Abstract
Local governments increasingly combine power purchase agreements (PPAs) with local retail power producers and suppliers (RPPSs) to pursue decarbonization and regional revitalization. However, there is limited municipal-scale evidence on how contractual design translates into regional multiplier and employment outcomes under structural uncertainty. Using a 38-sector municipal input–output table (2015) for Fukuchiyama City, Kyoto, Japan, we conduct scenario-based simulations to quantify the output and employment multipliers of on-site and off-site solar photovoltaic PPAs. We compare Type I multipliers (household exogenous) and Type II multipliers (household endogenous) across nine scenarios that combine three PPA arrangements—off-site sales to the local RPPS [A], off-site sales to a major utility [B], and on-site self-consumption [C]—with three interregional leakage scenarios (1)–(3). A systematic sensitivity analysis (±10–20% perturbation of structural coefficients) was implemented to provide results as conditional ranges rather than point estimates. Under baseline leakage (3), off-site PPAs sold to the local RPPS [A3] yield the largest short-term total effects (1.24 million USD/year). Crucially, the error bars confirm that the policy ranking of A > B > C remains robustly invariant across all leakage conditions. Endogenizing households increases total effects by approximately 22.9% without changing this ranking, with induced effects concentrated in consumption-related services. In contrast, on-site PPAs [C] yield significantly larger long-term cumulative multipliers through stable expenditure savings from avoided electricity purchases. These results provide a transferable evaluation protocol and identify policy levers—off-taker localization, local supply chain thickening, and localized O&M—that jointly determine whether PPAs deliver broad-based regional economic benefits.
1. Introduction
Amid the global shift towards decarbonization, power purchase agreements (PPAs) are spreading rapidly as a means for firms and local governments to procure renewable electricity over the medium to long term. As well as reducing private electricity costs and CO2 emissions, PPAs can reallocate where energy-related payments, procurement and maintenance expenditure accrue, thereby reshaping local multipliers, employment and the geography of economic benefits. PPAs typically take two main forms: off-site, where generation is located outside the demand area and power is delivered via the grid; and on-site, where generation is installed on customer premises for self-consumption. Despite growing policy interest, there is still limited rigorous municipal-scale evidence on how these contractual choices interact with local supply structures and leakage to determine regional economic spillovers and job creation.
In Japan, liberalization of the retail electricity market in 2016 accelerated the establishment of numerous regional power producers and suppliers (RPPSs), which were capitalized by municipalities, regional financial institutions, and local firms. These RPPSs are expected to keep energy expenditures within the region and support the “local production for local consumption” of energy. However, policy reports also indicate that a significant amount of energy-related spending can leak out of regional economies, thereby weakening regional multipliers. From a regional science and environmental economics perspectives, the key unresolved issue is not whether PPAs exist, but rather, which design margins—(i) localizing the off-taker (who purchases the electricity) and (ii) thickening local supply chains (which supply goods and services), including construction and operation and maintenance (O&M) —materially reduce leakage and strengthen local employment multipliers. Yet few studies quantify these mechanisms at the municipal scale using municipal-scale input–output tables and project-calibrated PPA parameters that match the policy decision units of local governments.
We selected Fukuchiyama City, Kyoto Prefecture, as the focus of a particularly instructive case study to fill this research gap (See Figure 1). Fukuchiyama is a core regional city in northern Kyoto Prefecture, with a population of approximately 76,000. It is a medium-sized urban center and a typical semi-mountainous municipality encompassing extensive rural areas [1]. Its industrial structure features a mix of manufacturing, logistics, and service industries, and it faces challenges common to many regional cities across Japan, including population decline and aging and stagnation in local demand. However, the city has declared itself as a “Zero Carbon City,” committing to net-zero CO2 emissions by 2050, and has formulated a basic energy and environmental plan. It is therefore positioned as a “front-runner” case that seeks to integrate decarbonization with regional economic revitalization [2,3,4].
Figure 1.
Geographic location of study area: Fukuchiyama City, Kyoto Prefecture, Japan.
In Fukuchiyama City, the new regional power company TANTAN-ENERGY Co., Ltd., Fukuchiyama, Japan, has been established as an RPPS and is responsible for supplying renewable electricity, primarily to public facilities and local firms [5]. TANTAN ENERGY procures electricity generated from solar photovoltaics (PVs) inside and outside the municipality under the feed-in tariff (FIT), post-FIT, and non-FIT regimes, and this is supplied to public facilities, households, and businesses. Simultaneously, on-site PPA projects combining citizen investment are being developed [6]. Furthermore, based on a five-party agreement between Fukuchiyama City, financial institutions, universities, and other actors, the city promotes community-oriented renewable energy projects and linkages with environmental education. Initiatives for installing solar PV systems in public facilities, such as schools and gymnasiums, through on-site PPAs have attracted nationwide attention [7]. As such, Fukuchiyama City provides a policy-relevant and empirically grounded setting to examine how PPA contract design and local supply capacity jointly shape municipal multipliers. These insights are transferable to other mid-sized regional core cities that are pursuing decarbonization and local economic development.
A second important reason for focusing on Fukuchiyama City is that municipal-scale input–output (IO) data are available at the municipal scale. Specifically, this study draws on the 2015 Fukuchiyama City IO table with 38 sectors and employment coefficients derived from the Kyoto Prefecture IO table. The available access to Fukuchiyama’s municipal-scale IO tables makes the city very suitable for analyzing the short-term (construction phase) and long-term (operational phase) economic and employment effects of PPA introduction, with particular attention paid to leakage and multiplier structures. In addition, based on interviews with Tantan Energy, a new regional power company, we calibrated the parameters of the solar PV projects considered in this study (such as the project scale, capital expenditure (CAPEX), operation and maintenance (O&M) costs, and the electricity sales prices) to reflect the actual project sizes and price levels. This enabled an “implementation-oriented” analysis that is closely tied to real-world project design.
The objective of this study is to quantify how PPA contract choices translate into regional output and employment multipliers in a municipal economy under alternative leakage and household circulation assumptions. Specifically, we address three policy-relevant questions: (1) How do the impacts of the construction and operational phases differ when evaluated using conservative Type I multipliers versus Type II multipliers, which capture induced effects through household income circulation? (2) How large is the incremental benefit of localizing the electricity off-taker (local RPPS versus major utility) compared to the benefit of broader local-content measures that thicken intra-regional supply chains, including localized O&M? (3) How sensitive are the conclusions to plausible ranges of leakage? This information is essential for municipal policy appraisal and portfolio design.
This study makes four contributions of broad interest to regional science and environmental economics. First, using a municipal-scale IO table, we provide a transparent and replicable protocol for evaluating how decarbonization instruments (PPAs) map into local output and employment multipliers across the construction and operational phases. We report Type I baselines alongside Type II robustness. Second, we quantify the relative importance of off-taker localization and local supply chain thickening for retaining economic value within the municipality by explicitly separating these two policy levers under alternative leakage scenarios. Third, we calibrate scenarios of the implemented projects and institutional arrangements involving an RPPS and local government. This connects multiplier analysis to actionable design margins (e.g., procurement, financing, and O&M localization) rather than treating PPAs as purely stylized shocks. Fourth, we present our findings as transferable guidance for similarly sized regional core cities. We also provide a foundation for future extensions to multi-regional input–output (MRIO) and environmental accounts, thereby linking place-based energy transition policies to broader regional development assessments.
The remainder of this paper is organized as follows: Section 2 reviews the literature on the economic spillover effects (multiplier effects) of renewable energy investment and new regional power companies and positions this study within the literature. Section 3 describes the IO-based analytical model and data constructed from the Fukuchiyama City IO table, as well as the nine-scenario design that combines off-site and on-site PPAs with different leakage conditions. Section 4 presents the results for Types I and II, examining cross-scenario comparisons, leakage sensitivity, sectoral decompositions, and time profiles of cumulative capital investment multipliers. Section 5 discusses the policy implications and limitations of the results, and explores possible policy packages that combine new regional power companies and PPAs. Section 6 provides the study’s conclusion.
2. Literature Review
The input–output (IO) and endogenous household frameworks adopted in this study are standard and highly transparent methods used to measure the multiplier effects of production, value added, and employment in response to regional demand shocks. Specifically, Type II, which endogenizes the household sector, is characterized by its ability to capture the depth of the “regional cycle,” including induced effects through the income cycle. The theory and extensions of IO were systematized by Miller and Blair [8], who developed frameworks for incorporating induced effects via household endogenization and extending them to environmental impacts [9]. In the context of energy transition analysis, the choice between a computable general equilibrium (CGE) model and an input-output (IO) model involves a trade-off between behavioral flexibility and structural transparency. While CGE models can endogenize price adjustments and supply constraints, they require extensive data on elasticities that are rarely available at the municipal scale. Conversely, IO analysis remains a robust and transparent protocol for quantifying system-wide multipliers within specific administrative boundaries, provided that its static nature is properly acknowledged. With respect to the regional impacts of renewable energy investment, Jenniches [10] systematized the appropriate use of IO, an endogenous household framework, and MRIO models, along with the indicatorization of employment and value added. Jenniches [10] highlighted the validity of designs that analyze a two-phase structure of capital investment and operational-phase expenditures, as employed in this study. Furthermore, Matsumoto and Matsumura [11] evaluated the regional economic impacts of renewable energy introduction in Tsushima, Nagasaki Prefecture, Japan, using a two-phase approach focusing on capital investment and the operational phase.
However, MRIO proves effective when expanding the scope to include transactions with areas outside the region, enabling the tracking of spillovers to and inflows from adjacent regions. The implementation of MRIO construction, balancing, time-series extension, and environmental expansion is well established in the UK carbon footprint research [12], making it suitable for evaluating cross-regional impacts. To the best of our knowledge, few studies have conducted economic evaluations of new regional power utilities in Japan, although Shiozaki et al. [13] estimated the regional economic spillover effects of new retail power utilities using an MRIO comprising Gifu Prefecture and other prefectures. Although this study is based on a single-region IO, as a future extension, we plan to implement MRIO when evaluating interdependence with adjacent municipalities.
Robustness testing is essential because the uncertainty in coefficients and the choice of regionalization procedures in multiplier estimation exert non-trivial effects on the range of results. Monte Carlo analysis using MRIO carbon multipliers quantitatively demonstrates the extent to which data errors propagate through indicators [14], and the sensitivity of multipliers to perturbations in the input–output coefficients has been classically examined [15]. Regarding renewable energy-related employment, reviews have clarified the differences between the short-term intensity of construction and manufacturing and the long-term structure of O&M [16]. Policy evaluations must distinguish between “temporary employment concentrated in the construction phase” and “sustained employment during the operational phase.”
In renewable energy deployment assessments involving numerous scenarios, procedures that ensure computational efficiency and reproducibility are crucial. In the field combining Life Cycle Assessment (LCA) and IO, implementation methods enabling efficient matrix calculations and large-scale Monte Carlo simulations have been proposed [17] and these are applicable even to multidimensional designs, such as the nine scenarios in this study. Future plans include expanding the framework to integrate environmental extensions (greenhouse gas emissions) and price models, thereby enabling simultaneous economic and environmental evaluation [8,9].
Based on the above information, this study contributes to regional and environmental economics in several ways. First, by employing regional input–output (IO) at the local government scale, we evaluate the introduction of PPAs in Fukuchiyama City, Kyoto Prefecture, across two phases, capital investment and operation, while presenting both Type I and Type II baselines and ranges. This approach follows the design principles of prior research [10] while providing an implementation-oriented extension. Second, by explicitly varying leakage assumptions and verifying multiplier contraction mechanisms, we demonstrate that the depth of regional circulation can change endogenously through policy bundles (e.g., in-region procurement and in-region O&M). Third, by providing sensitivity and uncertainty ranges, we clarify the impact of coefficient errors, offering the range between “conservative estimates” and “expansion cases” necessary for policy decisions [14,15]. Fourth, we plan future expansions (including MRIO implementation, price endogenization, and environmental extensions) connected to a framework that enables the simultaneous economic and environmental assessment of regional energy transitions [9,12].
3. Materials and Methods
3.1. Input–Output Model
To estimate the regional economic effects of introducing on-site and off-site PPAs, we constructed an input–output model following Doi et al. [18]. The model we employed is a demand-driven municipal IO model. It is important to note that these multipliers represent conditional accounting-based effects under fixed structural assumptions, rather than direct causal estimates of policy impacts, as the model does not endogenize price mechanisms or supply side constraints.
Given regional demand, regional output was derived from the equilibrium output model in Equation (1). For exogenous households (Type I),
where denotes the production vector, is the identity matrix, is the import substitution coefficient matrix, is the input coefficient matrix, is the final demand vector, and is the export substitution vector. This study adopted a competitive import model, assuming that imported goods supply a fixed proportion of intermediate and domestic final demand. In this case, the transfer import coefficient is defined as the sum of the intra-regional intermediate demand and intra-regional final demand divided by the transfer import share. Furthermore, is the intra-regional self-sufficiency matrix, meaning that the closer the intra-regional self-sufficiency rate is to 1 in each industry, the smaller the leakage to outside the region. Based on Equation (1), the economic spillover effect on the intra-regional economy due to a change in intra-regional final demand is expressed by Equation (2),
The basic model used in this study considers the household sector exogenously. Therefore, the total effect on the entire regional economy from changes in regional final demand can be expressed as the sum of the direct effect and the indirect effect , as shown in Equation (3),
Furthermore, the direct and indirect effects are expressed in Equations (4) and (5), respectively:
Next, we constructed an endogenous household model that incorporates household consumption behavior. As the basic model in this study treats the household sector exogenously, an increase in final demand leads to an increase in output and gross value added across industries. This, in turn, generates economic spillover effects, encompassing the demand for intermediate inputs required directly and indirectly for production. However, the economic spillover effect persists. Increased employee income leads to increased private consumption expenditure, which in turn leads to increased production, further increasing employee income and private consumption expenditure. To accurately capture this cycle of increased production, income, and consumption expenditure, and to capture indirect effects more precisely, it was necessary to make the household sector endogenous.
where represents the total employee compensation, denotes the private consumption expenditure share vector, and denotes the employee compensation rate vector. In this context, the private consumption expenditure composition ratio is obtained by dividing private consumption by gross value added (excluding non-household consumption expenditure). The employee income ratio is the value obtained by dividing employee income by the regional production value. In the endogenous household model, the vectors representing private consumption expenditure and employee compensation can be used to capture regional income circulation. Using this endogenous household model, the economic multiplier effect on the regional economy due to a change in regional final demand is expressed by Equation (7),
We measured the economic spillover effects using Equations (2) and (7) to compare the results from exogenous and endogenous household models and assess the robustness of the findings. Hereafter, the basic model calculated using Equation (2) is referred to as Type I and the endogenous household model calculated using Equation (7) is referred to as Type II. We report both Types I and II to separate the conservative baseline from the robustness.
3.2. Data
This study utilized the “2015 Input–Output Table for Fukuchiyama City, Kyoto Prefecture” created by the Value Research Institute [19]. The Fukuchiyama City Input–Output Table consists of 38 industry sectors, three gross value-added sectors (non-household consumption expenditure (row), employee compensation, and other income), and nine final demand sectors (non-household consumption expenditure (column), private consumption expenditure, general government consumption expenditure, gross fixed capital formation (public), gross fixed capital formation (private), net increase in inventories (public), net increase in inventories (private), exports, and imports). This study covers the 38 industrial sectors in Fukuchiyama City, Kyoto Prefecture, as listed in Table 1. To convert purchaser prices to producer prices, the commercial margin rate and domestic freight rate were calculated by consolidating the “Purchaser Price Evaluation Table,” “Commercial Margin Table,” and “Domestic Freight Table” from the 107 consolidated medium-level categories in the “2015 Input–Output Tables” compiled by the Statistics Bureau, Ministry of Internal Affairs and Communications [20], into 38 categories.
Table 1.
Industrial sector classification (38 sectors).
Employment coefficients were calculated by integrating the employment tables accompanying the “2015 Kyoto Prefecture Input–Output Table for 105 Sectors” [21] compiled by Kyoto Prefecture into 38 sectors to match the number of sectors in the Fukuchiyama City Input–Output Table. To contextualize the sectoral structure of Fukuchiyama City relative to other municipalities in Japan, we examined the location quotients (LQs) based on the 2015 industrial data. Fukuchiyama City functions as a regional industrial hub, exhibiting LQs greater than 1.0 in key sectors such as Electrical Machinery (ELQ) and Retail Trade (RTR). These structural characteristics are endogenously reflected in the import substitution matrix (), which was partially derived using the location quotient method to ensure regional consistency. This sectoral specialization explains why the induced effects are concentrated in trade and professional services, making our simulation results representative of mid-sized regional core cities in Japan.
3.3. Scenario Design and Leakage Implementation
We conducted interviews with a new regional power supplier (TANTAN-ENERGY Co., Ltd.) in Fukuchiyama City, Kyoto Prefecture, which covered questions about the power generation capacity of the power generation facilities, installation costs, and electricity selling prices (conducted online on 1 September 2023). For the solar power generation project, nine scenarios were created by combining three PPA implementation scenarios with three scenarios for ripple effects outside Fukuchiyama City.
To translate these project data into sector-level demand shocks (), we decomposed the total capital expenditure based on project-calibrated parameters. Specifically, construction and civil engineering costs were allocated to Construction (CON), while hardware procurement, such as solar panels and inverters, was assigned to Electrical Machinery (ELQ). For the operational phase, electricity sales were treated as exogenous demand shocks to the Electricity (ELE) sector, with O&M expenditures allocated to Scientific Research and Support Services (RSSs). All purchaser prices were converted to producer prices by removing trade margins and freight costs using the 2015 national margin tables to ensure consistency with the IO framework.
We defined nine scenarios by combining three PPA contractual designs ([A]–[C]) with three interregional leakage conditions ((1)–(3)), as summarized in Table 2. The PPA implementation scenarios were as follows: [A] off-site PPA (RPPS) with electricity off-taken by the local regional power producer and supplier; [B] off-site PPA (major utility) with electricity off-taken by a major power company; and [C] on-site PPA (self-consumption) for self-consumption. The leakage scenarios were as follows: (1) a no-leakage case representing the theoretical upper bound, (2) a case with no leakage of PPA-related effects (midpoint), and (3) a leakage case representing the baseline scenario (closer to the actual measurements). To ensure methodological transparency, the leakage scenarios were operationalized by modifying the diagonal elements of the import substitution coefficient matrix () in Equations (2) and (7). Scenario (1) set the corresponding elements in to zero for all sectors, and Scenario (2) set them to zero for PPA-related sectors only. Scenario (3) utilized the default coefficients from the 2015 IO table to reflect observed regional outflows. (See Table 2). The scenario notation is as follows: PPA scenarios are [A], [B], and [C], and leakage scenarios are (1), (2), and (3), denoted by combinations (e.g., A3: off-site PPA electricity sold to RPPS + baseline leakage).
Table 2.
Scenario settings and project-calibrated parameters (PPA designs and leakage conditions).
3.4. Systematic Sensitivity Analysis
To address the inherent uncertainty in structural coefficients, we performed a systematic sensitivity analysis in which we perturbed the import substitution coefficients (), the household consumption propensities (), and the employee compensation rate () by 10–20%. To capture the aggregate effect of structural uncertainty, these perturbations were applied jointly across the coefficient matrices. Specifically, we simulated the propagation of uncertainty by varying all structural parameters simultaneously within the specified ranges, following the established methodological tradition of quantifying joint uncertainty propagation in input-output systems [14,15]. This allows us to report results as conditional ranges (visualized as error bars and shaded areas) rather than point estimates, ensuring the robustness of our policy rankings.
4. Results
4.1. Cross-Scenario Comparison and Leakage Sensitivity
Table 3 and Figure 2a present the results for the household exogenous model (Type I). Under the baseline leakage scenario (3), the total economic spillover effects are largest in the order of A3 > B3 > C3. The point estimate for scenario A3 is 1.24 million USD/year, though our sensitivity analysis indicates a conditional range represented by the error bars in Figure 2a. The economic effect for A3 slightly exceeds that for B3, while the scale for C3 is smaller due to the short-term macroeconomic effects. Crucially, even when the structural parameters vary by 10–20%, the error bars confirm that the ranking of A > B > C remains invariant, demonstrating the robustness of our findings against data perturbations.
Table 3.
Economic spillover effects and employment effects (Type I model).
Figure 2.
Sensitivity of total economic spillover effects to leakage conditions and PPA designs. (a) Type I results (household exogenous conservative baseline scenario). (b) Type II results (household endogenous upper-bound circulation scenario).
4.2. Impact of Household Endogenization (Type II)
Figure 2b illustrates the results when households are endogenized. Type II multipliers increase the total economic spillover effects by an average of 22.9% by capturing income circulation. Despite the increased magnitude, the policy ranking remains robustly A > B > C across all leakage levels. Based on these results, we position Type I as the conservative policy baseline and Type II as the upper-bound circulation scenario.
Figure 3 shows that in A3, the total economic spillover effects by sector are the largest for Construction (CON), Electrical Machinery (ELQ), Wholesale Trade (WTR), and Retail Trade (RTR). The sixth column of Table 4 shows the differences between the scenarios (Type II and Type I). Furthermore, Figure 3 indicates that the increase in induced effects is concentrated in Retail Trade (RTR), Accommodation and Food Services (HFSs), and Residential Rental Services (RRSs). This effect reflects household re-spending and should be interpreted as additional circulation rather than new primary demand.
Figure 3.
The cross-sectoral distribution of total economic spillover effects for the baseline off-site RPPS scenario (A3) using the Type II model. Note: The values presented in Figure 3 represent point estimates based on the baseline 2015 Fukuchiyama City IO table. To maintain visual clarity across the comprehensive 38-sector breakdown, error bars reflecting parameter sensitivity (±10–20% variations in structural coefficients) are omitted in this figure.
Table 4.
Economic spillover effects and employment effects (Type II model). Unit: million USD per year.
4.3. Sectoral Decomposition
The top 10 sectors contributing to the total economic spillover effects are shown in Figure 4 and Figure 5 (Type I and II, respectively). In addition to direct investment in Construction (CON) and Electrical Machinery (ELQ), sectors such as Wholesale (WTR) and Scientific Research and Support Services (RSSs) emerge as key indirect channels. The inclusion of error bars in these figures demonstrates that these sectoral contributions are structurally grounded and not merely artifacts of point estimation.
Figure 4.
Top 10 industrial sectors contributing to total economic spillover effects (Type I) with error bars. (a) A3: off-site PPA (RPPS); (b) B3: off-site PPA (major utility); (c) C3: on-site PPA (self-consumption).
Figure 5.
Top 10 industrial sectors contributing to total economic spillover effects (Type II) with error bars. (a) A3: off-site PPA (RPPS); (b) B3: off-site PPA (major utility); (c) C3: on-site PPA (self-consumption).
Figure 4 and Figure 5 illustrate the economic spillover effects of the top ten industrial sectors from A3 to C3 in Type I and Type II. As can be seen from these figures, all trends are largely the same for both types. Type II differs from Type I in that the contribution from the indirect effects of Accommodation and Food Services (HFSs) contribute significantly more in Type II. Furthermore, the induced effects of Residential Rental Services (RRSs) appear to be the largest in all Type II cases. These results demonstrate that the induced effects are primarily generated through distribution and professional services.
Figure 6 shows the employment effects by sector for Type I, where it is evident that the induced employment effects follow a similar trend from A3 to C3. The figure shows that a significant amount of new employment is created in Construction (CON) and Electrical Machinery (ELQ), both of which require construction investment, and also in Wholesale Trade (WTR), Retail Trade (RTR), and Scientific Research and Support Services (RSSs).
Figure 6.
Sectoral decomposition of employment effects across baseline scenarios (A3, B3, C3) in the Type I model. Note: The values in Figure 6 represent point estimates based on the 2015 IO table. To maintain visual clarity across the comprehensive 38-sector breakdown, error bars reflecting parameter sensitivity are omitted in this figure.
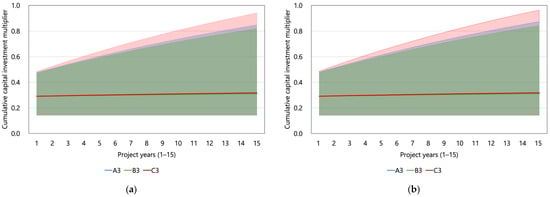
4.4. Time Profile and Investment Multipliers
Figure 7a,b present the time profile of cumulative capital investment multipliers with shaded uncertainty regions for both Type I and Type II cases. While off-site PPAs (scenario [A] and scenario [B]) estimate larger short-term shocks, the on-site PPA (scenario [C]) yields a higher multiplier through stable expenditure savings.
Figure 7.
Time profile of cumulative capital investment multipliers with shaded uncertainty areas. (a) Type I model; (b) Type II model.
To clarify the subtle differences between scenario [A] and scenario [B] which may be obscured by the uncertainty shadows, Figure 8a,b provide a simplified line-only view. These figures collectively show that even under the most conservative parameter sets (the lower bound of the shadows), the long-term superiority of the on-site PPA (scenario [C]) remains robust.
Figure 8.
Line-only comparison of time profile for cumulative capital investment multipliers. (a) Type I model; (b) Type II model.
5. Discussion
5.1. Policy Bundles for Regional Value Retention
The results highlight that localizing the electricity off-taker through a local RPPS is a significant policy lever; however, its effectiveness depends on a broader “policy bundle”. Notable differences in economic spillover effects only occur when PPA designs are integrated with strategies to strengthen local supply chains, such as regional priority in construction contracting and localized O&M services. Our sensitivity analysis (see Figure 2) confirms that while point estimates are subject to leakage, the depth of regional circulation can be endogenously strengthened through municipal procurement rules. This suggests that decarbonization policies should not be designed in isolation but must be coordinated with regional industrial policy to ensure that energy-related capital flows remain within the municipal boundaries.
5.2. Causal Interpretation and Model Limitation
In response to critical conceptual concerns, it is essential to interpret these findings as scenario-based simulations under fixed structural assumptions rather than direct causal estimates of policy impacts. As a demand-driven IO model, this framework assumes fixed coefficients and does not endogenize price adjustments, supply side constraints, or labor market bottlenecks. For instance, if there is a sudden increase in demand for Electrical Machinery (ELQ) or Construction (CON), leading to wage inflation or material shortages, the real multipliers might be lower than estimated. By providing conditional ranges through sensitivity analysis, we explicitly acknowledge structural uncertainties. Rather than focusing on the absolute magnitude of the estimated values, the primary policy takeaway is the structural robustness of the results; the invariant policy ranking (A > B > C) even under significant structural perturbations provides a reliable foundation for long-term municipal energy planning.
5.3. Substitution Effects and Demand Reallocation
A key theoretical limitation is the treatment of PPA investment as a purely exogenous additional demand. In practice, the adoption of municipal PPA often represents a reallocation of existing electricity expenditure rather than net new demand. If PPA payments merely replace equivalent payments to major power companies, the net macroeconomic “shock” might be smaller than depicted in a static model. However, the long-term advantage of the on-site PPA scenario [C] stems precisely from this reallocation: by generating stable expenditure savings (avoided costs), it creates a resilient internal flow of funds that can be re-spent locally. This transformation of an “operating expense” into a “regional asset” is a critical mechanism for achieving long-term municipal economic resilience.
5.4. Strategic Positioning of Type I and Type II Multipliers
To improve policy interpretability, we utilize the two frameworks to define the boundaries of potential policy outcomes rather than as fixed forecasts. Type I serves as the conservative fiscal baseline, while Type II identifies the specific sectors, such as Retail Trade (RTR) and Accommodation and Food Services (HFSs), where the regional income cycle is most likely to manifest. This distinction allows decision-makers to target “policy bundles” that stabilize these induce channels, with the invariant scenario ranking providing a robust basis for prioritizing localized PPA designs.
5.5. External Validity and Benchmarking
The findings from Fukuchiyama City provide a transferable evaluation protocol that can be used by other mid-sized municipalities. Our results are consistent with existing regional benchmarks. For instance, Shiozaki et al. [13] demonstrated that retail RPPSs in Gifu Prefecture could increase regional production by retaining energy-related funds within the prefecture, which is similar to our findings on off-taker localization. Furthermore, our emphasis on reducing leakages through local supply chain integration aligns with the case of Tsushima Island (Matsumoto and Matsumura [11]), where the lack of indigenous technical experts and local components was identified as a primary barrier to maximizing economic benefit. Future research using MRIO models will be necessary to capture the inter-regional feedback effects that this single-regional study cannot fully account for.
6. Conclusions
This study evaluated the economic spillover effects on the regional economy stemming from the introduction of off-site and on-site PPAs by new regional power suppliers in Fukuchiyama City, Kyoto Prefecture, using a municipal input–output framework across nine combined scenarios (three PPA types multiplied by three leakage conditions). By using two frameworks, Type I (household exogenous) and Type II (household endogenous), the analysis comprehensively examined both the short-term effects of the construction phase and the long-term resilience of the operational phase from the perspectives of gross output, employment, and cumulative investment multipliers. A systematic sensitivity analysis was used to present the results as conditional ranges.
The primary finding of this study is that, under baseline leakage conditions, scenario [A] (off-site PPA with electricity off-taken by the local RPPS) yields the largest short-term macroeconomic impact compared to scenario [B] (major utility) and scenario [C] (on-site). However, the advantage of scenario [A] over scenario [B] is modest unless local content is actively increased. In the Type II model, induced effects from the income cycle increased total spillover effects by an average of 22.9%, with benefits concentrated in the Retail Trade (RTR), Accommodation and Food Services (HFSs), and Residential Rental Services (RRSs) sectors. Sectoral decomposition revealed that Construction (CON) and Electrical Machinery (ELQ) were the primary recipients, followed by secondary recipients such as Wholesale Trade (WTR) and Scientific Research and Support Services (RSSs). A similar broadening effect was observed for employment. This indicates that in addition to the direct demand for equipment installation, the region’s service supply capacity and household income circulation are important factors in determining the increase in effects.
From a long-term perspective, the on-site self-consumption scenario [C] simulated the most robust cumulative capital investment multiplier. Although the initial spillover effect is smaller, the persistent reduction in electricity purchase costs acts as a “resilient regional asset” against external price shocks and grid fee fluctuations. Our sensitivity analysis demonstrated that the long-term superiority of the on-site PPA remains robust, even when structural coefficients vary by ±10–20%, as can be seen in the uncertainty shadows of our time-profile analysis.
These results offer significant policy implications. We recommend a hybrid strategy that combines the short-term depth of off-site PPAs ([A] and [B]) with the long-term resilience of on-site PPAs [C]. To maximize these effects, municipalities should implement a “policy bundle” that includes prioritizing regional procurement, allocating long-term O&M contracts to local operators, and linking PPAs with regional anchor demand. This requires an intentional design to capture added value within the region and improve employment quality. Regarding human resources, reskilling programs for construction, electrical work, and digital O&M should be locally institutionalized. The spillover effect on downstream sectors should be amplified through shared inventory and logistics systems, and by creating an environment that facilitates the entry of local small and medium-sized enterprises.
In summary, the transition to decentralized energy in Fukuchiyama City can simultaneously achieve decarbonization and regional development, provided that leakage is managed through intentional supply chain design. Our framework, benchmarked against regional studies in Gifu and Tsushima, provides a generalized and scientifically rigorous protocol for other municipalities to evaluate their energy transition policies. Future research incorporating multi-regional IO (MRIO) frameworks and endogenous price mechanisms will further enhance the precision of these place-based decarbonization strategies.
Author Contributions
Conceptualization, K.N., N.M., E.A., K.B. and M.T.; methodology, K.N.; software, K.N.; validation, K.N.; formal analysis, K.N.; investigation, K.N., N.M., E.A. and K.B.; resources, K.N.; data curation, K.N.; writing—original draft preparation, K.N.; writing—review and editing, K.N.; visualization, K.N.; supervision, N.M., E.A., K.B. and M.T.; project administration, K.N. and M.T.; funding acquisition, M.T. All authors have read and agreed to the published version of the manuscript.
Funding
This research was funded by the MEXT Program for Research and Development for Social Transformation to Accelerate Local Decarbonization (grant number JPJ010039) and by the JSPS KAKENHI Grant-in-Aid for Scientific Research (C) (grant number JP23K11534).
Institutional Review Board Statement
Not applicable.
Informed Consent Statement
Not applicable.
Data Availability Statement
The data presented in this study are available upon request from the corresponding author on a limited basis.
Acknowledgments
The authors reviewed and edited the manuscript and take full responsibility for its content.
Conflicts of Interest
The authors declare no conflicts of interest.
Abbreviations
The following abbreviations are used in this manuscript:
| PPAs | Power Purchase Agreements |
| RPPSs | Regional Power Producers and Suppliers |
| PV | Photovoltaic |
| FIT | Feed-In Tariff |
| IO | Input–Output |
| CAPEX | Capital Expenditure |
| O&M | Operation and Maintenance |
| MRIO | Multi-Regional Input–Output |
References
- Fukuchiyama City Statistical Book 2023 Edition. Fukuchiyama City. 2025. Available online: https://www.city.fukuchiyama.lg.jp/soshiki/1/72060.html (accessed on 17 November 2025). (In Japanese)
- Taking on the Challenge of Becoming a Zero-carbon City and 100% Renewable Energy! In Fukuchiyama City. 2021. Available online: https://www.city.fukuchiyama.lg.jp/soshiki/72/33681.html (accessed on 17 November 2025). (In Japanese)
- Towards Realizing a Zero-carbon City. Fukuchiyama City. 2022. Available online: https://www.city.fukuchiyama.lg.jp/soshiki/72/47706.html (accessed on 17 November 2025). (In Japanese)
- Investment in TanTan Energy Co., Ltd. Fukuchiyama City. 2023. Available online: https://www.city.fukuchiyama.lg.jp/soshiki/72/57336.html (accessed on 17 November 2025). (In Japanese)
- Connecting with the Local Community Opening Up the Future. Tantan Energy Co., Ltd. 2025. Available online: https://tantan-energy.jp/ (accessed on 17 November 2025). (In Japanese)
- Social Impact Report 2024–2025. Tantan Energy Co., Ltd. 2025. Available online: https://tantan-energy.jp/wp-content/uploads/2025/06/Social_Impact_Report_2024-25.pdf (accessed on 17 November 2025). (In Japanese)
- On-site PPA Projects at Public Facilities Funded by Citizens. Fukuchiyama City. 2024. Available online: https://www.city.fukuchiyama.lg.jp/soshiki/72/42736.html (accessed on 17 November 2025). (In Japanese)
- Miller, R.E.; Blair, P.D. Input–Output Analysis: Foundations and Extensions, 2nd ed.; Cambridge University Press: Cambridge, UK, 2009. [Google Scholar]
- Morilla, C.R.; Díaz-Salazar, G.L.; Cardenete, M.A. Economic–environmental modelling using SAMs: An application to Andalusia. Ecol. Econ. 2007, 60, 774–786. [Google Scholar] [CrossRef]
- Jenniches, S. Assessing the regional economic impacts of renewable energy sources—A literature review. Renew. Sustain. Energy Rev. 2018, 93, 35–51. [Google Scholar] [CrossRef]
- Matsumoto, K.; Matsumura, Y. Economic ripple effects of renewable energy in remote islands: Evidence from Tsushima, Nagasaki. Renew. Sustain. Energy Rev. 2022, 162, 112456. [Google Scholar]
- Wiedmann, T.; Wood, R.; Minx, J.C.; Lenzen, M.; Guan, D.; Harris, R. A national carbon footprint approach for policy making: The UK example. Econ. Syst. Res. 2010, 22, 19–42. [Google Scholar] [CrossRef]
- Shiozaki, I.; Ishikawa, Y.; Takagi, A. Regional ripple effects of local power retailers: An MRIO analysis. In Proceedings of the 64th Conference on Civil Engineering Planning, Online, 3–5 December 2021. [Google Scholar]
- Lenzen, M.; Wood, R.; Wiedmann, T. Uncertainty analysis for multi-region input–output models—A case study of the UK’s carbon footprint. Econ. Syst. Res. 2010, 22, 43–63. [Google Scholar] [CrossRef]
- Bullard, C.W.; Sebald, A.V. Monte Carlo sensitivity analysis of input–output models. Rev. Econ. Stat. 1988, 70, 708–712. [Google Scholar] [CrossRef]
- Das, A.; Patil, B. Employment effects in renewable energy: A review distinguishing construction/manufacturing vs. O&M. Renew. Sustain. Energy Rev. 2025, 219, 115870. [Google Scholar]
- Peters, G.P. Efficient algorithms for life cycle assessment, input–output analysis, and Monte Carlo analysis. Int. J. Life Cycle Assess. 2007, 12, 373–380. [Google Scholar] [CrossRef]
- Doi, E.; Asari, I.; Nakano, C. Introductory Regional Input–Output Analysis; Nippon Hyoron Sha: Tokyo, Japan, 2019. [Google Scholar]
- Value Management Institute, Inc. Regional Economic Cycle Analysis v6.00; Value Management Institute, Inc.: Tokyo, Japan, 2024. [Google Scholar]
- Statistics Bureau of Japan. 2015 Input–Output Tables (Purchasers’ Prices, Trade Margins, Domestic Freights). 2019. Available online: https://www.e-stat.go.jp/stat-search/files?page=1&layout=datalist&toukei=00200603&tstat=000001130583&cycle=0&year=20150&month=0 (accessed on 17 November 2025).
- 2015 Kyoto Prefecture Input–Output Tables. Statistics of Kyoto Prefecture. Available online: https://www.pref.kyoto.jp/tokei/cycle/sanren/sanrentop.html (accessed on 17 November 2025). (In Japanese)
Disclaimer/Publisher’s Note: The statements, opinions and data contained in all publications are solely those of the individual author(s) and contributor(s) and not of MDPI and/or the editor(s). MDPI and/or the editor(s) disclaim responsibility for any injury to people or property resulting from any ideas, methods, instructions or products referred to in the content. |
© 2026 by the authors. Licensee MDPI, Basel, Switzerland. This article is an open access article distributed under the terms and conditions of the Creative Commons Attribution (CC BY) license.







