Journal Description
Tomography
                    Tomography 
                    is an international, peer-reviewed open access journal on imaging technologies published monthly online by MDPI (from Volume 7 Issue 1-2021).
                - Open Access— free for readers, with article processing charges (APC) paid by authors or their institutions.
- High Visibility: indexed within Scopus, SCIE (Web of Science), PubMed, MEDLINE, PMC, and other databases.
- Journal Rank: JCR - Q2 (Radiology, Nuclear Medicine and Medical Imaging)
- Rapid Publication: manuscripts are peer-reviewed and a first decision is provided to authors approximately 26.7 days after submission; acceptance to publication is undertaken in 2.7 days (median values for papers published in this journal in the first half of 2025).
- Recognition of Reviewers: APC discount vouchers, optional signed peer review, and reviewer names published annually in the journal.
                                            Impact Factor: 
                        2.2 (2024);
                        5-Year Impact Factor: 
                        2.2 (2024)
                                    
                
                                
            Latest Articles
        
        
                    
    
        
    
    AI-Written Scientific Manuscripts
                        
    
                
        
                
        Tomography 2025, 11(11), 123; https://doi.org/10.3390/tomography11110123 - 30 Oct 2025
    
                            
    
                    
        
                    Abstract 
            
            
                        
        
        
    
            This editorial provides insights on AI-written scientific manuscripts which represent an increasingly frequent phenomenon that must be managed by authors, reviewers and journal editors [...]
            Full article
        
    Open AccessArticle
    
    Clinical-Oriented Hierarchical Machine Learning Framework for Early Kidney Tumor Detection and Malignant Subtype Classification
                        
            by
                    Mansourah Aljohani        
    
                
        
        Tomography 2025, 11(11), 122; https://doi.org/10.3390/tomography11110122 - 30 Oct 2025
    
                            
    
                    
        
                    Abstract 
            
            
                        
        
        
►▼
             Show Figures
         
            Objectives: Kidneytumors, particularly renal cell carcinoma (RCC), represent a critical public health concern due to their prevalence and the severe consequences of late diagnosis. Traditional diagnostic techniques, though widely used, are often limited by human error, inter-observer variability, and delayed recognition of malignant
             [...] Read more.
        
        
            Objectives: Kidneytumors, particularly renal cell carcinoma (RCC), represent a critical public health concern due to their prevalence and the severe consequences of late diagnosis. Traditional diagnostic techniques, though widely used, are often limited by human error, inter-observer variability, and delayed recognition of malignant subtypes, underscoring the urgent need for automated, accurate, and reproducible solutions. Methods: To address these challenges, this study introduces a hierarchical, AI-driven framework for early detection and precise classification of kidney tumors from CT scans. At its core, the framework uses a specialized encoder, RAD-DINO-MAIRA-2, to extract highly discriminative imaging features, which are subsequently processed through multiple machine learning classifiers tailored to distinct hierarchical levels of diagnosis. Results: Using benchmark kidney tumor datasets, the framework was rigorously validated across 25 independent trials. Performance was assessed using accuracy, reproducibility, and robustness metrics, with results revealing a maximum accuracy of 98.29% and a mean accuracy of 94.72%. Notably, the Gaussian Process classifier achieved perfect performance in tumor type classification, while the MLP classifier attained flawless results in malignant subtype differentiation. Comparative analyses demonstrate that our hierarchical approach outperforms conventional DL-based pipelines by reducing sensitivity to dataset variability and providing a clinically viable path for integration into diagnostic workflows. Combining state-of-the-art feature extraction with hierarchical classification, the proposed framework delivers a robust and interpretable tool with substantial promise for improving patient outcomes in real-world clinical practice.
            Full article
        
    
Figure 1
Open AccessArticle
    
    Artificial Intelligence-Assisted Lung Ultrasound for Pneumothorax: Diagnostic Accuracy Compared with CT in Emergency and Critical Care
                        
            by
                    İsmail Dal and Kemal Akyol        
    
                
        
        Tomography 2025, 11(11), 121; https://doi.org/10.3390/tomography11110121 - 30 Oct 2025
    
                            
    
                    
        
                    Abstract 
            
            
                        
        
        
►▼
             Show Figures
         
            Background: Pneumothorax (PTX) requires rapid recognition in emergency and critical care. Lung ultrasound (LUS) offers a fast, radiation-free alternative to computed tomography (CT), but its accuracy is limited by operator dependence. Artificial intelligence (AI) may standardize interpretation and improve performance. Methods: This retrospective
             [...] Read more.
        
        
            Background: Pneumothorax (PTX) requires rapid recognition in emergency and critical care. Lung ultrasound (LUS) offers a fast, radiation-free alternative to computed tomography (CT), but its accuracy is limited by operator dependence. Artificial intelligence (AI) may standardize interpretation and improve performance. Methods: This retrospective single-center study included 46 patients (23 with CT-confirmed PTX and 23 controls). Sixty B-mode and M-mode frames per patient were extracted using a Clarius C3 HD3 wireless device, yielding 2760 images. CT served as the diagnostic reference. Experimental studies were conducted within the framework of three scenarios. Transformer-based models, Vision Transformer (ViT) and DINOv2, were trained and tested under two scenarios: random frame split and patient-level split. Also, Random Forest (RF) and eXtreme Gradient Boosting (XGBoost) classifiers were trained on the feature maps extracted by using Video Vision Transformer (ViViT) for ultrasound video sequences in Scenario 3. Model performance was evaluated using accuracy, sensitivity, specificity, F1-score, and area under the ROC curve (AUC). Results: Both transformers achieved high diagnostic accuracy, with B-mode images outperforming M-mode inputs in the first two scenarios. In Scenario 1, ViT reached 99.1% accuracy, while DINOv2 achieved 97.3%. In Scenario 2, which avoided data leakage, DINOv2 performed best in the B-mode region (90% accuracy, 80% sensitivity, 100% specificity, F1-score 88.9%). ROC analysis confirmed strong discriminative ability, with AUC values of 0.973 for DINOv2 and 0.964 for ViT on B-mode images. Also, both RF and XGBoost classifiers trained on the ViViT feature maps reached 90% accuracy on the video sequences. Conclusions: AI-assisted LUS substantially improves PTX detection, with transformers—particularly DINOv2—achieving near-expert accuracy. Larger multicenter datasets are required for validation and clinical integration.
            Full article
        
    
Figure 1
Open AccessArticle
    
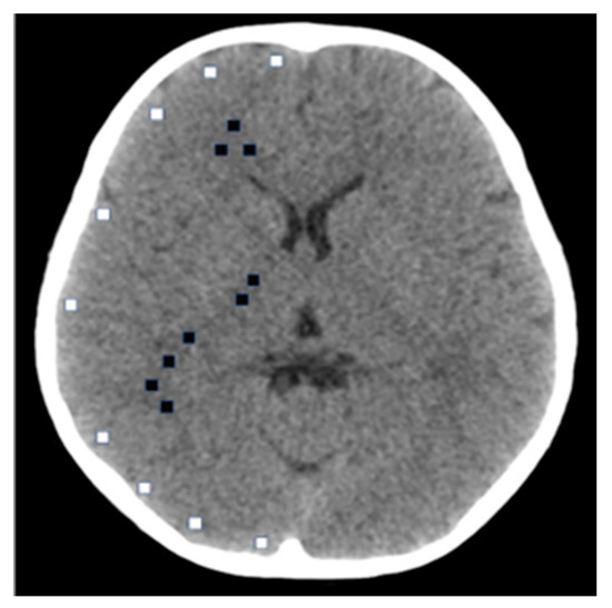
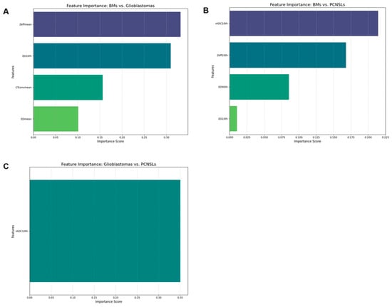
    Electron Density and Effective Atomic Number as Quantitative Biomarkers for Differentiating Malignant Brain Tumors: An Exploratory Study with Machine Learning
                        
            by
                    Tsubasa Nakano, Daisuke Hirahara, Tomohito Hasegawa, Kiyohisa Kamimura, Masanori Nakajo, Junki Kamizono, Koji Takumi, Masatoyo Nakajo, Fumitaka Ejima, Ryota Nakanosono, Ryoji Yamagishi, Fumiko Kanzaki, Hiroki Muraoka, Nayuta Higa, Hajime Yonezawa, Ikumi Kitazono, Jihun Kwon, Gregor Pahn, Eran Langzam, Ko Higuchi and Takashi Yoshiuraadd
            Show full author list
        remove
            Hide full author list
                
    
                
        
        Tomography 2025, 11(11), 120; https://doi.org/10.3390/tomography11110120 - 29 Oct 2025
    
                            
    
                    
        
                    Abstract 
            
            
                        
        
        
►▼
             Show Figures
         
            Objectives: The potential use of electron density (ED) and effective atomic number (Zeff) derived from dual-energy computed tomography (DECT) as novel quantitative imaging biomarkers for differentiating malignant brain tumors was investigated. Methods: Data pertaining to 136 patients with a pathological diagnosis of brain
             [...] Read more.
        
        
            Objectives: The potential use of electron density (ED) and effective atomic number (Zeff) derived from dual-energy computed tomography (DECT) as novel quantitative imaging biomarkers for differentiating malignant brain tumors was investigated. Methods: Data pertaining to 136 patients with a pathological diagnosis of brain metastasis (BM), glioblastoma, and primary central nervous system lymphoma (PCNSL) were retrospectively reviewed. The 10th percentile, mean and 90th percentile values of conventional 120-kVp CT value (CTconv), ED, Zeff, and relative apparent diffusion coefficient derived from diffusion-weighted magnetic resonance imaging (rADC: ADC of lesion divided by ADC of normal-appearing white matter) within the contrast-enhanced tumor region were compared across the three groups. Furthermore, machine learning (ML)-based diagnostic models were developed to maximize diagnostic performance for each tumor classification using the indices of DECT parameters and rADC. Machine learning models were developed using the AutoGluon-Tabular framework with rigorous patient-level data splitting into training (60%), validation (20%), and independent test sets (20%). Results: The 10th percentile of Zeff was significantly higher in glioblastomas than in BMs (p = 0.02), and it was the only index with a significant difference between BMs and glioblastomas. In the comparisons including PCNSLs, all indices of CTconv, Zeff, and rADC exhibited significant differences (p < 0.001–0.02). DECT-based ML models exhibited high area under the receiver operating characteristic curves (AUC) for all pairwise differentiations (BMs vs. Glioblastomas: AUC = 0.83; BMs vs. PCNSLs: AUC = 0.91; Glioblastomas vs. PCNSLs: AUC = 0.82). Combined models of DECT and rADC demonstrated excellent diagnostic performance between BMs and PCNSLs (AUC = 1) and between Glioblastomas and PCNSLs (AUC = 0.93). Conclusion: This study suggested the potential of DECT-derived ED and Zeff as novel quantitative imaging biomarkers for differentiating malignant brain tumors.
            Full article
        
    
Figure 1
Open AccessArticle
    
    Dose-Dependent Analysis of Image Quality in Pediatric Head CT Scans Across Different Scanners to Optimize Clinical Protocols Using Phantom-Based Assessment
                        
            by
                    Hiroshi Kuwahara, Mitsuaki Ojima, Tsuneko Kawamura, Daisuke Saitou, Kazunari Andou, Eiji Ariga, Kotaro Hasegawa and Michiaki Kai        
    
                
        
        Tomography 2025, 11(11), 119; https://doi.org/10.3390/tomography11110119 - 27 Oct 2025
    
                            
    
                    
        
                    Abstract 
            
            
                        
        
        
►▼
             Show Figures
         
            Background/Objectives: Optimization of pediatric head computed tomography (CT) protocols is essential to minimize radiation exposure while maintaining diagnostic image quality. Previous studies mainly relied on phantom-based measurements or visual assessments, and validation using clinical images remains limited. This study aimed to establish quantitative
             [...] Read more.
        
        
            Background/Objectives: Optimization of pediatric head computed tomography (CT) protocols is essential to minimize radiation exposure while maintaining diagnostic image quality. Previous studies mainly relied on phantom-based measurements or visual assessments, and validation using clinical images remains limited. This study aimed to establish quantitative thresholds for noise and contrast-to-noise ratio (CNR) in pediatric head CT by integrating multicenter clinical data with phantom evaluations. Methods: A multicenter retrospective study was conducted using CT systems from eight hospitals, combined with Catphan phantom experiments and pediatric head CT data. Scan parameters, automatic exposure control settings, and reconstruction methods were collected. Image quality was quantified by the standard deviation (SD) of noise and CNR obtained from regions of interest in gray and white matter. Radiation dose was represented by CTDIvol. Relationships among CTDIvol, SD, and CNR were analyzed across scanners from three manufacturers (Canon, FUJI, and GE). Results: Consistent dose–response trends were observed across institutions and manufacturers. Image noise decreased as CTDIvol increased, but reached a plateau at higher doses. CNR improved with dose escalation, then stabilized. Both phantom experiments and clinical analyses identified a target SD of 5 and CNR of 2 as optimal indicators for pediatric head CT. Conclusions: Quantitative thresholds were determined as practical indicators for balancing diagnostic image quality with dose reduction. Further reduction may be achieved through advanced reconstruction methods, such as deep learning-based algorithms. These findings may contribute to standardizing pediatric head CT protocols and supporting safer and more effective diagnostic imaging.
            Full article
        
    
Figure 1
Open AccessArticle
    
    Prevalence and Significance of Incidental Findings in Multiparametric Magnetic Resonance Imaging of the Prostate
                        
            by
                    David Weiß, Arne Bischoff, Michael Brönnimann, Matteo Haupt and Martin Maurer        
    
                
        
        Tomography 2025, 11(11), 118; https://doi.org/10.3390/tomography11110118 - 23 Oct 2025
    
                            
    
                    
        
                    Abstract 
            
            
                        
        
        
►▼
             Show Figures
         
            Objective: This study aims to assess the prevalence of clinically significant incidental findings as well as incidental findings of minor clinical significance in multiparametric MRI (mpMRI) of the prostate. Materials and Methods: A retrospective analysis was conducted on 607 male patients (mean age:
             [...] Read more.
        
        
            Objective: This study aims to assess the prevalence of clinically significant incidental findings as well as incidental findings of minor clinical significance in multiparametric MRI (mpMRI) of the prostate. Materials and Methods: A retrospective analysis was conducted on 607 male patients (mean age: 72 years) who underwent prostate MRI between 2018 and 2023 at a single center. Two radiologists reviewed in consensus the scans for incidental findings during multiparametric MRI of the prostate. The findings were classified according to their clinical relevance, organ group and patient age. Results: Among 607 male patients (mean age: 72 years), 665 incidental findings were identified in 410 patients (67.5%; 95% CI 63.7–71.1). This corresponds to an average of 1.10 incidental findings per patient across the entire cohort. Of the 665 findings, 12 (1.8%; 95% CI 0.9–3.1) were classified as clinically significant. These included cases of sarcoma, rectal carcinoma, hydronephrosis, aortic aneurysm, avascular necrosis of the femoral head and high-grade disc protrusion with spinal canal stenosis and diverticulitis. Conclusions: Our data indicate that incidental findings are common in prostate mpMRI examinations; however, only a small proportion are clinically significant. This underscores the need for awareness of such findings, while avoiding unnecessary follow-up for those without clinical relevance.
            Full article
        
    
Figure 1
Open AccessArticle
    
    Assessment of Variability in Cerebral Blood Flow and Cerebral Blood Volume in Cerebral Arteries of Ischemic Stroke Patients Using Dynamic Contrast-Enhanced MRI
                        
            by
                    Bilal Bashir, Babar Ali, Saeed Alqahtani and Benjamin Klugah-Brown        
    
                
        
        Tomography 2025, 11(11), 117; https://doi.org/10.3390/tomography11110117 - 22 Oct 2025
    
                            
    
                    
        
                    Abstract 
            
            
                        
        
        
►▼
             Show Figures
         
            Background/Objectives: Cerebral blood flow (CBF) and cerebral blood volume (CBV) are critical perfusion metrics in diagnosing ischemic stroke. Dynamic contrast-enhanced magnetic resonance imaging (DCE-MRI) enables the evaluation of these cerebral perfusion metrics; however, accurately assessing them remains challenging. This study aimed to: (1)
             [...] Read more.
        
        
            Background/Objectives: Cerebral blood flow (CBF) and cerebral blood volume (CBV) are critical perfusion metrics in diagnosing ischemic stroke. Dynamic contrast-enhanced magnetic resonance imaging (DCE-MRI) enables the evaluation of these cerebral perfusion metrics; however, accurately assessing them remains challenging. This study aimed to: (1) assess CBF asymmetry by quantifying and comparing it between contralateral hemispheres (right vs. left) within the MCA, ACA, and PCA territories using paired t-tests, and describe pattern of CBV; (2) evaluate overall inter-territorial regional variations in CBF across the different cerebral arterial territories (MCA, ACA, PCA), irrespective of the hemisphere, using ANOVA; (3) determine the correlation between CBF and CBV using both Pearson’s and Spearman’s correlation analyses; and (4) assess the influence of age and gender on CBF using multiple regression analysis. Methods: A cross-sectional study of 55 ischemic stroke patients was conducted. DCE-MRI was used to measure CBF and CBV. Paired t-tests compared contralateral hemispheric CBF in MCA, PCA, and ACA, one-way ANOVA assessed overall inter-territorial CBF variations, correlation analyses (Pearson/Spearman) evaluated the CBF-CBV relationship, and linear regression modeled demographic effects. Results: Significant contralateral asymmetries in CBF were observed for each cerebral pair of cerebral arteries using a paired t-test, with descriptive asymmetries noted in CBV. Separately, ANOVA revealed significant overall variability in CBF between the different cerebral arteries, irrespective of hemisphere. A strong positive correlation was found between CBF and CBV (Pearson r = 0.976; Spearman r = 0.928), with multiple regression analysis identifying age and gender as significant predictors of CBF. Conclusions: This study highlights hemispheric asymmetry and inter-territorial variation, the impact of age, and gender on CBF. DCE-MRI provides perfusion metrics that can guide individualized stroke treatment, offering valuable insights for therapeutic planning, particularly in resource-limited settings.
            Full article
        
    
Figure 1
Open AccessArticle
    
    Diagnostic Performance of CBCT in Detecting Different Types of Root Fractures with Various Intracanal Post Systems
                        
            by
                    Serhat Efeoglu, Ecem Ozgur, Aysenur Oncu, Ahmet Tohumcu, Rana Nalcaci and Berkan Celikten        
    
                
        
        Tomography 2025, 11(10), 116; https://doi.org/10.3390/tomography11100116 - 21 Oct 2025
    
                            
    
                    
        
                    Abstract 
            
            
                        
        
        
►▼
             Show Figures
         
            Objective: This study aimed to evaluate the diagnostic accuracy of two cone beam computed tomography (CBCT) devices using 18 imaging modalities in detecting root fractures—vertical, horizontal, and oblique—in teeth with intracanal post systems. Materials and methods: Ninety-six were extracted; single-rooted mandibular premolars were
             [...] Read more.
        
        
            Objective: This study aimed to evaluate the diagnostic accuracy of two cone beam computed tomography (CBCT) devices using 18 imaging modalities in detecting root fractures—vertical, horizontal, and oblique—in teeth with intracanal post systems. Materials and methods: Ninety-six were extracted; single-rooted mandibular premolars were endodontically treated and restored with Bundle, Reforpost, or Splendor Single Adjustable posts. Controlled fractures of different types were induced using a universal testing machine. Each tooth was scanned with NewTom 7G and NewTom Go (Quantitative Radiology, Verona, Italy) under nine imaging protocols per device; varying in dose and voxel size, yielding 1728 CBCT images. Three observers (a professor of endodontics; a specialist; and a postgraduate student in endodontics) independently evaluated the images. Results: Observers demonstrated almost perfect agreement (κ ≥ 0.81) with the gold standard in fracture detection using NewTom 7G. No significant differences were found in sensitivity, specificity, or accuracy across voxel size and dose parameters for both devices in detecting fracture presence (p > 0.05). Similarly, both devices displayed comparable performance in identifying horizontal and oblique fractures (p > 0.05). However, in NewTom Go, regular and low doses with different voxel sizes showed reduced sensitivity and accuracy in detecting vertical fractures across all post systems (p ≤ 0.05). Conclusions: NewTom 7G, with its advanced detector system and smaller voxel sizes, provides superior diagnostic accuracy for root fractures. In contrast, NewTom Go displays reduced sensitivity for vertical fractures at lower settings. Clinical relevance: CBCT device selection and imaging protocols significantly affect the diagnosis of vertical root fractures.
            Full article
        
    
Figure 1
Open AccessArticle
    
    ECSA: Mitigating Catastrophic Forgetting and Few-Shot Generalization in Medical Visual Question Answering
                        
            by
                    Qinhao Jia, Shuxian Liu, Mingliang Chen, Tianyi Li and Jing Yang        
    
                
        
        Tomography 2025, 11(10), 115; https://doi.org/10.3390/tomography11100115 - 20 Oct 2025
    
                            
    
                    
        
                    Abstract 
            
            
                        
        
        
►▼
             Show Figures
         
            Objective: Medical Visual Question Answering (Med-VQA), a key technology that integrates computer vision and natural language processing to assist in clinical diagnosis, possesses significant potential for enhancing diagnostic efficiency and accuracy. However, its development is constrained by two major bottlenecks: weak few-shot generalization
             [...] Read more.
        
        
            Objective: Medical Visual Question Answering (Med-VQA), a key technology that integrates computer vision and natural language processing to assist in clinical diagnosis, possesses significant potential for enhancing diagnostic efficiency and accuracy. However, its development is constrained by two major bottlenecks: weak few-shot generalization capability stemming from the scarcity of high-quality annotated data and the problem of catastrophic forgetting when continually learning new knowledge. Existing research has largely addressed these two challenges in isolation, lacking a unified framework. Methods: To bridge this gap, this paper proposes a novel Evolvable Clinical-Semantic Alignment (ECSA) framework, designed to synergistically solve these two challenges within a single architecture. ECSA is built upon powerful pre-trained vision (BiomedCLIP) and language (Flan-T5) models, with two innovative modules at its core. First, we design a Clinical-Semantic Disambiguation Module (CSDM), which employs a novel debiased hard negative mining strategy for contrastive learning. This enables the precise discrimination of “hard negatives” that are visually similar but clinically distinct, thereby significantly enhancing the model’s representation ability in few-shot and long-tail scenarios. Second, we introduce a Prompt-based Knowledge Consolidation Module (PKC), which acts as a rehearsal-free non-parametric knowledge store. It consolidates historical knowledge by dynamically accumulating and retrieving task-specific “soft prompts,” thus effectively circumventing catastrophic forgetting without relying on past data. Results: Extensive experimental results on four public benchmark datasets, VQA-RAD, SLAKE, PathVQA, and VQA-Med-2019, demonstrate ECSA’s state-of-the-art or highly competitive performance. Specifically, ECSA achieves excellent overall accuracies of 80.15% on VQA-RAD and 85.10% on SLAKE, while also showing strong generalization with 64.57% on PathVQA and 82.23% on VQA-Med-2019. More critically, in continual learning scenarios, the framework achieves a low forgetting rate of just 13.50%, showcasing its significant advantages in knowledge retention. Conclusions: These findings validate the framework’s substantial potential for building robust and evolvable clinical decision support systems.
            Full article
        
    
Figure 1
Open AccessArticle
    
    Retrospective Evaluation of Nasopalatine Canal Anatomy, Dimensions, and Variations with Alveolar Bone in Patients Scheduled for Maxillary Anterior Dental Implant Surgery Using Cone Beam Computed Tomography
                        
            by
                    Savaş Özarslantürk, Seval Ceylan Şen and Özlem Saraç Atagün        
    
                
        
        Tomography 2025, 11(10), 114; https://doi.org/10.3390/tomography11100114 - 12 Oct 2025
    
                            
    
                    
        
                    Abstract 
            
            
                        
        
        
►▼
             Show Figures
         
            Objective: This study aimed to retrospectively evaluate the anatomical structure, dimensions, and variations in the nasopalatine canal using cone beam computed tomography (CBCT) in patients undergoing implant treatment in the maxillary anterior region. The goal was to identify potential risks and complications that
             [...] Read more.
        
        
            Objective: This study aimed to retrospectively evaluate the anatomical structure, dimensions, and variations in the nasopalatine canal using cone beam computed tomography (CBCT) in patients undergoing implant treatment in the maxillary anterior region. The goal was to identify potential risks and complications that may arise during surgical procedures. Additionally, canal shape, number, and its relationship with gender and nasal septa were assessed as secondary parameters. Methods: This retrospective study included CBCT scans of 185 patients who applied for implant treatment in the anterior maxilla between January 2021 and December 2023. Patients with edentulous anterior maxillae and no pathological lesions in the implant region were included. CBCT images were analyzed in sagittal, axial, and coronal planes using standardized measurement protocols. The shape, number, dimensions, and angulation of the nasopalatine canal were evaluated by two blind observers with high inter-rater agreement. Morphological classifications and canal–implant relationships were recorded as primary and secondary outcome parameters. Results: Among the 185 CBCT scans analyzed, the nasopalatine canal was most frequently observed as a single structure (87.6%), typically located in the central incisor region, with a cylindrical morphology in the sagittal plane (44.9%) and a single shape in the coronal plane (52.4%). While no significant differences were found in morphometric parameters by age or sex, accessory canal locations differed significantly between sexes (p = 0.040). Conclusions: The anatomical characteristics and morphometric measurements of the nasopalatine canal exhibit considerable variability, underscoring the importance of individualized CBCT assessment during implant planning in the anterior maxilla. Recognizing accessory canal positions, particularly their sex-related differences, is critical for minimizing surgical complications and optimizing outcomes.
            Full article
        
    
Figure 1
Open AccessArticle
    
    Can Clinical Scores Reduce CT Use in Renal Colic? A Head-to-Head Comparison
                        
            by
                    Ramazan Kıyak, Meliha Fındık, Bahadır Çağlar, Süha Serin, Gökhan Taşkın and Ahmet Buğra Önler        
    
                
        
        Tomography 2025, 11(10), 113; https://doi.org/10.3390/tomography11100113 - 9 Oct 2025
    
                            
    
                    
        
                    Abstract 
            
            
                        
        
        
    
            Objective: Non-contrast computed tomography (CT) remains the gold standard for diagnosing ureteral stones, with excellent sensitivity and specificity. However, reliance on CT alone raises concerns regarding cumulative radiation exposure, particularly in recurrent stone formers. Clinical scoring systems such as CHOKAI, STONE, and modified
             [...] Read more.
        
        
            Objective: Non-contrast computed tomography (CT) remains the gold standard for diagnosing ureteral stones, with excellent sensitivity and specificity. However, reliance on CT alone raises concerns regarding cumulative radiation exposure, particularly in recurrent stone formers. Clinical scoring systems such as CHOKAI, STONE, and modified STONE have been developed to provide practical bedside tools for diagnostic decision-making. This study prospectively compared these three clinical scores for their ability to predict urinary-stone disease in the emergency department. Study Design: Prospective study. Methods and Duration of the Study: Between 6 August 2024 and 15 February 2025, 130 consecutively enrolled adults with flank pain underwent bedside scoring and reference-standard non-contrast CT. Associations were analysed with Chi-Square Tests and multivariable logistic regression. Model calibration was assessed with the Hosmer–Lemeshow test; overall accuracy was calculated. Results: When the variables used in different stone scoring formulas were compared according to the computer tomography results, there was a statistically significant difference (p < 0.01) between patients with and without a history of stone and hydronephrosis. Patients with nausea, history of stone, and hydronephrosis were 11, 4.2, and 5 times more highly to have a stone on computer tomography than those without, respectively. Conclusions: In this Turkish cohort, CHOKAI and modified STONE demonstrated superior predictive performance compared to the original STONE score. These findings suggest that clinical scoring systems, when incorporating predictors such as nausea, prior stone history, and hydronephrosis, may serve as practical alternatives to CT-first diagnostic approaches. Multicenter validation studies are required before routine clinical adoption.
            Full article
        
    Open AccessArticle
    
    Murine Functional Lung Imaging Using X-Ray Velocimetry for Longitudinal Noninvasive Quantitative Spatial Assessment of Pulmonary Airflow
                        
            by
                    Kevin A. Heist, Christopher A. Bonham, Youngsoon Jang, Ingrid L. Bergin, Amanda Welton, David Karnak, Charles A. Hatt, Matthew Cooper, Wilson Teng, William D. Hardie, Thomas L. Chenevert and Brian D. Ross        
    
                
        
        Tomography 2025, 11(10), 112; https://doi.org/10.3390/tomography11100112 - 2 Oct 2025
    
                            
    
                    
        
                    Abstract 
            
            
                        
        
        
►▼
             Show Figures
         
            Background/Objectives: The recent development of four-dimensional X-ray velocimetry (4DXV) technology (three-dimensional space and time) provides a unique opportunity to obtain preclinical quantitative functional lung images. Only single-scan measurements in non-survival studies have been obtained to date; thus, methodologies enabling animal survival for repeated
             [...] Read more.
        
        
            Background/Objectives: The recent development of four-dimensional X-ray velocimetry (4DXV) technology (three-dimensional space and time) provides a unique opportunity to obtain preclinical quantitative functional lung images. Only single-scan measurements in non-survival studies have been obtained to date; thus, methodologies enabling animal survival for repeated imaging to be accomplished over weeks or months from the same animal would establish new opportunities for the assessment of pathophysiology drivers and treatment response in advanced preclinical drug-screening efforts. Methods: An anesthesia protocol developed for animal recovery to allow for repetitive, longitudinal scanning of individual animals over time. Test–retest imaging scans from the lungs of healthy mice were performed over 8 weeks to assess the repeatability of scanner-derived quantitative imaging metrics and variability. Results: Using a murine model of fibroproliferative lung disease, this longitudinal scanning approach captured heterogeneous progressive changes in pulmonary function, enabling the visualization and quantitative measurement of averaged whole lung metrics and spatial/regional change. Radiation dosimetry studies evaluated the effects of imaging acquisition protocols on X-ray dosage to further adapt protocols for the minimization of radiation exposure during repeat imaging sessions using these newly developed image acquisition protocols. Conclusions: Overall, we have demonstrated that the 4DXV advanced imaging scanner allows for repeat measurements from the same animal over time to enable the high-resolution, noninvasive mapping of quantitative lung airflow dysfunction in mouse models with heterogeneous pulmonary disease. The animal anesthesia and image acquisition protocols described will serve as the foundation on which further applications of the 4DXV technology can be used to study a diverse array of murine pulmonary disease models. Together, 4DXV provides a novel and significant advancement for the longitudinal, noninvasive interrogation of pulmonary disease to assess spatial/regional disease initiation, progression, and response to therapeutic interventions.
            Full article
        
    
Figure 1
Open AccessArticle
    
    Quantitative Volumetric Analysis Using 3D Ultrasound Tomography for Breast Mass Characterization
                        
            by
                    Maria L. Anzola, David Alberico, Joyce Yip, James Wiskin, Bilal Malik, Raluca Dinu, Belinda Curpen, Michael L. Oelze and Gregory J. Czarnota        
    
                
        
        Tomography 2025, 11(10), 111; https://doi.org/10.3390/tomography11100111 - 30 Sep 2025
    
                            
    
                    
        
                    Abstract 
            
            
                        
    
            Breast cancer detection remains a significant challenge, with traditional mammography presenting barriers such as discomfort, radiation exposure, high false-positive rates, and financial burden. Moreover, younger women frequently fall outside routine mammographic screening guidelines, leaving critical gaps in early detection. Objectives: This study investigates
             [...] Read more.
        
        
            Breast cancer detection remains a significant challenge, with traditional mammography presenting barriers such as discomfort, radiation exposure, high false-positive rates, and financial burden. Moreover, younger women frequently fall outside routine mammographic screening guidelines, leaving critical gaps in early detection. Objectives: This study investigates the potential of quantitative transmission breast acoustic computed tomography scanner imaging (QT3D) as an innovative, non-invasive imaging modality for characterizing and evaluating breast masses. Methods: A comparative analysis between QT3D imaging and magnetic resonance imaging (MRI) was conducted in a cohort of patients with biopsy-proven benign or malignant breast lesions, comparing key metrics in quantifying breast masses for the purposes of breast mass characterization. Results: The findings in this study highlight its capability in identifying relatively small tumors, multiple lesions, satellite lesions, intraductal extensions, and calcifications, in addition to offering valuable diagnostic insights. Conclusions: This work is a first step toward studies essential for confirming its clinical feasibility, establishing its role in breast cancer tumor characterization, and potentially improving patient outcomes.
            Full article
        
    
        
        
                    (This article belongs to the  Special Issue Imaging in Cancer Diagnosis)
            
        
        
►▼
             Show Figures
         
Figure 1
Open AccessArticle
    
    Reducing Radiation Dose in Computed Tomography Imaging of Adolescent Idiopathic Scoliosis Using Spectral Shaping Technique with Tin Filter
                        
            by
                    Yoshiyuki Noto, Tatsuya Kuramoto, Kei Watanabe and Koichi Chida        
    
                
        
        Tomography 2025, 11(10), 110; https://doi.org/10.3390/tomography11100110 - 29 Sep 2025
    
                            
    
                    
        
                    Abstract 
            
            
                        
        
        
►▼
             Show Figures
         
            Background/Objectives: Children with adolescent idiopathic scoliosis (AIS) require repeated imaging, primarily standing spine radiography, while CT may be required for surgical planning, resulting in higher radiation exposure. Spectral shaping using a tin filter can reduce radiation dose in non-contrast chest CT. This
             [...] Read more.
        
        
            Background/Objectives: Children with adolescent idiopathic scoliosis (AIS) require repeated imaging, primarily standing spine radiography, while CT may be required for surgical planning, resulting in higher radiation exposure. Spectral shaping using a tin filter can reduce radiation dose in non-contrast chest CT. This study evaluated the efficacy of spectral shaping using a tin filter for reducing radiation dose in CT imaging in AIS and its impact on image quality. Methods: We retrospectively analyzed 51 AIS patients who underwent spine CT between February 2017 and March 2022, and divided them into two groups: normal-dose CT (NDCT) and low-dose CT with spectral shaping with a tin filter (LDCT). Radiation doses and image quality were compared between the groups. Radiation dose was recorded as the volume CT dose index (CTDIvol) and the dose length product emitted from the device, and effective and equivalent doses obtained from simulations. Results: The use of spectral shaping with a tin filter resulted in a 75% reduction in radiation dose compared to conventional CT without any reduction in image quality. Conclusions: Spectral shaping CT with a tin filter can substantially reduce radiation dose while maintaining image quality. It may be considered a safer alternative to conventional CT when clinically indicated in AIS patients.
            Full article
        
    
Figure 1
Open AccessArticle
    
    Three-Dimensional Volumetric Iodine Mapping of the Liver Segment Derived from Contrast-Enhanced Dual-Energy CT for the Assessment of Hepatic Cirrhosis
                        
            by
                    Yosuke Kawano, Masahiro Tanabe, Mayumi Higashi, Haruka Kiyoyama, Naohiko Kamamura, Jo Ishii, Haruki Furutani and Katsuyoshi Ito        
    
                
        
        Tomography 2025, 11(10), 109; https://doi.org/10.3390/tomography11100109 - 29 Sep 2025
    
                            
    
                    
        
                    Abstract 
            
            
                        
        
        
►▼
             Show Figures
         
            Objective: This study aimed to evaluate the hepatic volume, iodine concentration, and extracellular volume (ECV) of each hepatic segment in cirrhotic patients using three-dimensional (3D) volumetric iodine mapping of the liver segment derived from contrast-enhanced dual-energy CT (DECT) superimposed on extracted color-coded
             [...] Read more.
        
        
            Objective: This study aimed to evaluate the hepatic volume, iodine concentration, and extracellular volume (ECV) of each hepatic segment in cirrhotic patients using three-dimensional (3D) volumetric iodine mapping of the liver segment derived from contrast-enhanced dual-energy CT (DECT) superimposed on extracted color-coded CT liver segments in comparison with non-cirrhotic patients. Methods: The study population consisted of 66 patients, 34 with cirrhosis and 32 without cirrhosis. Using 3D volumetric iodine mapping of the liver segment derived from contrast-enhanced DECT superimposed on extracted color-coded CT liver segments, the volume and iodine concentration of each hepatic segment in the portal venous phase (PVP) and equilibrium phase (EP), the difference in iodine concentration between PVP and EP (ICPVP-liver—ICEP-liver), and ECV fractions were compared between cirrhotic and non-cirrhotic groups. Results: The iodine concentration was not significantly different in all hepatic segments between the cirrhotic and non-cirrhotic groups. Conversely, the difference in iodine concentration between PVP and EP (ICPVP-liver—ICEP-liver) was significantly smaller in the cirrhosis group than in the non-cirrhosis group for all hepatic segments (p < 0.001). The ECV fraction of the left medial segment was significantly higher in the cirrhosis group than in the non-cirrhotic group ([26.4 ± 7.6] vs. [23.1 ± 5.1]; p < 0.05). Conclusions: The decreased difference in iodine concentration between PVP and EP calculated from 3D volumetric iodine mapping of the liver segment using DECT may be a clinically useful indicator for evaluating patients with compensated cirrhosis, suggesting a combined effect of a reduced portal venous flow and increased interstitial space associated with fibrosis.
            Full article
        
    
Figure 1
Open AccessArticle
    
    Diagnostic Performance of GPT-4o Compared to Radiology Residents in Emergency Abdominal Tomography Cases
                        
            by
                    Ahmet Tanyeri, Rıdvan Akbulut, Cuma Gündoğdu, Tuğba Öztürk, Büşra Ceylan, Nasır Fırat Yalçın, Ömer Dural, Selin Kasap, Mehmet Burak Çildağ, Alparslan Ünsal and Yelda Özsunar        
    
                
        
        Tomography 2025, 11(10), 108; https://doi.org/10.3390/tomography11100108 - 26 Sep 2025
    
                            
    
                    
        
                    Abstract 
            
            
                        
        
        
►▼
             Show Figures
         
            Purpose: This study aimed to evaluate the diagnostic performance of GPT-4 Omni (GPT-4o) in emergency abdominal computed tomography (CT) cases compared to radiology residents with varying levels of experience, under conditions that closely mimic real clinical scenarios. Material and Methods: A total of
             [...] Read more.
        
        
            Purpose: This study aimed to evaluate the diagnostic performance of GPT-4 Omni (GPT-4o) in emergency abdominal computed tomography (CT) cases compared to radiology residents with varying levels of experience, under conditions that closely mimic real clinical scenarios. Material and Methods: A total of 45 emergency cases were categorized into three levels of difficulty (easy, moderate, and difficult) and evaluated by six radiology residents with varying levels of experience (limited: R1–R2; intermediate: R3–R4; advanced: R5–R6) and GPT-4o. Cases were presented sequentially to both groups with consistent clinical data and CT images. Each case included 4 to 7 CT slice images, resulting in a total of 243 images. The participants were asked to provide the single most likely diagnosis for each case. GPT-4o’s CT image interpretation performance without clinical data and hallucination rate were evaluated. Results: Overall diagnostic accuracy rates were 76% for R1–R2, 89% for R3, 82% for R4–R5, 84% for R6, and 82% for GPT-4o. Case difficulty significantly affected the diagnostic accuracy for both the residents and GPT-4o, with accuracy decreasing as case complexity increased (p < 0.001). No statistically significant differences in diagnostic accuracy were found between GPT-4o and the residents, regardless of the experience level or case difficulty (p > 0.05). GPT-4o demonstrated a hallucination rate of 75%. Conclusions: GPT-4o demonstrated a diagnostic accuracy comparable to that of radiology residents in emergency abdominal CT cases. However, its dependence on structured prompts and high hallucination rate indicates the need for further optimization before clinical integration.
            Full article
        
    
Figure 1
Open AccessArticle
    
    Bedside Small-Bowel Challenge vs. Fluoroscopic Series for SBO: A Cost Effectiveness Analysis
                        
            by
                    Aravinda Krishna Ganapathy, Liam Cunningham, M. Hunter Lanier, Selasi Nakhaima, Madelyn Thiel, Daniel Hoffman, Obeid Ilahi, David H. Ballard and Vincent M. Mellnick        
    
                
        
        Tomography 2025, 11(10), 107; https://doi.org/10.3390/tomography11100107 - 26 Sep 2025
    
                            
    
                    
        
                    Abstract 
            
            
                        
        
        
►▼
             Show Figures
         
            Background: Small bowel obstruction (SBO) accounts for 12–16% of surgical hospital admissions and can lead to complications such as bowel ischemia. Traditional management requires transporting patients to the Radiology Department (RD) for a fluoroscopic small bowel series, occupying resources and time. This study
             [...] Read more.
        
        
            Background: Small bowel obstruction (SBO) accounts for 12–16% of surgical hospital admissions and can lead to complications such as bowel ischemia. Traditional management requires transporting patients to the Radiology Department (RD) for a fluoroscopic small bowel series, occupying resources and time. This study evaluates the efficacy and efficiency of the Small Bowel Challenge Exam, a bedside alternative. Methods: A retrospective analysis was performed on 85 SBO patients from January 2018 to December 2023 at an academic tertiary care facility, comparing the traditional fluoroscopic series (37 patients) to the bedside Small Bowel Challenge Exam (48 patients). Key metrics analyzed included hospital resource utilization, overall costs, and length of stay. Results: Gender and race distributions were similar between groups (p = 0.268 and p = 0.808, respectively). Median total costs were lower in the challenge group (USD 1243 vs. USD 1472; p = 0.1229), significantly so when excluding CT scan costs (USD 993.5 vs. USD 1270; p = 0.0500). Core costs also significantly favored the challenge group (USD 389.6 vs. USD 615; p < 0.0001). Length of stay and variable costs showed no significant differences (p = 0.3846 and p = 0.8065, respectively). Additional imaging frequencies were comparable (p = 0.96 for CT scans; p = 0.97 for XR exams). Conclusions: The Small Bowel Challenge Exam reduces certain costs and logistical burdens without prolonging length of stay, suggesting more efficient use of hospital resources. Further research is recommended to evaluate broader implementation and long-term impacts.
            Full article
        
    
Figure 1
Open AccessArticle
    
    Flow-Compensated vs. Monopolar Diffusion Encodings: Differences in Lesion Detectability Regarding Size and Position in Liver Diffusion-Weighted MRI
                        
            by
                    Alessandra Moldenhauer, Frederik B. Laun, Hannes Seuss, Sebastian Bickelhaupt, Bianca Reithmeier, Thomas Benkert, Michael Uder, Marc Saake and Tobit Führes        
    
                
        
        Tomography 2025, 11(10), 106; https://doi.org/10.3390/tomography11100106 - 23 Sep 2025
    
                            
    
                    
        
                    Abstract 
            
            
                        
    
            Background/Objectives: Diffusion-weighted imaging (DWI) of the liver is prone to cardiac motion-induced signal dropout, which can be reduced using flow-compensated (FloCo) instead of monopolar (MP) diffusion encodings. This study examined differences in lesion detection capabilities between FloCo and MP DWI and whether
             [...] Read more.
        
        
            Background/Objectives: Diffusion-weighted imaging (DWI) of the liver is prone to cardiac motion-induced signal dropout, which can be reduced using flow-compensated (FloCo) instead of monopolar (MP) diffusion encodings. This study examined differences in lesion detection capabilities between FloCo and MP DWI and whether visibility depends on lesion size and position. Methods: Forty patients with at least one known or suspected focal liver lesion (FLL) underwent FloCo and MP DWI. For both sequences, b = 800 s/mm2 images were used to manually segment FLLs, which were then sorted by size and location (liver segment). The number of detected lesions, the sensitivity, and the contrast-to-noise ratio (CNR) were calculated and compared across sequences, sizes, and locations. Results: Significantly more lesions were detected using FloCo DWI compared to MP DWI (1211 vs. 1154; p < 0.001). In total, 1258 unique lesions were detected, 104 of which were identified only by FloCo DWI, and 47 of which only by MP DWI. The sensitivities of FloCo DWI and MP DWI were 96.3% (95% CI: 95.1–97.2%) and 91.7% (95% CI: 90.1–93.2%), respectively. The largest additional lesion found with only one of the two sequences measured 10.9 mm in FloCo DWI and 8.2 mm in MP DWI. In relative numbers, more additional FloCo lesions were found in the left liver lobe than in the right liver lobe (6.4% vs. 3.5%). The lesion CNR was significantly higher for FloCo DWI than for MP DWI (p < 0.05) for all evaluated size intervals and liver segments. Conclusions: FloCo DWI appears to enhance the detectability of FLLs compared to MP DWI, particularly for small liver lesions and lesions in the left liver lobe.
            Full article
        
    
        
        
                    (This article belongs to the  Section Abdominal Imaging)
            
        
        
►▼
             Show Figures
         
Figure 1
Open AccessArticle
    
    Rethinking MRI Protocols for Pituitary Microadenomas: Prioritizing Non-Contrast Imaging for Safe Follow-Up
                        
            by
                    Fariba Zarei, Farideh Nematollahi, Asadolah Jalil, Banafsheh Zeinali-Rafsanjani and Mahdi Saeedi-Moghadam        
    
                
        
        Tomography 2025, 11(9), 105; https://doi.org/10.3390/tomography11090105 - 12 Sep 2025
    
                            
    
                    
        
                    Abstract 
            
            
                        
    
            Introduction and Objectives: Dynamic contrast-enhanced magnetic resonance imaging (DCE-MRI) has been used as a gold standard in diagnosing and following pituitary microadenomas. However, the use of gadolinium-based contrast agents (GBCAs) involves a potential risk of long-term retention in tissues and adverse reactions. This
             [...] Read more.
        
        
            Introduction and Objectives: Dynamic contrast-enhanced magnetic resonance imaging (DCE-MRI) has been used as a gold standard in diagnosing and following pituitary microadenomas. However, the use of gadolinium-based contrast agents (GBCAs) involves a potential risk of long-term retention in tissues and adverse reactions. This study aimed to evaluate the sensitivity of non-contrast MRI (T1W and T2W sequences) in follow-up imaging of pituitary microadenomas, attempting a comparison with DCE-MRI, assessing tumor stability over time. Materials and methods: We retrospectively reviewed 300 pituitary MRI scans between 2020 and 2024. Included were patients with confirmed microadenomas (≤10 mm). Non-contrast (T1W/T2W) and DCE-MRI sequences were analyzed by an experienced radiologist blinded to any clinical information. Detection rates and changes in tumor size were evaluated. Results: Detection rates for 79 microadenomas were 55.7% for T1W, 70.9% for T2W, and 88.6% for DCE-MRI. There was no significant tumor growth during the follow-up (mean size 4.80 ± 2.3 mm vs. 4.81 ± 2.4 mm, p > 0.5). Conclusions: While still more sensitive for the primary diagnosis, the non-contrast MRI was able to visualize the majority of detected microadenomas, and significant growth was ruled out, thus supporting the case to omit gadolinium from follow-up imaging in stable cases. This may translate to lower costs and decreased patient risk from contrast-related hazards.
            Full article
        
    
        
        
                    (This article belongs to the  Special Issue New Trends in Diagnostic and Interventional Radiology)
            
        
        
►▼
             Show Figures
         
Figure 1
Open AccessArticle
    
    Deep Learning-Based Diagnosis of Femoropopliteal Artery Steno-Occlusion Using Maximum Intensity Projection Images of CT Angiography
                        
            by
                    Wonju Hong, Jaewoong Kang, So Eui Kim, Taikyeong Jeong, Chang Jin Yoon, In Jae Lee, Lyo Min Kwon and Bum-Joo Cho        
    
                
        
        Tomography 2025, 11(9), 104; https://doi.org/10.3390/tomography11090104 - 8 Sep 2025
    
                            
    
                    
        
                    Abstract 
            
            
                        
    
            Background/Objectives: To develop and validate deep learning-based models for detecting significant steno-occlusion (SSO)—defined as luminal narrowing greater than 50%—of the femoropopliteal arteries using maximum intensity projection (MIP) images from lower extremity CT angiography (CTA). Methods: This retrospective study utilized MIP images
             [...] Read more.
        
        
            Background/Objectives: To develop and validate deep learning-based models for detecting significant steno-occlusion (SSO)—defined as luminal narrowing greater than 50%—of the femoropopliteal arteries using maximum intensity projection (MIP) images from lower extremity CT angiography (CTA). Methods: This retrospective study utilized MIP images of lower extremity CTA performed between January 2021 and December 2023 for internal model development. Deep learning-based models were developed sequentially to diagnose SSO: screening with single anteroposterior image, followed by four-segment rotational analysis that divided each femoropopliteal artery into four segments and incorporated multi-angle images. Given the cropped images and the shape of stenosis, models were trained to classify the presence of SSO. A temporal validation dataset comprised MIP images from lower extremity CTA performed between January and June 2024. Results: In total, 56,496 segment images from 642 patients (mean age: 68.2 ± 13.5 years; 472 men) were included in the internal dataset. In the single-image analysis, RDNet achieved the highest mean AUC of 0.886 for SSO detection. In the four-segment rotational analysis, RDNet also demonstrated the highest mean AUC, reaching 0.964 in both half-set and full-set approaches. While RDNet recorded the highest mean AUC, all other models showed improved AUCs as the number of input images increased (p < 0.05). In the temporal validation dataset, RDNet again achieved the highest mean AUC (0.959) in the half-set analysis. Conclusions: The deep learning-based model, particularly RDNet, demonstrated excellent performance in detecting SSO of peripheral arteries on MIP images from lower extremity CTA.
            Full article
        
    
        
        
                    (This article belongs to the  Section Cardiovascular Imaging)
            
        
        
►▼
             Show Figures
         
Figure 1
 
            
            
            Journal Menu
► ▼ Journal Menu- 
                        - Tomography Home
- Aims & Scope
- Editorial Board
- Reviewer Board
- Topical Advisory Panel
- Instructions for Authors
- Special Issues
- Topics
- Sections
- Article Processing Charge
- Indexing & Archiving
- Editor’s Choice Articles
- Most Cited & Viewed
- Journal Statistics
- Journal History
- Journal Awards
- Conferences
- Editorial Office
- 10th Anniversary
 
Journal Browser
► ▼ Journal BrowserHighly Accessed Articles
Latest Books
E-Mail Alert
News
Topics
            Topic in 
            Anatomia, Biomedicines, IJMS, Medicina, Tomography
        Human Anatomy and Pathophysiology, 3rd Edition
    Topic Editors: Francesco Cappello, Mugurel Constantin RusuDeadline: 31 May 2026
 
                    Conferences
Special Issues
                            Special Issue in 
                    Tomography
        Clinical and Molecular Analytic in Neuro-Oncology
    Guest Editors: Alessandro Pesce, Angelo Pompucci, Maurizio Salvati, Alessandro FratiDeadline: 30 November 2025
                            Special Issue in 
                    Tomography
        Emergent Perspectives in Oncology Imaging
    Guest Editors: Mariano Scaglione, Leandra PiscopoDeadline: 30 December 2025
                            Special Issue in 
                    Tomography
        Orthopaedic Radiology: Clinical Diagnosis and Application
    Guest Editor: Olumide A. DanisaDeadline: 31 December 2025
                            Special Issue in 
                    Tomography
        Cutting-Edge Applications: Artificial Intelligence and Deep Learning Revolutionizing CT and MRI
    Guest Editor: Giovanni FotiDeadline: 25 March 2026
 
                         
                         
                        


