Diseases Diagnosis, Prevention and Weeds Control in Crops—2nd Edition

A special issue of Agriculture (ISSN 2077-0472). This special issue belongs to the section "Crop Protection, Diseases, Pests and Weeds".

Deadline for manuscript submissions: closed (31 March 2026) | Viewed by 6933

Special Issue Editor

Institute of Plant Protection, Chinese Academy of Agricultural Sciences, Beijing 100193, China
Interests: crop diseases; weed control; molecular approaches; identification and quantification; soil disinfestation; biocontrol agents; application equipment; crop growth and yield
Special Issues, Collections and Topics in MDPI journals

Special Issue Information

Dear Colleagues,

At present, crop diseases represent the main problem facing agricultural production, and the rapid diagnosis and identification of crop diseases are particularly important. Molecular biological diagnosis and identification and quantitative methods are widely used; these can identify pathogens at the early stage of crop disease and facilitate timely prevention and control measures. Soil disinfection is an effective measure used to tackle soil-borne diseases in protected areas. Over time, a range of soil disinfection technologies, products, and equipment have been improved and applied to tomatoes, cucumbers, peppers, and other vegetable crops and field crops. In addition, a combination of these biological control measures can be used to prevent infection by pathogens, reducing the occurrence of diseases and economic losses. Another important issue in crop growth and yield in agricultural production is weed control. Effective control measures, application equipment, and methods of improving crop growth and yield constitute a key focus for researchers.

This Special Issue will represent a continuation of the previous edition and will include interdisciplinary studies that discuss agriculture across the disciplines of biology, chemistry, and engineering. Research articles will cover a broad range of crops, including vegetable crops and ornamental and medical plants, as well as field crops. All types of articles, including original research, opinions, and reviews, are welcome.

Dr. Yuan Li
Guest Editor

Manuscript Submission Information

Manuscripts should be submitted online at www.mdpi.com by registering and logging in to this website. Once you are registered, click here to go to the submission form. Manuscripts can be submitted until the deadline. All submissions that pass pre-check are peer-reviewed. Accepted papers will be published continuously in the journal (as soon as accepted) and will be listed together on the special issue website. Research articles, review articles as well as short communications are invited. For planned papers, a title and short abstract (about 250 words) can be sent to the Editorial Office for assessment.

Submitted manuscripts should not have been published previously, nor be under consideration for publication elsewhere (except conference proceedings papers). All manuscripts are thoroughly refereed through a single-blind peer-review process. A guide for authors and other relevant information for submission of manuscripts is available on the Instructions for Authors page. Agriculture is an international peer-reviewed open access semimonthly journal published by MDPI.

Please visit the Instructions for Authors page before submitting a manuscript. The Article Processing Charge (APC) for publication in this open access journal is 2600 CHF (Swiss Francs). Submitted papers should be well formatted and use good English. Authors may use MDPI's English editing service prior to publication or during author revisions.

Keywords

  • crop diseases
  • weed control
  • molecular approaches
  • identification and quantification
  • soil disinfestation
  • biocontrol agents
  • application equipment
  • crop growth and yield

Benefits of Publishing in a Special Issue

  • Ease of navigation: Grouping papers by topic helps scholars navigate broad scope journals more efficiently.
  • Greater discoverability: Special Issues support the reach and impact of scientific research. Articles in Special Issues are more discoverable and cited more frequently.
  • Expansion of research network: Special Issues facilitate connections among authors, fostering scientific collaborations.
  • External promotion: Articles in Special Issues are often promoted through the journal's social media, increasing their visibility.
  • Reprint: MDPI Books provides the opportunity to republish successful Special Issues in book format, both online and in print.

Further information on MDPI's Special Issue policies can be found here.

Related Special Issue

Published Papers (6 papers)

Order results
Result details
Select all
Export citation of selected articles as:

Research

15 pages, 3801 KB  
Article
Burkholderia gladioli Causing Brown Spot on Leaf Sheath of Sweet Corn (Zea mays L.) in Sinaloa, Mexico: An Emerging Disease
by Rubén Félix-Gastelum, Jesús Ramon Escalante-Castro, Karla Yeriana Leyva-Madrigal, Ignacio Eduardo Maldonado-Mendoza and Gabriel Herrera-Rodríguez
Agriculture 2026, 16(9), 948; https://doi.org/10.3390/agriculture16090948 - 25 Apr 2026
Viewed by 837
Abstract
Brown spot on the leaf sheath is an emerging disease of sweet corn (Zea mays L.) in Sinaloa, Mexico, with an unknown etiology. This study aimed to identify the causal agent of the disease and assess its pathogenicity on commercial sweet corn [...] Read more.
Brown spot on the leaf sheath is an emerging disease of sweet corn (Zea mays L.) in Sinaloa, Mexico, with an unknown etiology. This study aimed to identify the causal agent of the disease and assess its pathogenicity on commercial sweet corn hybrids. Bacterial strains were isolated from symptomatic leaf sheaths collected from commercial fields. Identification was performed through biochemical profiling (API 50CHB/E), pathogenicity tests on alternative hosts (potato, onion, celery), and molecular analysis (16S rRNA and recA genes sequencing and phylogenetic reconstruction). Pathogenicity and virulence were confirmed by inoculating four sweet corn hybrids in a greenhouse. The strains were Gram-negative rods, identified as Burkholderia gladioli based on biochemical profiles and molecular data (99% 16S rRNA+ recA similarity; phylogenetic clustering within the B. gladioli clade). In greenhouse trials, the strains induced brown spot lesions on the leaf sheaths of all tested hybrids, replicating field symptoms fulfilling Koch’s postulates. This is the first report of B. gladioli as the causal agent of brown spot on the leaf sheath of sweet corn in Mexico. The pathogen’s broad host range highlights its potential as an emerging threat to horticultural crops in the region. Full article
Show Figures

Figure 1

20 pages, 2464 KB  
Article
Domain-Specific Self-Supervised Pretraining for Low-Resource Multi-Crop Plant Disease Recognition
by Petra Radočaj, Mladen Jurišić and Dorijan Radočaj
Agriculture 2026, 16(7), 716; https://doi.org/10.3390/agriculture16070716 - 24 Mar 2026
Viewed by 485
Abstract
The threat of plant diseases in economically significant crops of the Solanaceae family, especially tomatoes and potatoes, is a significant challenge to global food security, highlighting the necessity of fast and convenient diagnostic methods. This paper introduces an enhanced MobileNetV2 model to perform [...] Read more.
The threat of plant diseases in economically significant crops of the Solanaceae family, especially tomatoes and potatoes, is a significant challenge to global food security, highlighting the necessity of fast and convenient diagnostic methods. This paper introduces an enhanced MobileNetV2 model to perform automated disease classification through the use of a domain-specific self-supervised learning (SSL) pretraining approach. The model was first trained on 54,303 unlabeled plant images to learn basic botanical representations, followed by fine-tuning under six experimental conditions to optimize disease classification performance. Findings show that SSL pretrained weights consistently outperform traditional ImageNet-based transfer learning, achieving 0.9158 overall accuracy and a weighted F1-score of 0.9143 in joint tomato and potato classification. The model demonstrates strong cross-crop generalization, correctly identifying Early Blight and Late Blight with accuracies of 0.9600 and 0.9359, respectively, and effectively separating disease-specific visual symptoms from host morphology. Confusion matrix analysis further indicates a reduction in misclassification of visually similar necrotic lesions, a common challenge in supervised models. Overall, the proposed SSL architecture enhances the performance of lightweight convolutional neural networks (CNNs) to a large extent, providing a strong, computationally efficient solution for field-deployable diagnostics in precision agriculture, particularly for tomato and potato crops. Full article
Show Figures

Figure 1

31 pages, 7355 KB  
Article
Optimized Hybrid Feature Space for High-Efficiency Citrus Disease Diagnosis: A Fusion of Handcrafted Blue-Green-Red Color Moments and Deep Convolutional Descriptors
by Edgar Tello-Leal, Bárbara A. Macías-Hernández, Sarahi Rubio-Tinajero, Jaciel David Hernandez-Resendiz and Ulises Manuel Ramirez-Alcocer
Agriculture 2026, 16(6), 711; https://doi.org/10.3390/agriculture16060711 - 23 Mar 2026
Viewed by 1185
Abstract
Accurate and timely diagnosis of citrus diseases is essential for reducing economic losses in global agriculture. Although deep learning models provide high diagnostic accuracy, their computational demands often hinder deployment on resource-limited edge devices. To overcome this challenge, this study proposes an optimized [...] Read more.
Accurate and timely diagnosis of citrus diseases is essential for reducing economic losses in global agriculture. Although deep learning models provide high diagnostic accuracy, their computational demands often hinder deployment on resource-limited edge devices. To overcome this challenge, this study proposes an optimized hybrid framework for phytopathological classification. The methodology combines handcrafted descriptors (Blue-Green-Red “BGR” color statistical moments) with hierarchical spatial abstractions derived from a pre-trained Visual Geometry Group 16-layer (VGG16) deep architecture. An initial high-dimensional feature space was created by concatenating 360 handcrafted statistical descriptors and 12,800 deep textural features. By implementing a Wrapper-Greedy Stepwise selection strategy, this original space was reduced by over 96%. The resulting Elite Model identifies 12 and 18 critical attributes across two independent, transcontinental datasets (Mexico and Pakistan, respectively), effectively capturing both subtle chromatic anomalies and complex structural lesions. Experimental benchmarking confirms that this parsimonious hybrid approach delivers robust classification accuracy ranging from 87.30% to 95.23%, significantly outperforming unimodal architectures. Ultimately, this framework provides a highly efficient, interpretable, and scalable solution for real-time disease monitoring in precision agriculture. Full article
Show Figures

Figure 1

28 pages, 4586 KB  
Article
Early Competitive Effects of Common Ragweed (Ambrosia artemisiifolia L.) on Oilseed Rape (Brassica napus L.) Revealed by Non-Invasive Stress Indicators
by Bence Knolmajer, Richárd Hoffmann, Róbert Szilágyi, Bettina Frauholcz, Gabriella Kazinczi and Ildikó Jócsák
Agriculture 2026, 16(3), 330; https://doi.org/10.3390/agriculture16030330 - 28 Jan 2026
Viewed by 725
Abstract
Climate change reshapes crop–weed interactions and challenges the cultivation of oilseed rape (Brassica napus L.). Common ragweed (Ambrosia artemisiifolia L.) strongly suppresses early crop development, increases stress sensitivity and leads to yield loss. The stress–physiological responses of oilseed rape to ragweed [...] Read more.
Climate change reshapes crop–weed interactions and challenges the cultivation of oilseed rape (Brassica napus L.). Common ragweed (Ambrosia artemisiifolia L.) strongly suppresses early crop development, increases stress sensitivity and leads to yield loss. The stress–physiological responses of oilseed rape to ragweed competition were investigated using a combination of conventional and non-invasive methods. A pot experiment was conducted with increasing ragweed densities (0, 1, 3, 5 and 10 plants). Plant height and biomass were evaluated via non-destructive indicators (SPAD, NDVI) and different stages (1–15 and 16–30 min) of delayed fluorescence (DF) alongside ferric reducing antioxidant power (FRAP). Increasing ragweed density caused changes in growth, altered DF magnitude and decay kinetics, indicating photosynthetic imbalance. Moderate weed competition (1–5) induced an adaptive, eustress-like response characterised by enhanced non-enzymatic antioxidant capacity, whereas higher ragweed densities overwhelmed this compensatory mechanism, resulting in oxidative stress-like responses. Among all measured traits, DF1–15 proved to be the earliest and most sensitive indicator of the transition from adaptive to disruptive stress: T1: 0 ragweed: 213.07 ± 10.36 cps/mm2 and 92.66 ± 6.67 cps/mm2. These results demonstrate that delayed fluorescence, combined with conventional physiological and antioxidant-based parameters, enables the early detection of competitive stress in oilseed rape well before visible symptoms appear. Full article
Show Figures

Figure 1

18 pages, 5598 KB  
Article
Evaluation of Allyl Isothiocyanate and Ethylicin as Potential Substrate and Space Fumigants in Tomato Greenhouses
by Guangming Chen, Min Zhang, Zhaoai Shi, Aocheng Cao, Qiuxia Wang, Dongdong Yan, Wensheng Fang and Yuan Li
Agriculture 2025, 15(23), 2502; https://doi.org/10.3390/agriculture15232502 - 1 Dec 2025
Viewed by 809
Abstract
Continuous use of substrate cultivation can easily lead to the accumulation of crop pathogens, leading to widespread crop diseases. It is necessary to screen suitable and efficient substrate and space fumigants to keep the healthy development in substrate and greenhouses. This study systematically [...] Read more.
Continuous use of substrate cultivation can easily lead to the accumulation of crop pathogens, leading to widespread crop diseases. It is necessary to screen suitable and efficient substrate and space fumigants to keep the healthy development in substrate and greenhouses. This study systematically evaluated the effects of allyl isothiocyanate (AITC) and ethylicin fumigation on pathogens present on the substrate inside greenhouses. The average populations of Fusarium spp. and Phytophthora spp., bacterial and fungal community structures, tomato growth and yield were investigated and analyzed. The results demonstrated that both AITC and ethylicin exhibited significant inhibitory effects on Fusarium spp. and Phytophthora spp. in the substrate, with control efficiencies of 94.2% and 87.5%. Furthermore, these agents achieved 100% inhibition against Fusarium spp. while exceeding 90% Phytophthora spp. in the greenhouse space. Fumigation treatments significantly reduced pathogenic bacteria and increased beneficial microorganisms like Bacillus, Streptomyces and Brevibacillus in the substrate. Additionally, tomato yields increased significantly by over 45%. This study presents the first report on AITC and ethylicin as potential efficient fumigants easily used for both substrate and greenhouse space fumigation, which demonstrates excellent control effect on crop pathogens, with potential application in commercial tomato production in greenhouses to support sustainable agricultural practices. Full article
Show Figures

Graphical abstract

23 pages, 1977 KB  
Article
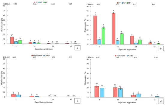
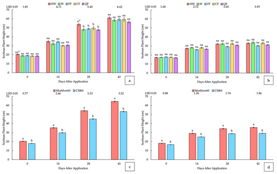
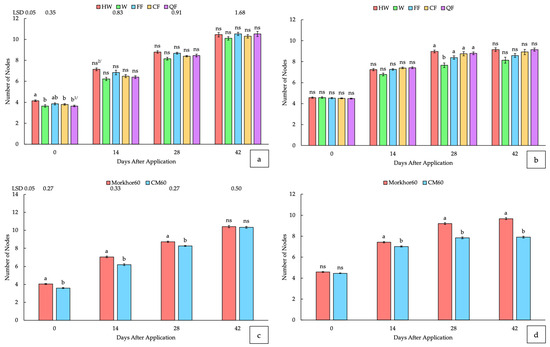
Performance of Post-Emergence Herbicides for Weed Control and Soybean Yield in Thailand
by Ultra Rizqi Restu Pamungkas, Sompong Chankaew, Nakorn Jongrungklang, Tidarat Monkham and Santimaitree Gonkhamdee
Agriculture 2025, 15(20), 2148; https://doi.org/10.3390/agriculture15202148 - 15 Oct 2025
Cited by 1 | Viewed by 2409
Abstract
Soybean (Glycine max (L.) Merr.) is an essential legume crop in Thailand, valued for its high protein content and economic significance. However, weed competition can reduce yields by up to 82% if not managed effectively. This study evaluates the efficacy of post-emergence [...] Read more.
Soybean (Glycine max (L.) Merr.) is an essential legume crop in Thailand, valued for its high protein content and economic significance. However, weed competition can reduce yields by up to 82% if not managed effectively. This study evaluates the efficacy of post-emergence herbicides for weed control and their impact on soybean yield. A field experiment was conducted during the 2023 rainy and 2024/2025 dry seasons at Khon Kaen University using a split-plot design with four replications. Weed management treatments included hand weeding, an untreated control, and three herbicides, fluazifop-P-butyl + fomesafen, clethodim + fomesafen, and quizalofop-P-tefuryl + fomesafen, applied to two soybean varieties (Morkhor60 and CM60). Quizalofop-P-tefuryl + fomesafen was found to be the most effective herbicide, achieving 87.66% weed control efficiency (WCE) in the dry season and 72.43% in the rainy season. Hand weeding produced the highest yield (1324.00 kg ha−1), followed by quizalofop-P-tefuryl + fomesafen (1148.90 kg ha−1). Morkhor60 outperformed CM60 in yield and growth performance. These findings highlight the importance of selecting suitable herbicide treatments to optimize weed control and enhance soybean productivity under different seasonal conditions. Full article
Show Figures

Figure 1

Back to TopTop