for hydrogen storage at medium pressures and near-ambient temperature, yet large-scale applications face heat-management challenges. In this article, we numerically analyze
[...] Read more.
Hydrogen storage is vital to the development of renewables, especially in low-infrastructure countries. Metal hydrides offer a small but safe solid-state candidate for hydrogen storage at medium pressures and near-ambient temperature, yet large-scale applications face heat-management challenges. In this article, we numerically analyze examples of two large-scale lanthanum pentanickel (LaNi5)-based metal hydride reactor configurations with shell-and-tube heat exchangers. This research studies two large-scale shell-and-tube metal hydride reactor configurations: a tube-side cooling reactor with hydride powder packed in the shell and coolant flowing through internal tubes, and a shell-side cooling reactor using annular hydride pellets with coolant circulating through the shell. The thermal and kinetic performance of these large-scale reactors was simulated using COMSOL Multiphysics (version 6.1) and analyzed under different geometries and operating conditions typical of industrial scales. The tube-side solution provided 90% hydrogen absorption in 1500–2000 s at 30 bar, while the shell-side solution reached the same level of absorption in 430 s at 10 bar. Results show that tube-side cooling has higher storage, while shell-side cooling improves heat removal and kinetics. For energy and maritime transport applications, these findings reveal optimization insights for large-scale, efficient hydrogen storage systems.
Full article

Figure 1
Open AccessArticle
Model-Based Design and Operational Optimization of HPC Waste Heat Recovery and High-Temperature Aquifer Thermal Energy Storage in Existing Energy Infrastructures
by
Niclas Hampel, André Xhonneux and Dirk Müller
Energy Storage Appl. 2026, 3(1), 1; https://doi.org/10.3390/esa3010001 - 6 Jan 2026
Abstract
►▼
Show Figures
The waste heat generated by high-performance computing (HPC) represents an opportunity for advancing the decarbonization of energy systems. Seasonal storage is necessary to regulate the balance between waste heat production and demand. High-temperature aquifer thermal energy storage (HT-ATES) is a particularly well-suited technology
[...] Read more.
The waste heat generated by high-performance computing (HPC) represents an opportunity for advancing the decarbonization of energy systems. Seasonal storage is necessary to regulate the balance between waste heat production and demand. High-temperature aquifer thermal energy storage (HT-ATES) is a particularly well-suited technology for this purpose due to its large storage capacity. However, integrating HT-ATES into energy systems for district heating is complex, affecting existing components. Therefore, this study applies a bi-objective mixed-integer quadratically constrained programming (MIQCP) approach to optimize the energy system at Forschungszentrum Jülich (FZJ) regarding total annualized costs (TAC) and global warming impact (GWI). The exascale computer Jupiter, which is hosted at FZJ, generates a substantial amount of renewable waste heat that is suitable for integration into district heating networks and seasonal storage. Case studies show that HT-ATES integration into the investigated system can reduce GWI by 20% and increase TAC by 1% compared to the reference case. Despite increased TAC from investments and heat pump (HP) operation, summer charging of the HT-ATES remains flexible and cost-effective. An idealized future scenario indicates that HT-ATES with a storage capacity of 16,990 MWh and HPs could cover most of the heating demand, reducing GWI by up to 91% while TAC increases by 6% relative to the reference system.
Full article

Figure 1
Open AccessArticle
Energy, Exergy, Economic, and Environmental (4E) Performance Analysis and Multi-Objective Optimization of a Compressed CO2 Energy Storage System Integrated with ORC
by
Yitong Wu, Chairunnisa, Kyaw Thu and Takahiko Miyazaki
Energy Storage Appl. 2025, 2(4), 18; https://doi.org/10.3390/esa2040018 - 10 Dec 2025
Abstract
►▼
Show Figures
Current CO2-based energy storage systems still face several unsolved technical challenges, including strong thermal destruction between the multi-stage compression and expansion processes, significant exergy destruction in heat exchange units, limited utilization of low-grade heat, and the lack of an integrated comprehensive
[...] Read more.
Current CO2-based energy storage systems still face several unsolved technical challenges, including strong thermal destruction between the multi-stage compression and expansion processes, significant exergy destruction in heat exchange units, limited utilization of low-grade heat, and the lack of an integrated comprehensive performance framework capable of simultaneously evaluating thermodynamic, economic, and environmental performance. Although previous studies have explored various compressed CO2 energy storage (CCES) configurations and CCES–Organic Rankine Cycle (ORC) couplings, most works treat the two subsystems separately, neglect interactions between the heat exchange loops, or overlook the combined effects of exergy losses, cost trade-offs, and CO2-emission reduction. These gaps hinder the identification of optimal operating conditions and limit the system-level understanding needed for practical application. To address these challenges, this study proposes an innovative system that integrates a multi-stage CCES system with ORC. The system introduces ethylene glycol as a dual thermal carrier, coupling waste-heat recovery in the CCES with low-temperature energy utilization in the ORC, while liquefied natural gas (LNG) provides cold energy to improve cycle efficiency. A comprehensive 4E (energy, exergy, economic, and environmental) assessment framework is developed, incorporating thermodynamic modeling, exergy destruction analysis, CEPCI-based cost estimation, and environmental metrics including primary energy saved (PES) and CO2 emission reduction. Sensitivity analyses on the high-pressure tank (HPT) pressure, heat exchanger pinch temperature difference, and pre-expansion pressure of propane (P30) reveal strong nonlinear effects on system performance. A multi-objective optimization combining NSGA-II and TOPSIS identifies the optimal operating condition, achieving 69.6% system exergy efficiency, a 2.07-year payback period, and 1087.3 kWh of primary energy savings. The ORC subsystem attains 49.02% thermal and 62.27% exergy efficiency, demonstrating synergistic effect between the CCES and ORC. The results highlight the proposed CCES–ORC system as a technically and economically feasible approach for high-efficiency, low-carbon energy storage and conversion.
Full article

Figure 1
Open AccessCommunication
CFD and Thermal Simulations of Molten Salt Thermal Storage Heat Exchanger System
by
Alon Davidy
Energy Storage Appl. 2025, 2(4), 17; https://doi.org/10.3390/esa2040017 - 9 Dec 2025
Abstract
►▼
Show Figures
Molten salt heat exchangers are crucial components in systems requiring high-temperature heat transfer and energy storage, especially in renewable energy and advanced nuclear technologies. Their ability to operate efficiently at high temperatures while offering significant energy storage capacity makes them highly valuable in
[...] Read more.
Molten salt heat exchangers are crucial components in systems requiring high-temperature heat transfer and energy storage, especially in renewable energy and advanced nuclear technologies. Their ability to operate efficiently at high temperatures while offering significant energy storage capacity makes them highly valuable in modern energy systems. They have high thermal stability. In the framework of this research, a computational fluid dynamics (CFD) simulation model of the HITEC molten salt cooling system has been developed. HITEC molten salt is a specialized heat transfer and thermal energy storage medium primarily used in industrial processes and solar thermal power plants. It is a eutectic blend of sodium nitrate, sodium nitrite, and potassium nitrate. COMSOL multi-physics code has been employed in this research. It simultaneously solves the fluid flow, energy, and heat conduction transport equations. Two cases have been investigated in this paper: a water flowing velocity of 1 [m/s] and a water flowing velocity of 10 [m/s]. The results indicate that the maximal surface temperature of the Crofer®22 H reached 441.2 °C in the first case. The maximal surface temperature of the Crofer®22 H reached 500 °C in the second case. Crofer®22 H alloy provides excellent steam oxidation, high corrosion resistance, and thermal creep resistance. The proposed HITEC molten thermal system may be applied in the oil and gas industries and in power plants (such as the Organic Rankine Cycle).
Full article

Figure 1
Open AccessArticle
Influence of MXene/MXene-Oxide Heterostructure Chemistry and Structure on Lithium-Ion Battery Anodes and Supercapacitor Electrodes
by
Francis P. Moissinac, Yiannis Georgantas, Yang Sha and Mark A. Bissett
Energy Storage Appl. 2025, 2(4), 16; https://doi.org/10.3390/esa2040016 - 2 Dec 2025
Abstract
►▼
Show Figures
The global decarbonisation strategy has accelerated the shift toward renewable energy and electric transport, demanding advanced electrochemical energy storage systems. Conventional anodes such as graphite and silicon composites face challenges in conductivity, stability and cycling performance. MXenes, a class of two-dimensional (2D) materials,
[...] Read more.
The global decarbonisation strategy has accelerated the shift toward renewable energy and electric transport, demanding advanced electrochemical energy storage systems. Conventional anodes such as graphite and silicon composites face challenges in conductivity, stability and cycling performance. MXenes, a class of two-dimensional (2D) materials, offer promising alternatives owing to their metallic conductivity, tunable surface chemistry and high theoretical capacity. Here, we synthesise and characterise Mo2TiC2Tx and V2CTx (T = O, OH, F and/or Cl) MXenes for lithium-ion battery anodes and supercapacitors. Unlike Ti3C2Tx, which stores charge via intercalation and surface redox reactions, Mo2TiC2Tx and V2CTx exhibit conversion-type mechanisms. We also identify novel V2C–VOx heterostructures, achieving a specific capacitance of 532.4 F g−1 at 2 mV s−1 and an initial capacity of 493.3 mAh g−1 at 50 mA g−1 in lithium half-cells, with a low decay rate of 0.071% per cycle over 200 cycles. Pristine Mo2TiC2Tx shows 391.7 mAh g−1 at 50 mA g−1, decaying by 0.109% per cycle. These results experimentally validate theoretical predictions, revealing how MXene structure and transition metal chemistry govern electrochemical behaviour, thus guiding electrode design for next-generation batteries and supercapacitors.
Full article

Figure 1
Open AccessProject Report
Experimental Thermal Performance of Air-Based and Oil-Based Energy Storage Systems
by
Denis Okello, Jimmy Chaciga, Ole Jorgen Nydal and Karidewa Nyeinga
Energy Storage Appl. 2025, 2(4), 15; https://doi.org/10.3390/esa2040015 - 26 Nov 2025
Abstract
►▼
Show Figures
The paper examines the experimental performance of air–rock bed, oil only, and oil–rock bed systems for storing heat suitable for cooking applications. The air–rock bed system is charged using hot air from a compressed air tank, while the oil–rock bed system employs a
[...] Read more.
The paper examines the experimental performance of air–rock bed, oil only, and oil–rock bed systems for storing heat suitable for cooking applications. The air–rock bed system is charged using hot air from a compressed air tank, while the oil–rock bed system employs a resistive heating element to heat a small volume of oil, which then circulates naturally. The charging process for the oil systems was controlled by adjusting funnel heights, and temperature measurements were taken using thermocouples connected to a data logger. Both systems can store thermal energy ranging from 4.5 kWh to 8 kWh and achieve temperatures between 150 °C and 300 °C, depending on supply temperatures. The simpler oil–rock bed allows for the direct boiling of water using the high temperature produced, and tests indicated comparable boiling times between systems. The findings suggest that these heat storage systems could enhance the advancement and integration of solar cookers, enabling more flexible cooking options.
Full article

Figure 1
Open AccessArticle
Comparative Analysis of Optimal Control and Reinforcement Learning Methods for Energy Storage Management Under Uncertainty
by
Elinor Ginzburg-Ganz, Itay Segev, Yoash Levron, Juri Belikov, Dmitry Baimel and Sarah Keren
Energy Storage Appl. 2025, 2(4), 14; https://doi.org/10.3390/esa2040014 - 17 Oct 2025
Cited by 1
Abstract
►▼
Show Figures
The challenge of optimally controlling energy storage systems under uncertainty conditions, whether due to uncertain storage device dynamics or load signal variability, is well established. Recent research works tackle this problem using two primary approaches: optimal control methods, such as stochastic dynamic programming,
[...] Read more.
The challenge of optimally controlling energy storage systems under uncertainty conditions, whether due to uncertain storage device dynamics or load signal variability, is well established. Recent research works tackle this problem using two primary approaches: optimal control methods, such as stochastic dynamic programming, and data-driven techniques. This work’s objective is to quantify the inherent trade-offs between these methodologies and identify their respective strengths and weaknesses across different scenarios. We evaluate the degradation of performance, measured by increased operational costs, when a reinforcement learning policy is adopted instead of an optimal control policy, such as dynamic programming, Pontryagin’s minimum principle, or the Shortest-Path method. Our study examines three increasingly intricate use cases: ideal storage units, storage units with losses, and lossy storage units integrated with transmission line losses. For each scenario, we compare the performance of a representative optimal control technique against a reinforcement learning approach, seeking to establish broader comparative insights.
Full article

Figure 1
Open AccessCommunication
Techno-Economics of Using Second Life BEV Traction Batteries as BESS in Domestic RES Installations
by
Jacek A. Biskupski
Energy Storage Appl. 2025, 2(3), 13; https://doi.org/10.3390/esa2030013 - 18 Sep 2025
Abstract
►▼
Show Figures
This article analyses the possibility of using Li-ion batteries removed from battery electric vehicles (BEVs) as short-term energy storage devices in a near-zero energy building (nZEB) in conjunction with a rooftop photovoltaic (PV) system. The technical and economic feasibility of this solution was
[...] Read more.
This article analyses the possibility of using Li-ion batteries removed from battery electric vehicles (BEVs) as short-term energy storage devices in a near-zero energy building (nZEB) in conjunction with a rooftop photovoltaic (PV) system. The technical and economic feasibility of this solution was compared to that of a standard commercial LIB (Lithium-Ion battery) BESS Battery Energy Storage System). Two generations of the same BEV model battery were tested to analyse their suitability for powering a building. The necessary changes to the setup of such a battery for building power supply purposes were analysed, as well as its suitability. As a result, analyses of profitability over the predicted life span and NPV (net present value) of SLEVBs (second-life BEV batteries) for building power were carried out. The study also conducted preliminary research on the effectiveness of such projects and their pros and cons in terms of security. The author calculates the profitability of a ready-made PV BESS with a set of SLEVBs, estimating the payback periods for such investments relative to electricity prices in Poland. The article concludes on the potential of SLEVBs to support self-consumption in nZEB buildings and its environmental impact on the European circular economy.
Full article

Figure 1
Open AccessArticle
Methodology for Thermal Analysis in Port Methane Storage
by
José Miguel Mahía-Prados, Ignacio Arias-Fernández and Manuel Romero Gómez
Energy Storage Appl. 2025, 2(3), 12; https://doi.org/10.3390/esa2030012 - 20 Aug 2025
Cited by 1
Abstract
►▼
Show Figures
Methane, transported as Liquefied Natural Gas (LNG) at −163 °C, is becoming the leading fuel in the decarbonization of the maritime sector within the low-carbon fuels. More than 30 years of knowledge has allowed the development of an extensive offshore supply network that
[...] Read more.
Methane, transported as Liquefied Natural Gas (LNG) at −163 °C, is becoming the leading fuel in the decarbonization of the maritime sector within the low-carbon fuels. More than 30 years of knowledge has allowed the development of an extensive offshore supply network that includes regasification plants to store and supply it to the grid, both onshore and offshore. This article first reviews the current state of the sector. Then, the operation of a typical onshore regasification plant and the heat transfer through the storage tanks that causes the generation of boil-off gas (BOG) are analyzed by means of two different methodologies. Finally, and based on the results obtained, the different improvements that can be implemented in this type of installation to improve its energy efficiency and insulation are established, such as, for example, an improvement of more than 4 W/m2 by reinforcing the thickness of the materials of the tank dome.
Full article

Figure 1
Open AccessArticle
Comparative Modeling of Vanadium Redox Flow Batteries Using Multiple Linear Regression and Random Forest Algorithms
by
Ammar Ali, Sohel Anwar and Afshin Izadian
Energy Storage Appl. 2025, 2(3), 11; https://doi.org/10.3390/esa2030011 - 5 Aug 2025
Cited by 1
Abstract
►▼
Show Figures
This paper presents a comparative study of data-driven modeling approaches for vanadium redox flow batteries (VRFBs), utilizing Multiple Linear Regression (MLR) and Random Forest (RF) algorithms. Experimental voltage–capacity datasets from a 1 kW/1 kWh VRFB system were digitized, processed, and used for model
[...] Read more.
This paper presents a comparative study of data-driven modeling approaches for vanadium redox flow batteries (VRFBs), utilizing Multiple Linear Regression (MLR) and Random Forest (RF) algorithms. Experimental voltage–capacity datasets from a 1 kW/1 kWh VRFB system were digitized, processed, and used for model training, validation, and testing. The MLR model, built using eight optimized features, achieved a mean error (ME) of 0.0204 V, a residual sum of squares (RSS) of 8.87, and a root mean squared error (RMSE) of 0.1796 V on the test data, demonstrating high predictive performance in stationary operating regions. However, it exhibited limited accuracy during dynamic transitions. Optimized through out-of-bag (OOB) error minimization, the Random Forest model achieved a training RMSE of 0.093 V and a test RMSE of 0.110 V, significantly outperforming MLR in capturing dynamic behavior while maintaining comparable performance in steady-state regions. The accuracy remained high even at lower current densities. Feature importance analysis and partial dependence plots (PDPs) confirmed the dominance of current-related features and SOC dynamics in influencing VRFB terminal voltage. Overall, the Random Forest model offers superior accuracy and robustness, making it highly suitable for real-time VRFB system monitoring, control, and digital twin integration. This study highlights the potential of combining machine learning algorithms with electrochemical domain knowledge to enhance battery system modeling for future energy storage applications.
Full article

Figure 1
Open AccessProject Report
Analysis of Primary and Secondary Frequency Control Challenges in African Transmission System
by
Julius Abayateye and Daniel J. Zimmerle
Energy Storage Appl. 2025, 2(3), 10; https://doi.org/10.3390/esa2030010 - 8 Jul 2025
Cited by 3
Abstract
►▼
Show Figures
This study analyzed the frequency control challenges within the West Africa Power Pool Interconnected Transmission System (WAPPITS) as it plans to incorporate variable renewable energy (VRE) resources, such as wind and solar energy. Concerns center on the ability of WAPPITS primary frequency control
[...] Read more.
This study analyzed the frequency control challenges within the West Africa Power Pool Interconnected Transmission System (WAPPITS) as it plans to incorporate variable renewable energy (VRE) resources, such as wind and solar energy. Concerns center on the ability of WAPPITS primary frequency control reserves to adapt to high VRE penetration given the synchronization and frequency control problems experienced by the three separate synchronous blocks of WAPPITS. Optimizing solutions requires a better understanding of WAPPITS’ current frequency control approach. This study used questionnaires to understand operators’ practical experience with frequency control and compared these observations to field tests at power plants and frequency response metrics during system events. Eight (8) of ten (10) Transmission System Operators (TSOs) indicated that primary frequency control service was implemented in the TSO, but nine (9) of ten TSOs indicated that the reserves provided were inadequate to meet system needs. Five (5) of ten (10) respondents answered “yes” to the provision of secondary frequency control service, while only one (1) indicated that secondary reserves were adequate. Three (3) TSOs indicated they have AGC (Automatic Generation Control) installed in the control room, but none have implemented it for secondary frequency control. The results indicate a significant deficiency in primary control reserves, resulting in a reliance on under-frequency load shedding for primary frequency control. Additionally, the absence of an AGC system for secondary frequency regulation required manual intervention to restore frequency after events. To ensure the effectiveness of battery energy storage systems (BESSs) and the reliable operation of the WAPPITS with a higher penetration of inverter-based VRE, this paper recommends (a) implementing and enforcing basic primary frequency control structures through regional regulation and (b) establishing an ancillary services market to mobilize secondary frequency control resources.
Full article

Figure 1
Open AccessArticle
AI Predictive Simulation for Low-Cost Hydrogen Production
by
Allan John Butler and Akhtar Kalam
Energy Storage Appl. 2025, 2(3), 9; https://doi.org/10.3390/esa2030009 - 1 Jul 2025
Abstract
►▼
Show Figures
Green hydrogen, produced through renewable-powered electrolysis, has the potential to revolutionize energy systems; however, its widespread adoption hinges on achieving competitive production costs. A critical challenge lies in optimising the hydrogen production process to address solar and wind energy’s high variability and intermittency.
[...] Read more.
Green hydrogen, produced through renewable-powered electrolysis, has the potential to revolutionize energy systems; however, its widespread adoption hinges on achieving competitive production costs. A critical challenge lies in optimising the hydrogen production process to address solar and wind energy’s high variability and intermittency. This paper explores the role of artificial intelligence (AI) in reducing and streamlining hydrogen production costs by enabling advanced process optimisation, focusing on electricity cost management and system-wide efficiency improvements.
Full article

Figure 1
Open AccessReview
Advancing Energy Storage Technologies and Governance in the Asia-Pacific Region: A Review of International Frameworks, Research Insights, and Regional Case Studies
by
Chung-Han Yang and Jack Huang
Energy Storage Appl. 2025, 2(3), 8; https://doi.org/10.3390/esa2030008 - 23 Jun 2025
Cited by 1
Abstract
This review explores the development of energy storage technologies and governance frameworks in the Asia-Pacific region, where rapid economic growth and urbanisation drive the demand for sustainable energy solutions. Energy storage systems (ESS) are integral to balancing renewable energy fluctuations, improving grid resilience,
[...] Read more.
This review explores the development of energy storage technologies and governance frameworks in the Asia-Pacific region, where rapid economic growth and urbanisation drive the demand for sustainable energy solutions. Energy storage systems (ESS) are integral to balancing renewable energy fluctuations, improving grid resilience, and reducing greenhouse gas emissions. This paper examines the role of international organisations, including the United Nations, International Energy Agency (IEA), and International Renewable Energy Agency (IRENA), in promoting energy storage advancements through strategic initiatives, policy frameworks, and funding mechanisms. Regionally, the Asia-Pacific Economic Cooperation (APEC), the Association of Southeast Asian Nations (ASEAN), and the Asian Development Bank (ADB) have launched programs fostering collaboration, technical support, and knowledge sharing. Detailed case studies of Japan, Thailand, and China highlight the diverse policy approaches, technological innovations, and international collaborations shaping energy storage advancements. While Japan emphasises cutting-edge innovation, Thailand focuses on regional integration, and China leads in large-scale deployment and manufacturing. This analysis identifies key lessons from these frameworks and case studies, providing insights into governance strategies, policy implications, and the challenges of scaling energy storage technologies. It offers a roadmap for advancing regional and global efforts toward achieving low-carbon, resilient energy systems aligned with sustainability and climate goals.
Full article
Open AccessReview
Sustainable Management of Energy Storage in Electric Vehicles Involved in a Smart Urban Environment
by
Adel Razek
Energy Storage Appl. 2025, 2(2), 7; https://doi.org/10.3390/esa2020007 - 17 Jun 2025
Cited by 1
Abstract
►▼
Show Figures
Electric vehicles are increasingly being used for green transportation in smart urban mobility, thus protecting environmental biodiversity and the ecosystem. Energy storage by electric vehicle batteries is a critical point of this ecologically responsible transportation. This storage is strongly linked to the different
[...] Read more.
Electric vehicles are increasingly being used for green transportation in smart urban mobility, thus protecting environmental biodiversity and the ecosystem. Energy storage by electric vehicle batteries is a critical point of this ecologically responsible transportation. This storage is strongly linked to the different external managements related to its capacity state. The latter concerns the interconnection of storage to energy resources, charging strategies, and their complexity. In an ideal urban context, charging strategies would use wireless devices. However, these may involve complex frames and unwanted electromagnetic field interferences. The sustainable management of wireless devices and battery state conditions allows for optimized operation and minimized adverse effects. Such management includes the sustainable design of devices and monitoring of complex connected procedures. The present study aims to analyze this management and to highlight the mathematical routines enabling the design and control tasks involved. The investigations involved are closely related to responsible attitude, “One Health”, and twin supervision approaches. The different sections of the article examine the following: electric vehicle in smart mobility, sustainable design and control, electromagnetic exposures, governance of physical and mathematical representation, charging routines, protection against adverse effects, and supervision of complex connected vehicles. The research presented in this article is supported by examples from the literature.
Full article

Figure 1
Open AccessReview
Composite Electrolytes for Supercapacitors
by
Lijun Fu, Qunting Qu, Lili Liu and Rudolf Holze
Energy Storage Appl. 2025, 2(2), 6; https://doi.org/10.3390/esa2020006 - 27 Apr 2025
Cited by 1
Abstract
►▼
Show Figures
Composite electrolytes for applications in electrochemical energy technology, i.e. in batteries and supercapacitors, are gaining increasing attention. In the absence of a commonly accepted definition a ternary combination of materials, e.g. a polymer with an electrolyte salt or electrolyte salt solution and a
[...] Read more.
Composite electrolytes for applications in electrochemical energy technology, i.e. in batteries and supercapacitors, are gaining increasing attention. In the absence of a commonly accepted definition a ternary combination of materials, e.g. a polymer with an electrolyte salt or electrolyte salt solution and a third conductivity-enhancing constituent, is assumed as a definition of a composite electrolyte in the following review. Relevant fundamentals and reported research results up to explanations of the observed effects and improvements are reviewed. Future perspectives and directions of further research are indicated.
Full article

Figure 1
Open AccessProject Report
Integrated Design and Construction of a 50 kW Flexible Hybrid Renewable Power Hydrogen System Testbed
by
Jonathan G. Love, Michelle Gane, Anthony P. O’Mullane and Ian D. R. Mackinnon
Energy Storage Appl. 2025, 2(2), 5; https://doi.org/10.3390/esa2020005 - 21 Mar 2025
Cited by 1
Abstract
►▼
Show Figures
We report on the first stage of an energy systems integration project to develop hybrid renewable energy generation and storage of hydrogen for subsequent use via research-based low regret system testbeds. This study details the design and construction of a flexible plug-and-play hybrid
[...] Read more.
We report on the first stage of an energy systems integration project to develop hybrid renewable energy generation and storage of hydrogen for subsequent use via research-based low regret system testbeds. This study details the design and construction of a flexible plug-and-play hybrid renewable power and hydrogen system testbed with up to 50 kW capacity aimed at addressing and benchmarking the operational parameters of the system as well as key components when commissioned. The system testbed configuration includes three different solar technologies, three different battery technologies, two different electrolyser technologies, hydrogen storage, and a fuel cell for regenerative renewable power. Design constraints include the current limit of an AC microgrid, regulations for grid-connected inverters, power connection inefficiencies, and regulated hazardous area approval. We identify and show the resolution of systems integration challenges encountered during construction that may benefit planning for the emerging pilot, or testbed, configurations at other sites. These testbed systems offer the opportunity for informed decisions on economic viability for commercial-scale industry applications.
Full article

Graphical abstract
Highly Accessed Articles
Latest Books
E-Mail Alert
News
Topics
Topic in
Future Transportation, Machines, Sustainability, Vehicles, ESA
Mobility Engineering and Sustainability
Topic Editors: Adrian Clenci, Ştefan Lucian Tabacu, Silviu Ionita, Nicu Bizon, Eduard Laurenţiu Niţu, Rodica Niculescu, Nicolae-Doru Stănescu, Adriana-Gabriela SchiopuDeadline: 30 November 2026
Topic in
Applied Sciences, Clean Technol., Energies, Sustainability, Thermo, Solar, Batteries, ESA
Clean Energy Technologies and Assessment, 2nd Edition
Topic Editors: Francesco Calise, Maria Vicidomini, Rafał Figaj, Francesco Liberato CappielloDeadline: 31 December 2026
Topic in
Energies, Applied Sciences, Electronics, AI, Electricity, Sci, ESA
Planning, Operation and Control of Low-Carbon Power Systems
Topic Editors: Junhua Zhao, Gaoqi LiangDeadline: 30 April 2027
Topic in
Processes, Sci, Sustainability, Wind, ESA, Applied Sciences, Energies
Advances in Hydraulic, Wind, and Photovoltaic Power Generation Systems
Topic Editors: Chaoshun Li, Xiaoyuan Zhang, Wenlong Fu, Xiangqu XiaoDeadline: 31 July 2027



