Genotype and Variable Nitrogen Effects on Tuber Yield and Quality for Red Fresh Market Potatoes in Minnesota
Abstract
1. Introduction
2. Materials and Methods
2.1. Plant Material
2.2. Cultivation Practices
2.3. Tuber Quality Traits
2.4. Statistical Analysis
3. Results
3.1. Yield
3.2. NUE
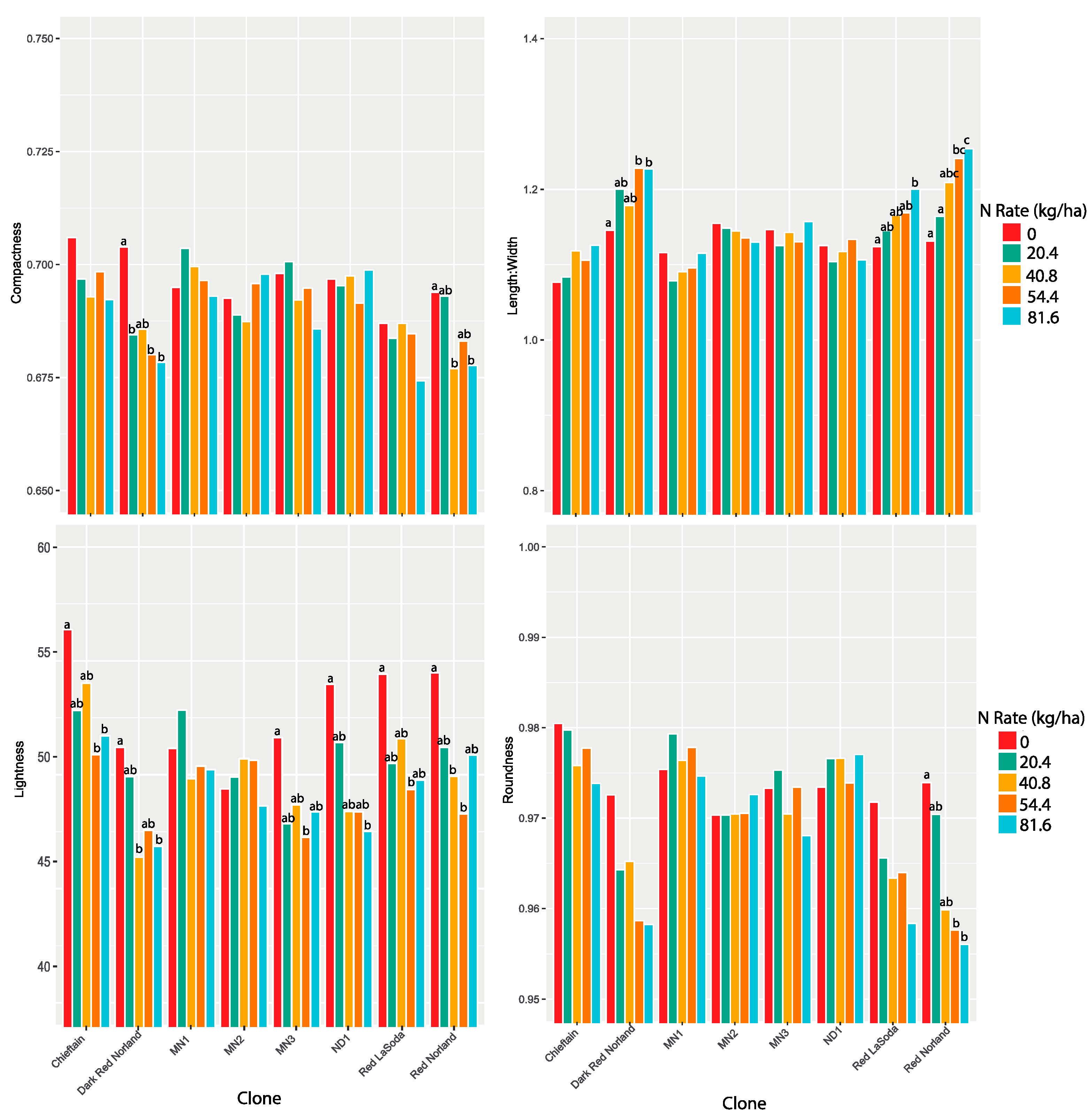
3.3. Tuber Shape
3.4. Skin Color
3.5. Skinning
4. Discussion
4.1. More N Is Not Necessarily Better
4.2. Quality Traits Should be Considered When Assessing How a Clone Responds to N
4.3. Red Fresh Market Potatoes Exhibit GxE in Response to N
5. Conclusions
Supplementary Materials
Author Contributions
Funding
Institutional Review Board Statement
Informed Consent Statement
Data Availability Statement
Acknowledgments
Conflicts of Interest
References
- Del Grosso, S.J.; Parton, W.J. Quantifying nitrous oxide emissions from agricultural soils and management impacts. In Understanding Greenhouse Gas Emissions from Agricultural Management; Guo, L., Gunasekara, A.S., McConnell, L.L., Eds.; American Chemical Society: Washington, DC, USA, 2011; pp. 3–13. [Google Scholar] [CrossRef]
- Rabalais, N.N.; Turner, R.E.; Wiseman, W.J. Gulf of Mexico Hypoxia, A.K.A. “The Dead Zone”. Annu. Rev. Ecol. Syst. 2002, 33, 235–263. [Google Scholar] [CrossRef]
- Smith, M.D.; Oglend, A.; Kirkpatrick, A.J.; Asche, F.; Bennear, L.S.; Craig, J.K.; Nance, J.M. Seafood prices reveal impacts of a major ecological disturbance. Proc. Natl. Acad. Sci. USA 2017, 114, 1512–1517. [Google Scholar] [CrossRef] [PubMed]
- Lewis, A.H.; Procter, J.; Trevains, D. The effect of time and rate of application of nitrogen fertilizers on the yield of wheat. J. Agric. Sci. 1938, 28, 618. [Google Scholar] [CrossRef]
- Swain, E.Y.; Rempelos, L.; Orr, C.H.; Hall, G.; Chapman, R.; Almadni, M.; Stockdale, E.A.; Kidd, J.; Leifert, C.; Cooper, J.M. Optimizing nitrogen use efficiency in wheat and potatoes: Interactions between genotypes and agronomic practices. Euphytica 2014, 199, 119–136. [Google Scholar] [CrossRef]
- Foote, W.H.; Batchelder, F.C. Effect of Different Rates and Times of Application of Nitrogen Fertilizers on the Yield of Hannchen Barley. Agron. J. 1953, 45, 532–535. [Google Scholar] [CrossRef]
- Baldwin, C.S.; Davis, J.F. Effect of Time and Rate of Application of Nitrogen and Date of Harvest on the Yield and Sucrose Content of Sugar Beets. Agron. J. 1966, 58, 373–376. [Google Scholar] [CrossRef]
- Gilbert, N.W.; Tucker, T.C. Growth, Yields, and Yield Components of Safflower as Affected by Source, Rate, and Time of Application of Nitrogen. Agron. J. 1967, 59, 54–56. [Google Scholar] [CrossRef]
- Sagar, T.S.; Singh, R.P. Effect of time and rate of nitrogen application on yield and quality of early and main season potato varieties. Indian J. Agric. Sci. 1973, 43, 579–581. [Google Scholar]
- Li, W.; Xiong, B.; Wang, S.; Deng, X.; Yin, L.; Li, H. Regulation Effects of Water and Nitrogen on the Source-Sink Relationship in Potato during the Tuber Bulking Stage. PLoS ONE 2016, 11, e0146877. [Google Scholar] [CrossRef]
- Bohman, B.J.; Rosen, C.J.; Mulla, D.J. Evaluation of Variable Rate Nitrogen and Reduced Irrigation Management for Potato Production. Agron. J. 2019, 111, 2005–2017. [Google Scholar] [CrossRef]
- Bohman, B.J.; Rosen, C.J.; Mulla, D.J. Impact of variable rate nitrogen and reduced irrigation management on nitrate leaching for potato. J. Environ. Qual. 2020, 49, 281–291. [Google Scholar] [CrossRef] [PubMed]
- Eid, M.A.M.; Abdel-Salam, A.A.; Salem, H.M.; Mahrous, S.E.; Seleiman, M.F.; Alsadon, A.A.; Solieman, T.H.I.; Ibrahim, A. Interaction Effects of Nitrogen Source and Irrigation Regime on Tuber Quality, Yield, and Water Use Efficiency of Solanum tuberosum L. Plants 2020, 9, 110. [Google Scholar] [CrossRef] [PubMed]
- Zebarth, B.J.; Rosen, C.J. Research perspective on nitrogen bmp development for potato. Am. J. Potato Res. 2007, 84, 3–18. [Google Scholar] [CrossRef]
- Moll, R.H.; Kamprath, E.J.; Jackson, W.A. Analysis and Interpretation of Factors Which Contribute to Efficiency of Nitrogen Utilization. Agron. J. 1982, 74, 562–564. [Google Scholar] [CrossRef]
- Olson, R.A.; Dreier, A.F.; Thompson, C.; Frank, K.; Grabouski, P.H. Using nitrogen effectively on grain crops. Univ. Neb. Agric. Exp. Stn. Bull. 1964, SB479, 24–30. [Google Scholar]
- Kohl, D.H.; Shearer, G.B.; Commoner, B.; Becker, G.A.; Chalos, M.K.; Tuccelli, M.; Aster, R.H. Fertilizer Nitrogen: Contribution to Nitrate in Surface Water in a Corn Belt Watershed. Science 1971, 174, 1331–1334. [Google Scholar] [CrossRef]
- Olson, R. Fertilizers for food production vs energy needs and environmental quality. Ecotoxicol. Environ. Saf. 1977, 1, 311–326. [Google Scholar] [CrossRef]
- Cordero, E.; Longchamps, L.; Khosla, R.; Sacco, D. Spatial management strategies for nitrogen in maize production based on soil and crop data. Sci. Total. Environ. 2019, 697, 133854. [Google Scholar] [CrossRef]
- Liu, C.; Chen, F.; Li, Z.; Le Cocq, K.; Liu, Y.; Wu, L. Impacts of nitrogen practices on yield, grain quality, and nitrogen-use efficiency of crops and soil fertility in three paddy-upland cropping systems. J. Sci. Food Agric. 2020. [Google Scholar] [CrossRef]
- Huang, C.-B.; Zeng, F.-J.; Lei, J.-Q. Impact of Cultivation Practices in Oasis Agriculture on Soil Fertility Dynamics and the Relationship with Cotton Nitrogen-Use Efficiency in the Southern Rim of the Tarim Basin, Xinjiang, China. Commun. Soil Sci. Plant Anal. 2014, 45, 2621–2635. [Google Scholar] [CrossRef]
- Tuyishime, O.; Joel, A.; Messing, I.; Naramabuye, F.; Sankaranarayanan, M.; Wesström, I. Effects of drainage intensity on water and nitrogen use efficiency and rice grain yield in a semi-arid marshland in Rwanda. Acta Agric. Scand. Sect. B Plant Soil Sci. 2020, 70, 1–16. [Google Scholar] [CrossRef]
- Ernst, O.R.; Kemanian, A.R.; Mazzilli, S.; Siri-Prieto, G.; Dogliotti, S. The dos and don’ts of no-till continuous cropping: Evidence from wheat yield and nitrogen use efficiency. Field Crop. Res. 2020, 257, 107934. [Google Scholar] [CrossRef]
- Li, Z.; Zhang, Q.; Wei, W.; Cui, S.; Tang, W.; Li, Y. Determining effects of water and nitrogen inputs on wheat yield and water productivity and nitrogen use efficiency in China: A quantitative synthesis. Agric. Water Manag. 2020, 242, 106397. [Google Scholar] [CrossRef]
- FAO. World Food and Agriculture—Statistical Pocketbook; FAO: Rome, Italy, 2018. [Google Scholar]
- Defauw, S.L.; He, Z.; Larkin, R.; Mansour, S.A. Sustainable Potato Production and Global Food Security. In Sustainable Potato Production: Global Case Studies; He, Z.Q., Larkin, R.P., Honeycutt, W., Eds.; Springer: Dordrecht, The Netherlands, 2012; pp. 3–19. [Google Scholar] [CrossRef]
- Renault, D.; Wallender, W. Nutritional water productivity and diets. Agric. Water Manag. 2000, 45, 275–296. [Google Scholar] [CrossRef]
- Errebhi, M.; Rosen, C.J.; Gupta, S.C.; Birong, D.E. Potato Yield Response and Nitrate Leaching as Influenced by Nitrogen Management. Agron. J. 1998, 90, 10–15. [Google Scholar] [CrossRef]
- Rosen, C.J.; Eliason, R. Potatoes. In Nutrient Management for Commercial Fruit and Vegetable Crops in Minnesota; UMN Extension Service: Minneapolis, MN, USA, 2005; p. 18. [Google Scholar]
- Gao, X.; Li, C.; Zhang, M.; Wang, R.; Chen, B. Controlled release urea improved the nitrogen use efficiency, yield and quality of potato (Solanum tuberosum L.) on silt loamy soil. Field Crop. Res. 2015, 181, 60–68. [Google Scholar] [CrossRef]
- Zebarth, B.J.; Tai, G.; Tarn, R.; De Jong, H.; Milburn, P.H. Nitrogen use efficiency characteristics of commercial potato cultivars. Can. J. Plant Sci. 2004, 84, 589–598. [Google Scholar] [CrossRef]
- Getahun, B.B.; Kassie, M.M.; Visser, R.G.F.; Van Der Linden, C.G. Genetic Diversity of Potato Cultivars for Nitrogen Use Efficiency Under Contrasting Nitrogen Regimes. Potato Res. 2019, 63, 1–24. [Google Scholar] [CrossRef]
- Tiwari, J.K.; Plett, D.; Garnett, T.; Chakrabarti, S.K.; Singh, R.K. Integrated genomics, physiology and breeding approaches for improving nitrogen use efficiency in potato: Translating knowledge from other crops. Funct. Plant Biol. 2018, 45, 587–605. [Google Scholar] [CrossRef]
- Tiwari, J.K.; Buckseth, T.; Devi, S.; Varshney, S.; Sahu, S.; Patil, V.U.; Zinta, R.; Ali, N.; Moudgil, V.; Singh, R.K.; et al. Physiological and genome-wide RNA-sequencing analyses identify candidate genes in a nitrogen-use efficient potato cv. Kufri Gaurav. Plant Physiol. Biochem. 2020, 154, 171–183. [Google Scholar] [CrossRef]
- Zhang, J.; Wang, Y.; Zhao, Y.; Zhang, Y.; Zhang, J.; Ma, H.; Han, Y.-Z. Transcriptome analysis reveals Nitrogen deficiency induced alterations in leaf and root of three cultivars of potato (Solanum tuberosum L.). PLoS ONE 2020, 15, e0240662. [Google Scholar] [CrossRef] [PubMed]
- Gálvez, J.H.; Tai, H.H.; Lagüe, M.; Zebarth, B.J.; Strömvik, M.V. The nitrogen responsive transcriptome in potato (Solanum tuberosum L.) reveals significant gene regulatory motifs. Sci. Rep. 2016, 6, 26090. [Google Scholar] [CrossRef] [PubMed]
- Meise, P.; Jozefowicz, A.M.; Uptmoor, R.; Mock, H.-P.; Ordon, F.; Schum, A. Comparative shoot proteome analysis of two potato (Solanum tuberosum L.) genotypes contrasting in nitrogen deficiency responses in vitro. J. Proteom. 2017, 166, 68–82. [Google Scholar] [CrossRef] [PubMed]
- Rens, L.R.; Zotarelli, L.; Cantliffe, D.J.; Stoffella, P.J.; Gergela, D.; Burhans, D. Rate and timing of nitrogen fertilizer application on potato ‘FL1867’ part II: Marketable yield and tuber quality. Field Crop. Res. 2015, 183, 267–275. [Google Scholar] [CrossRef]
- Waddell, J.T.; Gupta, S.; Moncrief, J.F.; Rosen, C.J.; Steele, D.D. Irrigation and Nitrogen Management Effects on Potato Yield, Tuber Quality, and Nitrogen Uptake. Agron. J. 1999, 91, 991–997. [Google Scholar] [CrossRef]
- Boydston, R.A.; Navarre, D.A.; Collins, H.P.; Chaves-Cordoba, B. The Effect of Nitrogen Rate on Vine Kill, Tuber Skinning Injury, Tuber Yield and Size Distribution, and Tuber Nutrients and Phytonutrients in Two Potato Cultivars Grown for Early Potato Production. Am. J. Potato Res. 2017, 94, 425–436. [Google Scholar] [CrossRef]
- Wiltshire, J.; Milne, F.; Peters, J. Improving the Understanding and Management of Skin Set and Bloom in Potatoes. British Potato Council. Available online: https://potatoes.ahdb.org.uk/sites/default/files/publication_upload/20061%20skin%20set%20and%20bloom%20Final%20Report%20R222.pdf (accessed on 28 October 2019).
- Jones, C.R.; Michaels, T.E.; Carley, C.S.; Rosen, C.J.; Shannon, L.M. Nitrogen uptake and utilization in advanced fresh market red potato breeding lines. Crop. Sci. 2020. Epub ahead of printing. [Google Scholar] [CrossRef]
- Weigle, J.L.; Kehr, A.E.; Akeley, R.V.; Horton, J.C. Chieftain: A red-skinned potato with attractive appearance and broad adaptability. Am. J. Potato Res. 1968, 45, 293–296. [Google Scholar] [CrossRef]
- Johansen, R.H.; Sandar, N.; Hoyman, W.G.; Lana, E.P. Norland a new red-skinned potato variety with early maturity and moderate resistance to common scab. Am. J. Potato Res. 1959, 36, 12–15. [Google Scholar] [CrossRef]
- Minnesota Department of Agriculture. Minnesota Directory of Certified Seed Potatoes. 2020. Available online: https://www.leg.mn.gov/docs/2020/Other/201023.pdf (accessed on 12 January 2021).
- Web Soil Survey, Soil Survey Staff. Web Soil Survey: Soil Data Mart. USDA-NCRS. Available online: https://websoilsurvey.sc.egov.usda.gov/ (accessed on 20 October 2018).
- USDA. United States Standards for Grades of Potatoes. USDA Agricultural Marketing Service Fruit and Vegetable Programs Fresh Products Branch. 2011. Available online: https://www.ams.usda.gov/sites/default/files/media/Potato_Standard%5B1%5D.pdf (accessed on 28 October 2019).
- Caraza-Harter, M.V.; Endelman, J.B. Image-based phenotyping and genetic analysis of potato skin set and color. Crop. Sci. 2020, 60, 202–210. [Google Scholar] [CrossRef]
- Pau, G.; Fuchs, F.; Sklyar, O.; Boutros, M.; Huber, W. EBImage—An R package for image processing with applications to cellular phenotypes. Bioinformatics 2010, 26, 979–981. [Google Scholar] [CrossRef] [PubMed]
- Si, Y.; Sankaran, S.; Knowles, N.R.; Pavek, M.J. Potato Tuber Length-Width Ratio Assessment Using Image Analysis. Am. J. Potato Res. 2016, 94, 88–93. [Google Scholar] [CrossRef]
- Waterer, D.R.; Elsadr, H.; McArthur, M.-L. Skin Color, Scab Sensitivity and Field Performance of Lines Derived from Spontaneous Chimeras of Red Norland Potato. Am. J. Potato Res. 2011, 88, 199–206. [Google Scholar] [CrossRef]
- R Core Team. R: A Language and Environment for Statistical Computing; R Foundation for Statistical Computing: Vienna, Austria, 2018; Available online: https://www.R-project.org/ (accessed on 2 January 2021).
- Harville, D.A. Maximum Likelihood Approaches to Variance Component Estimation and to Related Problems. J. Am. Stat. Assoc. 1977, 72, 320–338. [Google Scholar] [CrossRef]
- Bates, D.; Mächler, M.; Bolker, B.; Walker, S. Fitting Linear Mixed-Effects Models Usinglme4. J. Stat. Softw. 2015, 67, 1–48. [Google Scholar] [CrossRef]
- Lenth, R.V.; Buerkner, P.; Herve, M.; Love, J.; Riebl, H.; Singmann, H. Package ‘Emmeans’. 2020. Available online: https://cran.r-project.org/web/packages/emmeans/emmeans.pdf (accessed on 2 January 2020).
- Wickham, H. Tidyverse: Easily Install and Load the ‘Tidyverse’. R Package Version 1.2.1. 2017. Available online: https://CRAN.R-project.org/package=tidyverse (accessed on 2 January 2021).
- Wickham, H. Ggplot2: Elegant Graphics for Data Analysis; Springer: New York, NY, USA, 2016; Available online: https://ggplot2.tidyverse.org (accessed on 28 January 2021).
- Makani, M.N.; Zotarelli, L.; Sargent, S.A.; Huber, D.J.; Sims, C.A. Nitrogen Fertilizer Rate Affects Yield and Tuber Quality of Drip-Irrigated Tablestock Potatoes (Solanum tuberosum L.) Grown under Subtropical Conditions. Am. J. Potato Res. 2020, 97, 605–614. [Google Scholar] [CrossRef]
- Ospina, C.A.; Van Bueren, E.T.L.; Allefs, J.J.H.M.; Engel, B.; Van Der Putten, P.E.L.; Van Der Linden, C.G.; Struik, P.C. Diversity of crop development traits and nitrogen use efficiency among potato cultivars grown under contrasting nitrogen regimes. Euphytica 2014, 199, 13–29. [Google Scholar] [CrossRef]
- Hewitt, E.J. The Essential Nutrient Elements, Requirements and Interaction in Plants. In Plant Physiology, a Treatise; Steward, F.C., Ed.; Academic Press: New York, NY, USA, 1963; Volume 3. [Google Scholar]
- Endelman, J.B.; Jansky, S.H. Genetic mapping with an inbred line-derived F2 population in potato. Theor. Appl. Genet. 2016, 129, 935–943. [Google Scholar] [CrossRef]
- Robinson, A. Personal Communication; North Dakota State University: Fargo, ND, USA, 2020. [Google Scholar]
- Vander Zaag, P.; Demagante, A.L.; Ewing, E.E. Influence of plant spacing on potato (Solanum tuberosum L.) morphology, growth and yield under two contrasting environments. Potato Res. 1990, 33, 313–323. [Google Scholar] [CrossRef]
- Thompson, A.L.; Secor, G.A.; Lorenzen, J.H.; Farnsworth, B.L.; Novy, R.G.; Gudmestad, N.C.; Holm, E.T.; Preston, D.A. Dakota rose: A bright red tablestock potato cultivar that retains its skin color in storage. Am. J. Potato Res. 2006, 83, 317–323. [Google Scholar] [CrossRef]
- Miller, J.C., Jr.; Scheuring, D.C.; Koym, J.W.; Holm, D.G.; Pavek, J.J.; Novy, R.G.; Whitworth, J.; Stark, J.C.; Charlton, B.A.; Yilma, S.; et al. Reveille Russet: An Early, Widely Adapted, High-Count-Carton Russet for the Fresh Market. Am. J. Potato Res. 2017, 95, 79–86. [Google Scholar] [CrossRef]
- Stark, J.C.; Novy, R.G.; Whitworth, J.; Knowles, N.R.; Pavek, M.J.; Thornton, M.; Brown, C.R.; Charlton, B.A.; Sathuvalli, V.; Brandt, T.L.; et al. Pomerelle Russet: An Early Maturing Potato Variety with High Yields of U.S. No. 1 Tubers Suitable for Fresh Market and mid-Storage Processing and Tolerance to Potato Mop-top Virus. Am. J. Potato Res. 2018, 95, 110–122. [Google Scholar] [CrossRef]
- Knowles, N.; Plissey, E. Maintaining tuber health during harvest, storage, and post-storage handeling. In Potato Health Management, 2nd ed.; Johnson, D., Ed.; American Phytopathological Society: St. Paul, MN, USA, 2007. [Google Scholar]
- Tanios, S.; Tegg, R.; Eyles, A.; Thangavel, T.; Wilson, C.R. Potato Tuber Greening Risk is Associated with Tuber Nitrogen Content. Am. J. Potato Res. 2020, 97, 360–366. [Google Scholar] [CrossRef]
- Van Dingenen, J.; Hanzalova, K.; Salem, M.A.; Abel, C.; Seibert, T.; Giavalisco, P.; Wahl, V. Limited nitrogen availability has cultivar-dependent effects on potato tuber yield and tuber quality traits. Food Chem. 2019, 288, 170–177. [Google Scholar] [CrossRef] [PubMed]
- Sun, N.; Wang, Y.; Gupta, S.K.; Rosen, C.J. Potato Tuber Chemical Properties in Storage as Affected by Cultivar and Nitrogen Rate: Implications for Acrylamide Formation. Foods 2020, 9, 352. [Google Scholar] [CrossRef]
- Tiemens-Hulscher, M.; Van Bueren, E.T.L.; Struik, P.C. Identifying nitrogen-efficient potato cultivars for organic farming. Euphytica 2014, 199, 137–154. [Google Scholar] [CrossRef]





| Name | Year of Release/Cross | Parents |
|---|---|---|
| Chieftain | 1968 | Ia 1027-18XLa 1354 |
| Dark Red Norland | Unclear | line selection from Norland |
| Red LaSoda | 1953 | line selection from LaSoda |
| Red Norland | 1965 | line selection from Norland |
| MN1 | ~2010 | Dakota Rose × MN96013R |
| MN2 | ~2010 | MN06030-1R ⊗ |
| MN3 | ~2010 | MN06030-1R ⊗ |
| ND1 | 1995 | NorDonna × ND2225-1R |
| Trait | Model |
|---|---|
| Lightness | |
| Roundness | |
| Length to Width Ratio | |
| Compactness | |
| Skinning 2018 * | |
| Skinning 2019 | |
| Redness 2018 * | |
| Redness 2019, and Yield 2018 | |
| Yield 2019 *, Smalls 2018 *, and Smalls 2019 * | |
| Mediums 2018, Mediums 2019, Larges 2018, and Larges 2019 |
| Trait | Coefficient of Variation (%) | Clone | N Rate | Replication | Clone * N Rate |
|---|---|---|---|---|---|
| Plot Yield | |||||
| Clones Combined 2018 | 23.5 | na | *** | ||
| Clones Combined 2019 | 40.0 | na | * | ||
| Clones Separate 2018 | 9.09 | *** | *** | ** | *** |
| Clones Separate 2019 | 23.1 | *** | *** | ||
| Yield of smalls 2018 | 21.1 | *** | *** | *** | |
| Yield of smalls 2019 | 38.6 | *** | |||
| Yield of mediums 2018 | 12.2 | *** | *** | * | *** |
| Yield of mediums 2019 | 30.0 | *** | *** | * | |
| Yield of larges 2018 | 111 | *** | *** | ** | *** |
| Yield of larges 2019 | 266 | *** | * | ||
| Length to Width 2018 | 3.14 | *** | *** | *** | |
| Length to Width 2019 | 3.70 | *** | ** | *** | * |
| Roundness 2018 | 0.541 | *** | *** | *** | |
| Roundness 2019 | 0.632 | *** | ** | ** | |
| Compactness 2018 | 1.67 | *** | *** | * | |
| Compactness 2019 | 2.12 | * | |||
| Skinning 2018 | 43.1 | *** | |||
| Skinning 2019 | 62.3 | *** | * | * | |
| Lightness 2018 | 2.57 | *** | *** | * | |
| Lightness 2019 | 6.72 | ** | *** | * | |
| Redness 2018 | 8.04 | *** | *** | ** | |
| Redness 2019 | 21.6 | *** | * | ** |
| Trait | Clone | N Rate | Year | Clone * N Rate | Clone * Year | N Rate * Year | Year * Rep. | Clone * N Rate * Year | H2 |
|---|---|---|---|---|---|---|---|---|---|
| Roundness 2018 + 2019 | *** | *** | *** | *** | *** | * | ** | 77.5 | |
| Length to Width 2028 + 2019 | *** | *** | ** | *** | *** | *** | 74.9 | ||
| Compactness 2028 + 2019 | *** | *** | ** | 25.2 | |||||
| Lightness 2028 + 2019 | *** | *** | *** | ** | *** | 59.4 |
Publisher’s Note: MDPI stays neutral with regard to jurisdictional claims in published maps and institutional affiliations. |
© 2021 by the authors. Licensee MDPI, Basel, Switzerland. This article is an open access article distributed under the terms and conditions of the Creative Commons Attribution (CC BY) license (http://creativecommons.org/licenses/by/4.0/).
Share and Cite
Stefaniak, T.R.; Fitzcollins, S.; Figueroa, R.; Thompson, A.L.; Schmitz Carley, C.; Shannon, L.M. Genotype and Variable Nitrogen Effects on Tuber Yield and Quality for Red Fresh Market Potatoes in Minnesota. Agronomy 2021, 11, 255. https://doi.org/10.3390/agronomy11020255
Stefaniak TR, Fitzcollins S, Figueroa R, Thompson AL, Schmitz Carley C, Shannon LM. Genotype and Variable Nitrogen Effects on Tuber Yield and Quality for Red Fresh Market Potatoes in Minnesota. Agronomy. 2021; 11(2):255. https://doi.org/10.3390/agronomy11020255
Chicago/Turabian StyleStefaniak, Thomas R., Sophia Fitzcollins, Rachel Figueroa, Asunta L. Thompson, Cari Schmitz Carley, and Laura M. Shannon. 2021. "Genotype and Variable Nitrogen Effects on Tuber Yield and Quality for Red Fresh Market Potatoes in Minnesota" Agronomy 11, no. 2: 255. https://doi.org/10.3390/agronomy11020255
APA StyleStefaniak, T. R., Fitzcollins, S., Figueroa, R., Thompson, A. L., Schmitz Carley, C., & Shannon, L. M. (2021). Genotype and Variable Nitrogen Effects on Tuber Yield and Quality for Red Fresh Market Potatoes in Minnesota. Agronomy, 11(2), 255. https://doi.org/10.3390/agronomy11020255
