-
Time-Varying Demand Response for an Electro-Thermal Integrated System: An Efficient and Robust Zeroing Neural Network Approach -
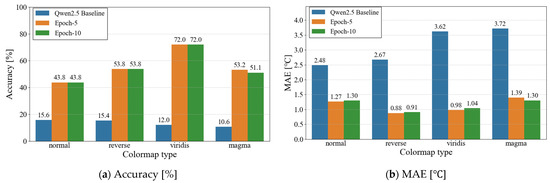
Novel End-to-End CNN Approach for Fault Diagnosis in Electromechanical Systems Based on Relevant Heating Areas in Thermography -
Comprehensive Image-Based Validation Framework for Particle Motion in DEM Models Under Field-like Conditions -
Dual Resource Scheduling Method of Production Equipment and Rail-Guided Vehicles Based on Proximal Policy Optimization Algorithm -
ADFF-Net: An Attention-Based Dual-Stream Feature Fusion Network for Respiratory Sound Classification
Journal Description
Technologies
- Open Access— free for readers, with article processing charges (APC) paid by authors or their institutions.
- High Visibility: indexed within ESCI (Web of Science), Scopus, Inspec, Ei Compendex, INSPIRE, and other databases.
- Journal Rank: JCR - Q1 (Engineering, Multidisciplinary) / CiteScore - Q1 (Computer Science (miscellaneous))
- Rapid Publication: manuscripts are peer-reviewed and a first decision is provided to authors approximately 19.1 days after submission; acceptance to publication is undertaken in 3.6 days (median values for papers published in this journal in the second half of 2025).
- Recognition of Reviewers: reviewers who provide timely, thorough peer-review reports receive vouchers entitling them to a discount on the APC of their next publication in any MDPI journal, in appreciation of the work done.
- Testimonials: See what our editors and authors say about Technologies.
- Journal Cluster of Mechanical Manufacturing and Automation Control: Aerospace, Automation, Drones, Journal of Manufacturing and Materials Processing, Machines, Robotics and Technologies.
Latest Articles
E-Mail Alert
News
Topics
Deadline: 31 March 2026
Deadline: 30 April 2026
Deadline: 20 May 2026
Deadline: 31 May 2026
Conferences
Special Issues
Deadline: 31 March 2026
Deadline: 31 March 2026
Deadline: 31 March 2026
Deadline: 31 March 2026























