cimb-logo

Journal Browser

Journal Browser

The Role of Bioactives in Inflammation, 2nd Edition

A special issue of Current Issues in Molecular Biology (ISSN 1467-3045). This special issue belongs to the section "Biochemistry, Molecular and Cellular Biology".

Deadline for manuscript submissions: 31 October 2026 | Viewed by 13976

Special Issue Editor

Special Issue Information

Dear Colleagues,

An inflammatory response is a complex physiological defense mechanism of the body against harmful stimuli. However, a prolonged, excessive inflammatory response may damage the body in the long term and lead to chronic diseases. Recent studies suggest that natural bioactives play a crucial role in inflammation and disease, helping reduce the risks associated with inflammatory diseases, improving the state of wellbeing, and even improving the quality of life. Furthermore, different research models and methodologies can demonstrate the effectiveness and explain the biological mechanisms of such bioactives for inflammatory diseases. In this Special Issue, we welcome articles highlighting the current status of anti-inflammatory compounds, natural products, synthesized compounds, novel mechanisms, and targets of anti-inflammation.

Dr. Chan-Yen Kuo
Guest Editor

Manuscript Submission Information

Manuscripts should be submitted online at www.mdpi.com by registering and logging in to this website. Once you are registered, click here to go to the submission form. Manuscripts can be submitted until the deadline. All submissions that pass pre-check are peer-reviewed. Accepted papers will be published continuously in the journal (as soon as accepted) and will be listed together on the special issue website. Research articles, review articles as well as short communications are invited. For planned papers, a title and short abstract (about 250 words) can be sent to the Editorial Office for assessment.

Submitted manuscripts should not have been published previously, nor be under consideration for publication elsewhere (except conference proceedings papers). All manuscripts are thoroughly refereed through a single-blind peer-review process. A guide for authors and other relevant information for submission of manuscripts is available on the Instructions for Authors page. Current Issues in Molecular Biology is an international peer-reviewed open access monthly journal published by MDPI.

Please visit the Instructions for Authors page before submitting a manuscript. The Article Processing Charge (APC) for publication in this open access journal is 2200 CHF (Swiss Francs). Submitted papers should be well formatted and use good English. Authors may use MDPI's English editing service prior to publication or during author revisions.

Keywords

  • anti-inflammation
  • bioactives
  • drug research and development
  • inflammatory diseases
  • natural products
  • signaling
  • synthesized compounds

Benefits of Publishing in a Special Issue

  • Ease of navigation: Grouping papers by topic helps scholars navigate broad scope journals more efficiently.
  • Greater discoverability: Special Issues support the reach and impact of scientific research. Articles in Special Issues are more discoverable and cited more frequently.
  • Expansion of research network: Special Issues facilitate connections among authors, fostering scientific collaborations.
  • External promotion: Articles in Special Issues are often promoted through the journal's social media, increasing their visibility.
  • Reprint: MDPI Books provides the opportunity to republish successful Special Issues in book format, both online and in print.

Further information on MDPI's Special Issue policies can be found here.

Published Papers (11 papers)

Order results
Result details
Select all
Export citation of selected articles as:

Editorial

Jump to: Research, Review, Other

3 pages, 156 KB  
Editorial
Editorial for the Special Issue “The Role of Bioactives in Inflammation, 2nd Edition”
by Chan-Yen Kuo
Curr. Issues Mol. Biol. 2026, 48(5), 539; https://doi.org/10.3390/cimb48050539 - 21 May 2026
Abstract
Inflammation is increasingly recognized as a dynamic and interconnected regulatory network rather than a linear signaling cascade, in which immune signaling, oxidative stress, metabolic adaptation, and tissue-specific microenvironmental factors collectively shape inflammatory responses [...] Full article
(This article belongs to the Special Issue The Role of Bioactives in Inflammation, 2nd Edition)

Research

Jump to: Editorial, Review, Other

17 pages, 2047 KB  
Communication
Pyrogallol Contributes to the Anti-Allergic and Anti-Inflammatory Activities of Rosebud Extracts of Newly Crossbred Roses
by In-Jeong Kim, Khan-Erdene Tsolmon, Zolzaya Bavuu, Seung Tae Kim, Solar Sora Kim, Dongsun Park, Yeon Jae Jo, Heon-Sang Jeong and Yun-Bae Kim
Curr. Issues Mol. Biol. 2026, 48(5), 448; https://doi.org/10.3390/cimb48050448 - 25 Apr 2026
Viewed by 217
Abstract
Since chemical anti-allergic compounds have adverse effects, many investigators pay attention to relatively safe natural products. Twenty-four newly crossbred rosebuds were extracted with 80% ethanol and analyzed for polyphenols, flavonoids, tannins, proanthocyanidins, and pyrogallol (1,2,3-benzenetriol). The extracts’ antioxidative, anti-allergic, and anti-inflammatory activities were [...] Read more.
Since chemical anti-allergic compounds have adverse effects, many investigators pay attention to relatively safe natural products. Twenty-four newly crossbred rosebuds were extracted with 80% ethanol and analyzed for polyphenols, flavonoids, tannins, proanthocyanidins, and pyrogallol (1,2,3-benzenetriol). The extracts’ antioxidative, anti-allergic, and anti-inflammatory activities were assessed in vitro and in vivo. Among candidates, Lover Shy, Pretty Velvet, Ice Wing, Red Perfume, Onnuri, Jaemina Red, and Hanggina were found to possess high concentrations of antioxidant components and antioxidative activity. By comparison, Pretty Velvet, Red Perfume, Jaemina Red, Hanggina, Onnuri, and Ice Wing were highly effective in anti-allergic and anti-inflammatory activities in vitro, in parallel with their concentrations of pyrogallol. Their anti-allergic effects were confirmed in mice: The six extracts protected against Compound 48/80-induced mortality and scratching behaviors in a dose-dependent manner. The allergen-induced increases in serum IgE and histamine, as well as inflammatory cytokines, tumor-necrosis factor-α, and interleukin-1β, were remarkably attenuated following treatment with the rosebud extracts. These findings suggest that the extracts and active ingredients from cross-bred rosebuds exert anti-allergic and anti-inflammatory activities through their high levels of pyrogallol and antioxidants, and that they could be promising candidates to overcome allergic responses such as atopic dermatitis. Full article
(This article belongs to the Special Issue The Role of Bioactives in Inflammation, 2nd Edition)
Show Figures

Figure 1

20 pages, 5261 KB  
Article
Formulation of Blumea balsamifera, Anredera cordifolia, and Phyllanthus niruri Extracts as Potential Anti-Inflammatory Agents
by Siti Martinah Pajriah, Dyah Iswantini, Henny Purwaningsih, Banaz Jalil, Min Rahminiwati and Novriyandi Hanif
Curr. Issues Mol. Biol. 2026, 48(4), 405; https://doi.org/10.3390/cimb48040405 - 15 Apr 2026
Cited by 1 | Viewed by 410
Abstract
Inflammation is an immune response to foreign substances, pathogens, and cellular damage, characterized by redness, pain, and swelling. The use of synthetic anti-inflammatory drugs may cause adverse side effects, prompting the need for natural alternatives. This study aimed to evaluate the total flavonoid [...] Read more.
Inflammation is an immune response to foreign substances, pathogens, and cellular damage, characterized by redness, pain, and swelling. The use of synthetic anti-inflammatory drugs may cause adverse side effects, prompting the need for natural alternatives. This study aimed to evaluate the total flavonoid content and anti-inflammatory activity of single and combined extracts of sembung (Blumea balsamifera) [S], binahong (Anredera cordifolia) [B], and meniran (Phyllanthus niruri) [M] leaves. Extraction was performed using a 70% ethanol and water solution. Total flavonoid content was determined spectrophotometrically using quercetin as the standard. LC-HR-MS/MS results showed the presence of flavonoids, terpenoids, phenolics, and amino acids in each single extract (S, B, and M). Anti-inflammatory activity was assessed through the inhibition of albumin denaturation and the inhibition of cyclooxygenase-2 (COX-2). The highest flavonoid content (35.27 mg QE/g DW) in single extracts was found in B of the ethanolic extract, while the highest flavonoid content (40.24 mg QE/g DW) in all formulations was discovered in a combination of the ethanolic extract S:B:M (1:0:1). Moreover, the ethanolic extract S:B:M (1:0:1) gave the strongest inhibition (76.47%) of the albumin denaturation at 300 µg/mL and the strongest inhibition (98.5%) of the COX-2 inhibition at 100 µg/mL. Sembung extract was highest for reducing the expression of pro-inflammatory cytokines and TNF-α was 97.66% at an extract concentration of 15.625 ppm. As for S, S:B:M (1:0:1) and S:B:M (1:1:1) can reduce the expression of pro-inflammatory cytokines, as IL-6 was 100% in 0 pg/mL at an extract concentration of 15.625 ppm. Full article
(This article belongs to the Special Issue The Role of Bioactives in Inflammation, 2nd Edition)
Show Figures

Figure 1

16 pages, 3774 KB  
Article
Oral and Intranasal Administration of Polydeoxyribonucleotide Isolated from Porphyra sp. Ameliorates Acute Lung Injury via Suppressing Proinflammatory Cytokine Production in Mice
by Ga-Young Lee, Won Se Lee, Jisung Han and Yung-Choon Yoo
Curr. Issues Mol. Biol. 2026, 48(2), 187; https://doi.org/10.3390/cimb48020187 - 6 Feb 2026
Viewed by 787
Abstract
Acute lung injury (ALI) is a severe inflammatory condition with high mortality rates, necessitating the development of effective therapeutic agents. Polydeoxyribonucleotide (PDRN), a DNA-derived compound known for its tissue repair and anti-inflammatory properties, has gained attention as a potential therapeutic agent. However, the [...] Read more.
Acute lung injury (ALI) is a severe inflammatory condition with high mortality rates, necessitating the development of effective therapeutic agents. Polydeoxyribonucleotide (PDRN), a DNA-derived compound known for its tissue repair and anti-inflammatory properties, has gained attention as a potential therapeutic agent. However, the efficacy of PDRN derived from marine sources, particularly Porphyra sp. (laver), remains unexplored in respiratory inflammation. In this study, we investigated the protective effects of Porphyra sp.-derived PDRN (Ps-PDRN) against LPS-induced ALI in mice through two administration routes: intranasal (IN) and oral (PO). Ps-PDRN treatment significantly attenuated fever, pulmonary edema, and histopathological changes in LPS-challenged mice. Both IN and PO administration of Ps-PDRN markedly reduced proinflammatory cytokines (TNF-α, IL-1β, and IL-6) and chemokines (MCP-1, RANTES, CXCL1, and MIP-2) in bronchoalveolar lavage fluid (BALF) and serum. Comparative analysis of the two administration routes revealed distinct efficacy profiles, with oral administration demonstrating superior chemokine inhibition, while intranasal delivery showed advantages in certain cytokine suppression. Histological examination revealed that Ps-PDRN preserved alveolar architecture and reduced inflammatory cell infiltration. Furthermore, in vitro studies using RAW 264.7 macrophages demonstrated that Ps-PDRN inhibited LPS-induced production of proinflammatory cytokines, such as TNF-α and IL-6, in a dose-dependent manner. These findings suggest that Ps-PDRN exerts potent anti-inflammatory effects against ALI through both local and systemic administration routes, highlighting its potential as a novel therapeutic agent for inflammatory lung diseases. Full article
(This article belongs to the Special Issue The Role of Bioactives in Inflammation, 2nd Edition)
Show Figures

Figure 1

27 pages, 3257 KB  
Article
Combined Prebiotic Extract of Mung Bean, Red Bean, and Fennel Improves Intestinal Barrier Integrity in HT-29 Cells and DSS-Induced Colitis via Gut Microbiota Alteration
by Chul Sang Lee, Woo-Young Jang, Ju-Yeon Kim, Myung-Hyun Lee, Sung-Joon Mo, Yong-Tae Kim, Jae-Jung Shim and Jae-Hwan Lee
Curr. Issues Mol. Biol. 2026, 48(1), 32; https://doi.org/10.3390/cimb48010032 - 26 Dec 2025
Cited by 1 | Viewed by 937
Abstract
Inflammatory bowel disease (IBD) involves chronic inflammation and disruption of the intestinal barrier, often accompanied by alterations in gut microbiota composition. This study examined the protective potential of a prebiotic mixture extract (PME) prepared from Vigna radiata (mung bean), Vigna angularis (red bean), [...] Read more.
Inflammatory bowel disease (IBD) involves chronic inflammation and disruption of the intestinal barrier, often accompanied by alterations in gut microbiota composition. This study examined the protective potential of a prebiotic mixture extract (PME) prepared from Vigna radiata (mung bean), Vigna angularis (red bean), and Foeniculum vulgare (fennel) using the HT-29 cell and colitis animal model. PME exhibited concentration-dependent antioxidant activity, with greater radical-scavenging capacity in the ABTS assay than in the DPPH assay. In LPS-stimulated HT-29 epithelial cells, PME reduced the mRNA expression of inflammation-associated genes (TNF-α, IL-1β, NF-κB) and upregulated tight junction markers (CLDN1 and OCLN), demonstrating its anti-inflammatory and supportive effects on the intestinal barrier. Vitexin, a C-glycosylated flavonoid, was detected in PME and is expected to mediate these protective effects. In a DSS-induced colitis mouse model, PME administration alleviated disease severity by increasing colon length, reducing serum levels of inflammatory cytokines and COX-2/PGE2, and restoring intestinal permeability. Furthermore, PME modulated the gut microbiota by enhancing beneficial bacteria such as Bifidobacterium and Faecalibaculum while suppressing inflammation-associated taxa, including Escherichia, Bacteroides, and Mucispirillum. These improvements collectively suggest that PME reinforces epithelial barrier integrity and promotes intestinal homeostasis through both anti-inflammatory and microbiota-regulating actions. Full article
(This article belongs to the Special Issue The Role of Bioactives in Inflammation, 2nd Edition)
Show Figures

Graphical abstract

21 pages, 5168 KB  
Article
Antioxidant and Anti-Inflammatory Activities from Optimum Formula of Spatholobus littoralis Hassk. and Sauropus androgynus L.: In Vitro and In Silico Studies
by Rut Novalia Rahmawati Sianipar, Dyah Iswantini, Charlena Charlena, Setyanto Tri Wahyudi, Joni Prasetyo and Trivadila Trivadila
Curr. Issues Mol. Biol. 2025, 47(12), 969; https://doi.org/10.3390/cimb47120969 - 21 Nov 2025
Cited by 2 | Viewed by 1079
Abstract
This study aimed to optimize a formulation of Spatholobus littoralis Hassk. stems and Sauropus androgynus L. leaves using Simple Lattice Design (SLD). In this context, the response variable was DPPH (2,2-Diphenyl-1-picrylhydrazyl) antioxidant activity, while the optimum extract concentration of the two plants served [...] Read more.
This study aimed to optimize a formulation of Spatholobus littoralis Hassk. stems and Sauropus androgynus L. leaves using Simple Lattice Design (SLD). In this context, the response variable was DPPH (2,2-Diphenyl-1-picrylhydrazyl) antioxidant activity, while the optimum extract concentration of the two plants served as the experimental factor. Subsequently, the optimum formula was investigated for its in vitro anti-inflammatory activity against COX-2 (cyclooxygenase-2) and through in silico study. Molecular docking on the COX-2 receptor (PDB ID: 5IKQ) from the secondary metabolite profile was validated for the optimum formula. The formulation recommended by SLD comprised a 1:1 mixture of 70% ethanol extract of S. littoralis Hassk. stems and S. androgynus L. leaves. This optimum formula had an IC50 value of 108.70 µg/mL for the DPPH antioxidant with a synergistic effect due to the production of higher COX-2 inhibitory activity (73.05 ± 2.36%) than the single extract at 100 µg/mL. Daidzein (−8.514 kcal/mol), (10E,12Z)-9-Hydroperoxy-10,12-octadecadienoic acid (−7.604 kcal/mol), arteannuic acid (−7.114 kcal/mol), L-Proline,4-hydroxy-5-oxo-4-(tetrahydro-2,3,4-trihydroxy-2-furanyl)- (−6.480 kcal/mol), and Androst-2-en-17-amine,4,4-dimethyl-N-(2-phenylethyl)-, (5.alpha.)- (−5.440 kcal/mol) were the five compounds from the 70% ethanol extract of S. littoralis Hassk. stems and S. androgynus L. leaves that strongly bound 5IKQ. These compounds were obtained from five groups of compounds, namely flavonoids, fatty acids, terpenoids, amino acid derivatives, and amine derivatives. The formulation of S. littoralis Hassk. and S. androgynus L. extract has potential as an antioxidant and anti-inflammatory agent. Full article
(This article belongs to the Special Issue The Role of Bioactives in Inflammation, 2nd Edition)
Show Figures

Figure 1

9 pages, 1762 KB  
Article
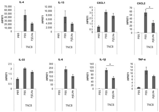
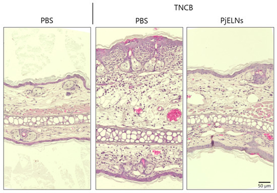
Peucedanum japonicum-Derived Exosome-like Nanovesicles Alleviate Contact Dermatitis
by Yusuke Yamazumi, Tomoatsu Hayashi, Takuya Kojima, Takeaki Oda, Yasunari Kageyama, Tsutomu Nakamura, Yuki Kamoshida and Tetsu Akiyama
Curr. Issues Mol. Biol. 2025, 47(11), 909; https://doi.org/10.3390/cimb47110909 - 1 Nov 2025
Cited by 1 | Viewed by 939
Abstract
Contact dermatitis is a common inflammatory skin disorder triggered by exposure to allergens or irritants and characterized by erythema, swelling, and immune cell infiltration. In this study, we investigated the anti-inflammatory effects of exosome-like nanovesicles derived from Peucedanum japonicum Thunb. (PjELNs) using a [...] Read more.
Contact dermatitis is a common inflammatory skin disorder triggered by exposure to allergens or irritants and characterized by erythema, swelling, and immune cell infiltration. In this study, we investigated the anti-inflammatory effects of exosome-like nanovesicles derived from Peucedanum japonicum Thunb. (PjELNs) using a 2,4,6-trinitrochlorobenzene (TNCB)-induced mouse model of contact dermatitis. Intraperitoneal administration of PjELNs markedly reduced ear swelling and histopathological damage and decreased infiltration of inflammatory immune cells, particularly neutrophils. Moreover, PjELNs downregulated the expression of key pro-inflammatory cytokines, including CXCL2 and IL-1β, in the affected tissue. These findings indicate that PjELNs alleviate contact dermatitis-associated inflammation and suggest their potential as a novel plant-derived therapeutic modality for inflammatory skin diseases. Full article
(This article belongs to the Special Issue The Role of Bioactives in Inflammation, 2nd Edition)
Show Figures

Figure 1

16 pages, 27038 KB  
Article
HCX3 Mitigates LPS-Induced Inflammatory Responses in Macrophages by Suppressing the Activation of the NF-κB Signaling Pathway
by Qianyi Wu, Jiyuan Shi, Luojin Wu, Lingxi Li, Yong Ling, Liming Mao and Jie Zhang
Curr. Issues Mol. Biol. 2025, 47(10), 809; https://doi.org/10.3390/cimb47100809 - 1 Oct 2025
Cited by 1 | Viewed by 2171
Abstract
Acute lung injury (ALI) is a severe pulmonary disorder characterized by the disruption of the alveolar–capillary barrier, leading to impaired oxygenation and pulmonary edema. Current pharmacological interventions primarily involve the use of steroid drugs, oxygen radical scavengers, and bronchodilators. However, the therapeutic efficacy [...] Read more.
Acute lung injury (ALI) is a severe pulmonary disorder characterized by the disruption of the alveolar–capillary barrier, leading to impaired oxygenation and pulmonary edema. Current pharmacological interventions primarily involve the use of steroid drugs, oxygen radical scavengers, and bronchodilators. However, the therapeutic efficacy of these interventions remains inconsistent. Canthin-6-ones, a class of tryptophan-derived alkaloids, exhibit anti-inflammatory, antioxidant, and immunomodulatory properties. In this study, we synthesized a novel Canthin-6-one derivative, namely HCX3, and evaluated its potential beneficial effects and underlying mechanisms on ALI. Prior to the experimental study, network pharmacology analysis revealed that HCX3 may exert anti-inflammatory effects in the context of ALI through the regulation of multiple signaling pathways, including the NF-κB pathways. To validate these findings, Lipopolysaccharide (LPS) was employed to stimulate RAW 264.7 macrophages and bone marrow-derived macrophages (BMDMs) to construct cellular models of inflammatory response associated with ALI. Our data demonstrated that exposure to HCX3 significantly inhibited the transcription and the secretion of multiple pro-inflammatory mediators, including IL-1β, IL-6, and TNF-α, in a dose-dependent manner. Additionally, HCX3 reduced LPS-induced phosphorylation levels of p65 and IκB-α in macrophages, indicating an inhibitory effect of the compound on the activation of NF-κB signaling pathway. Collectively, our data suggest that HCX3 exhibits significant anti-inflammatory effects by inhibiting NF-κB-related signaling pathways, providing new insights for ALI treatment. Full article
(This article belongs to the Special Issue The Role of Bioactives in Inflammation, 2nd Edition)
Show Figures

Figure 1

18 pages, 4537 KB  
Article
Colostrum-Derived Exosomal Lactoferrin Promotes Skin Fibroblast Regeneration by Suppressing Inflammatory Responses
by Chu-Hsun Cheng, Wei-Jer Hong, Chien-Nien Li, Yung-Hsueh Huang, Jeng-Haw Tsai, Chih-Yuan Huang, Jen-Chin Wu, Chan-Yen Kuo and Wen-Chun Kuo
Curr. Issues Mol. Biol. 2025, 47(7), 549; https://doi.org/10.3390/cimb47070549 - 15 Jul 2025
Cited by 4 | Viewed by 3027
Abstract
Lactoferrin (LF), a multifunctional glycoprotein found abundantly in bovine colostrum, is known for its regenerative and anti-inflammatory properties. In this study, we investigated the wound healing and immunomodulatory effects of colostrum-derived exosome-encapsulated lactoferrin (EV-exoLF) on dermal fibroblasts. EV-exoLF was isolated and characterized via [...] Read more.
Lactoferrin (LF), a multifunctional glycoprotein found abundantly in bovine colostrum, is known for its regenerative and anti-inflammatory properties. In this study, we investigated the wound healing and immunomodulatory effects of colostrum-derived exosome-encapsulated lactoferrin (EV-exoLF) on dermal fibroblasts. EV-exoLF was isolated and characterized via nanoparticle tracking analysis and flow cytometry. Functional assays demonstrated that EV-exoLF significantly promoted fibroblast viability and migration in both mouse NIH/3T3 and human HS-68 cell lines. Furthermore, EV-exoLF reduced the expression of pro-inflammatory cytokines (IL-1 and IL-6) and phosphorylated JNK in lipopolysaccharide (LPS)-treated fibroblasts. These findings suggest that EV-exoLF not only enhances fibroblast-mediated wound closure but also mitigates inflammation, highlighting its therapeutic potential in skin regeneration. Colostrum-derived exosomal lactoferrin may serve as a promising natural, cell-free strategy for managing inflammatory skin conditions and improving wound healing outcomes. Full article
(This article belongs to the Special Issue The Role of Bioactives in Inflammation, 2nd Edition)
Show Figures

Graphical abstract

Review

Jump to: Editorial, Research, Other

20 pages, 918 KB  
Review
Lights and Shadows of Essential Oil-Derived Compounds: Antimicrobial and Anti-Inflammatory Properties of Eugenol, Thymol, Cinnamaldehyde, and Carvacrol
by Rocco Latorre, Maria Chiara Valerii, Marco Benati, Russell Edward Lewis, Renato Spigarelli, Alberto Bernacchi, Giuseppe Lippi, Enzo Spisni and Paolo Gaibani
Curr. Issues Mol. Biol. 2025, 47(11), 915; https://doi.org/10.3390/cimb47110915 - 4 Nov 2025
Cited by 8 | Viewed by 3470
Abstract
Essential oil-derived compounds such as eugenol, thymol, cinnamaldehyde, and carvacrol exhibit potent antimicrobial and anti-inflammatory properties, making them promising candidates for therapeutic and industrial applications. This review examines the current evidence regarding the mechanisms of action, efficacy, and ability to disrupt quorum sensing [...] Read more.
Essential oil-derived compounds such as eugenol, thymol, cinnamaldehyde, and carvacrol exhibit potent antimicrobial and anti-inflammatory properties, making them promising candidates for therapeutic and industrial applications. This review examines the current evidence regarding the mechanisms of action, efficacy, and ability to disrupt quorum sensing and biofilm formation of essential oil-derived compounds against a broad spectrum of Gram-positive and Gram-negative bacteria, including multidrug-resistant (MDR) strains. The anti-inflammatory activity of these compounds is also highlighted, with emphasis on their modulation of key signaling pathways such as nuclear factor-kappa B (NF-κB) and mitogen-activated protein kinases (MAPKs), and their ability to downregulate pro-inflammatory cytokines. However, challenges persist, including cytotoxicity at high concentrations, chemical instability, poor water solubility, and variable pharmacokinetics. Advanced delivery systems such as nano encapsulation and synergistic formulations offer potential strategies to overcome these limitations. This review highlights both the therapeutic potential and the current limitations of these natural compounds, emphasizing the need for continued research to translate preclinical findings into clinical applications. Full article
(This article belongs to the Special Issue The Role of Bioactives in Inflammation, 2nd Edition)
Show Figures

Figure 1

Other

8 pages, 873 KB  
Brief Report
Angelic Acid Prevents RANKL-Induced Osteoclastogenesis Through Pathway-Biased Inhibition of MAPK–NFATc1 Signaling
by Lifang Zhang, Mojtaba Tabandeh and Vishwa Deepak
Curr. Issues Mol. Biol. 2026, 48(4), 412; https://doi.org/10.3390/cimb48040412 - 17 Apr 2026
Viewed by 341
Abstract
Excessive osteoclast activity drives inflammatory bone loss in osteoporosis, rheumatoid arthritis, and periodontitis. Natural compounds represent promising therapeutic candidates with favorable safety profiles; however, few exhibit pathway-biased mechanisms of action. Here, we report that angelic acid (AA), a naturally occurring unsaturated monocarboxylic acid, [...] Read more.
Excessive osteoclast activity drives inflammatory bone loss in osteoporosis, rheumatoid arthritis, and periodontitis. Natural compounds represent promising therapeutic candidates with favorable safety profiles; however, few exhibit pathway-biased mechanisms of action. Here, we report that angelic acid (AA), a naturally occurring unsaturated monocarboxylic acid, potently inhibits RANKL-induced osteoclastogenesis. This effect occurs with an IC50 of 1.9 µM without cytotoxicity. Mechanistically, AA selectively suppressed RANKL-activated phosphorylation of ERK1/2, p38, and JNK (all three MAPK branches), while leaving NF-κB transcriptional activity unaffected. This preferential MAPK suppression disrupted downstream NFATc1 nuclear translocation, thereby preventing NFATc1-driven transcription of osteoclast-specific effector genes including TRAP, cathepsin K, and Atp6v0d2. These findings identify AA as a novel inhibitor of the RANKL–MAPK–NFATc1 axis, providing a mechanistic foundation for its therapeutic development in osteoporosis and other osteolytic diseases. Full article
(This article belongs to the Special Issue The Role of Bioactives in Inflammation, 2nd Edition)
Show Figures

Figure 1

Back to TopTop