Strategies for the Design of Hybrid-Based Antimicrobial Compounds
A special issue of Antibiotics (ISSN 2079-6382). This special issue belongs to the section "Novel Antimicrobial Agents".
Deadline for manuscript submissions: 31 January 2027 | Viewed by 7279
Special Issue Editors
Interests: natural product chemistry; organic synthesis; hybrid compounds; antimicrobial compounds; anticancer compounds; phytochemicals and their derivatives; medicinal chemistry
Interests: polymers; nanoparticles; wound dressings; skin regeneration; nanofibers; membranes; hydrogels; essential oils; anticancer drugs; antimalarials
Special Issues, Collections and Topics in MDPI journals
Interests: polymer-based materials; wound dressings; drug delivery systems; nanocarriers; drug discovery and design; organic synthesis of drug molecules (antimalarials, antimicrobials, anticancer)
Special Issues, Collections and Topics in MDPI journals
Special Issue Information
Dear Colleagues,
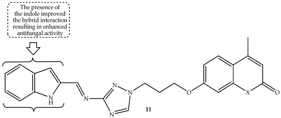
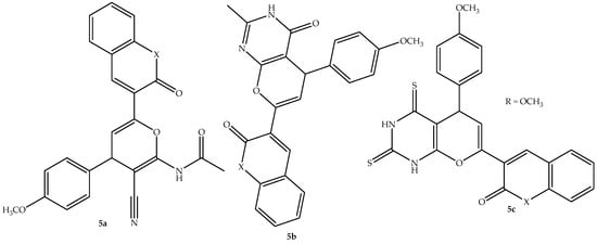
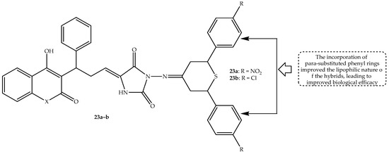
The need for innovative therapeutic strategies to enhance patient outcomes has increased due to the rising threat of multidrug-resistant (MDR) pathogens. In the design of antimicrobial drugs, hybrid molecules containing two or more pharmacophores have emerged as a promising drug design strategy to overcome the issue of MDR. These hybrid molecules display high potential to offer better pharmacokinetic characteristics, suppress resistance mechanisms, and enhance therapeutic outcomes.
The aim of this Special Issue is to provide a platform for researchers working on the synthesis, pharmacological evaluation, and mechanistic investigations of synthetic or plant-based hybrid antimicrobial drugs to publish their findings. Authors are invited to contribute their original research articles, reviews, and communications focusing on innovative hybrid molecules targeting bacterial, fungal, and viral infections.
Dr. Vuyolwethu Khwaza
Dr. Sibusiso Alven
Prof. Dr. Blessing Atim Aderibigbe
Guest Editors
Manuscript Submission Information
Manuscripts should be submitted online at www.mdpi.com by registering and logging in to this website. Once you are registered, click here to go to the submission form. Manuscripts can be submitted until the deadline. All submissions that pass pre-check are peer-reviewed. Accepted papers will be published continuously in the journal (as soon as accepted) and will be listed together on the special issue website. Research articles, review articles as well as short communications are invited. For planned papers, a title and short abstract (about 250 words) can be sent to the Editorial Office for assessment.
Submitted manuscripts should not have been published previously, nor be under consideration for publication elsewhere (except conference proceedings papers). All manuscripts are thoroughly refereed through a single-blind peer-review process. A guide for authors and other relevant information for submission of manuscripts is available on the Instructions for Authors page. Antibiotics is an international peer-reviewed open access monthly journal published by MDPI.
Please visit the Instructions for Authors page before submitting a manuscript. The Article Processing Charge (APC) for publication in this open access journal is 2900 CHF (Swiss Francs). Submitted papers should be well formatted and use good English. Authors may use MDPI's English editing service prior to publication or during author revisions.
Keywords
- hybrid compounds
- antimicrobial agents
- antibacterial agents
- antifungal activity
- antiviral activity
- in vitro evaluation
- structure–activity relationship (SAR)
- bioactive molecules
- nanoformulations
- targeted drug delivery
- pharmacological screening
- clinical studies
Benefits of Publishing in a Special Issue
- Ease of navigation: Grouping papers by topic helps scholars navigate broad scope journals more efficiently.
- Greater discoverability: Special Issues support the reach and impact of scientific research. Articles in Special Issues are more discoverable and cited more frequently.
- Expansion of research network: Special Issues facilitate connections among authors, fostering scientific collaborations.
- External promotion: Articles in Special Issues are often promoted through the journal's social media, increasing their visibility.
- Reprint: MDPI Books provides the opportunity to republish successful Special Issues in book format, both online and in print.
Further information on MDPI's Special Issue policies can be found here.


