Abstract
This review describes the recent Food and Drug Administration (FDA)-approved drugs (in the year 2021) containing at least one halogen atom (covalently bound). The structures proposed throughout this work are grouped according to their therapeutical use. Their synthesis is presented as well. The number of halogenated molecules that are reaching the market is regularly preserved, and 14 of the 50 molecules approved by the FDA in the last year contain halogens. This underlines the emergent role of halogens and, in particular, of fluorine and chlorine in the preparation of drugs for the treatment of several diseases such as viral infections, several types of cancer, cardiovascular disease, multiple sclerosis, migraine and inflammatory diseases such as vasculitis.
1. Introduction
In the last years, new halogen-containing drugs have emerged. In 2021, 14 new chemical entities (Table S1) were approved by the FDA for clinical use [1]. In the previous year, the very same number of halogenated molecules reached the market [2]. These data highlight two aspects: from one side, a big effort in searching for new therapies has been done despite the COVID-19 pandemic, and from the other, the use of halogens is becoming regular in medicinal chemistry.
Not only synthetic compounds but also halogenated natural products are worth mentioning, since they display a broad range of biological activities (e.g., antibacterial, antifungal and anticancer) [3]. As an example, vancomycin (Figure 1) is a clinical, chlorine-containing antibiotic obtained from the bacterium Streptomyces orientalis, which is mainly used to treat methicillin-resistant Staphylococcus aureus (MRSA) infections [4].
Figure 1.
Structure of vancomycin, a natural antibacterial compound with activity against methicillin-resistant Staphylococcus aureus (MRSA).
Another very important class is marine algae that have been largely investigated in the last few decades given their ability to produce halogenated metabolites with potential use, among the others, in the pharmaceutical industry [5]. In this particular case, chlorine and bromine appear often in biologically active metabolites, whereas iodine and fluorine remain quite unusual within the chemical structures [6]. It is interesting to note that bromine is more frequently present as a substituent in algae organohalogenated compounds in spite of chlorine being more concentrated than bromine in sea water [5].
Opposite to this trend, fluorine is prevalently employed in modern medicinal chemistry [7]: eight approved drugs out of 14 in 2021 were fluorine-containing drugs, four contained chlorine and two contained a combination of the two halogens. Thirteen new fluorinated drugs were approved by the FDA in 2020 for commercial use [8]. None possessed bromine or iodine. For this reason, we will confine our topic to fluorine and chlorine only. Only a few examples in the literature have reported fluorine in natural organisms. Fluoroacetate and some fluorinated fatty acids have been reported, for instance, in actinomycetes species [9].
In this review, we will briefly describe the chemical properties of halogen atoms in order to justify the predominance of -F and -Cl in drugs. Moreover, we will provide the chemical synthesis of the 14 approved halogenated drugs in 2021.
2. Fluorine and Chlorine in Medicinal Chemistry
Despite the smallest size among the halogens, the introduction of fluorine onto a chemical scaffold is able to introduce changes that affect the physicochemical properties and the conformation of a molecule. Being the most electronegative element in the periodic table (xP (Pauling) 4.0) [10], fluorine plays an important role in the modulation of pKa of neighboring functionalities [11]. For instance, the fluorination in a 3-piperidinylindole antipsychotic drugs series decreased the basicity of the neighboring amine, thereby improving the bioavailability and affinity towards the 5-HT2A serotonin receptor [12]. This came from the fact that it was not necessary to further substitute piperidine in order to obtain good binding at the 5-HT2A receptors. Further fluorination at position 6 of the indole provided higher metabolic stability [10,12] (Table 1).
Table 1.
Effect of fluorine on a 3-piperidinylindole series endowed with antipsychotic activities. a Affinities at a human-cloned 5-HT2A receptor. b Acid dissociation constant for the piperidinic-NH. c Bioavailablity (%) in rats.
Lipophilicity is affected as well by the addition of fluorine onto aliphatic and aromatic scaffolds. In the former case, the monofluorination or trifluoromethylation of saturated alkyl groups usually decreases the lipophilicity due to the strong electron-withdrawing capabilities of fluorine [13]. In the latter, fluoro-arenes are more lipophilic than des-fluoro ones due to the low polarizability of the C-F bond [13].
Moreover, the installation of a fluorine atom in the ortho-position to an NH function on the aromatic ring is often used to enhance the membrane permeability [14].
From a conformational point of view, the addition of one single fluorine has a reduced steric effect, leaving mostly unchanged the interaction with the receptor site if compared to the same interaction with a molecule bearing a hydrogen atom in the same position; this can be explained by the similar van der Waals radii (rv) of fluorine and hydrogen: 1.47 Å and 1.20 Å, respectively. On the other hand, the commonly used trifluoromethyl group is sterically more demanding and almost equivalent to an ethyl group [15].
The highly electronegative nature of fluorine makes it a good hydrogen bond acceptor from H-bond donors but does not establish as good of halogen bonds as chlorine and bromine, because it does not typically feature a σ-hole [16].
Another important use is that fluorinated functionality can be incorporated into endogenous substrates or ligands through 19F-markers to investigate protein functions [17].
Synthetically, given the high electronegativity of fluorine, the design of electrophilic fluorine source (F+) has been more challenging over the years with respect to bromine and chlorine sources. In this sense, Selectfluor® [18] (Figure 2) has been groundbreaking, allowing several transformations on alkanes [19] and aromatic scaffolds [20]. In regard to the aromatic substrates, electron-donating substituents are known to increase the rate of the formation and yield of fluorinated compounds, obviously [21].
Figure 2.
Structure of Selectfluor®.
In summary, although it has a weak ability to form halogen bonds, fluorine establishes strong and stable bonds with carbon and allows fine-tuning several properties (both physicochemical and volumetric).
In 2019, more than 250 FDA-approved chlorine-containing drugs were available on the market [22]; this underlines the importance of this element in drug discovery.
According to Business Wire, chlorine is a major key ingredient in many drugs to treat diseases such as meningitis, cholera, plague, typhoid, bacterial skin infections, respiratory and nervous system problems, etc. [22].
Chlorine occupies an intermediate position in the halogen series. It is greater in size than fluorine, and its bond with carbon (C–Cl bond) is stable enough that it allows its insertion in diverse heterocyclics of pharmacological value [23]. Chlorine is a better halogen bond acceptor compared to fluorine. The most important impact of a nonreactive chlorine atom on the biological activity of many compounds comes when it is a substituent on an aromatic, heteroaromatic or olefinic moiety. In these cases, the steric and/or electronic effects of the chlorine substituents lead to local electronic attraction or repulsion and/or to steric interference with any surrounding amino acids of target proteins [22].
The chlorine atom is often viewed as isosteric and has similar physicochemical properties of the methyl group; therefore, it is very often selected as a bioisosteric replacement because of its ability to alter the in vivo metabolism.
Another important aspect that needs to be considered is that the chemical processes for the synthesis of chlorine-containing compounds are well-known on the industrial scale and has reasonable costs.
3. New Halogen-Containing Drugs
In this section, we will discuss some synthetic aspects for the newly halogenated approved drugs in 2021 by grouping them following their therapeutic indication: cancer, viral infections, multiple sclerosis, migraines, vasculitis and cardiovascular diseases.
3.1. Halogenated Anticancer Drugs Approved in 2021
In 2021, on the occasion of the 50th anniversary of the National Cancer Act [24], several new therapies were approved by the FDA (six halogenated compounds: tivozanib, sotorasib, melphalan flufenamide, asciminib, infrigatinib and umbralisib). We included in this group two more drugs that are not, strictly speaking, anticancer agents, but they are connected to the disease (Piflufolastat F-18 for the identification of prostate antigen-positive lesions in patients suspected of prostate cancer metastasis and belzutifan, which is used for von Hippel-Lindau disease, an inherited disorder whose hallmarks are tumors and cysts) [1].
3.1.1. Tivozanib
Tivozanib, (10, brand name Fotivda®) is intended for treating adults with advanced renal cell carcinoma. It works by blocking the activity of proteins known as VEGFR (Vascular Endothelial Growth Factor Receptor). Therefore, tivozanib limits cancer vascularization and, ultimately, the growth of the cancer [25].
Compared to the earlier generation tyrosine kinase inhibitors, tivozanib was designed to optimize Vascular Endothelial Growth Factor Receptor (VEGFR) blockade while reducing off-target toxic effects, ultimately resulting in dose reductions [26]. The synthesis [27] (Scheme 1) starts from 1,2-dimethoxybenzene (1) that undergoes Friedel-Crafts acylation in chloroform. The so-formed ketone 2 was nitrated (3) and reduced the nitro functionality by using elemental iron at reflux (4). The subsequent ring closure by using ethyl formate afforded the substituted quinoline 5, which was converted into the corresponding chloride (6) under PCl3 conditions. The nucleophilic substitution with 2-chloro-4-hydroxybenzenaminium chloride (7) afforded 8, which was finally converted into tivozanib (10) by using phenyl chloroformate and 5-methylisoxazol-3-amine (9).
Scheme 1.
Synthesis of tivozanib (10) [27].
The reported yield for this pathway was 28.1%. A better, improved synthesis of tivozanib has been released. The major advantage is represented by the avoidance of nitric acid and of metallic iron (Scheme S1) [28].
3.1.2. Sotorasib
Sotorasib (21, brand name Lumakras®) is a Rat Sarcoma (RAS) GTPase family inhibitor developed by Amgen for the treatment of solid tumors with Kirsten Rat Sarcoma Viral Oncogene Homolog (KRAS) mutations, including non-small cell lung cancer (NSCLC) and colorectal cancer.
In a recent publication, the authors stated that the introduction of two aromatic fluorine led to an increase in Madin−Darby canine kidney (MDCK) cell trans well permeability assay [29].
The synthesis [30] is shown in Scheme 2. 2,6-Dichloro-5-fluoronicotinic acid (11) was transformed into the corresponding primary amide 12 that was, in turn, converted into the urea 14 via using oxalyl chloride and the substituted aniline 13. Compound 14 was cyclized upon the addition of Potassium (K) HexaMethylDiSilazide (KHMDS). Subsequently, the chlorination of 15 afforded 16, which underwent nucleophilic substitution of the BOC-protected piperazine 17 to yield 18. The Suzuki–Miyaura coupling between 18 and (2-fluoro-6-hydroxyphenyl) potassium trifluoroborate 19 promoted by Pd(dppf)Cl2 afforded the derivative 20. Finally, BOC deprotection and the reaction with acryloyl chloride afforded sotorasib (21). An improved (a more scalable and efficient in yield) synthesis of sotorasib employing boroxine (S9, Figure S1) in the Suzuki–Miyaura step has been also reported [31].
Scheme 2.
Synthesis of sotorasib (21) [30].
3.1.3. Melphalan Flufenamide
Melphalan flufenamide (melflufen, 34, brand name Pepaxto®) is a peptide-conjugated alkylating drug developed by Oncopeptides for the treatment of multiple myeloma (MM) and amyloid light-chain amyloidosis.
Chemically, it is the ethyl ester of a lipophilic dipeptide consisting of melphalan and para-fluoro-l-phenylalanine [32].
The chlorine atoms make the directly attached carbons electrophilic, thus rendering them a suitable site for endogenous nucleophiles (e.g., nitrogen from a guanine base), whereas the aromatic fluorine is important for pharmacokinetic properties. The synthesis [33] is shown in Scheme 3. The initial step is the nitration of l-phenylalanine (22), which gives 4-nitro-l-phenylalanine (23). The Fischer esterification on 23 afforded the ethyl ester 24, whose amino group was protected with phthalic anhydride (25) to yield 26. The reduction of the nitro group, using palladium on calcium carbonate as a catalyst, afforded the aniline derivative 27. The subsequent alkylation with ethylene oxide (28) formed a bis-(2-hydroxyethyl)-amino derivative (29) whose alcoholic functions were converted to chlorine atoms by using thionyl chloride. The removal of phthalimide protection was carried out using HCl, affording the chlorinated derivative 30. The amino group of 30 was protected with BOC to generate amino acid derivative 31, which was condensed with para-fluoro-l-phenylalanine (32) using the peptide coupling reagent PyBOP to afford 33.
Scheme 3.
Synthesis of melphalan flufenamide hydrochloric salt (34) [33].
Lastly, the removal of the BOC-protecting group by adding gaseous HCl yielded melflufen hydrochloride (34). A multi-kilogram production route (Scheme S2) for melflufen in high purity has been recently disclosed [34].
3.1.4. Asciminib
Asciminib (42, brand name Scemblix®) was approved in 2021 for patients with Philadelphia chromosome-positive chronic myeloid leukemia [35]. Asciminib is an allosteric protein kinase inhibitor [36].
From X-ray studies, it is visible that one fluorine atom makes a highly directional polar interaction with the carbonyl carbon of leucine L359 deep in the pocket of the target Breakpoint Cluster Region-c-abl Oncogene 1 (BCR-ABL1) oncoprotein [36].
The synthesis [37] of asciminib (Scheme 4) starts from 5-bromo-6-chloronicotinic acid (35), which is functionalized to the amide 37 via activation of the carboxylic acid by SOCl2 and subsequent nucleophilic substitution with 4-(chlorodifluoromethoxy)aniline (36). Compound 37 is then treated with (R)-pyrrolidin-3-ol (38) in a SNAr reaction to afford 39. A Suzuki–Miyaura coupling between 39 and the boronic ester (tetrahydropyran-protected at the pyrazolic nitrogen) 40 catalyzed by Palladium-tetrakis(triphenylphosphine) afforded 41. Finally, the deprotection of tetrahydropyran protecting group gave asciminib (42).
Scheme 4.
Synthesis of asciminib (42) [37].
Regarding the preparation of halogenated synthon 36 (Scheme 5), two main routes have been disclosed. The first employs the phthalimido-protected 4-(difluoromethoxy)aniline (43), followed by chlorination by molecular chlorine and removal of the phthalimide protecting group by hydrazine hydrate [38]. The second involves direct fluorination (by HF and catalyst Fluorad FX 8) at high pressure on (trichloromethoxy)benzene (44), followed by nitration with HNO3 and the reduction of the nitro group with H2/Raney-Ni [39].
Scheme 5.
Possible methods for the preparation of synthon 36 [39].
3.1.5. Infigratinib
Infigratinib (50, brand name Truseltiq®) is a fibroblast growth factor receptor (FGFR)-specific tyrosine kinase inhibitor being codeveloped by QED Therapeutics and Helsinn for the treatment of cholangiocarcinoma, urothelial carcinoma and other FGFR-driven conditions [40].
A Structure Activity Relationship (SAR) study established a preference for 2,6-dichloro or 3,5-dimethoxy substitutions at the NH-phenyl region to impart selectivity and potency [41]. The synthesis [42] (Scheme 6) starts from 4,6-dichloropyrimidine (45), which is treated with ethanolic methylamine (33%) to afford the mono-chloro-substituted pyrimidine 46 that is, in turn, converted to diaminopyrimidine 48 by adding the appropriate 4-(4-ethylpiperazin-1-yl)aniline (47) in acetic acid or HCl/dioxane as a solvent. The HCl/dioxane system was demonstrated to be a convenient alternative to acetic acid when the acetylation of the aniline is predominant in the desired substitution of the chlorine atom [42].
Scheme 6.
Synthesis of infigratinib (50) [42].
Lastly, 48 was reacted with the isocyanate 49 to afford Infigratinib (50).
The synthon 49 was prepared from the corresponding amine reacting with phosgene. The preparation of amine starts from 3,5-dimethoxyaniline 51, which is acetylated, chlorinated by excess of sulfuryl chloride and deacetylated under basic conditions (Scheme 7). The authors stated that the monochlorination of compound 52 could be obtained by using a substoichiometric amount of sodium chlorate [42].
Scheme 7.
Preparation of the isocyanate 49 used for the synthesis of infigratinib.
3.1.6. Umbralisib
Umbralisib (69, brand name Ukonik®) is a phosphatidylinositol-3-kinase (PI3K) inhibitor approved for patients with relapsed or refractory indolent lymphoma [43]. It was launched by TG Therapeutics [44].
Umbralisib differs in chemical structure from compounds of the same class and shows a better pharmacokinetic profile [45]. This can be explained also by the higher number of fluorine atoms on the aromatic rings. The convergent synthesis [46] of umbralisib is accomplished by coupling two synthons (60 and 66).
The synthetic pathway for the preparation of the two synthons and for racemic umbralisib (67) is shown in Scheme 8.
Scheme 8.
Synthetic scheme for the preparation of the racemic form of umbralisib (67) [46].
The synthesis of synthon 60 [46] originates from the introduction of an isopropyl group on 4-bromo-3-fluorophenol via the classic Mitsunobu process. Then, the boronic ester 58 is formed via a Suzuki–Miyaura reaction with bis(pinacolato)diboron (57) catalyzed by Pd(dppf)Cl2. The subsequent Suzuki–Miyaura between 58 and 3-iodo-lH-pyrazolo [3, 4-d]pyrimidin-4-amine (59) catalyzed by Palladium-tetrakis(triphenylphosphine) afforded 60.
For the second synthon (66), fluorophenylacetic acid was treated with oxalyl chloride, AlCl3 and 4-fluoroanisole (62) to afford 63 in a Friedel-Crafts acylation. The cyclization of 63 to the stable chromen-4-one 65 was mediated by propionic anhydride (64) in basic conditions (triethylamine, TEA), followed by the mono-bromination operated by NBS/AIBN (2-2′-azobisisobutirronitrile) in CCl4.
The final product (67) is given by a nucleophilic attack of 60 on 66 under alkaline conditions (K2CO3) in DMF.
The stereoselective synthesis of umbralisib (Scheme 9) was achieved via the Mitsunobu process between the pyrrolic nitrogen of 60 and the secondary alcohol 68. It proceeds with inversion of the configuration at the chiral center [46].
Scheme 9.
Synthetic scheme for the preparation of umbralisib (69) [46].
3.1.7. Piflufolastat F-18
Piflufolastat F-18 (77, brand name Pylarify®) is an 18F-labeled diagnostic imaging agent that has been developed by Progenics Pharmaceuticals Inc. for positron emission tomography (PET) that targets prostate-specific membrane antigen (PSMA) [47].
Prostate cancer is the second-most common cancer diagnosed in men worldwide [47]; thus, Piflufolastat F-18 represents an important diagnostic tool.
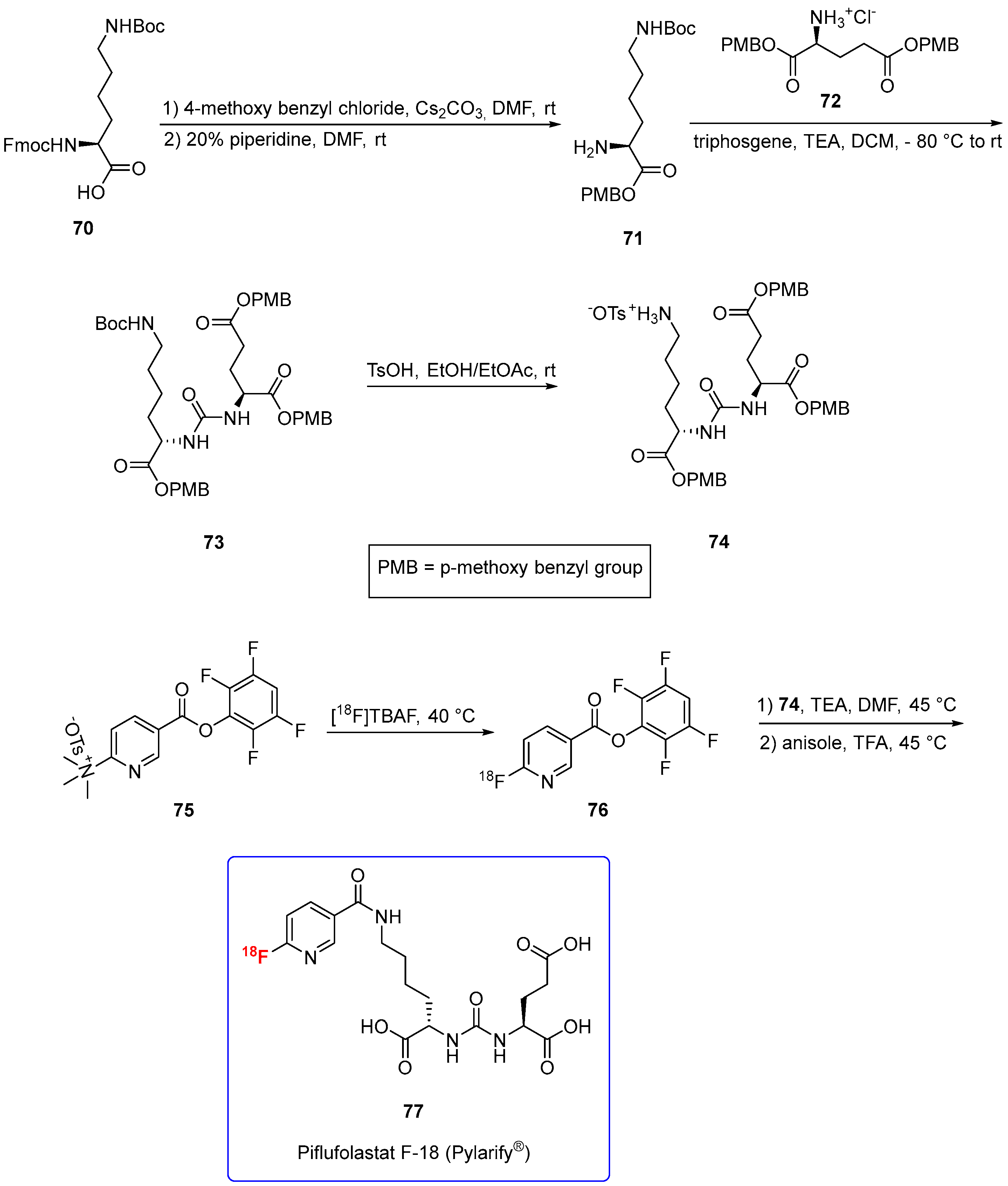
The synthesis [48] (Scheme 10) originates from Nε-Boc-Nα-Fmoc-l-lysine (70) that is firstly protected at acidic functionality with p-methoxy benzyl chloride, and secondly, Fmoc is cleaved by using a 20% piperidine solution to afford the derivative 71. Urea 73 was obtained by treating bis-4-methoxybenzyl-l-glutamate·HCl (72) with triphosgene and triethylamine at −80 °C, followed by in situ trapping of the isocyanate intermediate by the addition of 71. The selective removal of BOC by p-toluenesulfonic acid afforded 74. N,N,N-Trialkylpyridin-2-aminium salt (75) was transformed into the corresponding radiofluorinated compound 76 upon using [18F]tetrabutylammonium fluoride ([18-F]TBAF), which was, in turn, reacted with 74 in the presence of triethylamine. Lastly, the removal of the PMB groups afforded Piflufolastat F-18 (77).
Scheme 10.
Synthetic scheme for the preparation of piflufolastat F-18 (77) [48].
Recently, a one-step pathway was proposed [49] (Scheme 11). The radiofluorination step occurred with no need to protect the carboxylic acid moieties.
Scheme 11.
One-step pathway for the preparation of piflufolastat F-18 (77) [49].
The use of N,N,N-trialkylpyridin-2-aminium trifluoroacetate salt is advantageous in terms of yield. Moreover, the authors claimed that the process is notably optimized and allows for a full automation.
3.1.8. Belzutifan
The Food and Drug Administration approved belzutifan (92, brand name Welireg®, Merck, Darmstadt, Germany), a hypoxia-inducible factor (HIF) inhibitor, for adult patients with von Hippel-Lindau disease who require therapy for associated renal cell carcinoma (RCC), central nervous system (CNS) hemangioblastomas or pancreatic neuroendocrine tumors (pNET) [50]. Structurally, it contains three fluorine atoms and three stereocenters.
The fluorine atom at the benzylic position of belzutifan may further decrease the electron density of the phenyl ring, resulting in a stronger noncovalent n→π*Ar electrostatic interaction with the Tyr281 lone pairs of the target protein, leading to an increased potency [51].
The synthesis of belzutifan proceeds via six linear steps, starting from the indanone 87, whose synthesis [52] is reported in Scheme 12.
Scheme 12.
Synthetic pathway for belzutifan (92) [52].
The first step is the formylation of 4-(methylthio)-phenol (79) by the addition of paraformaldehyde to give aldehyde 80. The condensation of 79 with Meldrum’s acid afforded the coumarin 81 in good yield (74%). Compound 81 was reduced and converted to propanoic acid derivative 82 via internal decarboxylation mediated by formic acid [53]. The subsequent SNAr between 82 and 3,5-difluorobenzonitrile (83) in dimethyl sulfoxide (DMSO) formed the diaryl ether intermediate 84, which was, in turn, activated to acyl chloride (85) by the addition of oxalyl chloride to yield the bicyclic system 86 via an internal Friedel-Crafts intramolecular reaction. Lastly, the oxidation of sulfide to sulfone afforded 87.
The protection of ketone via ketalization and the selective bromination by (1,3-Dibromo-5,5-Dimethylhydantoin, DBDMH) via a photochemical process at room temperature afforded 88 [54]. The subsequent oxidation was carried out via using 2-picoline N-oxide as the oxidizing agent in Kornblum-type oxidation to give the ketone 89. Reduction was carried out under Noyori conditions ((RuCl(p-cymene)[(R,R)-Ts-DPEN, RuTsDPEN, Scheme 12]), triethylamine and formic acid), and the following deprotection (accomplished by using hydrochloric acid) afforded the alcohol 90 [55,56].
Starting from 90, the initial α-fluorination generated a mixture of fluorinated diastereomers, which were then subjected to Noyori asymmetric transfer hydrogenation conditions ((RuCl(p-cymene)[(R,R)-Ts-DPEN, RuTsDPEN], followed by a triethylamine (TEA)-promoted Dinamic Kinetic Resolution (DKR) triethylamine that afforded fluorodiol 91 as, essentially, a single diastereomer (dr > 99:1) [57].
Lastly, the authors identified perfluoro-1-butanesulfonyl fluoride (PBSF, Scheme 12) with 1,8-diazabicyclo[5.4.0]undec-7-ene (DBU, Scheme 12) as a uniquely effective reagent system for the deoxyfluorination step of fluorodiol to afford belzutifan (92). The reaction proceeded via the formation of the corresponding sulfonate on the alcoholic function and the subsequent SN2 attack from F− ion with a corresponding inversion of the configuration [58].
3.2. Halogenated Antiviral Drugs Approved in 2021
2021 marked an important year for new anti-infective treatments and preventive therapies. Besides cabotegravir, which was approved for the treatment of HIV-1 [1], another halogenated drug (maribavir) was authorized for the treatment of cytomegalovirus infection.
3.2.1. Cabotegavir
Cabotegravir (105, brand name Cabenuva®), developed by GlaxoSmithKline, is an integrase strand transfer inhibitor (INSTI) of the carbamoyl pyridone class. It is co-packaged with rilpivirine, available as long-acting injectable (LAI) formulations [59].
Halogen atoms play an important role in improving the metabolic stability and optimizing the pharmacological parameters, such as lipophilicity and permeability [60]. A similar role can be envisioned for the aromatic fluorine atoms of cabotegravir.
The synthesis of cabotegravir [61] (Scheme 13) originated from β-ketoester 93, which, treated with N,N′-dimethylformamide dimethyl acetal (DMF-DMA), afforded enamine 94. Compound 94 was mixed with aminoacetaldehyde dimethyl acetal (95) and MeOH to provide vinylogous system 96, which was treated directly with dimethyl oxalate (97) to afford pyridone 98. The selective hydrolysis at the desired ester moiety was carried out by using LiOH at low temperature to give the carboxylic acid 99. The acetal deprotection via MeSO3H/AcOH afforded the aldehyde 100, which was converted into the tricyclic ring 102 with a diastereomeric excess 34:1 upon the addition of (S)-alaninol (101) at 64 °C. The activation of the carboxylic acid via 1,1′-Carbonyldiimidazole (CDI) followed by the addition of 2,4-difluorobenzylamine (103) yielded the amide 104 that was converted into cabotegravir (105) by using LiBr as a deprotecting agent. Alternative ways for the demethylation steps have been reported. In particular, the use of magnesium salts (MgCl2, MgBr2 and MgI2) provide complete demethylation [62].
Scheme 13.
Synthetic pathway for cabotegravir (105) [61].
3.2.2. Maribavir
Maribavir (110, brand name Livtencity®), available as an oral therapy, is owned by Takeda Pharmaceuticals and is indicated for the treatment of adults and pediatric patients with post-transplant cytomegalovirus (CMV) infection/diseases [63]. The drug inhibits viral DNA synthesis through the blocking of terminal DNA processing [64].
Chemically maribavir is a benzimidazole riboside, and its synthetic preparation is shown in Scheme 14. The synthesis [65] proceeds via trimethylsilyl-mediated N-glycosidation. It starts from 2-Bromo-5,6-dichlorobenzimidazole (106), which was combined with N,O-bis(trimethylsilyl) acetamide in acetonitrile. After the addition of trimethylsilyl triflate, the protected sugar (1,2,3,5-tetra-O-acetyl-l-ribofuranose) was added (107) to form the bromo derivative 108 that, upon treatment with isopropylamine (109), afforded maribavir (110) in a good yield (60%).
Scheme 14.
Synthetic pathway for maribavir (110) [65].
3.3. Halogenated Drugs Approved in 2021 for the Treatment of Multiple Sclerosis
One drug (ponesimod, Ponvory®), a selective sphingosine-1-phosphate receptor 1 (S1P1) [66], was approved for relapsing multiple sclerosis (RMS) [1]. MS is a complex, most likely autoimmune-mediated inflammatory neurodegenerative disease of the central nervous system (CNS). In Germany, an estimated 200,000 people suffered from such disease in 2014 [67], and this number increased to 250,000 in 2021 [68].
Ponesimod
Ponesimod (118, brand name Ponvory®) is a glycerol-based derivative, and it contains an atom of chlorine.
A SAR study showed that a 3-substituent next to the phenoxy group of the benzylidene moiety improved the activity towards Sphingosine-1-phosphate (S1P). A chloro or a methyl were the preferred substitutions [69].
The synthesis reported in Scheme 15 [70,71] starts with the preparation of thiazolidin-4-one 114 via mixing propylamine (111), o-tolyl isothiocyanate (112) and 2-bromoacetyl bromide 113 in the presence of pyridine, which has shown superior regioselectivity in the ring closure process when compared to triethylamine [71]. The regioselectivity of the cyclization is not only influenced by the reaction conditions and the choice of the halo acetic acid derivative but also by the nature of the two substituents of the so-formed thiourea intermediate [69]. The subsequent nucleophilic attack from the acidic proton on the thiazolidin-4-one ring to 3-chloro-4-hydroxybenzaldehyde (115) in the presence of sodium acetate led to the formation of phenol 116. Lastly, the substitution on the phenolic position with (R)-3-chloropropane-1,2-diol (117) in alkaline environment afforded ponesimod (118).
Scheme 15.
Synthetic pathway for ponesimod (118) [70,71].
3.4. Halogenated Drugs Approved in 2021 for the Treatment of Migraines
Migraine and severe headaches are a serious public health issue in the United States, women of childbearing age and those of lower socioeconomic status being the most affected groups. Socioeconomic disadvantages are also highly prevalent among those with headaches [72]. One halogenated drug (atogepant, Qulipta®) was approved in 2021 by the FDA for the treatment of episodic migraines [1].
Atogepant
Developed by AbbVie, atogepant (130, brand name Qulipta®) is an oral antagonist of calcitonin gene-related peptide (CGRP) receptors [73]. When CGRP binds to CGRP receptors, it causes pain, inflammation and vasodilation [74].
The trifluoro-benzene moiety in Atogepant has led to the higher affinity of atogepant (Ki = 0.015 nM) compared to the derivative bearing the unsubstituted benzene ring (Ki = 0.067 nM) [75].
Chemically, it contains six fluorine atoms, and its synthesis [76,77] is shown in Scheme 16. The synthesis starts from 5-bromo-6-methylpyridin-2-ol (119), which is N-alkylated with 2,2,2-trifluoroethyl triflate to afford derivative 121. The following Suzuki–Miyaura coupling with 2,3,6-trifluorophenylboronic acid (122) in the presence of Pd(t-Bu3P)2 and CsF afforded the diaryl derivative 123. Catalytic hydrogenation (PtO2) in MeOH of 123 gave the piperidinone 124, which was firstly lithiated by LiHMDS and, secondly, converted to the corresponding azide by using 2,4,6-triisopropylbenzenesulfonyl azide (125) to give 126. The concomitant reduction to amine and BOC protection of intermediate 126 followed by Supercritical fluid chromatography (SFC) yielded the intermediate 127, which underwent BOC removal (128) and condensation with carboxylic acid synthon 129 [76] to afford atogepant (130). Different routes for the preparation of synthon 129 have been proposed [77]. One selected pathway (the most straightforward considering the number of steps) is described in Scheme S3.
Scheme 16.
Synthetic pathway for atogepant (130) [76,77].
3.5. Halogenated Drugs Approved in 2021 for the Treatment of Vasculitis
Vasculitis, defined as a noninfectious inflammatory disorder of blood vessels, can affect different type of vessels in any organ [78]. Vasculitis could be associated with a relevant burden of mortality and morbidity if not recognized early and treated. Moreover, despite their rarity, their incidence and prevalence seem to be increasing in the last decade, partially because of an improved diagnosis and management of vasculitis from physicians [79].
One halogenated drug (avacopan, Tavneos®) was approved in 2021 for the treatment of severe active antineutrophil cytoplasmatic-associated vasculitis in combination with glucocorticoids [1].
Avacopan
Developed by ViforPharma, avacopan (140, brand name Tavneos®) is a selective inhibitor of the complement C5a receptor C5aR1. Avacopan arrests the ability of those cells to create damage in response to C5a activation, which is known to be the driver of antineutrophil cytoplasmic antibody (ANCA) vasculitis [80].
From a chemical point of view, avacopan contains four fluorine atoms (three on a trifluoromethyl group and one on the aromatic ring).
The synthetic pathway [81] is shown in Scheme 17, it starts from ketoester 131, which forms the tetrahydro-oxazolo pyridine derivative 134 upon mixing with (R)-2-amino-2-phenylethan-1-ol (132) acrolein diethyl acetal (133) in the presence of catalytic HCl. Compound 134 is then subjected to hydrogenation (Pd/C) and treatment with cyclopentanone (135), followed by chiral resolution mediated by (-)-Di-p-toluoyl-l-tartaric acid, in order to form di-tartaric salt (DTTA) 136. The nucleophilic substitution of piperidinic nitrogen of 136 with 2-fluoro-6-methylbenzoyl chloride (137) gave amide 138, which was finally transformed into avacopan (140) by the addition of 4-methyl-3-(trifluoromethyl)aniline (139) in a AlMe3-mediated amidation.
Scheme 17.
Synthetic pathway for avacopan (140) [81].
3.6. Halogenated Drugs Approved in 2021 for the Treatment of Cardiovascular Disease
Cardiovascular diseases (CVDs) have been among the major causes of morbidity and mortality in developed countries over the last several decades [82]. One drug, vericiguat (Verquvo®), available in tablets was approved by the FDA to reduce the risk of cardiovascular death and heart failure hospitalization in certain high-risk patients [1].
Vericiguat
Launched by Bayer and Merck, vericiguat (150, brand name Verquvo®) directly stimulates soluble guanylate cyclase (sGC), independently of and synergistically with nitric oxide (NO), to produce more cyclic guanosine monophosphate (cGMP), leading to smooth muscle relaxation and vasodilation, which may improve cardiac function [83].
Vericiguat (having two fluorine atoms, one of which is in meta position to nitrogen of the pyridine ring) demonstrates superior pharmacokinetic properties compared to its monofluorinated precursor [84].
The synthesis of vericiguat [85] is shown in Scheme 18. It starts with the condensation of 5-amino-1H-pyrazole (141) with aldehyde 142 to afford intermediate ester 143. The subsequent formation of the primary amide (144) by using formamide and sodium methoxide was followed by the dehydration of amide to nitrile 145 via POCl3. Nitrile 145 was converted to amidine 146 upon the addition of ammonium chloride in a basic environment. Then, the addition of malononitrile 147 to 146 afforded the pyrimidine-4,5,6-triamine intermediate 148. Catalytic hydrogenation was employed to remove the diazinyl protection, thus affording 149. Lastly, the 5-NH2 group of 149 reacted with methyl chloroformate, followed by an alkaline workup, to afford vericiguat (150).
Scheme 18.
Synthetic pathway for vericiguat (150) [85].
4. Conclusions and Future Perspectives
In this work, the role of halogens (in particular, fluorine and chlorine) in the recent drug discovery processes was discussed. Moreover, we listed all the halogen-containing drugs that were approved by FDA in 2021.
For each compound, the biological activity and the chemical synthesis were provided.
By analyzing our data, it appears that fluorine and chlorine substituents are becoming more and more popular given the role they play from a physicochemical and pharmacodynamic standpoint.
Outside the scope of the present review but deserving a mention is the recently launched molecule nirmatrelvir (compound 151, Figure 3) in the fight against the SARS-CoV-2 pandemic. It is a fluorine-containing prodrug developed by Pfizer. Compound 151 is an orally active 3C-likeprotease inhibitor in which “the trifluoroacetamide stood out in its ability to permeate the gut barrier in assays”, says a research team from Pfizer [86].
Figure 3.
Chemical structure of nirmatrelvir (151).
Nirmatrelvir (PF-07321332) plus ritonavir is a combination therapy that has the brand name of Paxlovid® [87].
This example, together with others described throughout this work, reinforces our belief that plenty of halogenated structures will be serving in the future as treatments for several diseases.
Supplementary Materials
The following are available online, Scheme S1: Alternative synthesis for tivozanib, Scheme S2: Alternative synthesis for tivozanib, Scheme S3: Alternative synthesis for the synthon S18, Figure S1: Chemical structure of boroxine S9 employed in an optimized synthesis of Sotorasib, Table S1: Table describing the names of the 14 halogenated molecules approved by FDA in 2021.
Funding
University of Perugia “Fondo per la Ricerca di Base 2020” and “Project” DELPHI Star Labs in the framework of financial support from the “Dipartimenti di Eccellenza”.
Institutional Review Board Statement
Not applicable.
Informed Consent Statement
Not applicable.
Data Availability Statement
Not applicable.
Conflicts of Interest
The authors declare no conflict of interest.
Sample Availability
Not applicable.
References
- New Drug Therapy Approvals 2021. Available online: https://www.fda.gov/media/155227/download (accessed on 15 February 2022).
- Novel Drug Approvals for 2020|FDA. Available online: https://www.fda.gov/drugs/new-drugs-fda-cders-new-molecular-entities-and-new-therapeutic-biological-products/novel-drug-approvals-2020 (accessed on 15 February 2022).
- Carroll, A.R.; Copp, B.R.; Davis, R.A.; Keyzers, R.A.; Prinsep, M.R. Marine Natural Products. Nat. Prod. Rep. 2021, 38, 362–413. [Google Scholar] [CrossRef] [PubMed]
- Álvarez-Martínez, F.J.; Barrajón-Catalán, E.; Micol, V. Tackling Antibiotic Resistance with Compounds of Natural Origin: A Comprehensive Review. Biomedicines 2020, 8, 405. [Google Scholar] [CrossRef]
- Cabrita, M.T.; Vale, C.; Rauter, A.P. Halogenated Compounds from Marine Algae. Mar. Drugs 2010, 8, 2301–2317. [Google Scholar] [CrossRef] [PubMed] [Green Version]
- Neumann, C.S.; Fujimori, D.G.; Walsh, C.T. Halogenation Strategies in Natural Product Biosynthesis. Chem. Biol. 2008, 15, 99–109. [Google Scholar] [CrossRef] [Green Version]
- Inoue, M.; Sumii, Y.; Shibata, N. Contribution of Organofluorine Compounds to Pharmaceuticals. ACS Omega 2020, 5, 10633–10640. [Google Scholar] [CrossRef]
- Yu, Y.; Liu, A.; Dhawan, G.; Mei, H.; Zhang, W.; Izawa, K.; Soloshonok, V.A.; Han, J. Fluorine-Containing Pharmaceuticals Approved by the FDA in 2020: Synthesis and Biological Activity. Chin. Chem. Lett. 2021, 32, 3342–3354. [Google Scholar] [CrossRef]
- Carvalho, M.F.; Oliveira, R.S. Natural Production of Fluorinated Compounds and Biotechnological Prospects of the Fluorinase Enzyme. Crit. Rev. Biotechnol. 2017, 37, 880–897. [Google Scholar] [CrossRef] [Green Version]
- Purser, S.; Moore, P.R.; Swallow, S.; Gouverneur, V. Fluorine in Medicinal Chemistry. Chem. Soc. Rev. 2008, 37, 320–330. [Google Scholar] [CrossRef]
- Morgenthaler, M.; Schweizer, E.; Hoffmann-Röder, A.; Benini, F.; Martin, R.E.; Jaeschke, G.; Wagner, B.; Fischer, H.; Bendels, S.; Zimmerli, D.; et al. Predicting and Tuning Physicochemical Properties in Lead Optimization: Amine Basicities. Chem. Med. Chem. 2007, 2, 1100–1115. [Google Scholar] [CrossRef]
- Rowley, M.; Hallett, D.J.; Goodacre, S.; Moyes, C.; Crawforth, J.; Sparey, T.J.; Patel, S.; Marwood, R.; Patel, S.; Thomas, S.; et al. 3-(4-Fluoropiperidin-3-Yl)-2-Phenylindoles as High Affinity, Selective, and Orally Bioavailable H5-HT2A Receptor Antagonists. J. Med. Chem. 2001, 44, 1603–1614. [Google Scholar] [CrossRef]
- Shah, P.; Westwell, A.D. The Role of Fluorine in Medicinal Chemistry: Review Article. J. Enzyme Inhib. Med. Chem. 2007, 22, 527–540. [Google Scholar] [CrossRef] [Green Version]
- Mei, H.; Han, J.; Fustero, S.; Medio-Simon, M.; Sedgwick, D.M.; Santi, C.; Ruzziconi, R.; Soloshonok, V.A. Fluorine-Containing Drugs Approved by the FDA in 2018. Chem. Eur. J. 2019, 25, 11797–11819. [Google Scholar] [CrossRef] [PubMed]
- Müller, K.; Faeh, C.; Diederich, F. Fluorine in Pharmaceuticals: Looking Beyond Intuition. Science 2007, 317, 1881–1886. [Google Scholar] [CrossRef] [Green Version]
- Eskandari, K.; Lesani, M. Does Fluorine Participate in Halogen Bonding? Chem. Eur. J. 2015, 21, 4739–4746. [Google Scholar] [CrossRef] [PubMed]
- Berkowitz, D.B.; Karukurichi, K.R.; de la Salud-Bea, R.; Nelson, D.L.; McCune, C.D. Use of Fluorinated Functionality in Enzyme Inhibitor Development: Mechanistic and Analytical Advantages. J. Fluor. Chem. 2008, 129, 731–742. [Google Scholar] [CrossRef] [PubMed] [Green Version]
- Yang, K.; Song, M.; Ali, A.I.M.; Mudassir, S.M.; Ge, H. Recent Advances in the Application of Selectfluor as a “Fluorine-free” Functional Reagent in Organic Synthesis. Chem. Asian J. 2020, 15, 729–741. [Google Scholar] [CrossRef] [Green Version]
- Zhang, R.; Ma, R.; Fu, Q.; Chen, R.; Wang, Z.; Wang, L.; Ma, Y. Selective Electrophilic Di- and Monofluorinations for the Synthesis of 4-Difluoromethyl and 4-Fluoromethyl Quinazolin(Thi)Ones by a Selectfluor-Triggered Multi-Component Reaction. Org. Chem. Front. 2022. [Google Scholar] [CrossRef]
- Cotman, A.E.; Guérin, T.; Kovačević, I.; Benedetto Tiz, D.; Durcik, M.; Fulgheri, F.; Možina, Š.; Secci, D.; Sterle, M.; Ilaš, J.; et al. Practical Synthesis and Application of Halogen-Doped Pyrrole Building Blocks. ACS Omega 2021, 6, 9723–9730. [Google Scholar] [CrossRef]
- Nyffeler, P.T.; Durón, S.G.; Burkart, M.D.; Vincent, S.P.; Wong, C.-H. Selectfluor: Mechanistic Insight and Applications. Angew. Chem. Int. Ed. 2005, 44, 192–212. [Google Scholar] [CrossRef]
- Fang, W.Y.; Ravindar, L.; Rakesh, K.P.; Manukumar, H.M.; Shantharam, C.S.; Alharbi, N.S.; Qin, H.L. Synthetic Approaches and Pharmaceutical Applications of Chloro-Containing Molecules for Drug Discovery: A Critical Review. Eur. J. Med. Chem. 2019, 173, 117–153. [Google Scholar] [CrossRef]
- Hernandes, M.Z.; Cavalcanti, S.M.T.; Moreira, D.R.M.; Junior, W.F.d.A.; Leite, A.C.L. Halogen Atoms in the Modern Medicinal Chemistry: Hints for the Drug Design. Curr. Drug Targets 2010, 11, 303–314. [Google Scholar] [CrossRef] [PubMed]
- A Proclamation on the 50th Anniversary of the National Cancer Act of 1971. Available online: https://www.whitehouse.gov/briefing-room/presidential-actions/2021/12/22/a-proclamation-on-the-50th-anniversary-of-the-national-cancer-act-of-1971/ (accessed on 5 February 2022).
- Anonymous Fotivda. Available online: https://www.ema.europa.eu/en/medicines/human/EPAR/fotivda (accessed on 24 January 2022).
- Westerman, M.E.; Wood, C.G. Editorial Commentary: Tivozanib versus Sorafenib in Patients with Advanced Renal Cell Carcinoma (TIVO-3): A Phase 3, Multicentre, Randomised, Controlled, Open-Label Study. Ann. Transl. Med. 2020, 8, 1037. [Google Scholar] [CrossRef] [PubMed]
- Liang, X.; Yang, Q.; Wu, P.; He, C.; Yin, L.; Xu, F.; Yin, Z.; Yue, G.; Zou, Y.; Li, L.; et al. The Synthesis Review of the Approved Tyrosine Kinase Inhibitors for Anticancer Therapy in 2015-2020. Bioorg. Chem. 2021, 113, 105011. [Google Scholar] [CrossRef] [PubMed]
- Wang, J.; Wang, Y.; Qin, Y. Synthesis of Tivozanib. Chin. J. Pharm. 2013, 44, 541–544. [Google Scholar]
- Lanman, B.A.; Allen, J.R.; Allen, J.G.; Amegadzie, A.K.; Ashton, K.S.; Booker, S.K.; Chen, J.J.; Chen, N.; Frohn, M.J.; Goodman, G.; et al. Discovery of a Covalent Inhibitor of KRASG12C (AMG 510) for the Treatment of Solid Tumors. J. Med. Chem. 2020, 63, 52–65. [Google Scholar] [CrossRef] [Green Version]
- Lanman, B.A.; Chen, J.; Reed, A.B.; Cee, V.J.; Liu, L.; Kopecky, D.J.; Lopez, P.; Wurz, R.P.; Nguyen, T.T.; Booker, S.; et al. Kras G12c Inhibitors and Methods of Using the Same. WO/2018/217651, 29 November 2018. [Google Scholar]
- Parsons, A.T.; Beaver, M. Improved Synthesis of Kras G12c Inhibitor Compound. WO/2021/097212, 20 May 2021. [Google Scholar]
- Dhillon, S. Melphalan Flufenamide (Melflufen): First Approval. Drugs 2021, 81, 963–969. [Google Scholar] [CrossRef]
- Wahlstrom, N.H.; Wennerberg, J.A. Process for Preparation of Nitrogen Mustard Derivatives. WO2016180740A1, 17 November 2016. [Google Scholar]
- Lehmann, F.; Wennerberg, J. Melflufen: A Journey from Discovery to Multi-Kilogram Production. In Complete Accounts of Integrated Drug Discovery and Development: Recent Examples from the Pharmaceutical Industry Volume 3; ACS Symposium Series; American Chemical Society: Washington, DC, USA, 2020; Volume 1369, pp. 157–177. ISBN 978-0-8412-9864-4. [Google Scholar]
- FDA. FDA Approves Asciminib for Philadelphia Chromosome-Positive Chronic Myeloid Leukemia. 2021. Available online: https://www.fda.gov/drugs/resources-information-approved-drugs/fda-approves-asciminib-philadelphia-chromosome-positive-chronic-myeloid-leukemia (accessed on 15 February 2022).
- Schoepfer, J.; Jahnke, W.; Berellini, G.; Buonamici, S.; Cotesta, S.; Cowan-Jacob, S.W.; Dodd, S.; Drueckes, P.; Fabbro, D.; Gabriel, T.; et al. Discovery of Asciminib (ABL001), an Allosteric Inhibitor of the Tyrosine Kinase Activity of BCR-ABL1. J. Med. Chem. 2018, 61, 8120–8135. [Google Scholar] [CrossRef] [Green Version]
- Wylie, A.A.; Schoepfer, J.; Jahnke, W.; Cowan-Jacob, S.W.; Loo, A.; Furet, P.; Marzinzik, A.L.; Pelle, X.; Donovan, J.; Zhu, W.; et al. The Allosteric Inhibitor ABL001 Enables Dual Targeting of BCR–ABL1. Nature 2017, 543, 733–737. [Google Scholar] [CrossRef]
- Makitruk, V.L.; Nuzha, Y.O.; Petko, K.I.; Fialkov, Y.A.; Shalamai, A.S.; Yagupol’s’kii, L.M. 2-Amino-6-(trifluoromethoxy)benzothiazole (Borizole) and admixtures accompanying it. Zhurnal Org. Farmatsevtichnoi Khimii 2007, 5, 28–33. [Google Scholar]
- Fu, L.; Wang, A.; He, B.; Sun, J.; Song, C. Preparation Method for 4-(Chlorodifluoromethoxy)Aniline. CN104119238A, 29 October 2014. [Google Scholar]
- Kang, C. Infigratinib: First Approval. Drugs 2021, 81, 1355–1360. [Google Scholar] [CrossRef]
- Brameld, K.A.; Owens, T.D.; Verner, E.; Venetsanakos, E.; Bradshaw, J.M.; Phan, V.T.; Tam, D.; Leung, K.; Shu, J.; LaStant, J.; et al. Discovery of the Irreversible Covalent FGFR Inhibitor 8-(3-(4-Acryloylpiperazin-1-Yl)Propyl)-6-(2,6-Dichloro-3,5-Dimethoxyphenyl)-2-(Methylamino)Pyrido[2,3-d]Pyrimidin-7(8H)-One (PRN1371) for the Treatment of Solid Tumors. J. Med. Chem. 2017, 60, 6516–6527. [Google Scholar] [CrossRef] [PubMed]
- Guagnano, V.; Furet, P.; Spanka, C.; Bordas, V.; Le Douget, M.; Stamm, C.; Brueggen, J.; Jensen, M.R.; Schnell, C.; Schmid, H.; et al. Discovery of 3-(2,6-Dichloro-3,5-Dimethoxy-Phenyl)-1-{6-[4-(4-Ethyl-Piperazin-1-Yl)-Phenylamino]-Pyrimidin-4-Yl}-1-Methyl-Urea (NVP-BGJ398), A Potent and Selective Inhibitor of the Fibroblast Growth Factor Receptor Family of Receptor Tyrosine Kinase. J. Med. Chem. 2011, 54, 7066–7083. [Google Scholar] [CrossRef] [PubMed]
- Fowler, N.H.; Samaniego, F.; Jurczak, W.; Ghosh, N.; Derenzini, E.; Reeves, J.A.; Knopińska-Posłuszny, W.; Cheah, C.Y.; Phillips, T.; Lech-Maranda, E.; et al. Umbralisib, a Dual PI3Kδ/CK1ε Inhibitor in Patients with Relapsed or Refractory Indolent Lymphoma. J. Clin. Oncol. 2021, 39, 1609–1620. [Google Scholar] [CrossRef] [PubMed]
- Umbralisib-TG Therapeutics. Available online: https://www.tgtherapeutics.com/our-pipeline/umbralisib/ (accessed on 7 February 2022).
- Burris, H.A.; Flinn, I.W.; Patel, M.R.; Fenske, T.S.; Deng, C.; Brander, D.M.; Gutierrez, M.; Essell, J.H.; Kuhn, J.G.; Miskin, H.P.; et al. Umbralisib, a Novel PI3Kδ and Casein Kinase-1ε Inhibitor, in Relapsed or Refractory Chronic Lymphocytic Leukaemia and Lymphoma: An Open-Label, Phase 1, Dose-Escalation, First-in-Human Study. Lancet Oncol. 2018, 19, 486–496. [Google Scholar] [CrossRef]
- Weiss, M.; Miskin, H.; Sportelli, P.; Vakkalanka, S.K.V.S. Combination of Anti-Cd20 Antibody and Pi3 Kinase Selective Inhibitor. WO/2014/071125, 8 May 2014. [Google Scholar]
- Keam, S.J. Piflufolastat F 18: Diagnostic First Approval. Mol. Diagn. Ther. 2021, 25, 647–656. [Google Scholar] [CrossRef]
- Banerjee, S.R.; Foss, C.A.; Castanares, M.; Mease, R.C.; Byun, Y.; Fox, J.J.; Hilton, J.; Lupold, S.E.; Kozikowski, A.P.; Pomper, M.G. Synthesis and Evaluation of Technetium-99m- and Rhenium-Labeled Inhibitors of the Prostate-Specific Membrane Antigen (PSMA). J. Med. Chem. 2008, 51, 4504–4517. [Google Scholar] [CrossRef] [Green Version]
- Dasilva, J.; Dornan, M. Process for the Preparation of (18F)DCFPYL. CA3038601A1, 8 August 2020. [Google Scholar]
- FDA Approves Belzutifan for Cancers Associated with von Hippel-Lindau Disease. Available online: https://www.fda.gov/drugs/resources-information-approved-drugs/fda-approves-belzutifan-cancers-associated-von-hippel-lindau-disease (accessed on 24 February 2022).
- Xu, R.; Wang, K.; Rizzi, J.P.; Huang, H.; Grina, J.A.; Schlachter, S.T.; Wang, B.; Wehn, P.M.; Yang, H.; Dixon, D.D.; et al. 3-[(1S,2S,3R)-2,3-Difluoro-1-Hydroxy-7-Methylsulfonylindan-4-Yl]Oxy-5-Fluorobenzonitrile (PT2977), a Hypoxia-Inducible Factor 2α (HIF-2α) Inhibitor for the Treatment of Clear Cell Renal Cell Carcinoma. J. Med. Chem. 2019, 62, 6876–6893. [Google Scholar] [CrossRef] [Green Version]
- Peng, F.; Tan, L.; Chen, L.; Dalby, S.M.; DiRocco, D.A.; Duan, J.; Feng, M.; Gong, G.; Guo, H.; Hethcox, J.C.; et al. Manufacturing Process Development for Belzutifan, Part 1: A Concise Synthesis of the Indanone Starting Material. Org. Process Res. Dev. 2021. [Google Scholar] [CrossRef]
- Doušová, H.; Horák, R.; Růžičková, Z.; Šimůnek, P. An Intramolecular C–N Cross-Coupling of β-Enaminones: A Simple and Efficient Way to Precursors of Some Alkaloids of Galipea Officinalis. Beilstein J. Org. Chem. 2015, 11, 884–892. [Google Scholar] [CrossRef] [Green Version]
- Bottecchia, C.; Lévesque, F.; McMullen, J.P.; Ji, Y.; Reibarkh, M.; Peng, F.; Tan, L.; Spencer, G.; Nappi, J.; Lehnherr, D.; et al. Manufacturing Process Development for Belzutifan, Part 2: A Continuous Flow Visible-Light-Induced Benzylic Bromination. Org. Process Res. Dev. 2021. [Google Scholar] [CrossRef]
- Chen, Z.; Salehi Marzijarani, N.; Quirie, S.; Pirrone, G.F.; Dalby, S.M.; Wang, T.; Kim, J.; Peng, F.; Fine, A.J. Manufacturing Process Development for Belzutifan, Part 3: Completing a Streamlined through-Process with a Safe and Scalable Oxidation. Org. Process Res. Dev. 2021. [Google Scholar] [CrossRef]
- Salehi Marzijarani, N.; Fine, A.J.; Dalby, S.M.; Gangam, R.; Poudyal, S.; Behre, T.; Ekkati, A.R.; Armstrong, B.M.; Shultz, C.S.; Dance, Z.E.X.; et al. Manufacturing Process Development for Belzutifan, Part 4: Nitrogen Flow Criticality for Transfer Hydrogenation Control. Org. Process Res. Dev. 2021. [Google Scholar] [CrossRef]
- Wang, T.; Phillips, E.M.; Dalby, S.M.; Sirota, E.; Axnanda, S.; Shultz, C.S.; Patel, P.; Waldman, J.H.; Alwedi, E.; Wang, X.; et al. Manufacturing Process Development for Belzutifan, Part 5: A Streamlined Fluorination–Dynamic Kinetic Resolution Process. Org. Process Res. Dev. 2021. [Google Scholar] [CrossRef]
- Pirnot, M.; Stone, K.; Wright, T.J.; Lamberto, D.J.; Schoell, J.; Lam, Y.; Zawatzky, K.; Wang, X.; Dalby, S.M.; Fine, A.J.; et al. Manufacturing Process Development for Belzutifan, Part 6: Ensuring Scalability for a Deoxyfluorination Reaction. Org. Process Res. Dev. 2021. [Google Scholar] [CrossRef]
- Cattaneo, D.; Gervasoni, C. Pharmacokinetics and Pharmacodynamics of Cabotegravir, a Long-Acting HIV Integrase Strand Transfer Inhibitor. Eur. J. Drug Metab. Pharmacokinet. 2019, 44, 319–327. [Google Scholar] [CrossRef] [PubMed]
- Wang, Z.; Cherukupalli, S.; Xie, M.; Wang, W.; Jiang, X.; Jia, R.; Pannecouque, C.; de Clercq, E.; Kang, D.; Zhan, P.; et al. Contemporary Medicinal Chemistry Strategies for the Discovery and Development of Novel HIV-1 Non-Nucleoside Reverse Transcriptase Inhibitors. J. Med. Chem. 2022. [Google Scholar] [CrossRef]
- Hughes, D.L. Review of Synthetic Routes and Final Forms of Integrase Inhibitors Dolutegravir, Cabotegravir, and Bictegravir. Org. Process Res. Dev. 2019, 23, 716–729. [Google Scholar] [CrossRef]
- Wang, H.; Kowalski, M.D.; Lakdawala, A.S.; Vogt, F.G.; Wu, L. An Efficient and Highly Diastereoselective Synthesis of GSK1265744, a Potent HIV Integrase Inhibitor. Org. Lett. 2015, 17, 564–567. [Google Scholar] [CrossRef]
- LIVTENCITYTM (Maribavir). Available online: https://www.livtencity.com/ (accessed on 28 January 2022).
- Kozak, I.; McCutchan, J.A.; Freeman, W.R. Chapter 81—HIV-Associated Infections. In Retina, 5th ed.; Ryan, S.J., Sadda, S.R., Hinton, D.R., Schachat, A.P., Sadda, S.R., Wilkinson, C.P., Wiedemann, P., Schachat, A.P., Eds.; W.B. Saunders: London, UK, 2013; pp. 1441–1472. ISBN 978-1-4557-0737-9. [Google Scholar]
- Freeman, S. Process for Preparing Substituted Benzimidazole Compounds. WO2001077083A1, 18 October 2001. [Google Scholar]
- Kappos, L.; Fox, R.J.; Burcklen, M.; Freedman, M.S.; Havrdová, E.K.; Hennessy, B.; Hohlfeld, R.; Lublin, F.; Montalban, X.; Pozzilli, C.; et al. Ponesimod Compared with Teriflunomide in Patients with Relapsing Multiple Sclerosis in the Active-Comparator Phase 3 OPTIMUM Study. JAMA Neurol. 2021, 78, 558–567. [Google Scholar] [CrossRef]
- Petersen, G.; Wittmann, R.; Arndt, V.; Göpffarth, D. Epidemiology of multiple sclerosis in Germany: Regional differences and drug prescription in the claims data of the statutory health insurance. Nervenarzt 2014, 85, 990–998. [Google Scholar] [CrossRef]
- Wiendl, H.; Gold, R.; Berger, T.; Derfuss, T.; Linker, R.; Mäurer, M.; Aktas, O.; Baum, K.; Berghoff, M.; Bittner, S.; et al. Multiple Sclerosis Therapy Consensus Group (MSTCG): Position Statement on Disease-Modifying Therapies for Multiple Sclerosis (White Paper). Ther. Adv. Neurol. Disord. 2021, 14, 1–39. [Google Scholar] [CrossRef] [PubMed]
- Bolli, M.H.; Abele, S.; Binkert, C.; Bravo, R.; Buchmann, S.; Bur, D.; Gatfield, J.; Hess, P.; Kohl, C.; Mangold, C.; et al. 2-Imino-Thiazolidin-4-One Derivatives as Potent, Orally Active S1P1 Receptor Agonists. J. Med. Chem. 2010, 53, 4198–4211. [Google Scholar] [CrossRef] [PubMed]
- Herse, C. Procédé De Préparation De (2z,5z)-5-(3-Chloro-4-((r)-2,3-Dihydroxypropoxy)benzylidene)-2-(propylimino)-3-|(o-Tolyl)thiazolidin-4-One Et Intermédiaire Utilisé Dans Ledit Procédé. WO/2014/027330, 20 February 2014. [Google Scholar]
- Abele, S.; Bolli, S.; Schmidt, G. New Process for the Preparation of 2-Imino-Thiazolidin-4-One Derivatives. WO-2008062376-A3, 10 July 2008. [Google Scholar]
- Burch, R.; Rizzoli, P.; Loder, E. The Prevalence and Impact of Migraine and Severe Headache in the United States: Updated Age, Sex, and Socioeconomic-Specific Estimates from Government Health Surveys. Headache. 2021, 61, 60–68. [Google Scholar] [CrossRef] [PubMed]
- Atogepant. Available online: https://go.drugbank.com/drugs/DB16098 (accessed on 28 January 2022).
- Russo, A.F. Calcitonin Gene-Related Peptide (CGRP): A New Target for Migraine. Ann. Rev. Pharmacol. Toxicol. 2015, 55, 533–552. [Google Scholar] [CrossRef] [Green Version]
- Dubowchik, G.M.; Conway, C.M.; Xin, A.W. Blocking the CGRP Pathway for Acute and Preventive Treatment of Migraine: The Evolution of Success. J. Med. Chem. 2020, 63, 6600–6623. [Google Scholar] [CrossRef]
- Martelletti, P.; Cipolla, F.; Capi, M.; Curto, M.; Lionetto, L. Atogepant. Calcitonin Gene-Related Peptide (CGRP) Receptor Antagonist, Preventive Treatment of Migraine. Drugs Future 2020, 45, 285. [Google Scholar] [CrossRef]
- Bell, I.M.; Fraley, M.E.; Gallicchio, S.N.; Ginnetti, A.; Mitchell, H.J.; Paone, D.V.; Staas, D.D.; Wang, C.; Zartman, C.B.; Stevenson, H.E. Piperidinone Carboxamide Azaindane Cgrp Receptor Antagonists. WO2012064910A1, 12 May 2012. [Google Scholar]
- Geboes, K.; Dalle, I. Vasculitis and the Gastrointestinal Tract. Acta Gastroenterol. Belg. 2002, 65, 204–212. [Google Scholar]
- Felicetti, M.; Treppo, E.; Posarelli, C.; Ferro, F.; Bond, M.; Monti, S.; Elefante, E.; Trentin, F.; Delvino, P.; Talarico, R.; et al. One Year in Review 2020: Vasculitis. Clin. Exp. Rheumatol. 2020, 38 (Suppl. 124), 3–14. [Google Scholar]
- Merkel, P.A.; Jayne, D.R.; Wang, C.; Hillson, J.; Bekker, P. Evaluation of the Safety and Efficacy of Avacopan, a C5a Receptor Inhibitor, in Patients with Antineutrophil Cytoplasmic Antibody-Associated Vasculitis Treated Concomitantly with Rituximab or Cyclophosphamide/Azathioprine: Protocol for a Randomized, Double-Blind, Active-Controlled, Phase 3 Trial. JMIR Res. Protoc. 2020, 9, e16664. [Google Scholar] [CrossRef] [Green Version]
- Fan, P.; Kalisiak, J.; Krasinski, A.; Lui, R.; Powers, J.; Punna, S.; Tanaka, H.; Zhang, P. Processes and Intermediates in the Preparation of C5aR Antagonists. US20160090357A1, 31 March 2016. [Google Scholar]
- Walden, R.; Tomlinson, B. Cardiovascular Disease. In Herbal Medicine: Biomolecular and Clinical Aspects; Benzie, I.F.F., Wachtel-Galor, S., Eds.; CRC Press/Taylor & Francis: Boca Raton, FL, USA, 2011; ISBN 978-1-4398-0713-2. [Google Scholar]
- Mechanism of Action (MOA) of VERQUVO® (Vericiguat). Available online: https://www.merckconnect.com/verquvo/mechanism-of-action/ (accessed on 29 January 2022).
- Zheng, W.; Wang, Z.; Jiang, X.; Zhao, Q.; Shen, J. Targeted Drugs for Treatment of Pulmonary Arterial Hypertension: Past, Present, and Future Perspectives. J. Med. Chem. 2020, 63, 15153–15186. [Google Scholar] [CrossRef]
- Follmann, M.; Ackerstaff, J.; Redlich, G.; Wunder, F.; Lang, D.; Kern, A.; Fey, P.; Griebenow, N.; Kroh, W.; Becker-Pelster, E.-M.; et al. Discovery of the Soluble Guanylate Cyclase Stimulator Vericiguat (BAY 1021189) for the Treatment of Chronic Heart Failure. J. Med. Chem. 2017, 60, 5146–5161. [Google Scholar] [CrossRef] [PubMed] [Green Version]
- Halford, B. How Pfizer Scientists Transformed an Old Drug Lead into a COVID-19 Antiviral. Chem. Eng. New 2022, 100, 3. [Google Scholar]
- Coronavirus (COVID-19) Update: FDA Authorizes First Oral Antiviral for Treatment of COVID-19, FDA New Release, 22 December 2021. Available online: https://www.fda.gov/news-events/press-announcements/coronavirus-covid-19-update-fda-authorizes-first-oral-antiviral-treatment-covid-19 (accessed on 15 February 2022).
Publisher’s Note: MDPI stays neutral with regard to jurisdictional claims in published maps and institutional affiliations. |
© 2022 by the authors. Licensee MDPI, Basel, Switzerland. This article is an open access article distributed under the terms and conditions of the Creative Commons Attribution (CC BY) license (https://creativecommons.org/licenses/by/4.0/).























