-
Metabolic Disorders in Transition Dairy Cows in a 500-Cow Herd—Analysis, Prevention and Follow-Up -
Evaluation of Holstein Cows with Tongue-Rolling: Plasma Metabolomics and Milk Proteomics -
Tackling Weaning Stress in Dairy Calves Using Cannabidiol Oil Supplementation—A Pilot Study -
Evaluation of the Impact of Whey Edible Coatings with Bioprotective Cultures and Thyme Essential Oil Applied to Cheese -
Lipidomic and Metabolomic Signatures of the Traditional Fermented Milk Product Gioddu
Journal Description
Dairy
Dairy
is an international, peer-reviewed, open access journal on dairy science published bimonthly online by MDPI.
- Open Access— free for readers, with article processing charges (APC) paid by authors or their institutions.
- High Visibility: indexed within ESCI (Web of Science), Scopus, FSTA, and other databases.
- Journal Rank: JCR - Q1 (Agriculture, Dairy and Animal Science) / CiteScore - Q1 (Agricultural and Biological Sciences (miscellaneous))
- Rapid Publication: manuscripts are peer-reviewed and a first decision is provided to authors approximately 26.6 days after submission; acceptance to publication is undertaken in 5.6 days (median values for papers published in this journal in the second half of 2025).
- Recognition of Reviewers: APC discount vouchers, optional signed peer review, and reviewer names published annually in the journal.
Impact Factor:
3.1 (2024);
5-Year Impact Factor:
3.6 (2024)
Latest Articles
Iodine Concentration in Milk, Ricotta Cheese, and Yogurt, and Their Contribution to Dietary Iodine Intake
Dairy 2026, 7(1), 6; https://doi.org/10.3390/dairy7010006 - 31 Dec 2025
Abstract
Iodine deficiency is the leading preventable cause of neurological damage worldwide. Dairy foods represent an important dietary iodine source. This study aimed to assess iodine concentration in milk, ricotta cheese, and yogurt, and to evaluate their contribution toward the recommended daily iodine intake.
[...] Read more.
Iodine deficiency is the leading preventable cause of neurological damage worldwide. Dairy foods represent an important dietary iodine source. This study aimed to assess iodine concentration in milk, ricotta cheese, and yogurt, and to evaluate their contribution toward the recommended daily iodine intake. Whole pasteurized milk (WM; n = 12), partially skimmed pasteurized milk (PM; n = 21), skimmed pasteurized milk (SM; n = 7), ricotta cheese (RC; n = 26), whole yogurt (WY; n = 13), and low-fat yogurt (LY; n = 15) were purchased in local stores. Samples were analyzed through inductively coupled plasma mass spectrometry for iodine quantification. After removing outliers, the final dataset comprised 11 WM, 19 PM, 7 SM, 26 RC, 13 WY and 15 LY samples. Data were investigated through a mixed model with iodine concentration as the dependent variable, product type as fixed effect, and brand as random effect. Low-fat yogurt exhibited the greatest estimated iodine concentration (293.76 µg/kg), while SM and WM exhibited the lowest (211.92 and 197.63 µg/kg, respectively). Based on these results, a serving of milk (250 g) would provide 31.82–39.08% of the average daily iodine requirement, a serving of ricotta (125 g) 21.66%, and a yogurt jar (125 g) 21.54–24.11%. These findings confirm the nutritional relevance of dairy products as primary iodine sources.
Full article
(This article belongs to the Section Milk and Human Health)
►
Show Figures
Open AccessArticle
Fluctuations in Goat Milk Composition During Processing
by
Liga Marcinkoniene and Inga Ciprovica
Dairy 2026, 7(1), 5; https://doi.org/10.3390/dairy7010005 - 30 Dec 2025
Abstract
An elevated somatic cell count (SCC) affects the physicochemical characteristics of milk, altering its renneting ability and ultimately impacting the yield and quality of the cheese produced. This study aims to analyse the variations in the composition of Latvian goat milk and its
[...] Read more.
An elevated somatic cell count (SCC) affects the physicochemical characteristics of milk, altering its renneting ability and ultimately impacting the yield and quality of the cheese produced. This study aims to analyse the variations in the composition of Latvian goat milk and its technological properties in relation to SCC. Individual goat milk samples (n = 240) were collected from one of the largest goat farms in Latvia during 2019 and 2020. Latvian, Saanen, and cross-breed goat milk samples from different lactations were tested for their chemical composition (fat, protein, lactose, dry matter, and SCC), fat-to-protein ratio, freezing point, and curd firmness. Samples were collected during different lactation periods in order to analyse the seasonal effect on milk quality. The results demonstrated that milk samples from goats with lower SCCs (Group I) exhibited the highest fat (3.34%), lactose (4.56%), and dry matter (11.28%) concentrations and fat-to-protein ratios (1.02). Curd firmness decreased progressively from Group I to Group IV, fluctuating between Latvian Native (1.96–1.47 N), Saanen (1.91–1.59 N), and cross-breed (1.66–1.58 N) goat milk samples. A significantly lower (p = 0.030) curd firmness (1.56 N) was determined in the Group IV goat milk samples. Seasonal fluctuations in milk composition were observed in relation to curd firmness, which peaked in late lactation milk (3.85 N), although minor fluctuations were observed in protein concentrations (3.23% to 3.30%) across the sampling periods (2019 and 2020). These findings highlight the necessity of SCC monitoring in Latvian goat milk to ensure appropriate quality for milk processing.
Full article
(This article belongs to the Topic Advances in Animal-Derived Non-Cow Milk and Niche Cow Milk. Properties, Processing, Dairy Products and Environmental Impact, 2nd Edition)
►▼
Show Figures

Figure 1
Open AccessArticle
Impact of Gel Brine on Proteolytic, Microbiological, Textural Properties of Raw Milk Cheese
by
Gamze Güneş and Çağım Akbulut Çakır
Dairy 2026, 7(1), 4; https://doi.org/10.3390/dairy7010004 - 29 Dec 2025
Abstract
Using raw milk in cheesemaking poses several risks and often requires higher salt levels. Gel brine is a promising brining method to reduce salt and to prevent excessive softening, yet it was not employed to raw milk cheese before. In this study, the
[...] Read more.
Using raw milk in cheesemaking poses several risks and often requires higher salt levels. Gel brine is a promising brining method to reduce salt and to prevent excessive softening, yet it was not employed to raw milk cheese before. In this study, the impact of ripening in gel brine—prepared by adding selected thickeners (gelatin and carrageenan) to a 12% salt brine—on the composition, proteolysis, texture, and microbiological properties of raw milk cheese was examined over 120 days. The aim was to assess the potential of gel brine to shorten the ripening time of raw milk cheese at a relatively low salt concentration while maintaining acceptable quality parameters. Response surface methodology was used to determine the optimum ripening time and thickener concentrations required to achieve target microbial counts, proteolysis, and moisture levels. The addition of stabilizers did not significantly influence the overall composition of the cheese, except for salt in dry matter. Stabilizers also limited the increase in trichloroacetic acid-soluble nitrogen (TCA-SN) during storage and led to a marked reduction in Escherichia coli counts. Texture profile analysis results were significantly affected (p < 0.05). The optimum conditions were estimated as 0.9% carrageenan, 0.8% gelatin, and 35 days of ripening.
Full article
(This article belongs to the Section Milk Processing)
►▼
Show Figures

Figure 1
Open AccessArticle
Abattoir Survey of Dairy and Beef Cattle and Buffalo Haemonchosis in Greece and Associated Risk Factors
by
Konstantinos V. Arsenopoulos, Athanasios I. Gelasakis and Elias Papadopoulos
Dairy 2026, 7(1), 3; https://doi.org/10.3390/dairy7010003 - 26 Dec 2025
Abstract
►▼
Show Figures
Although best known as a major parasite of sheep and goats, the blood-feeding abomasal nematode Haemonchus contortus can also infect cattle and buffaloes under the mixed-grazing Mediterranean conditions prevalent in Greece. The objectives of this study were as follows: (i) to determine the
[...] Read more.
Although best known as a major parasite of sheep and goats, the blood-feeding abomasal nematode Haemonchus contortus can also infect cattle and buffaloes under the mixed-grazing Mediterranean conditions prevalent in Greece. The objectives of this study were as follows: (i) to determine the prevalence of H. contortus infections in dairy and beef cattle and buffaloes in Greece through an abattoir survey, (ii) to evaluate potential host- and farm-related risk factors including age, sex, management system, cattle productive orientation, and the co-existence of cattle and buffaloes on the occurrence of haemonchosis, and (iii) to assess the likelihood of detecting homozygous benzimidazole (BZ)-resistant H. contortus in large ruminant populations in relation to these determinants. A total of 213 abomasa (115, 55, and 43 from dairy, beef cattle, and buffaloes, respectively) were examined. A structured questionnaire provided additional animal- and farm-level information. Haemonchus-like helminths were collected and molecularly identified at the species level by amplifying a 321 bp fragment of the internal transcribed spacer 2 region of nuclear DNA. An allele-specific multiplex PCR, targeting codon 200 of the β-tubulin gene, was applied to detect BZ-resistant alleles. The prevalence of H. contortus infection was 21.2% in cattle and 69.8% in buffaloes. In cattle, multivariable analysis revealed that mixed-species farming (i.e., farms where cattle were the primary species and buffaloes were kept in smaller numbers), productive orientation, and slaughter age were significant predictors of increased H. contortus infection. Controversially, none of these factors were significantly associated with infection in buffaloes. Finally, multivariable modelling suggested that resistance patterns varied by host species, being more prevalent in intensively managed, older cattle, yet less common among older buffaloes and in herds where both species coexisted.
Full article

Figure 1
Open AccessArticle
Evaluation of Hyperketonemia in the Transition Period of Dairy Simmental Cows and Association with Liver Activity, Uterine and Oviductal Health, and Reproductive Performance
by
Harald Pothmann, Michael Mitterer, Florian Flicker, Maryam Sahebi, Vitezslav Havlicek, Urban Besenfelder, Alexander Tichy and Marc Drillich
Dairy 2026, 7(1), 2; https://doi.org/10.3390/dairy7010002 - 24 Dec 2025
Abstract
Hyperketonemia (HYK), defined by blood beta-hydroxybutyrate (BHB) ≥ 1.2 mmol/L, is described as a significant risk factor for cows developing postpartum (pp) diseases and impaired reproductive performance. The goal of the present study was to observe metabolic challenges in transition cows and to
[...] Read more.
Hyperketonemia (HYK), defined by blood beta-hydroxybutyrate (BHB) ≥ 1.2 mmol/L, is described as a significant risk factor for cows developing postpartum (pp) diseases and impaired reproductive performance. The goal of the present study was to observe metabolic challenges in transition cows and to identify systemic markers reflecting HYK associated with lessened reproductivity. Fifty-four Simmental cows were monitored, revealing approximately 30% prevalence of HYK at the early pp period on 7, 14, or 28 days in milk (DIM). We assessed the dry matter intake, rumination time (RT), serum liver activity index, non-esterified fatty acids (NEFAs), acute phase proteins, and uterine and oviductal health. Elevated NEFA and reduced RT 14 days antepartum were a good predictor for HYK at 7 DIM. Hyperketonemia at 14 DIM resulted in higher milk yield compared with controls. We could neither detect differences in uterine health nor in reproductive key performance parameters between hyperketonemic and control cows, whereby the proportion of polymorphonuclear neutrophils in oviductal epithelia was significantly lower in hyperketonemic cows 14 DIM. We conclude that elevated concentrations of BHB in HYK 7, 14, or 28 DIM indicated energy supply to support physiological metabolic adaptations and lactation and that, in the absence of excessive inflammation during the transition period, HYK was not a risk factor for impaired fertility.
Full article
(This article belongs to the Section Dairy Animal Health)
►▼
Show Figures

Graphical abstract
Open AccessArticle
Effects of Fat Supplementation on Growth Performance and Blood Biochemical Parameters in Dairy Calves During Pre- and Post-Weaning Phases
by
André L. A. Neves, Moritz A. Pfeiffer, Rajan Dhakal, Svenja Woudstra, Volker Krömker and Ricardo Augusto Mendonça Vieira
Dairy 2026, 7(1), 1; https://doi.org/10.3390/dairy7010001 - 20 Dec 2025
Abstract
►▼
Show Figures
We evaluated the effects of rapeseed oil (RSO, rich in oleic, linoleic, and linolenic acids) and a commercial fat source (BOVI-LM, rich in palmitic and stearic acids) on the growth performance and blood biochemical parameters of dairy calves during the pre- and post-weaning
[...] Read more.
We evaluated the effects of rapeseed oil (RSO, rich in oleic, linoleic, and linolenic acids) and a commercial fat source (BOVI-LM, rich in palmitic and stearic acids) on the growth performance and blood biochemical parameters of dairy calves during the pre- and post-weaning phases. Eighteen crossbred bull calves were randomly allocated in a randomized complete block design to three dietary treatments (Control, RSO, and BOVI-LM) during the milk-replacer phase (Phase 1, days 0–28). Due to technical issues, BOVI-LM supplementation was discontinued in Phase 2 (starter-feed phase, days 35–77), leaving only Control (n = 12) and RSO (n = 6). Energy supply was calculated to support target average daily gains of 0.6 (Phase 1) and 1.0 kg (Phase 2). Body weight, clinical health, and blood samples for biochemical analysis were monitored throughout the trial. No treatment effect on body weight or blood biochemical parameters was detected (main effect of treatment: p ≥ 0.18 for all analytes). In contrast, phase and time effects were significant for most biochemical parameters (p < 0.05), reflecting the metabolic transition from a milk-based to a solid-feed diet. Aspartate aminotransferase activity increased over time (p < 0.001), whereas glucose concentrations decreased post-weaning (time × phase: p = 0.020). The treatment × phase interaction was non-significant for all variables (p ≥ 0.13), supporting the absence of detectable carry-over effects and justifying the pooling of former BOVI-LM calves into the Control group in Phase 2.
Full article

Graphical abstract
Open AccessArticle
Performance, Health, and Behavioral Responses of Pre-Weaned Calves to Different Liquid Diets and Physical Forms of Starter
by
Mohammad Hassan Mortazavi, Cristiane Regina Tomaluski, Elizangela Domenis Marino, Julia Martins Feliciano, Jeniffer Rebeca Alvarado-Castro, Ingred Caroline Rocha de Oliveira, Nathalia Isgroi Carvalho and Carla Maris Machado Bittar
Dairy 2025, 6(6), 72; https://doi.org/10.3390/dairy6060072 - 17 Dec 2025
Abstract
This study examines the critical role of whole milk or milk replacer as a liquid diet (LD) with 15% solids in combination with different physical forms of starter as a solid diet (SD), on performance, health, and behavior of pre-weaned calves. Sixty male
[...] Read more.
This study examines the critical role of whole milk or milk replacer as a liquid diet (LD) with 15% solids in combination with different physical forms of starter as a solid diet (SD), on performance, health, and behavior of pre-weaned calves. Sixty male Holstein calves were used in a 2 × 2 factorial design, and randomly distributed into the following treatments: Whole milk powder diluted to 12.5% of solids and enriched with 25 g/L of milk replacer to achieve 15% solids, associated with either micropelleted stater (WM+micro) or texturized stater (WM+text); milk replacer diluted to 15% solids associated with either micropelleted stater (MRmicro) or texturized stater (MRtext). Starter intake and, consequently, total DMI were higher in the MRtext treatment compared to WM+micro. Calves fed texturized starter showed higher DMI, starter intake time, and rumination time. Calves in the WM+Text group showed greater ADG compared with MR treatments, regardless of starter type. Calves fed WM+ presented a lower number of days with fecal score ≥2, and the first day of diarrhea occurred at older ages. Calves fed MR showed more health challenges but similar feed efficiency with WM+, while texturized starter increased intake, eating duration, and rumination compared with micropelleted starter.
Full article
(This article belongs to the Section Dairy Animal Nutrition and Welfare)
►▼
Show Figures

Graphical abstract
Open AccessFeature PaperArticle
Study of Different Enrichment Methods with Blackcurrant Wine and Their Effects on Hard Cheese Properties
by
Renáta Szabó, Erika Veres, Csilla Albert, Éva Laslo, László Gyenge and Rozália Veronika Salamon
Dairy 2025, 6(6), 71; https://doi.org/10.3390/dairy6060071 - 12 Dec 2025
Abstract
Cheese consumption is steadily increasing worldwide, with a growing interest in cheese enriched with bioactive substances, including antioxidants. This study investigated the impact of adding blackcurrant wine to the curd (IC), enriching the curd with blackcurrant wine by soaking and ripening in salted
[...] Read more.
Cheese consumption is steadily increasing worldwide, with a growing interest in cheese enriched with bioactive substances, including antioxidants. This study investigated the impact of adding blackcurrant wine to the curd (IC), enriching the curd with blackcurrant wine by soaking and ripening in salted blackcurrant wine (IOC), and cheese soaked and ripened in blackcurrant wine with 5% (w/w) NaCl (OC). The curd and added wine weight ratio (1.5:1, 3:1) effects were also studied. Physicochemical (dry matter, polyphenol content, antioxidant activity, radical-scavenging activity, anthocyanin content like delphinidin-3-rutoside and cyanidin-3-rutoside, ethanol content), microbiological, and sensory properties of the cheeses were evaluated. The results indicated that a week of soaking is sufficient to achieve the maximum antioxidant capacity and polyphenol content of the cheese. From a technological and sensory point of view, a 1.5:1 ratio of blackcurrant wine to curd was better. The maximum transfer rate of delphinidin-3-rutoside from wine was the most pronounced in IOC samples (20.44%). Blackcurrant wine inhibited the growth of lactic acid bacteria, and a longer soaking time can hinder the ripening process of cheese. During tasting, among the treated cheese, IC samples received the highest average acceptance scores for appearance, texture, creaminess, flavor, saltiness, bitterness, freshness and overall impressions.
Full article
(This article belongs to the Topic Food Processing and Preservation: Innovative Solutions for Natural Food Preservation, 2nd Edition)
►▼
Show Figures

Figure 1
Open AccessArticle
Moringa Extract to Modulate Rumen Fermentation and Lactation Performance of Ewes
by
Renata Alves Chagas, Tatiane Fernandes, Cristiane Rebouças Barbosa, Jessica de Carvalho Pantoja, Samuel Rodrigues Navarro, Marcus Vinicius Morais de Oliveira, Cláudia Andréa Lima Cardoso and Fernando Miranda de Vargas, Jr.
Dairy 2025, 6(6), 70; https://doi.org/10.3390/dairy6060070 - 25 Nov 2025
Abstract
This study aimed to evaluate the supplementation of aqueous extract of Moringa oleifera (AEMO) as a natural ruminal modulator to improve the lactation performance of ewes. The AEMO was prepared by chopping Moringa oleifera leaves and diluting them in distilled water (163.3 g
[...] Read more.
This study aimed to evaluate the supplementation of aqueous extract of Moringa oleifera (AEMO) as a natural ruminal modulator to improve the lactation performance of ewes. The AEMO was prepared by chopping Moringa oleifera leaves and diluting them in distilled water (163.3 g DM/L). Twelve ewes were used in a replicated 3 × 3 Latin square, with periods of 14 days (assessments on the last five days of each period). Treatments were as follows: 20 mL of water as Control, 20 mL of AEMO (20-AEMO), and 40 mL of AEMO (40-AEMO). Ewes were milked twice a day (7:30 a.m. and 2:30 p.m.). Diet corresponds to grain mix (at 3% of BW) and hay ad libitum. We determined the intake, digestibility, fermentative measurements, metabolic measurements, and milk production and composition. Intake and digestibility were not affected by AEMO. Milk yield and the concentrations of fat, protein, and lactose were numerically lower in ewes supplemented with 20-AEMO. A linear decrease in milk protein yield was observed when the highest extract level (40-AEMO) was used. Ruminal pH did not differ among treatments; however, there was a tendency for reduced acetate and increased propionate concentrations, which corresponded with a non-significant numerical decrease in methane estimates in 40-AEMO group. Blood and urinary parameters were not affected by AEMO supplementation. Inclusion of Moringa extracts as an additive in lactating ewes diet does not affect intake and nutrient digestibility, but tends to affect ruminal fermentation and microbial synthesis, with possible changes in methane emission estimation, and impair milk protein production. Therefore, we recommend studies with different extract concentrations to investigate possible effects on rumen fermentation and the synthesis of milk compounds.
Full article
(This article belongs to the Topic Effects of Dietary Interventions on Farm Animal Welfare and Production)
Open AccessArticle
Bioconversion of Deproteinized Cheese Whey to Metabolites by Understudied Cryptococcus-Related Yeasts: Characterization and Properties of Extracted Polysaccharides
by
Gabriel Vasilakis, Antonios Georgoulakis, Eleni Dalaka, Georgios Bekiaris, Ilias Diamantis, Dimitris Karayannis, Maria-Eleftheria Zografaki, Panagiota Diamantopoulou, Emmanouil Flemetakis, Georgios Theodorou, Ioannis Politis and Seraphim Papanikolaou
Dairy 2025, 6(6), 69; https://doi.org/10.3390/dairy6060069 - 21 Nov 2025
Abstract
Microbial bioconversion of agro-industrial by-products into high-value-added metabolites such as polysaccharides or lipids serves a dual purpose: mitigating environmental pollution through waste reduction and supporting the development of novel bioproducts. In this study, a non-conventional, poorly studied Cryptococcus albidus strain was initially assessed
[...] Read more.
Microbial bioconversion of agro-industrial by-products into high-value-added metabolites such as polysaccharides or lipids serves a dual purpose: mitigating environmental pollution through waste reduction and supporting the development of novel bioproducts. In this study, a non-conventional, poorly studied Cryptococcus albidus strain was initially assessed for its ability to grow on semi-defined media containing lactose, glycerol, or glucose under three distinct nitrogen availability conditions at C/N equal to 20, 80, and 160 mol/mol in shake flask cultures. The goal was to evaluate biomass production and synthesis of valuable metabolites under these conditions. C. albidus demonstrated robust growth on all commercial carbon sources, particularly under nitrogen-rich conditions, producing more than 25.0 g/L of microbial biomass with a high intracellular polysaccharide content (>45%, w/w). Additionally, mannitol production was detected in cultures with glycerol and glucose (9.1 and 13.1 g/L, respectively), especially after nitrogen depletion. Subsequently, C. albidus and a Cutaneotrichosporon curvatus strain were batch-cultivated using pretreated secondary cheese whey (SCW) as a carbon-rich waste substrate. When cultivated on SCW, both yeast strains partially metabolized lactose and produced polysaccharide-rich biomass, dominated by β-glucans (>29% of total biomass), compounds known for their functional and bioactive properties. The cellular polysaccharides (cPS extracted from C. albidus exhibited cytotoxic effects against cancer cells, suggesting their potential use as biological response modifiers. In contrast, the cPS from C. curvatus did not affect cell viability, indicating their promise as ingredients for applications in the food, feed, pharmaceutical, or cosmetic sectors.
Full article
(This article belongs to the Section Metabolomics and Foodomics)
►▼
Show Figures

Graphical abstract
Open AccessArticle
Ultrasonographic Assessment of Glandular Cistern Area in Dairy Cows with Clinical and Subclinical Mastitis: Feasibility, Reliability, and Diagnostic Implications
by
Giulia Sala, Matteo Castelli, Chiara Orsetti, Arianna Cervelli, Giovanni Armenia and Francesca Bonelli
Dairy 2025, 6(6), 68; https://doi.org/10.3390/dairy6060068 - 21 Nov 2025
Abstract
►▼
Show Figures
Ultrasonography has been proposed as a complementary tool for the evaluation of udder health, yet limited information exists on its application for measuring the glandular cistern area during mastitis. This study aimed to investigate modifications of the glandular cistern area in clinical (CM)
[...] Read more.
Ultrasonography has been proposed as a complementary tool for the evaluation of udder health, yet limited information exists on its application for measuring the glandular cistern area during mastitis. This study aimed to investigate modifications of the glandular cistern area in clinical (CM) and subclinical mastitis (SCM) compared with contralateral healthy quarters, and to assess the reliability of manual and automated ultrasonographic measurements. A longitudinal study was conducted on 42 Italian Holstein cows, comprising 26 SCM and 16 CM quarters, each paired with contralateral healthy controls. Ultrasound examinations were performed at diagnosis (T0), 24 h (T1), and 5 days (T5). Cisternal areas were measured in transversal and longitudinal sections using both manual and ImageJ-guided methods. Intra- and inter-operator reliability was assessed using Intraclass Correlation Coefficients (ICCs). Statistical analyses included two-way mixed ANOVA with post-hoc Bonferroni correction. Mastitic quarters tended to show smaller cisternal areas compared with contralateral healthy quarters, with significant differences observed between contralateral healthy and CM quarters (p < 0.05), but not between contralateral healthy and SCM or between SCM and CM quarters. Temporal trends differed significantly among groups (interaction effect, p < 0.05). Both manual and automated measurements demonstrated excellent intra- and inter-operator reliability, with ICCs consistently > 0.95 across pathology groups and time points. Ultrasonography of the glandular cistern is a feasible, reproducible, and reliable method under field conditions. Clinical mastitis is associated with a measurable reduction in cisternal area, while changes in subclinical mastitis appear less evident. The high reproducibility of measurements, including automated analysis, supports the use of this technique may contribute to improve the use of ultrasound also for the udder heath.
Full article

Figure 1
Open AccessArticle
Deodorization of Spirulina (Arthrospira platensis) to Improve the Sensory Attributes of Spirulina-Enriched Yogurt
by
Adrián Ponce de León-Door, Pedro González-Pérez, Guadalupe I. Olivas, Francisco Javier Molina-Corral, Jesús Cristian Amaro-Hernández and David R. Sepulveda
Dairy 2025, 6(6), 67; https://doi.org/10.3390/dairy6060067 - 7 Nov 2025
Abstract
The incorporation of Arthrospira platensis into dairy products offers health benefits but is limited by its undesirable aroma and flavor. This study evaluated three deodorization strategies—adsorption by activated carbon, extraction with ethanol, and fermentation with Saccharomyces cerevisiae—to improve the sensory profile of
[...] Read more.
The incorporation of Arthrospira platensis into dairy products offers health benefits but is limited by its undesirable aroma and flavor. This study evaluated three deodorization strategies—adsorption by activated carbon, extraction with ethanol, and fermentation with Saccharomyces cerevisiae—to improve the sensory profile of A. platensis and enhance its acceptability in yogurt. Deodorized powders were characterized for proximal and volatile composition and used to formulate yogurts at five concentrations (0.5–2.5% w/v). Texture, aroma volatile profile, and sensory attributes were assessed after yogurt production, while shelf-life quality attributes were monitored over 29 days of refrigerated storage. Yogurts containing fermented A. platensis showed higher sensory scores (>8.7/10), the greatest purchase intent (>71.4%), and improved texture, remaining acceptable at an addition level of 2.5%. In contrast, yogurts with untreated or carbon-activated treated A. platensis were only acceptable at low addition levels (≤0.5%) due to off-flavors and textural issues. Ethanol effectively reduced aldehydes and ketones (such as Safranal and β-Ionone), while fermentation eliminated pyrazines and generated desirable alcohols and acids (such as 1-Pentanol and Butanoic acid). These findings highlight fermentation as a promising strategy to deodorize A. platensis and improve its integration into dairy matrices, enabling the development of functional yogurts with enhanced sensory quality and nutritionally relevant microalgae content.
Full article
(This article belongs to the Section Milk Processing)
►▼
Show Figures

Graphical abstract
Open AccessArticle
Influence of Dietary and Ruminal Factors on Microbial and Non-Microbial Nitrogen Flows to the Small Intestine in Lactating Dairy Cows: A Meta-Analysis
by
Danilo D. Millen, Gercino F. Virgínio, Jr., Fernanda F. Alves, Charles G. Schwab and Sergio Calsamiglia
Dairy 2025, 6(6), 66; https://doi.org/10.3390/dairy6060066 - 7 Nov 2025
Abstract
Improving nitrogen efficiency in dairy cattle requires a better understanding of the dietary and ruminal factors that regulate nitrogen partitioning. This meta-analysis evaluated the effects of ruminal pH and dietary characteristics on microbial nitrogen (MN), non-microbial non-ammonia nitrogen (NANMN), and NAN flows to
[...] Read more.
Improving nitrogen efficiency in dairy cattle requires a better understanding of the dietary and ruminal factors that regulate nitrogen partitioning. This meta-analysis evaluated the effects of ruminal pH and dietary characteristics on microbial nitrogen (MN), non-microbial non-ammonia nitrogen (NANMN), and NAN flows to the small intestine in lactating cows. A dataset was assembled from 44 peer-reviewed in vivo studies (163 data points), with dietary intake and ruminal variables standardized across trials. Mixed linear models were developed for each N fraction, and the relative contribution of each predictor to the explained variance was assessed using semipartial coefficients of determination (pR2). Efficiency of microbial protein synthesis (EMPS), rumen undegraded protein intake (RUPI), and organic matter truly digested in the rumen (OMTDR) were the most relevant predictors of NANMN and NAN. Although the ruminal pH itself was not statistically significant in the models, the dietary components that influenced pH, starch concentration, physically effective fiber, and RUP supply were strongly associated with nitrogen flow profiles. Nitrogen utilization was not affected by ruminal pH, but rather by the combination of fermentable substrates and the supply of rumen-degradable and undegraded protein.
Full article
(This article belongs to the Section Dairy Animal Nutrition and Welfare)
Open AccessSystematic Review
Bioactive Peptides from Dairy Products: A Systematic Review of Advances, Mechanisms, Benefits, and Functional Potential
by
Ermioni Meleti, Michalis Koureas, Athanasios Manouras, Persephoni Giannouli and Eleni Malissiova
Dairy 2025, 6(6), 65; https://doi.org/10.3390/dairy6060065 - 6 Nov 2025
Cited by 1
Abstract
►▼
Show Figures
Bioactive peptides (BAPs) from dairy products have garnered increasing attention as natural agents with health-promoting properties, including antihypertensive, antioxidant, antimicrobial, immunomodulatory, opioid, and antidiabetic activities. This systematic review synthesizes research published between 2014 and 2024, retrieved from Scopus and PubMed, and selected according
[...] Read more.
Bioactive peptides (BAPs) from dairy products have garnered increasing attention as natural agents with health-promoting properties, including antihypertensive, antioxidant, antimicrobial, immunomodulatory, opioid, and antidiabetic activities. This systematic review synthesizes research published between 2014 and 2024, retrieved from Scopus and PubMed, and selected according to PRISMA guidelines. A total of 192 studies met the inclusion criteria, collectively reporting over 3200 distinct peptides, with antihypertensive sequences, predominantly angiotensin-converting enzyme (ACE) inhibitors, constituting the largest category (n = 1237). β-casein was the principal precursor across bioactivities, followed by αs1-casein, β-lactoglobulin, and α-lactalbumin. Peptides were primarily produced via enzymatic hydrolysis, microbial fermentation, and gastrointestinal digestion, with peptide profiles influenced by the type of milk, microbial strains, and processing conditions. While cow’s milk remained the dominant source, investigations into goat, sheep, camel, buffalo, and donkey milk revealed species-specific biopeptides. Recent advances in proteomics have enhanced peptide identification and bioactivity prediction, enabling the discovery of novel sequences. These findings underscore the significant potential of dairy-derived BAPs as functional food components and nutraceutical ingredients, while highlighting the need for further in vivo validation, bioavailability studies, and broader exploration of underrepresented milk sources.
Full article

Figure 1
Open AccessFeature PaperArticle
Effects of Stress of the Endoplasmic Reticulum on Genome-Wide Gene Expression in the Bovine Liver Cell Model BFH12
by
Eron Bajrami, Gaiping Wen, Sarah M. Grundmann, Robert Ringseis, Denise K. Gessner and Klaus Eder
Dairy 2025, 6(6), 64; https://doi.org/10.3390/dairy6060064 - 31 Oct 2025
Abstract
Previous studies have demonstrated that high-yielding dairy cows experience endoplasmic reticulum (ER) stress in the liver during early lactation. To date, most insights into the role of ER stress in metabolism and disease pathophysiology have been derived from rodent and human models. In
[...] Read more.
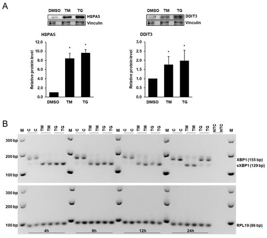
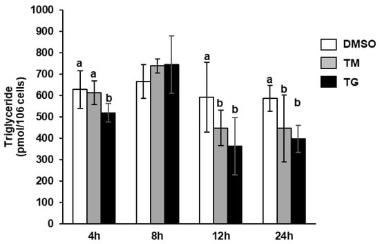
Previous studies have demonstrated that high-yielding dairy cows experience endoplasmic reticulum (ER) stress in the liver during early lactation. To date, most insights into the role of ER stress in metabolism and disease pathophysiology have been derived from rodent and human models. In dairy cattle, however, the specific impact of ER stress on metabolic pathways and its contribution to disease development remain insufficiently characterized. The objective of this study was therefore to investigate the molecular effects of ER stress using a bovine liver cell model (BFH12 cells). ER stress was induced by incubation with Tunicamycin (TM) and Thapsigargin (TG). Molecular responses to ER stress were assessed via a whole-genome array analysis and PCR targeting genes involved in selected metabolic pathways. Incubation with both ER stress inducers resulted in a marked upregulation of genes associated with the unfolded protein response (UPR) within a 4 to 24-h time frame, indicative of the production of robust ER stress in these cells. Unexpectedly, treatment with TM led to a downregulation of numerous genes involved in lipid biosynthesis, including those related to lipogenesis and cholesterol synthesis. Furthermore, incubation with TM and TG induced upregulation of genes involved in fatty acid oxidation and was accompanied by a reduction in intracellular triglyceride concentrations. Genes associated with inflammatory responses were upregulated by both TM and TG, whereas genes encoding antioxidant enzymes were downregulated. Genes involved in ketogenesis did not exhibit a consistent pattern of regulation. Overall, several effects of ER stress previously described in rodent models could not be replicated in this bovine liver cell system. Extrapolating these findings to dairy cows suggests that while ER stress may contribute to hepatic inflammation, it is unlikely to play a significant role in the development of hepatic lipidosis or ketosis.
Full article
(This article belongs to the Section Dairy Animal Health)
►▼
Show Figures

Figure 1
Open AccessFeature PaperArticle
Energy Sustainability in the Ripening of Traditional Cheese: Renewable Energy Sources and Internet of Things Based Energy Monitoring
by
João M. Santos, João M. Garcia, João Dias, João C. Martins, Nuno Alvarenga, Elsa M. Gonçalves, Daniela Freitas, Karina Silvério, Jaime Fernandes, Sandra Gomes, Manuela Lageiro, Miguel Potes and José Jasnau Caeiro
Dairy 2025, 6(6), 63; https://doi.org/10.3390/dairy6060063 - 30 Oct 2025
Cited by 1
Abstract
►▼
Show Figures
Improving the energy efficiency of traditional production methods while preserving their cultural and economic value is a challenge aligned with the Sustainable Development Goals of the 2030 agenda. Refrigeration during cheese maturation is particularly energy-intensive, contributing significantly to greenhouse gas emissions and operating
[...] Read more.
Improving the energy efficiency of traditional production methods while preserving their cultural and economic value is a challenge aligned with the Sustainable Development Goals of the 2030 agenda. Refrigeration during cheese maturation is particularly energy-intensive, contributing significantly to greenhouse gas emissions and operating costs. An approach to make traditional cheese production more sustainable, through the development of a prototype ripening chamber with a natural refrigerant-based refrigeration system powered by renewable energy was studied. A dedicated system based on an Internet of Things architecture was developed using low-cost sensors, microcontroller units, and single-board computers to enable real-time measurement and monitoring of environmental variables and energy consumption throughout the ripening process. A comparative analysis was conducted using ewe’s milk cheese, produced and ripened with Protected Designation of Origin conditions, in both the prototype and the conventional chambers over four weeks, quantifying energy consumption and evaluating product quality. Results demonstrate the technical feasibility of energy efficient and sustainable refrigeration systems, as well as the possibility of retrofitting installed cheese ripening chambers with affordable IoT monitoring systems, while maintaining traditional cheese quality standards.
Full article

Figure 1
Open AccessArticle
Assessment of Sialic Acid Content in Dairy Products from Buffalo’s and Goat’s Milk Compared to Cow’s Milk
by
Simona Rinaldi, Michela Contò, Carlo Boselli, Giuliano Palocci, Angelo Citro and Sebastiana Failla
Dairy 2025, 6(6), 62; https://doi.org/10.3390/dairy6060062 - 28 Oct 2025
Abstract
Sialic acids (SIAs) are bioactive compounds present in glycoproteins and glycolipids, playing key roles in human physiology. N-acetylneuraminic acid (Neu5Ac), the only sialic acid synthesized by humans, contributes to neurodevelopment and immune function, whereas N-glycolylneuraminic acid (Neu5Gc), acquired from animal-derived foods, is potentially
[...] Read more.
Sialic acids (SIAs) are bioactive compounds present in glycoproteins and glycolipids, playing key roles in human physiology. N-acetylneuraminic acid (Neu5Ac), the only sialic acid synthesized by humans, contributes to neurodevelopment and immune function, whereas N-glycolylneuraminic acid (Neu5Gc), acquired from animal-derived foods, is potentially harmful, showing pro-inflammatory properties. Accordingly, a high Neu5Ac/Neu5Gc ratio represents an important nutritional indicator. This study quantified the two main forms of SIA in five commercial cheese types (mozzarella, stracchino, caciotta, robiola, ricotta) produced from cow (C), buffalo (B), and goat (G) milk, as well as in laboratory cheesemaking from 1000 g of milk from each species. Neu5Gc concentrations were significantly higher in G cheeses (p < 0.001), while Neu5Ac was more abundant in C cheeses (p < 0.05). Consequently, the Neu5Ac/Neu5Gc ratio was markedly higher in C and B cheeses (24.11 and 21.57, respectively) than in G (1.29), reflecting species-specific glycosylation patterns. Among cheese types, ricotta produced from whey exhibited the highest SIA concentrations among all species, followed by robiola, mozzarella and stracchino. In contrast, caciotta showed the lowest SIA levels. The laboratory cheesemaking trial confirmed that most SIAs remained bound to whey proteins. These findings highlighted the combined effect of milk species and cheesemaking on sialylation, with potential nutritional implications.
Full article
(This article belongs to the Section Milk and Human Health)
►▼
Show Figures

Graphical abstract
Open AccessFeature PaperArticle
Lipidomic and Metabolomic Signatures of the Traditional Fermented Milk Product Gioddu
by
Cristina Manis, Mattia Casula, Margherita Chessa, Nicoletta P. Mangia and Pierluigi Caboni
Dairy 2025, 6(5), 61; https://doi.org/10.3390/dairy6050061 - 21 Oct 2025
Abstract
►▼
Show Figures
Fermented dairy products such as yogurt, kefir, and traditional cheeses are increasingly consumed worldwide for their nutritional and probiotic properties. Lipidomic profiling provides valuable insights into microbial-driven biochemical changes during fermentation. In this study, we performed a comprehensive untargeted lipidomic analysis of sheep
[...] Read more.
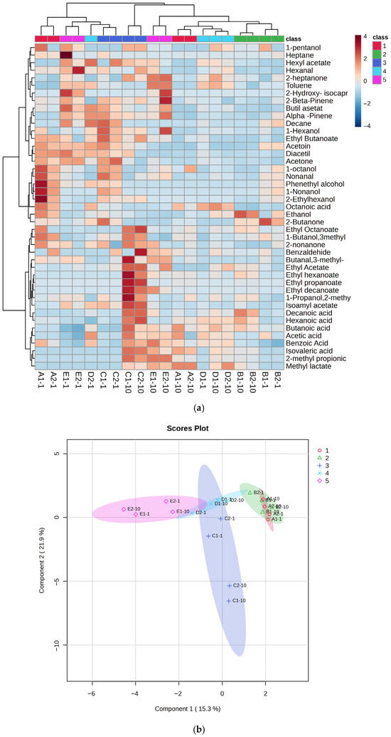
Fermented dairy products such as yogurt, kefir, and traditional cheeses are increasingly consumed worldwide for their nutritional and probiotic properties. Lipidomic profiling provides valuable insights into microbial-driven biochemical changes during fermentation. In this study, we performed a comprehensive untargeted lipidomic analysis of sheep milk and Gioddu, a traditional Sardinian fermented dairy product. Using UHPLC-QTOF-MS platform, we observed that fermentation significantly reshaped the lipidome. Gioddu samples showed higher levels of phosphatidylethanolamines (PE) and lysophosphatidylethanolamines (LPE), together with a pronounced reduction in sphingolipids (glucosylceramides, ceramides, sphingomyelins) and glycerophospholipids (phosphatidylinositols, phosphatidylserines, phosphatidylcholines) compared to sheep milk. These findings align with known enzymatic activities of lactic acid bacteria (LAB), including phospholipases A1 and A2, phosphatidylinositol-specific phospholipase C (PI-PLC), and sphingomyelinase. Fermentation also affected triglycerides, with reduced levels of FA 18:1-containing species, suggesting the selective lipolysis of monounsaturated fatty acids by microbial lipases. Complementary metabolomic profiling revealed reduced levels of simple sugars such as galactose and inositol in Gioddu samples, consistent with their use as primary carbon sources during early fermentation. Conversely, a marked accumulation of carboxylic acids (succinic, malic, hydroxyisovaleric, hydroxyglutaric, glyceric) was revealed, reflecting enhanced microbial fermentative activity. Increased levels of amino acids, including alanine, serine, proline, and ethanolamine, further highlighted active proteolysis and membrane remodeling driven by LAB metabolism. These findings show that LAB enzymes play a key role in modifying the lipidome of fermented dairy products, highlighting their metabolic flexibility and potential impact on nutritional and health properties. This integrated approach sheds new light on the metabolic plasticity of fermentative processes and underscores the value of omics-based tools in understanding traditional food systems.
Full article

Figure 1
Open AccessFeature PaperArticle
Non-Specific Cross Protection of BCG Vaccination in Dairy Calves
by
Renata López, Valentina Villarroel, Víctor Neira, Carolina Aguayo, Karina Saadi, Katherinne Orozco, Pedro Abalos and Patricio Retamal
Dairy 2025, 6(5), 60; https://doi.org/10.3390/dairy6050060 - 16 Oct 2025
Abstract
Bovine tuberculosis (bTB) is mainly caused by Mycobacterium bovis, which affects cattle, leading to significant economic losses. In Chile, the vaccination with the M. bovis Bacillus Calmette-Guérin (BCG) strain has been implemented in dairy herds with high prevalence of bTB. This study
[...] Read more.
Bovine tuberculosis (bTB) is mainly caused by Mycobacterium bovis, which affects cattle, leading to significant economic losses. In Chile, the vaccination with the M. bovis Bacillus Calmette-Guérin (BCG) strain has been implemented in dairy herds with high prevalence of bTB. This study evaluated non-specific protection associated with BCG on the detection of pathogen-associated genes (nsp5, stx1, stx2, invA, IS1081) and mortality related to diarrhea and pneumonia in calves. A total of 186 calves from a commercial dairy farm were enrolled and grouped as vaccinated (n = 96) and non-vaccinated (n = 90). The BCG Russia strain (2–5 × 105 UFC) was inoculated subcutaneously within the first 30 days after birth. Animals were monitored through fecal sampling at 3 and 6 months of age for molecular detection of gene sequences. A logistic regression analysis showed differences in detection rates of the stx1 sequence at 3 months, with a higher risk for the non-vaccinated individuals (OR 2.91, CI 1.42–5.94, p = 0.03) and for those born in the cold season (OR 9.55, CI 2.02–45.11, p = 0.004). A Kaplan–Meier survival analysis showed a significant difference in deaths in vaccinated calves compared with non-vaccinated animals (p = 0.018), suggesting that BCG confers non-specific protection during the first 3 months after birth, in field conditions.
Full article
(This article belongs to the Section Dairy Animal Health)
►▼
Show Figures

Figure 1
Open AccessArticle
State-Level Geographic Disparities and Temporal Patterns in Milk Somatic Cell Counts Across the United States, 2011–2023
by
Jessica Vidlund, Agricola Odoi, Russell Zaretzki and Chika C. Okafor
Dairy 2025, 6(5), 59; https://doi.org/10.3390/dairy6050059 - 15 Oct 2025
Abstract
The dairy industry faces challenges from mastitis, which affects milk quality. Somatic Cell Counts (SCCs) are key indicators of udder health, subclinical mastitis presence, and legal thresholds. However, limited research has explored geographic disparities and temporal patterns in SCCs across the USA, despite
[...] Read more.
The dairy industry faces challenges from mastitis, which affects milk quality. Somatic Cell Counts (SCCs) are key indicators of udder health, subclinical mastitis presence, and legal thresholds. However, limited research has explored geographic disparities and temporal patterns in SCCs across the USA, despite their critical role in informing targeted herd management strategies, optimizing policy interventions, and ensuring consistent milk quality standards. This study aimed to examine temporal trends and geographic disparities in median weighted SCCs (mwSCCs) across USA states. This study analyzes SCC data using records from the Dairy Herd Improvement Association across 42–45 states between 2011 and 2023. State-level differences in mwSCCs were examined, with temporal changes assessed using percent differences between 2011 and 2023. Moran’s I and Local Indicators of Spatial Association (LISA) were used to identify spatial clusters of states with high and low mwSCCs. The mwSCCs decreased by 24.8%, from 234,000 cells/mL in 2011 to 176,000 cells/mL in 2023, with significant reductions in Virginia and Georgia, while Tennessee and South Carolina had minimal declines. However, Texas, California, and Colorado saw increases, with Colorado rising by 147.9%. Spatial clustering revealed high mwSCCs in the southeast and low levels in the northeast, highlighting the need for region-specific strategies.
Full article
(This article belongs to the Section Milk and Human Health)
►▼
Show Figures

Figure 1
Highly Accessed Articles
Latest Books
E-Mail Alert
News
Topics
Topic in
Agriculture, Dairy, Foods, Nutrients, Animals
Advances in Animal-Derived Non-Cow Milk and Niche Cow Milk. Properties, Processing, Dairy Products and Environmental Impact, 2nd Edition
Topic Editors: Jacek Wójtowski, Jan Pikul, Maria Markiewicz-KęszyckaDeadline: 31 January 2026
Topic in
Agriculture, Beverages, Dairy, Fermentation, Foods
Food Processing and Preservation: Innovative Solutions for Natural Food Preservation, 2nd Edition
Topic Editors: Ângela Fernandes, Filipa MandimDeadline: 31 March 2026
Topic in
Beverages, Dairy, Foods, IJERPH, Nutrients
Ways to Achieve Healthy and Sustainable Diets
Topic Editors: Verônica Cortez Ginani, Renata Puppin ZandonadiDeadline: 18 April 2026
Topic in
Animals, Dairy, Genes, Agriculture, Poultry, Ruminants, Veterinary Sciences
Application of Reproductive and Genomic Biotechnologies for Livestock Breeding and Selection: 2nd Edition
Topic Editors: Manuel García-Herreros, Pedro Manuel AponteDeadline: 30 April 2026
Conferences
Special Issues
Special Issue in
Dairy
Optimizing Production, Quality and Safety of Sheep and Goat Milk
Guest Editor: Zvonimir PrpićDeadline: 15 April 2026
Special Issue in
Dairy
Precision Biomarkers for Early Detection and Prevention of Disease in Dairy Cows
Guest Editors: Ramunas Antanaitis, Lina AnskienėDeadline: 5 July 2026
Special Issue in
Dairy
Smart Dairy Farming: Automatic Monitoring for Dairy Farm Sustainability, Efficiency and Environmental Impact
Guest Editor: Olivier DebaucheDeadline: 15 July 2026
Special Issue in
Dairy
Farm Management Practices to Improve Milk Quality and Yield
Guest Editors: Lucie Hasoňová, Eva SamkováDeadline: 10 August 2026




