Effects of a Plasma Water and Biostimulant on Lawn Functional Value
Abstract
1. Introduction
2. Materials and Methods
2.1. Biostimulants
2.2. Plasma Water (LPGP Treatment)
2.3. Weather Conditions
2.4. Soil Granulometric Composition
2.5. Soil Chemical Properties
2.6. Visual Assessment of Turf Functional Value
2.7. Statistical Analysis
3. Results
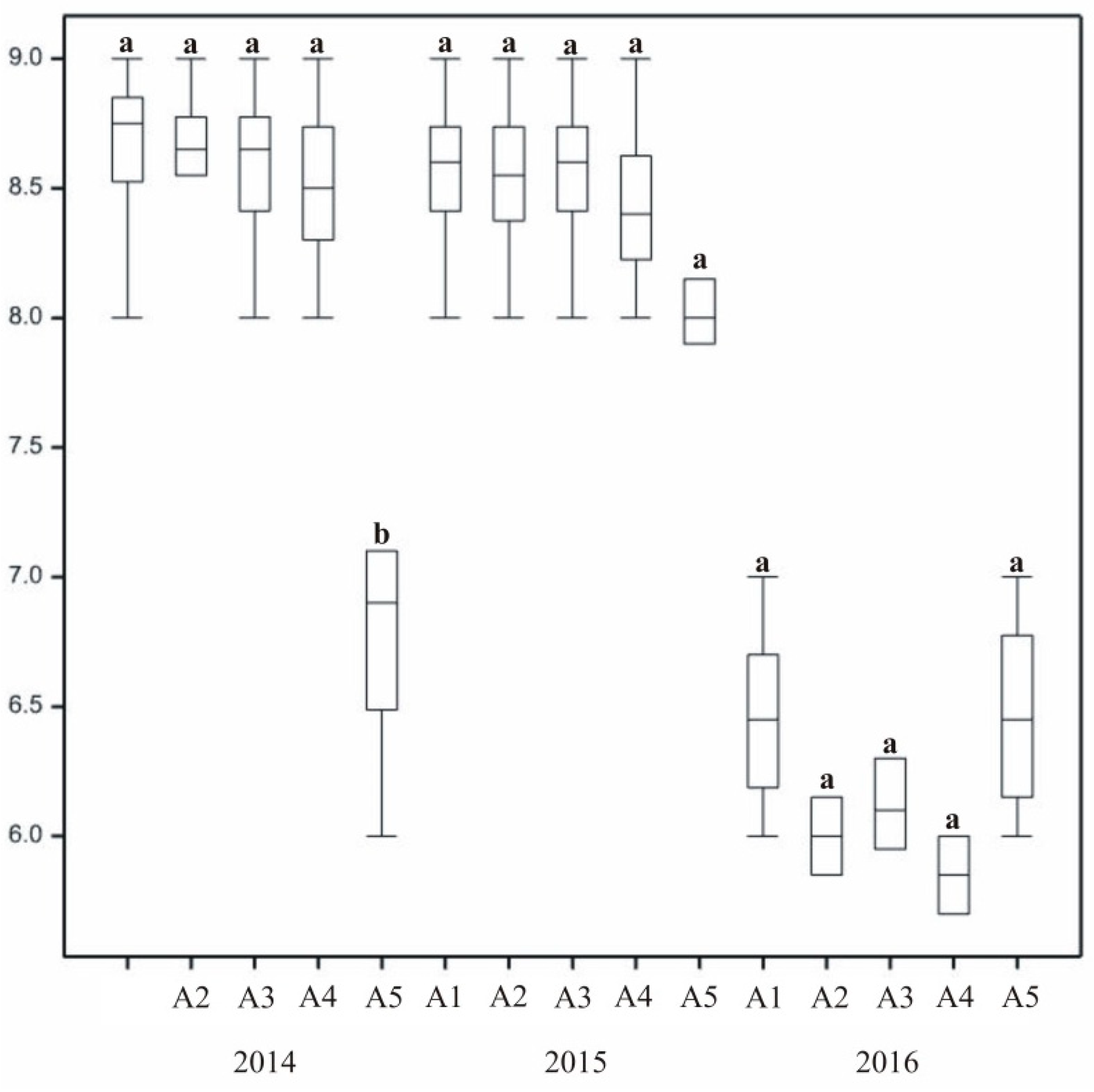
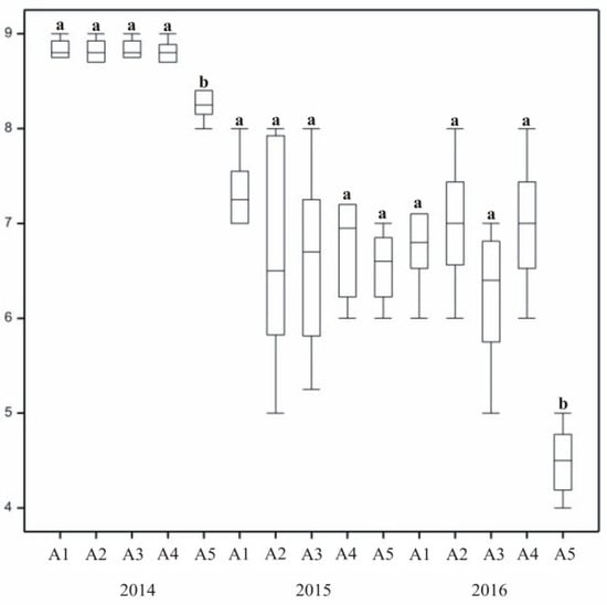
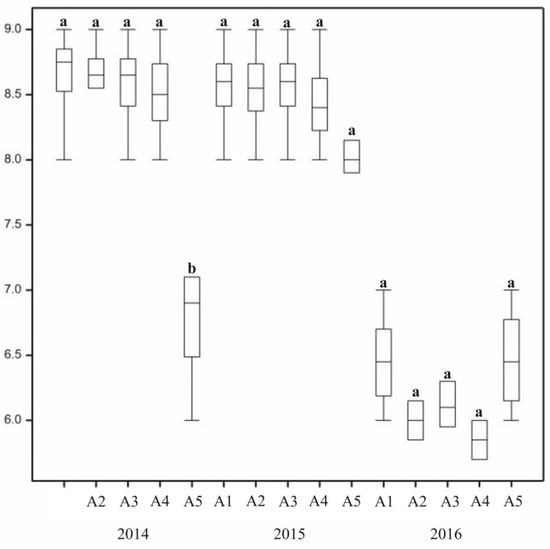
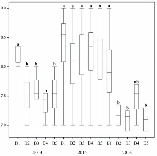
3.1. Density
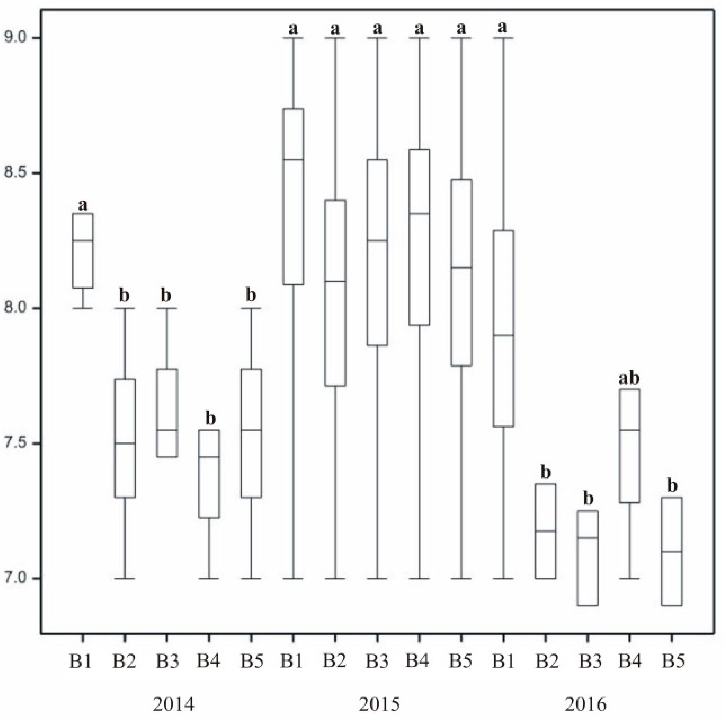
3.2. Susceptibility to Disease
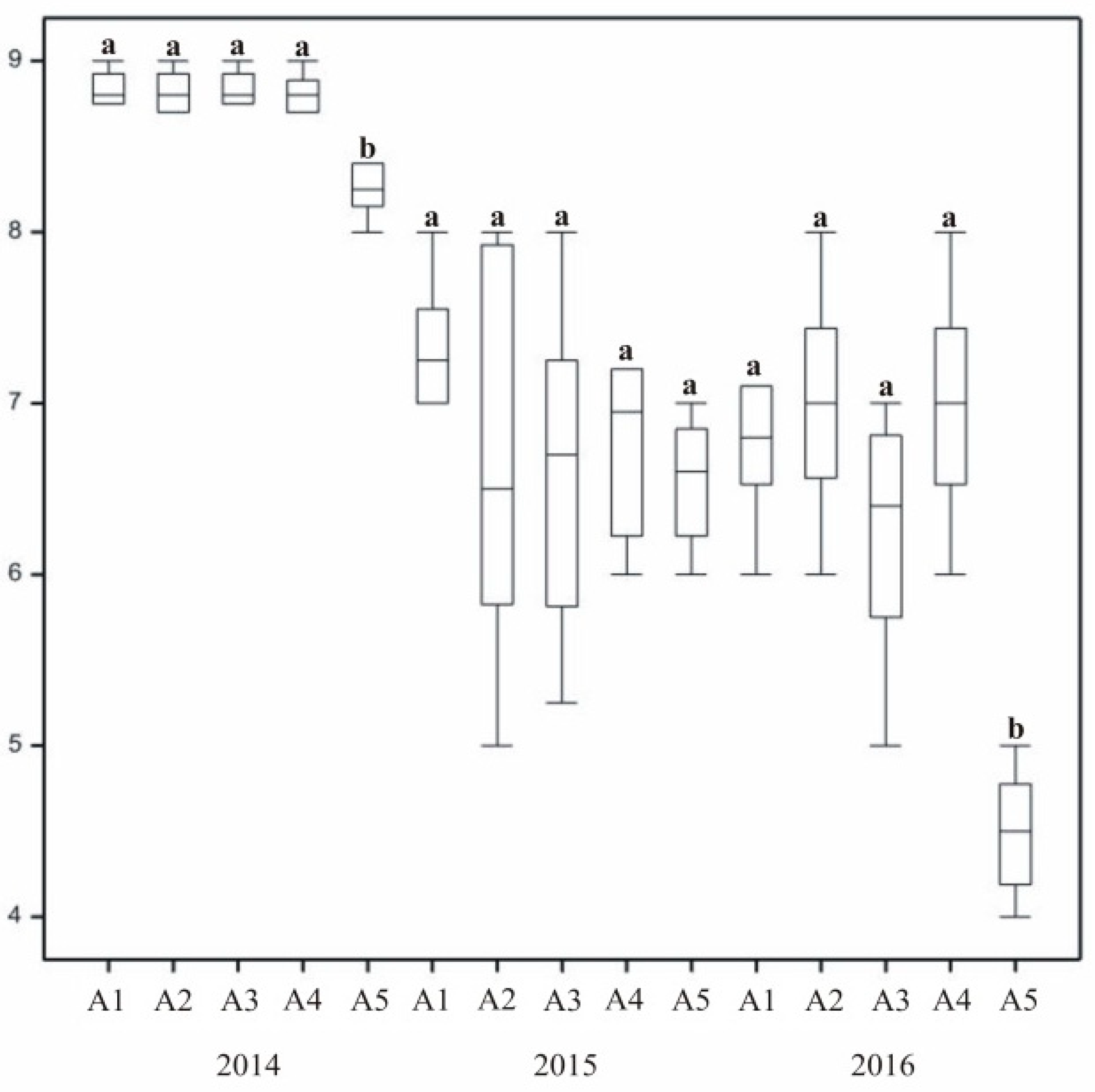
3.3. Leaf Fineness
3.4. Overwintering
4. Discussion
5. Conclusions
Author Contributions
Funding
Institutional Review Board Statement
Informed Consent Statement
Data Availability Statement
Acknowledgments
Conflicts of Interest
References
- Wolski, K.; Talar-Krasa, M.; Dradrach, A.; Szymura, M.; Biernacik, M.; Świerszcz, S. Ocena użytkowa murawy piłkarskiej na przykładzie KŚ AZS we Wrocławiu. Łąkarstwo w Polsce (Grassl. Sci. Pol.) 2015, 18, 241–254. [Google Scholar]
- Chen, Y.; Clapp, C.E.; Magen, H. Mechanisms of plant growth stimulation by humic substances: The role of organo-iron complexes. Soil Sci. Plant Nutr. 2004, 50, 1089–1095. [Google Scholar] [CrossRef]
- Brown, P.; Saa, S. Biostimulants in agriculture. Front. Plant Sci. 2015, 6, 671. [Google Scholar] [CrossRef] [PubMed]
- Radkowski, A.; Radkowska, I.; Wolski, K. Effect of silicon foliar application on the functional value of lawns. J. Elem. 2018, 23, 1257–1270. [Google Scholar] [CrossRef]
- Radkowski, A.; Radkowska, I.; Bocianowski, J.; Sladkovska, T.; Wolski, K. The effect of foliar application of an amino acid based biostimulant on lawn functional value. Agronomy 2020, 10, 1656. [Google Scholar] [CrossRef]
- Calvo, P.; Nelson, L.; Kloepper, J.W. Agricultural uses of plant biostumulants. Plant Soil 2014, 383, 3–41. [Google Scholar] [CrossRef]
- Du Jardin, P. Plant biostimulants: Definition, concept, maincategories and regulation. Sci. Hortic. 2015, 196, 3–14. [Google Scholar] [CrossRef]
- Posmyk, M.M.; Szafrańska, K. Biostimulators: A new trend towards solving an old problem. Front. Plant Sci. 2016, 7, 748. [Google Scholar] [CrossRef]
- Caradonia, F.; Battaglia, V.; Righi, L.; Pascali, G.; La Torre, A. Plant biostimulant regulatory framework: Prospects in europe and current situation at international level. J. Plant Growth Regul. 2019, 38, 438–448. [Google Scholar] [CrossRef]
- Beaudreau, D.G. Biostimulants in Agriculture: Their Current and Future Role in a Connected Agricultural Economy; Biostimulant Coalition: Washington, DC, USA, 2013; Available online: www.biostimulantcoalition.org (accessed on 11 February 2017).
- Yakhin, O.I.; Lubyanov, A.A.; Yakhin, I.A.; Brown, P.H. Biostimulants in Plant Science: A Global Perspective. Front. Plant Sci. 2017, 7, 2049. [Google Scholar] [CrossRef]
- Halpern, M.; Bar-Tal, A.; Ofek, M.; Minz, D.; Muller, T.; Yermiyahu, U. The use of biostimulants for enhancing nutrient uptake. Adv. Agron. 2015, 130, 141–174. [Google Scholar] [CrossRef]
- Chojnacka, K. Innovative bio-products for agriculture. Open Chem. 2015, 1, 932–937. [Google Scholar] [CrossRef]
- Hamza, B.; Suggars, A. Biostimulants: Myths and realities. TurfGrass Trends 2001, 8, 6–10. [Google Scholar]
- Torre, L.A.; Battaglia, V.; Caradonia, F. An overview of the current plant biostimulant legislations in different European Member States. J. Sci. Food Agric. 2016, 96, 727–734. [Google Scholar] [CrossRef] [PubMed]
- Bulgari, R.; Cocetta, G.; Trivellini, A.; Vernieri, P.; Ferrante, A. Biostimulats and crop responses: A review. Biol. Agric. Hortic. 2015, 31, 1–17. [Google Scholar] [CrossRef]
- Rose, M.T.; Patti, A.F.; Little, K.R.; Brown, A.L.; Jackson, W.R.; Cavagnaro, T.R. A meta analysis and review of plant-growth response to humic substances: Practical implications for agriculture. Adv. Agron. 2014, 124, 37–89. [Google Scholar] [CrossRef]
- Schmidt, R.E.; Ervin, E.H.; Zhang, X. Questions and answers about biostimulants. Golf Course Manag. 2003, 71, 91–94. [Google Scholar]
- Liu, H.; Cooper, R.J. Humic substances influence creeping bentgrass growth. Golf Course Manag. 2000, 49–53. Available online: https://jhbiotech.com/docs/Humic-Acids-on-BentGrass.pdf (accessed on 28 January 2021).
- Zhang, X.; Ervin, E.H.; Schmidt, R.E. Physiological effects of liquid applications of a seaweed extract and humic acid on Creeping Bentgrass. J. Am. Soc. Hortic. Sci. 2003, 128, 492–496. [Google Scholar] [CrossRef]
- Mueller, S.R.; Kussow, W.R. Biostimualnt influences on turfgrass microbial communities and creeping bentgrass putting green quality. HortScience 2005, 40, 1904–1910. [Google Scholar] [CrossRef]
- Daneshvar, N.; Maibodi, H.; Kafi, M.; Nikbakht, A.; Rejali, F. Effect of foliar applications of humic acid on growth, visual quality, nutrients content and root parameters of Perennial Ryegrass (Lolium perenne L.). J. Plant Nutr. 2015, 38, 224–236. [Google Scholar] [CrossRef]
- Deng, Q.; Xia, H.; Lin, L.; Wang, J.; Yuan, L.; Li, K.; Zhang, J.; Lv, X.; Liang, D. SUNRED, a natural extract-based biostimulant, application stimulates anthocyanin production in the skins of grapes. Sci. Rep. 2019, 9, 2590. [Google Scholar] [CrossRef] [PubMed]
- Scott, N.; Chen, H. Nanoscale science and engineering for agriculture and food systems. IB in Depth–Special Section on Nanobiotechnology, Part 2. Ind. Biotechnol. 2012, 9, 17–18. [Google Scholar] [CrossRef]
- Mrowiec, B. Nanomateriały–nowe zagrożenie środowiska. Inżynieria Środowiska 2017, 18, 105–110. [Google Scholar]
- Świderski, F.; Waszkiewicz-Robak, B. Nanotechnologia–teraźniejszość i przyszłość. Postępy Techniki Przetwórstwa Spożywczego 2006, 16, 55–57. [Google Scholar]
- Kryża, K.; Szczepanik, G. Zastosowanie techniki zimnej plazmy jako nowoczesna technologia zabezpieczania surowców żywnościowych; Zachodniopomorski Universytet Technologiczny: Szczecin, Poland, 2010. [Google Scholar]
- Oszczęda, Z.; Elkin, I.; Stręk, W. Equipment for Treatment of Water with Plasma. Polish Patent PL 216025 B1, 28 February 2014. [Google Scholar]
- Donsbach, K.W.; Cazares, R. Process for Making Highly Oxygenated Drinking Water and Drinking Water Made by the Process. U.S. Patent 5587191A, 24 December 1996. [Google Scholar]
- Zelenak, Z.M.; Berzsenyi, L.; Abramo, F. Oxygen Enriched Liquids, Method and Apparatus for Making, and Applications Thereof. U.S. Patent 581422A, 29 September 1998. [Google Scholar]
- DeWald, J.J. Method and Apparatus for Adding Oxygen to Drinking Water. U.S. Patent 69361179B2, 30 August 2005. [Google Scholar]
- Lascoste, C.; Brunner, S.; Jimenez, L.; Klein, A. Method for Enriching Water with Oxygen by an Electrolytic Process, Oxygen Enriched Water or Beverage and Uses Thereof. U.S. Patent 8,709,231, 19 December 2008. [Google Scholar]
- Messer Americas, FARMOX. Drop-in Oxygenation Apparatus. New, Easy-to-Deploy, Highly Efficient Solution for Oxygenation of Water. Available online: https://cdn2.hubspot.net/hubfs/189660/Messer%20US%20Website_2019/Resources/MESS-3024_FARMOX_Dropln_datasheet.pdf (accessed on 25 June 2020).
- Ciesielska, A.; Ciesielski, W.; Khachatryan, K.; Koloczek, H.; Kulawik, D.; Oszczeda, Z.; Soroka, J.A.; Tomasik, P. Structure and physicochemical properties of water treated under carbon dioxide with low-temperature low-pressure glow plasma of low frequency. Water 2020, 12, 1920. [Google Scholar] [CrossRef]
- Bialopiotrowicz, T.; Ciesielski, W.; Domanski, J.; Doskocz, M.; Khachatryan, K.; Fiedorowicz, M.; Graz, K.; Koloczek, H.; Kozak, A.; Oszczeda, Z.; et al. Structure and Physicochemical Properties of Water Treated w ith Low-Temperature Low-Frequency Glow Plasma. Curr. Phys. Chem. 2016, 6, 312–320. [Google Scholar] [CrossRef]
- Chwastowski, J.; Ciesielski, W.; Khachatryan, K.; Kołoczek, H.; Kulawik, D.; Oszczęda, Z.; Soroka, J.A.; Tomasik, P.; Witczak, M. Water of increased content of molecular oxygen. Water 2020, 12, 2488. [Google Scholar] [CrossRef]
- Reszke, E.; Yelkin, I.; Oszczęda, Z. Plasming Lamp with Power Supply. Polish Patent PL 227530 B1, 26 October 2017. [Google Scholar]
- Chwastowski, J.; Ciesielska, K.; Ciesielski, W.; Khachatryan, K.; Kołoczek, H.; Kulawik, D.; Oszczeda, Z.; Tomasik, P.; Witczak, M. Structure and Physicochemical Properties of Water Treated under Nitrogen with Low-Temperature Glow Plasma. Water 2020, 12, 1314. [Google Scholar] [CrossRef]
- Ciesielska, A.; Ciesielski, W.; Kołoczek, H.; Kulawik, D.; Kończyk, J.; Oszczęda, Z.; Tomasik, P. Structure and some physicochemical and functional properties of water treated under ammonia with low-temperature low-pressure glow plasma of low-frequency. Glob. J. Chem. 2020, 18, 1195–1206. [Google Scholar] [CrossRef]
- Ciesielska, A.; Ciesielski, W.; Khachatryan, K.; Kołoczek, H.; Kulawik, D.; Oszczęda, Z.; Soroka, J.A.; Tomasik, P. Structure and physicochemical properties of water treated under methane with low-temperature glow plasma of low frequency. Water 2020, 12, 1638. [Google Scholar] [CrossRef]
- Jaworska, M.; Oszczęda, Z.; Tomasik, P. Water treated with low-temperature, low-pressure, low-frequency glow plasma as a stimulant of pathogenicity and reproduction of biopesticides Part I. Entomopathogenic fungi. Pol. J. Nat. Sci. 2018, 33, 561–568. [Google Scholar]
- Pater, A.; Zdaniewicz, M.; Satora, P.; Khachatryan, G.; Oszczęda, Z. Application of Water Treated with Low-Temperature Low-Pressure Glow Plasma for Quality Improvement of Barley and Malt. Biomolecules 2020, 10, 267. [Google Scholar] [CrossRef] [PubMed]
- Murawski, M.; Schwarz, T.; Grygier, J.; Patkowski, K.; Oszczęda, Z.; Jelkin, I.; Kosiek, A.; Gruszecki, T.M.; Szymanowska, A.; Skrzypek, T.; et al. The utilityof nanowater for ram semen cryopreservation. Exp. Biol. Med. 2014, 240, 611–617. [Google Scholar] [CrossRef] [PubMed]
- Szymanowicz, J.; Schwarz, M.; Murawski, M.; Małopolska, M.; Oszczęda, Z.; Tuz, R.; Nowicki, J.; Bartlewski, P.M. Storage, of bear semen at 16–18 °C in the long term commercial extender prepared with deionized water or nanowater. Anim. Reprod. 2019, 16, 864–870. [Google Scholar] [CrossRef] [PubMed]
- Pisulewska, E.; Ciesielski, W.; Jackowska, M.; Gąstoł, M.; Oszczęda, Z.; Tomasik, P. Cultivation of peppermint (Mentha piperita rubescens) using water treated with low-pressure, low-temperature glow plasma of low frequency. Electron. J. Pol. Agric. Univ. 2018, 21, 01. [Google Scholar] [CrossRef]
- Ciesielska, K.; Ciesielski, W.; Girek, T.; Kołoczek, H.; Oszczęda, Z.; Tomasik, P. Reaction of Lavandula angustifolia Mill. to water treated with low-temperature, low-pressure glow plasma of low frequency. Water 2020, 12, 3168. [Google Scholar] [CrossRef]
- Ciesielski, W.; Gąstoł, M.; Kulawik, D.; Oszczęda, Z.; Pisulewska, E.; Tomasik, P. Specific controlling essential oil composition of basil (Ocimum basilicum L.) involving low-temperature, low-pressure glow plasma of low frequency. Water 2020, 12, 3332. [Google Scholar] [CrossRef]
- Małopolska Hodowla Traw. 2017. Available online: http://hbp.pl/pl/trawy-gazonowe_85/wiechlina-lakowa_135 (accessed on 28 March 2017).
- Małopolska Hodowla Traw. 2017. Available online: http://hbp.pl/pl/trawy-gazonowe_85/zycica-trwala_136 (accessed on 28 March 2017).
- Turgrass Seeds. 2017. Available online: https://www.bspb.co.uk/sg_userfiles/BSPB_Turfgrass_2017.pdf (accessed on 28 January 2021).
- Khachatryan, G.; Khachatryan, K.; Krystyjan, M.; Pardus, L.; Oszczęda, Z. Preparation and properties of gels and foils from starch and water treated with low-temperature low-frequency glow plasma (LPGP). In Proceedings of the 14th International Conference on Polysaccharides-Glycoscience, Prague, Czech Republic, 7–9 November 2018; Radmila, Ř., Andrea, H., Jana, Č., Eds.; Czech Chemical Society: Praha, Czech Republic, 2018; pp. 196–199, ISBN 978-80-86238-80-7. [Google Scholar]
- Bocianowski, J.; Kozak, M.; Liersch, A.; Bartkowiak-Broda, I. A heuristic method of searching for interesting markers in terms of quantitative traits. Euphytica 2011, 181, 89–100. [Google Scholar] [CrossRef]
- Starczewski, K.; Affek-Starczewska, A. Wpływ udziału życicy trwałej w mieszankach trawnikowych na aspekt ogólny terenów zadarnionych. Fragm. Agron. 2011, 28, 60–69. [Google Scholar]
- Jankowski, K.; Sosnowski, J.; Jankowska, J.; Kowalczyk, R. Impact of hydrogel and kind of soil cover on the compactness of turf lawns. Inżynieria Ekologiczna 2012, 30, 249–256. (In Polish) [Google Scholar]
- Russi, L.; Annicchiarico, P.; Martiniello, P.; Tomasoni, C.; Piano, E.; Veronesi, F. Turf quality cool season grasses at low imputs: Reliability across years, seasons and sites of evaluation. Acta Hortic. 2004, 661, 387–392. [Google Scholar] [CrossRef]
- Brede, D. Multi-Way Kentucky bluegrass blends and their effect on turfgrass quality. Acta Hortic. 2008, 783, 19–27. [Google Scholar] [CrossRef]
- Prończuk, S.; Prończuk, M. Evaluation of the response of perennial ryegrass (Lolium perenne L.) cultivars to temporary shading in turf maintenance. Biul. IHAR 2008, 248, 134–135. [Google Scholar]
- Laudański, Z.; Prończuk, M.; Prończuk, M. Proposition of turf characters synthesis for assessment of Festuca spp. cultivars value. Biul. IHAR 2004, 233, 181–192. [Google Scholar]
- Szulc, P.; Bocianowski, J. Monitoring of biogenic element concentrations in drainage water of the production field. Bulg. J. Agric. Sci. 2013, 19, 472–478. [Google Scholar]
- Gromadzka, K.; Waśkiewicz, A.; Świetlik, J.; Bocianowski, J.; Goliński, P. The role of wastewater treatment in reducing pollution of surface waters with zearalenone. Arh. Hig. Rada Toksikol. 2015, 66, 159–164. [Google Scholar] [CrossRef][Green Version]
- Schnabel, U.; Handorf, O.; Yarova, K.; Zessin, B.; Zechlin, S.; Sydow, D.; Zellmer, E.; Stachowiak, J.; Andrasch, M.; Below, H.; et al. Plasma-treated air and water—Assessment of synergistic antimicrobial effects for sanitation of food processing surfaces and environment. Foods 2019, 8, 55. [Google Scholar] [CrossRef]
- Battacharyya, D.; Babgohari, M.Z.; Rathor, P.; Prithiviraj, B. Seaweed extracts as biostimulants in horticulture. Sci. Hortic. 2015, 196, 39–48. [Google Scholar] [CrossRef]
- Yamamoto, Y.Y.; Yoshioka, Y.; Hyakumachi, M.; Maruyama, K.; Yamaguchi-Shinozaki, K.; Tokizawa, M.; Koyama, H. Prediction of transcriptional regulatory elements for plant hormone responses based on microarray data. BMC Plant Biol. 2011, 11, 39. [Google Scholar] [CrossRef]
- Hooley, R. Gibberellins: Perception, transduction and responses. Plant Mol. Biol. 1994, 26, 1529–1555. [Google Scholar] [CrossRef] [PubMed]
- Kende, H.; Zeevaart, J. The five “classical” plant hormones. Plant Cell 1997, 9, 1197–1210. [Google Scholar] [CrossRef] [PubMed]
- Dayan, J.; Schwarzkopf, M.; Avni, A.; Aloni, R. Enhancing plant growth and fiber production by silencing GA 2-oxidase. Plant Biotechnol. J. 2010, 8, 425–435. [Google Scholar] [CrossRef] [PubMed]
- Bai, W.Q.; Xiao, Y.H.; Zhao, J.; Song, S.Q.; Hu, L.; Zeng, J.Y.; Li, X.B.; Hou, L.; Luo, M.; Li, D.M.; et al. Gibberellin overproduction promotes sucrose synthase expression and secondary cell wall deposition in cotton fibers. PLoS ONE 2014, 9, e96537. [Google Scholar] [CrossRef]
- Hedden, P.; Thomas, S.G. Gibberellin biosynthesis and its regulation. Biochem. J. 2012, 444, 11–25. [Google Scholar] [CrossRef]
- Yamaguchi, S. Gibberellin metabolism and its regulation. Annu. Rev. Plant Biol. 2008, 59, 225–251. [Google Scholar] [CrossRef]
- Bhattacharya, A.; Ward, D.A.; Hedden, P.; Phillips, A.L.; Power, J.B.; Davey, M.R. Engineering gibberellin metabolism in Solanum nigrum L. by ectopic expression of gibberellin oxidase genes. Plant Cell 2012, 31, 945–953. [Google Scholar] [CrossRef]
- Gou, J.; Ma, C.; Kadmiel, M.; Gai, Y.; Strauss, S.; Jiang, X.; Busov, V. Tissue-specific expression of Populus C19 GA 2-oxidases differentially regulate above- and below-ground biomass growth through control of bioactive GA concentrations. New Phytol. 2011, 192, 626–639. [Google Scholar] [CrossRef]
- Xiao, Y.-H.; Li, D.-M.; Yin, M.-H.; Li, X.-B.; Zhang, M.; Wang, Y.-J.; Dong, J.; Zhao, J.; Luo, M.; Luo, X.-Y.; et al. Gibberellin 20-oxidase promotes initiation and elongation of cotton fibers by regulating gibberellin synthesis. J. Plant Physiol. 2010, 167, 829–837. [Google Scholar] [CrossRef]
- Vidal, A.M.; Gisbert, C.; Talón, M.; Primo-Millo, E.; López-Díaz, I.; García-Martínez, J.L. The ectopic overexpression of a citrus gibberellin 20-oxidase enhances the non-13-hydroxylation pathway ofgibberellin biosynthesis and induces an extremely elongated phenotype in tobacco. Physiol. Plant. 2001, 112, 251–260. [Google Scholar] [CrossRef]
- Eriksson, M.E.; Israelsson, M.; Olsson, O.; Moritz, T. Increased gibberellins biosynthesis in transgenic trees promotes growth, biomass production and xylem fiber length. Nat. Biotechnol. 2000, 18, 784–788. [Google Scholar] [CrossRef] [PubMed]
- Grabber, J.H.; Ralph, J.; Lapierre, C.; Barrière, Y. Genetic and molecular basis of grass cell-wall degradability. I. Lignin–cell wall matrix interactions. C. R. Biol. 2004, 327, 455–465. [Google Scholar] [CrossRef] [PubMed]
- Anterola, A.M.; Lewis, N.G. Trends in lignin modification: A comprehensive analysis of the effects ofgenetic manipulations/mutations on lignification and vascular integrity. Phytochemistry 2002, 61, 221–294. [Google Scholar] [CrossRef]
- Boerjan, W.; Ralph, J.; Baucher, M. Lignin biosynthesis. Annu. Rev. Plant Biol. 2003, 54, 519–546. [Google Scholar] [CrossRef] [PubMed]
- Goffner, D.; Joffroy, I.; Grima-Pettenati, J.; Halpin, C.; Knight, M.E.; Schuch, W.; Boudet, A.M. Purification and characterization of isoforms of cinnamyl alcohol dehydrogenase from Eucalyptus xylem. Planta 1992, 188, 48–53. [Google Scholar] [CrossRef] [PubMed]
- Fan, L.; Shi, W.J.; Hu, W.R.; Hao, X.Y.; Wang, D.M.; Yuan, H.; Yan, H.Y. Molecular and biochemical evidence for phenylpropanoid synthesis and presence of wall-linked phenolics in cotton fibers. J. Integr. Plant Biol. 2009, 51, 626–637. [Google Scholar] [CrossRef]









| Factor | Description | Variable Symbol |
|---|---|---|
| Factor A—grass mixtures | 100% L. Perenne, var. Info 50% and Libronco 50% | A1 |
| 75% L. Perenne, var. Info and Libronco + 25% P. Pratensis, var. Niweta and Liberin | A2 | |
| 50% L. Perenne, var. Info and Libronco + 50% P. Pratensis, var. Niweta and Liberin | A3 | |
| 25% L. Perenne, var. Info and Libronco + 75% P. Pratensis, var. Niweta and Liberin | A4 | |
| 100% P. Pratensis, var. Niweta and Liberin | A5 | |
| Factor B—treatments | Control | B1 |
| NPK fertilizers | B2 | |
| NPK fertilizers + plasma water | B3 | |
| NPK fertilizers + biostimulant | B4 | |
| NPK fertilizers + biostimulant + plasma water | B5 |
| Application Time | Doses [kg·ha−1] | |||||||
|---|---|---|---|---|---|---|---|---|
| N | P | K | Mg | S | B | Ca | Fe | |
| Spring (April) | 42.5 | 15.0 | 27.5 | 3.0 | 35.0 | 5.0 | - | - |
| Summer (June) | 42.5 | 15.0 | 27.5 | 3.0 | 35.0 | 5.0 | - | - |
| Autumn (September) | 12.5 | 25.0 | 63.0 | - | 17.5 | 0.5 | 25.0 | 1.2 |
| Annual dose | 96.5 | 55.0 | 118.0 | 6.0 | 87.5 | 10.5 | 25.0 | 1.2 |
| Years | Months | |||||||||||
|---|---|---|---|---|---|---|---|---|---|---|---|---|
| I | II | III | IV | V | VI | VII | VIII | IX | X | XI | XII | |
| Precipitation [mm] | ||||||||||||
| 2014 | 38.4 | 0.3 | 36.7 | 43.2 | 129.5 | 69.7 | 61.1 | 94.2 | 79.7 | 58.9 | 13.7 | 32.3 |
| 2015 | 43.1 | 10.1 | 30.8 | 14.4 | 30.5 | 86.0 | 74.1 | 5.6 | 17.3 | 27.5 | 50.0 | 18.4 |
| 2016 | 37.2 | 54.1 | 56.2 | 27.7 | 26.4 | 59.6 | 105.0 | 22.6 | 39.1 | 87.5 | 44.0 | 37.2 |
| 1993–2013 | 33.3 | 29.6 | 38.0 | 34.2 | 61.6 | 72.5 | 99.0 | 68.7 | 50.8 | 36.8 | 37.3 | 34.1 |
| Average air temperature [°C] | ||||||||||||
| 2014 | 0.8 | 4.0 | 7.0 | 10.9 | 13.7 | 17.0 | 21.7 | 18.0 | 15.7 | 10.9 | 6.9 | 2.6 |
| 2015 | 2.6 | 1.9 | 5.6 | 9.3 | 13.9 | 17.2 | 20.8 | 22.8 | 15.4 | 8.3 | 6.5 | 6.0 |
| 2016 | −1.1 | 3.9 | 4.3 | 8.8 | 15.3 | 19.0 | 19.9 | 18.5 | 16.5 | 8.5 | 3.7 | 1.6 |
| 1993–2013 | −0.6 | 0.6 | 3.4 | 9.6 | 14.5 | 17.6 | 19.6 | 18.9 | 13.9 | 9.3 | 4.4 | 0.6 |
| Content of Fractions [%] | Granulometric group | ||
| Sand 1.0–0.1 mm | Silt 0.1–0.02 mm | Fine particles (silty clay) | |
| 0.1–0.02 mm | Loamy sand | ||
| 81.0 | 10.0 | 9.0 | |
| Year | pHKCl | Nitrogen [g·kg−1] | Phosphorus [mg·kg−1] | Potassium [mg·kg−1] | Corg [%] | Mg [mg·kg−1] | Fe [mg·kg−1] |
|---|---|---|---|---|---|---|---|
| 2014 | 7.8 | 0.82 | 163.3 | 55.0 | 0.84 | 87.00 | - |
| 2015 | 7.6 | 0.52 | 167.4 | 46.8 | 0.72 | 79.00 | 1164.40 |
| 2016 | 7.3 | 0.61 | 215.5 | 95.0 | 0.79 | 68.10 | 1029.92 |
| Mean | 7.6 | 0.65 | 182.0 | 65.6 | 0.78 | 78.00 | 1097.16 |
Publisher’s Note: MDPI stays neutral with regard to jurisdictional claims in published maps and institutional affiliations. |
© 2021 by the authors. Licensee MDPI, Basel, Switzerland. This article is an open access article distributed under the terms and conditions of the Creative Commons Attribution (CC BY) license (http://creativecommons.org/licenses/by/4.0/).
Share and Cite
Talar-Krasa, M.; Wolski, K.; Radkowski, A.; Khachatryan, K.; Bujak, H.; Bocianowski, J. Effects of a Plasma Water and Biostimulant on Lawn Functional Value. Agronomy 2021, 11, 254. https://doi.org/10.3390/agronomy11020254
Talar-Krasa M, Wolski K, Radkowski A, Khachatryan K, Bujak H, Bocianowski J. Effects of a Plasma Water and Biostimulant on Lawn Functional Value. Agronomy. 2021; 11(2):254. https://doi.org/10.3390/agronomy11020254
Chicago/Turabian StyleTalar-Krasa, Marta, Karol Wolski, Adam Radkowski, Karen Khachatryan, Henryk Bujak, and Jan Bocianowski. 2021. "Effects of a Plasma Water and Biostimulant on Lawn Functional Value" Agronomy 11, no. 2: 254. https://doi.org/10.3390/agronomy11020254
APA StyleTalar-Krasa, M., Wolski, K., Radkowski, A., Khachatryan, K., Bujak, H., & Bocianowski, J. (2021). Effects of a Plasma Water and Biostimulant on Lawn Functional Value. Agronomy, 11(2), 254. https://doi.org/10.3390/agronomy11020254

